Submitted:
08 April 2025
Posted:
09 April 2025
You are already at the latest version
Abstract
Keywords:
1. Introduction
2. Literature Review
3. Materials and Methods
- -
- How does Smart Efficiency influence the convenience and planning of urban tourism?
- -
- What is the effect of Smart Travel on the overall experience and satisfaction of tourists?
- -
- In what ways does Digital Enhancement contribute to the personalization and accessibility of tourism services?
- -
- H1: Smart mobility and seamless planning technologies significantly enhance tourists' travel efficiency and overall experience in urban destinations.
- -
- H2: Digital enhancements, including interactive and personalized services, positively impact tourist satisfaction and engagement.
- -
- H3: Investments in digital infrastructure and secure smart tourism applications increase tourists' trust and willingness to use smart city services.
4. Results
- -
- When tourists perceive that smart technologies (such as mobile apps, interactive services, and real-time updates) improve their overall travel experience, they also find travel more efficient.
- -
- Cause: Tourists enjoy enhanced travel experiences through digital services (F2).
- -
- Effect: They experience greater efficiency in mobility and planning (F1).
- -
- Example: A visitor who uses real-time transport apps (ET, IA) faces shorter waiting times, making their trip smoother (EM, SP).
- -
- A positive perception of smart technologies encourages travelers to expect and support further digital investments.
- -
- Cause: When smart city solutions (such as virtual tours, AI-driven recommendations, or seamless payment systems) enhance the travel experience (F2), tourists value these innovations.
- -
- Effect: They demand more investment in digital infrastructure (DI) and expect more personalized services (PS).
- -
- Example: A traveler who enjoys an interactive museum experience (IE) may later expect similar innovations in other cities, increasing their preference for smart tourism investments.
- -
- As cities invest in digital infrastructure, travel efficiency improves, creating a positive feedback loop.
- -
- Cause: When digital services provide seamless and personalized experiences (F3), travelers experience smoother mobility and trip planning (F1).
- -
- Effect: As travelers find transport and planning more efficient (F1), they support continued digital innovation (F3).
- -
- Example: A smart city that improves Wi-Fi coverage and app integration (DI) enhances trip efficiency (EM, SP), leading tourists to expect even better digital services.
- -
- Find travel more efficient (F1).
- -
- Advocate for more digital investment (F3).
- -
- Expect a continuously improving smart tourism ecosystem.
4.1. The Role of Smart Efficiency in Smart Travel
- -
- Cause: Efficient mobility services (e.g., well-connected transport, minimal wait times, easy-to-use apps) and seamless trip planning
- -
- Effect: Travelers experience greater convenience and satisfaction, enhancing their overall perception of Smart Travel
4.2. The Paradox of Digital Enhancement
- -
- Cause: A high level of digital infrastructure and reliance on smart technologies
- -
- Effect: Instead of always improving travel, excessive digitalization might create barriers, such as difficulty navigating complex apps, privacy concerns, or dependence on internet connectivity
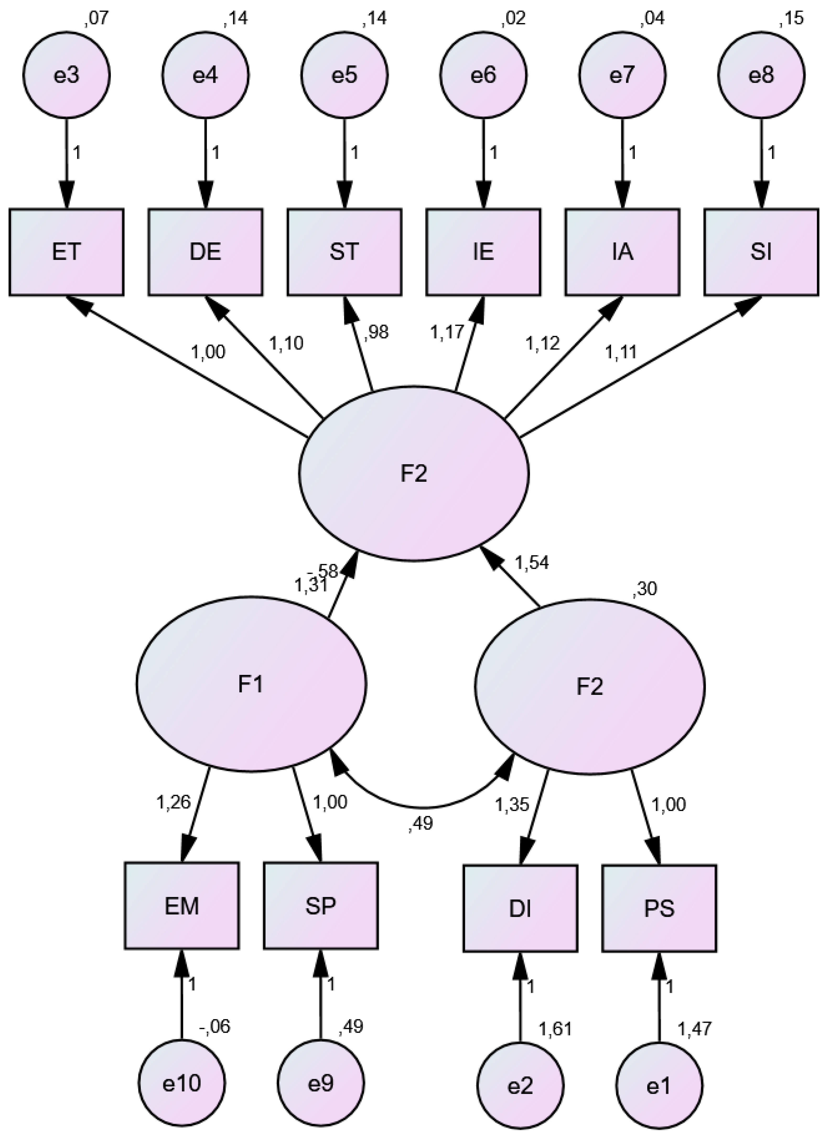
4.3. Smart Travel Enhances Multiple Aspects of Tourism
- -
- Smart Travel improves Enhanced Travel (0.898) → Tourists feel that their trips are more convenient and enjoyable.
- -
- Smart Travel increases trust in Secure Travel (0.806) → If smart city services protect personal data and ensure safe digital transactions, travelers feel more confident using them.
- -
- Smart Travel boosts Interactive Experiences (0.977) → This is the strongest positive effect, meaning that technologies like interactive museums, augmented reality, and digital tour guides significantly improve tourist satisfaction.
- -
- Smart Travel ensures Instant Access to Information (0.941) → Travelers greatly appreciate having real-time access to navigation, accommodation, and cultural experiences.
- -
- Smart Travel promotes Sustainable Innovation (0.834) → Tourists recognize that smart city solutions contribute to eco-friendly travel, such as energy-efficient public transport and digital alternatives to printed materials.
4.4. The Relationship Between Digital Enhancement and Smart Travel
5. Discussion
6. Conclusions
6.1. Practical Implications
Author Contributions
Funding
Institutional Review Board Statement
Informed Consent Statement
Data Availability Statement
Conflicts of Interest
References
- Alkhereibi, H.A. , Abulibdeh, R., & Abulibdeh, A. Global smart cities classification using a machine learning approach to evaluating livability, technology, and sustainability performance across key urban indices. Journal of Cleaner Production. 2025. [Google Scholar] [CrossRef]
- Jiang, L., Xuan, Y., Zhang, K. Dynamic interaction and evolution analysis of the resource-environment-economy-society complex system in China under the advancement of smart cities. Renewable Energy. 2025, 244, 122704. [CrossRef]
- Cengiz, B., Adam, Y.I., Ozdem, M., & Das, R. A survey on data fusion approaches in IoT-based smart cities: Smart applications, taxonomies, challenges, and future research directions. Information Fusion. 2025, 121, 103102. [CrossRef]
- Gu, Q., Sing, M.CC.P., Jefferies, M., & Kanjanabootra, S. Bridging the gap between smart cities and sustainability: Current practices and future trends. Cities. 2025, 159, 105799. [CrossRef]
- Qian, W. Application of e-learning and interactive business experience based on edge computing in smart city tourism management. Entertainment Computing 2024, 50, 100681. [Google Scholar] [CrossRef]
- Wang, X. Construction of smart tourism system integrating tourist needs and scene characteristics. Systems and Soft Computing 2024, 6, 200168. [Google Scholar] [CrossRef]
- Samasti, M., Cakmak, E., & Ozpinar, A. Strategic classification of smart city strategies in developing countries. Engineering Science and Technology 2025, an International Journal. 2025, 61, 101936. [CrossRef]
- Sustacha, I., Baños-Pino, J.F., & Del Valle, E. The role of technology in enhancing the tourism experience in smart destinations: A meta-analysis. Journal of Destination Marketing & Management. 2023, 30, 100817. [CrossRef]
- Tavmen, G. “Open data means business”: Infrastructural and economic implications of opening up data in smart London. Digital Geography and Society 2024, 7, 100098. [Google Scholar] [CrossRef]
- Lu, C-W., Huang, J-C., Chen, C., Shu, M-H., Hsu, C-W., Bapu, B.R.T. An energy-efficient smart city for sustainable green tourism industry. Sustainable Energy Technologies and Assessments. 2021, 47, 101494. [CrossRef]
- Daniele, C., Elena, M., & Evangelia, P. Assessing the role of public transportation to foster city bike tourism. The case of Italy. Case Studies on Transport Policy. 2023, 12, 101015. [CrossRef]
- Rishan, M., Heiets, I., Wiedemann, M., & Gerasymchuk, Y. Evaluating air transport barriers to tourism development in island states – A case study of an air service subsidy scheme in the Maldives. Journal of the Air Transport Research Society. 2025, 4, 100054. [CrossRef]
- Pitakaso, R., Khonjun, S., Gonwirat, S., Luesak, P., Jirasirilerd, G., Boonmee, C., Dinkoksung, S., Nanthasamroeng, N., & Srichok, T. Optimizing safe and sustainable public transit for wellness tourism: Southeast Asian case studies. Journal of Cleaner Production. 2024, 475, 143656. [CrossRef]
- Wei, S. Exploring Adaptation of Transportation Policy to Revolution Challenges: Evolution of Transportation Services and the Concept of Next-generation Solutions. The Open Transportation Journal 2025, 19. [Google Scholar] [CrossRef]
- Shamsuzzoha, A., Nieminen, J., Piya, S., & Rutledge, K. Smart city for sustainable environment: A comparison of participatory strategies from Helsinki, Singapore and London. Cities. 2021, 114, 103194. [CrossRef]
- Sha, K., & Taeihagh, A. Designing adaptive policy packages for inclusive smart cities: Lessons from Singapore's smart nation program. Sustainable Cities and Society. 2024, 115, 105868. [CrossRef]
- Sharifi, A., Amirzadeh, M., Khavarian-Garmsir, A.R. The metaverse as a future form of smart cities: A systematic literature review of co-benefits and trade-offs for sustainable development goals. Cities. 2025, 161, 105879. [CrossRef]
- Chen, L-H., Pedaling beyond ratings: A data-driven quest to Unravel the determinants of guided bicycle-tour satisfaction. Tourism Management. 2024, 103, 104906. [CrossRef]
- Lee, Y-C., & Liao, P-T. The effect of tourism on teleconnected ecosystem services and urban sustainability: An emergy approach. Ecological Modelling. [CrossRef]
- Tan, O. Research on sustainable carrying capacity of urban tourism environment based on multi objective optimization algorithm. Results in Engineering 2023, 19, 101344. [CrossRef]
- Abouelmagd, D. Sustainable urbanism and cultural tourism, the case of the Sphinx Avenue, Luxor. Alexandria Engineering Journal 2023, 71, 239–261. [Google Scholar] [CrossRef]
- Sevtsuk, A., & Alhassan, A. Madina Python package: Scalable urban network analysis for modeling pedestrian and bicycle trips in cities. Journal of Transport Geography. 2025, 123, 104130. [CrossRef]
- Russo, A. Savage Gardens: Balancing Maintenance, Aesthetics, and Ecosystem Services in the Biodiversity Crisis Era. Urban Science, 8(4), 170. [CrossRef]
- Smiley 2024, KT. Smiley 2024, K.T., Chen, Y-A., & Shao, W. Being green in a green capital: Assessing drivers of pro-environmental behaviors in Copenhagen. Cities. 2022, 122, 103538. [Google Scholar] [CrossRef]
- Jung, M., Gomes, L.S., & Remme, R.P. Strategic green roof placement in Toronto to maximize benefits while incorporating citizen preferences. Urban Forestry & Urban Greening. 2025, 107, 128798. [CrossRef]
- Jia, S., Weng, Q., Yoo,C., & Voogt, J.A. Global investigation of pedestrian-level cooling and energy-saving potentials of green and cool roofs in 43 megacities. Energy and Buildings. 2025, 337, 115671. [CrossRef]
- Sommese, F., & Diana, L. A holistic framework for the implementation of green roofs on existing buildings: A case study in the Mediterranean climate of Naples. Building and Environment. 2025, 274, 112811. [CrossRef]
- Liu, M., Luo, Q., Huang, R., Wu, Y., & Zhou, J. Dynamic impacts of urban expansion on vegetation growth in urban environments: A sustainable land management framework. Land Use Policy. 2025, 153, 107541. [CrossRef]
- Gu, Q., Sing, M.C.P., Jefferies, M., & Kanjanabootra, S. Bridging the gap between smart cities and sustainability: Current practices and future trends. Cities. 2025, 159, 105799. [CrossRef]
- Shehadeh, A., Alshboul, O., Taamneh, M.M., Jaradat, A.Q., Alomari, A.H., & Arar, M. Advanced integration of BIM and VR in the built environment: Enhancing sustainability and resilience in urban development. Heliyon 2025, 11(4), e42558. [CrossRef]
- Yigitcanlar, T., Han, H., Kamruzzaman, M., Ioppolo, G., & Sabatini-Marques, J. The making of smart cities: Are Songdo, Masdar, Amsterdam, San Francisco and Brisbane the best we could build? Land Use Policy, 88, 104187. [CrossRef]
- Lnenicka, M., Hervert, P., & Horak, O. (2024). Understanding big data and data protection measures in smart city strategies: An analysis of 28 cities. Urban Governance 2019, 4,(4), 255-273. [CrossRef]
- Noori, N., Hoppe, T., van der Werf, I., & Janssen, M. A framework to analyze inclusion in smart energy city development: The case of Smart City Amsterdam. Cities 2025, 158, 105710. [CrossRef]
- Grimaldi, D., & Fernandez, V. The alignment of University curricula with the building of a Smart City: A case study from Barcelona. Technological Forecasting and Social Change 2017, 123, 298-306. [CrossRef]
- Fernandez-Anez, V., Fernández-Güell, J.M., & Giffinger, R. Smart City implementation and discourses: An integrated conceptual model. The case of Vienna 2018, Cities, 78, 4-16. [CrossRef]
- Roblek, V. 5 - The smart city of Vienna, Editor(s): Leonidas Anthopoulos, Smart City Emergence, Elsevier, 105-127. [CrossRef]
- Costales, E., & Zeyen, A. (2025). From social interaction to societal discourse: An ordonomic analysis of the smart city. Cities 2019, 161, 105885. [CrossRef]
- Cengiz, B., Adam, I.Y., Ozdem, M., & Das, R. A survey on data fusion approaches in IoT-based smart cities: Smart applications, taxonomies, challenges, and future research directions. Information Fusion 2025, 121, 103102. [CrossRef]
- Randall, L., Rinne, T., Berlina, A., & Sigurjónsdóttir, R.H. Smart magic? Global discourse and local planning in three Nordic cities. Cities 2025, 160, 105837. [CrossRef]
- Parra-Pulido, R. A., Hernández-Peña, Y. T., & Zafra-Mejía, C. A. Systematic Review of Dimensions and Indicators in Sustainable and Smart Cities: Trends, Interdependencies, and Continental Variations. Urban Science, 8(4), 202. [CrossRef]
- García-Aranda 2024, C., Martínez-Cuevas, S., Torres, Y., & Pedrote Sanz, M. A Digital Twin of a University Campus from an Urban Sustainability Approach: Case Study in Madrid (Spain). Urban Science, 8(4), 167. [CrossRef]
- Chovancová 2024, J., Petruška, I., & Pata, U. K. A Cross-National Study on Sustainable Smart City Indicators and Their Influence on Life Expectancy—A Cluster Analysis of EU Countries. Urban Science, 8(4), 164. [CrossRef]
- Prateeppornnarong 2024, D. Cities and sustainability: Exploring contributions, opportunities and challenges of smart city implementation towards social sustainability. Urban Governance 2025, 5(1), 69-78. [CrossRef]
- Yang, R., & Zhen, F. Smart city development Models: A cross-cultural regional analysis from theory to practice. Research in Globalization. [CrossRef]
- Suhardono, S., Lee, C-H., Phan, T.T.T., & Suryawan, I.W.K. Resident action in smart waste management during landfill disclosure transition: Insights from Yogyakarta's smart city initiatives. Cleaner Production Letters. 2025, 8, 100093. [CrossRef]
- Dindarian, A. Chapter 20 - Overview: The smart sustainable city initiatives and the circular economy, Editor(s): Alexandros Stefanakis, Ioannis Nikolaou. Circular Economy and Sustainability 2022, Elsevier, 369-384. [CrossRef]
- Peerlings, E., Vranic, S., Kalas, J.O.M., Steeneveld, G-J. Indoor heat in Amsterdam: Comparing observed indoor air temperatures from a professional network and from a citizen science approach. City and Environment Interactions 2024, 24, 100173. [CrossRef]
- Riepl, T., Schaffartzik, A., Grabow, S., & Banabak, S. Living well with the foundational economy: Assessing the spatial accessibility of foundational infrastructures in Vienna and the relationship to socio-economic status. Ecological Economics. 2025, 232, 108558. [CrossRef]
- Mattijssen, T.J.M., Hennen, W., Buijs, A.B., Dooij, P.D., Lammeren, R.V., Walet, L. Urban greening co-creation: Participatory spatial modelling to bridge data-driven and citizen-centred approaches. Urban Forestry & Urban Greening. 2024, 94, 128257. [CrossRef]
- Podder, S.K., Samanta, D., & Etemi, B.P. Impact of Internet of Things (IoT) applications on HR analytics and sustainable business practices in smart city. Measurement: Sensors 2024, 35, 101296. 2024, 35, 101296. [CrossRef]
- Chiradeja, P., & Yoomak, S. Development of public lighting system with smart lighting control systems and internet of thing (IoT) technologies for smart city. Energy Reports 2023, 10, 3355-3372. 2023, 10, 3355–3372. [CrossRef]
- Liu, D., Wei, J., & Kan, Z. Integrated transit service status assessment using smart transit card big data under the x-minute city framework. Journal of Transport Geography. 2025, 125, 104189. [CrossRef]
- Olivier, A., Adams, M., Mohammadi, S., Smyth, A., Thomson, K., Kepler, T., & Dadlani, M. Data analytics for improved closest hospital suggestion for EMS operations in New York City. Sustainable Cities and Society 2022, 86, 104104. 2022, 86, 104104. [CrossRef]
- Huang, G., Li, D., Zhou, S.. Ng. T., Wang, W., & Wang, L. Public opinion on smart infrastructure in China: Evidence from social media. Utilities Polic. 2025, 93, 101886. [CrossRef]
- Xie, X., Zheng, L., Wang, R., & Gou, Z. Visitors’ experience of using smart facilities in urban parks: A study in Shenzhen. Journal of Outdoor Recreation and Tourism. 2024, 46, 100759. [CrossRef]
- Xanthopoulos, S., van der Tuin, M., Azadeh, S.S., de Almeida Correia, G.H., van Oort, N., & Snelder, M. Optimization of the location and capacity of shared multimodal mobility hubs to maximize travel utility in urban areas. Transportation Research Part A: Policy and Practice. 2024, 179, 103934. [CrossRef]
- El-Afifi, M.I., Sedhom, B.E., Padmanaban, S., & Eladl, A.A. A review of IoT-enabled smart energy hub systems: Rising, applications, challenges, and future prospects. Renewable Energy Focus. 2024, 51, 100634. [CrossRef]
- Bösehans, G., Bell, M., Thorpe, N., Liao, F., de Almeida Correia, G.H., & Dissanayake, D. eHUBs—Identifying the potential early and late adopters of shared electric mobility hubs. International Journal of Sustainable Transportations 2023, 17(3), 199-218. [CrossRef]
- Rongen, T., Tillema, T., Arts, J., Alonso-González, J.M., & Witte, J-J. An analysis of the mobility hub concept in the Netherlands: Historical lessons for its implementation. Journal of Transport Geography 2022, 104, 103419. [CrossRef]
- Junyent, I.A., Casanovas, M.M., Roukouni, A., Sanz, J.M., Blanch, E.R., & de Almeida Correia, G.H. Planning shared mobility hubs in European cities: A methodological framework using MCDA and GIS applied to Barcelona. Sustainable Cities and Society 2024, 106, 105377. [CrossRef]
- Song, B., Xia, H., Law, B., Muskat, B., & Li, G. Discovery of smart hotels’ competitiveness based on online reviews. International Journal of Hospitality Management 2024, 123, 103926. [CrossRef]
- Diwan, S.A. Optimizing guest experience in smart hospitality: Integrated fuzzy-AHP and machine learning for centralized hotel operations with IoT. Alexandria Engineering Journal 2025, 116, 535-547. [CrossRef]
- Firoozi, A.A., Oyejobi, D.O., & Firoozi, A.A. Innovations in energy-efficient construction: Pioneering sustainable building practices. Cleaner Engineering and Technology. 2025, 26, 100957. [CrossRef]
- Li, S., Yuan,F., & Liu, J. Smart city VR landscape planning and user virtual entertainment experience based on artificial intelligence. Entertainment Computing. 2024, 51, 100743. [CrossRef]
- Esper, J.P., de S. Fraga, L., Viana, A.C., Cardoso, K.V., & Correa, S.L. +Tour: Recommending personalized itineraries for smart tourism. Computer Networks. 2025, 260, 111118. [CrossRef]
- Yoo, S., Beumer, R., van Wee, B., Mouter, N., & Molin, E. Perceived accessibility by air transportation: A focus group study of potential air travelers in The Netherlands. Transportation Research Part A: Policy and Practice. 2025, 193, 104394. [CrossRef]
- Zakaria, N. Zakaria, N., & Yusof, S.A.M. Crossing Cultural Boundaries Using the Internet: Toward Building a Model of Swift Trust Formation in Global Virtual Teams. Journal of International Management 2020, 26(1), 100654. [CrossRef]
- Bolívar, M.P.R., Muñoz, L.A. & Muñoz, C.A. Identifying patterns in smart initiatives' planning in smart cities. An empirical analysis in Spanish smart cities. Technological Forecasting and Social Change. 2023, 196, 122781. [CrossRef]
- Butt, A.U.R., Saba, T., Khan, I., Mahmood, T., Khan, A.R., Singh, S.K., Daradkeh, Y.I., & Ullah, I. Proactive and data-centric Internet of Things-based fog computing architecture for effective policing in smart cities. Computers and Electrical Engineering 2025, 123(Part B), 110030. [CrossRef]

| Factor | Initial Eigenvalues | Extraction Sums of Squared Loadings | Rotation Sums of Squared Loadings | ||||||
|---|---|---|---|---|---|---|---|---|---|
| Total | % of Variance | Cumulative % | Total | % of Variance | Cumulative % | Total | % of Variance | Cumulative % | |
| 1 | 5,247 | 52,468 | 52,468 | 2,034 | 20,338 | 20,338 | 4,655 | 46,549 | 46,549 |
| 2 | 2,340 | 23,404 | 75,872 | 4,892 | 48,919 | 69,257 | 1,782 | 17,821 | 64,370 |
| 3 | 1,113 | 11,131 | 87,002 | 1,252 | 12,515 | 81,772 | 1,740 | 17,402 | 81,772 |
| 4 | ,384 | 3,838 | 90,840 | ||||||
| 5 | ,275 | 2,749 | 93,589 | ||||||
| 6 | ,256 | 2,561 | 96,150 | ||||||
| 7 | ,167 | 1,674 | 97,825 | ||||||
| 8 | ,099 | ,986 | 98,810 | ||||||
| 9 | ,077 | ,766 | 99,576 | ||||||
| 10 | ,042 | ,424 | 100,000 | ||||||
| Factors | |||
|---|---|---|---|
| Factor 1 | Factor 2 | Factor 3 | |
| Enhanced Travel | -,029 | ,893 | ,077 |
| Digital Enhancement | ,015 | ,837 | ,039 |
| Secure Travel | -,043 | ,798 | ,068 |
| Digital Investment | ,425 | ,322 | ,735 |
| Efficient Mobility | ,999 | -,002 | -,004 |
| Interactive Experience | -,005 | ,981 | -,095 |
| Seamless Planning | ,865 | ,067 | -,064 |
| Instant Access | ,021 | ,942 | -,104 |
| Personalized Services | ,317 | ,327 | ,820 |
| Sustainable Innovation | -,040 | ,832 | ,038 |
| Estimate | |||
|---|---|---|---|
| Smart Travel | <--- | Digital Enhancement | -1,266 |
| Smart Travel | <--- | Smart Efficiency | 1,602 |
| Personalized Services | <--- | Digital Enhancement | ,412 |
| Digital Investment | <--- | Digital Enhancement | ,504 |
| Enhanced Travel | <--- | Smart Travel | ,898 |
| Digital Enhancement | <--- | Smart Travel | ,841 |
| Secure Travel | <--- | Smart Travel | ,806 |
| Interactive Experience | <--- | Smart Travel | ,977 |
| Instant Access | <--- | Smart Travel | ,941 |
| Sustainable Innovation | <--- | Smart Travel | ,834 |
| Seamless Planning | <--- | Smart Efficiency | ,853 |
| Efficient Mobility | <--- | Smart Efficiency | 1,015 |
Disclaimer/Publisher’s Note: The statements, opinions and data contained in all publications are solely those of the individual author(s) and contributor(s) and not of MDPI and/or the editor(s). MDPI and/or the editor(s) disclaim responsibility for any injury to people or property resulting from any ideas, methods, instructions or products referred to in the content. |
© 2025 by the authors. Licensee MDPI, Basel, Switzerland. This article is an open access article distributed under the terms and conditions of the Creative Commons Attribution (CC BY) license (http://creativecommons.org/licenses/by/4.0/).