Submitted:
08 April 2025
Posted:
09 April 2025
You are already at the latest version
Abstract

Keywords:
1. Introduction
2. Computational Methods
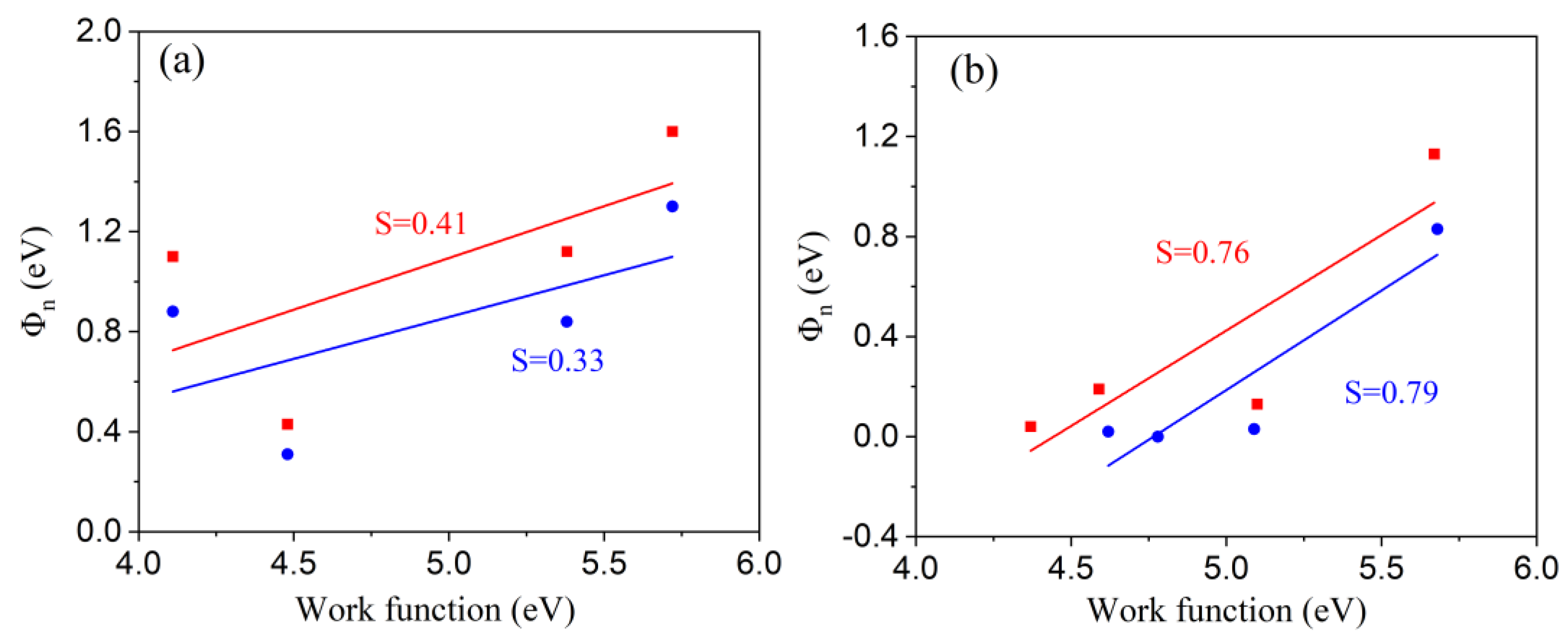
3. Results and Discussion
4. Conclusions
Declaration of Competing Interest
Supplementary Materials
Acknowledgments
References
- An, J.; Zhao, X.; Zhang, Y.; Liu, M.; Yuan, J.; Sun, X.; Zhang, Z.; Wang, B.; Li, S.; Li, D. Perspectives of 2D materials for optoelectronic integration. Adv. Funct. Mater. 2022, 32, 2110119. [Google Scholar] [CrossRef]
- Chhowalla, M.; Jena, D.; Zhang, H. Two-dimensional semiconductors for transistors. Nat. Rev. Mater. 2016, 1, 1–15. [Google Scholar] [CrossRef]
- Long, X.; Deng, X.; Hu, F.; Xie, J.; Lv, B.; Liao, Y.; Wang, W. Tunable valley characteristics of WSe2 and WSe2/VSe2 heterostructure. Appl. Surf. Sci. 2023, 624, 157111. [Google Scholar] [CrossRef]
- Dhakal, K.P.; Roy, S.; Jang, H.; Chen, X.; Yun, W.; Kim, H.; Lee, J.; Kim, J. Local strain induced band gap modulation and photoluminescence enhancement of multilayer transition metal dichalcogenides. Chem. Mater. 2017, 29, 5124–5133. [Google Scholar] [CrossRef]
- Dai, T.; Liu, Y.; Fan, X.; Liu, X.; Xie, D.; Li, Y. Synthesis of few-layer 2H-MoSe2 thin films with wafer-level homogeneity for high-performance photodetector. Nanophotonics 2018, 7, 1959–1969. [Google Scholar] [CrossRef]
- Kurpas, M.; Junior, P.; Gmitra, M.; Fabian, J. Spin-orbit coupling in elemental two-dimensional materials. Phys. Rev. B. 2019, 100, 125422. [Google Scholar] [CrossRef]
- Jin, C.; Regan, E.C.; Yan, A.; Utama, M.; Wang, D.; Zhao, S.; Qin, Y.; Yang, S.; Zheng, Z.; Taniguchi, K.; Tongay, S.; Zettl, A.; Wang, F. Observation of moiré excitons in WSe2/WS2 heterostructure superlattices. Nature 2019, 567, 76–80. [Google Scholar] [CrossRef]
- Alam, K. Physical insight and performance metrics of monolayer MX2 heterojunction TFETs. Micro Nano Lett. 2020, 15, 81–85. [Google Scholar] [CrossRef]
- Choukroun, J.; Pala, M.; Fang, S.; Kaxiras, E.; Dollfus, P. High performance tunnel field effect transistors based on in-plane transition metal dichalcogenide heterojunctions. Nanotechnology 2018, 30, 025201. [Google Scholar] [CrossRef] [PubMed]
- Peng, B.; Yu, G.; Liu, X.; Liu, B.; Liang, X.; Bi, L.; Deng, L.; Sum, T.; Loh, K. Ultrafast charge transfer in MoS2/WSe2 p–n Heterojunction. 2D Mater. 2016, 3, 025020. [Google Scholar] [CrossRef]
- Policht, V.R.; Russo, M.; Liu, F.; Trovatallo, C.; Maiuri, M.; Bai, Y.; Zhu, X.; Conte, S.; Cerullo, G. Dissecting interlayer hole and electron transfer in transition metal dichalcogenide heterostructures via two-dimensional electronic spectroscopy. Nano Lett. 2021, 21, 4738–4743. [Google Scholar] [CrossRef]
- Conte, S.; Trovatello, C.; Gadermaier, C.; Gerullo, G. Ultrafast photophysics of 2D semiconductors and related heterostructures. Trends Chem. 2020, 2, 28–42. [Google Scholar] [CrossRef]
- Jin, C.; Ma, E.; Karni, O.; Regan, E.C.; Wang, F.; Heinz, T.F. Ultrafast dynamics in van der Waals heterostructures. Nat. Nanotechnol. 2018, 13, 994–1003. [Google Scholar] [CrossRef] [PubMed]
- Varghese, A.; Saha, D.; Thakar, K.; Jindal, V.; Ghosh, S.; Medhekar, N.; Ghosh, S.; Lodha, S. Near-direct bandgap WSe2/ReS2 type-II pn heterojunction for enhanced ultrafast photodetection and high-performance photovoltaics. Nano lett. 2020, 20, 1707–1717. [Google Scholar] [CrossRef] [PubMed]
- Ornelas, C.D.; Bowman, A.; Walmsley, T.S.; Wang, T.; Andrews, K.; Zhou, Z.; Xu, Y. Ultrafast photocurrent response and high detectivity in two-dimensional MoSe2-based heterojunctions. ACS Appl. Mater. Interfaces 2020, 12, 46476–46482. [Google Scholar] [CrossRef]
- Ugeda, M.M.; Bradley, A.J.; Shi, S.; Jornada, F.; Zhang, Y.; Qiu, D.Y.; Ruan, W.; Mo, S.; Hussain, Z.; Wang, F.; Louie, S.G.; Crommie, M.F. Giant bandgap renormalization and excitonic effects in a monolayer transition metal dichalcogenide semiconductor. Nat. Mater. 2014, 13, 1091–1095. [Google Scholar] [CrossRef]
- Ding, X.; Zhao, Y.; Xiao, H.; Qiao, L. Engineering Schottky-to-Ohmic contact transition for 2D metal–semiconductor junctions. Appl. Phys. Lett. 2021, 1, 18. [Google Scholar] [CrossRef]
- Y. Wang, M. Chhowalla, Making clean electrical contacts on 2D transition metal dichalcogenides. Nat. Rev. Phys. 2022, 4, 101–112.
- Ross, J.S.; Klement, P.; Jones, A.M.; Ghimire, N.J.; Yan, J.; Mandrus, D.G.; Taniguchi, T.; Watanabe, K.; Kitamura, K.; Yao, W.; Cobden, D.H.; Xu, X. Electrically tunable excitonic light-emitting diodes based on monolayer WSe2 p–n junctions. Nat. Nanotechnol. 2014, 9, 268–272. [Google Scholar] [CrossRef]
- Baugher, B.W.H.; Churchill, H.O.H.; Yang, Y.; Jarillo-Herrero, P. Optoelectronic devices based on electrically tunable p–n diodes in a monolayer dichalcogenide. Nat. Nanotechnol. 2014, 9, 262–267. [Google Scholar] [CrossRef]
- Liu, Y.; Guo, J.; Zhu, E.; Liao, L.; Lee, S.; Ding, M.; Shakir, I.; Gambin, V.; Huang, Y.; Duan, X. Approaching the Schottky–Mott limit in van der Waals metal–semiconductor junctions. Nature 2018, 557, 696–700. [Google Scholar] [CrossRef]
- Chen, J.; Zhang, Z.; Guo, Y.; Robertson, J. Metal contacts with Moire interfaces on WSe2 for ambipolar applications. Appl. Phys. Lett. 2022, 121, 051602. [Google Scholar] [CrossRef]
- Lizzit, D.; Khakbaz, P.; Driussi, F.; Pala, M.; Esseni, D. Ohmic behavior in metal contacts to n/p-type transition-metal dichalcogenides: Schottky versus tunneling barrier trade-off. ACS Appl. Nano Mater. 2023, 6, 5737–5746. [Google Scholar] [CrossRef]
- Noori, K.; Xuan, F.; Quek, S. Origin of contact polarity at metal-2D transition metal dichalcogenide interfaces. 2D Mater. Appl. 2022, 6, 73. [Google Scholar] [CrossRef]
- Wang, T.; Jin, H.; Li, J.; Wei, Y. Toward barrier free contact to MoSe2/WSe2 heterojunctions using two-dimensional metal electrodes. Nanotechnology 2018, 30, 015707. [Google Scholar] [CrossRef] [PubMed]
- Sotthewes, K.; Bremen, R.; Dollekamp, E.; Boulogne, T.; Nowakowski, K.; Kas, D.; Zandvliet, H.J.W.; Bampoulis, P. Universal Fermi-level pinning in transition-metal dichalcogenides. J. Phys. Chem. C. 2019, 123, 5411–5420. [Google Scholar] [CrossRef]
- Li, S.; Chen, J.; He, X.; Zheng, Y.; Yu, C.; Lu, H. Comparative study of the micro-mechanism of charge redistribution at metal-semiconductor and semimetal-semiconductor interfaces: Pt(Ni)-MoS2 and Bi-MoS2(WSe2) as the prototype. Appl. Surf. Sci. 2023, 623, 157036. [Google Scholar] [CrossRef]
- Pande, G.; Sian, J.; Chen, W.; Lee, C.; Sankar, R.; Chang, Y.; Chen, C.; Chang, W.; Chou, F.; Lin, M. Ultralow Schottky barriers in hexagonal boron nitride-encapsulated monolayer WSe2 tunnel field-effect transistors. ACS Appl. Mater. Interfaces 2020, 12, 18667–18673. [Google Scholar] [CrossRef]
- Farmanbar, M.; Brocks, G. Controlling the Schottky barrier at MoS2/metal contacts by inserting a BN monolayer. Phys. Rev. B. 2015, 91, 161304. [Google Scholar] [CrossRef]
- Chuang, S.; Battaglia, C.; Azcatl, A.; McDonnel, S.; Kang, J.; Yin, X.; Tosun, M.; Kapadia, R.; Fang, H.; Wallace, R.M.; Javey, A. MoS2 p-type transistors and diodes enabled by high work function MoOx contacts. Nano lett. 2014, 14, 1337–1342. [Google Scholar] [CrossRef]
- Kaushik, N.; Karmakar, D.; Nipane, A.; Karande, S.; Lodha, S. Interfacial n-doping using an ultrathin TiO2 layer for contact resistance reduction in MoS2. ACS Appl. Mater. Interfaces 2016, 8, 256–263. [Google Scholar] [CrossRef]
- Chanana, A.; Mahapatra, S. Prospects of zero Schottky barrier height in a graphene-inserted MoS2-metal interface. J. Appl. Phys. 2016, 119, 014303. [Google Scholar] [CrossRef]
- Chee, S.; Seo, D.; Kim, H.; Jang, H.; Lee, S.; Moon, S.; Lee, K.; Kim, S.; Choi, H.; Ham, M. Lowering the Schottky barrier height by graphene/Ag electrodes for high-mobility MoS2 field-effect transistors. Adv. Mater. 2019, 31, 1804422. [Google Scholar] [CrossRef] [PubMed]
- Jang, J.; Kim, Y.; Chee, S.; Kim, H.; Whang, D.; Kim, G.; Yun, S. Clean interface contact using a ZnO interlayer for low-contact-resistance MoS2 transistors. ACS Appl. Mater. Interfaces 2019, 12, 5031–5039. [Google Scholar] [CrossRef] [PubMed]
- Tran, K.; Moody, G.; Wu, F.; Lu, X.; Choi, J.; Kim, K.; Rai, A.; Sanchez, D. A.; Quan, J.; Singh, A.; Embley, J.; Zepeda, A.; Campbell, M.; Autry, T.; Taniguchi, T.; Watanabe, K.; Lu, N.; Banerjee, S. K.; Silverman, K. L.; Kim, S.; Tutuc, E.; Yang, L.; MacDonald, A.H.; Li, X. Evidence for moiré excitons in van der Waals heterostructures. Nature 2019, 567, 71–75. [Google Scholar] [CrossRef] [PubMed]
- Seyler, K.L.; Rivera, P.; Yu, H.; Wilson, N.P.; Ray, E.L.; Mandrus, D.G.; Yan, J.; Yao, W.; Xu, X. Signatures of moiré-trapped valley excitons in MoSe2/WSe2 heterobilayers. Nature 2019, 567, 66–70. [Google Scholar] [CrossRef]
- Jauregui, L.A.; Joe, A.Y.; Pistunova, K.; Wild, D.S.; Hign, A.A.; Zhou, Y.; Scuri, G.; Greve, K.; Sushko, A.; Yu, C.; Taniguchi, T.; Watanabe, K.; Needleman, D.J.; Lukin, M.D.; Park, H.; Kim, P. Electrical control of interlayer exciton dynamics in atomically thin heterostructures. Science 2019, 366, 870–875. [Google Scholar] [CrossRef] [PubMed]
- Perdew, J.P.; Burke, K.; Ernzerhof, M. Generalized gradient approximation made simple. Phys. Rev. Lett. 1996, 77, 3865. [Google Scholar] [CrossRef]
- Methfessel, M.; Paxton, A.T. High-precision sampling for Brillouin-zone integration in metals. Phys. Rev. B. 1989, 40, 3616. [Google Scholar] [CrossRef]
- Blöchl, P.E.; Jepsen, O.; Andersen, O.K. Improved tetrahedron method for Brillouin-zone integrations. Phys. Rev. B. 1994, 49, 16223. [Google Scholar] [CrossRef]
- Kang, J.; Liu, W.; Sarkar, D.; Jena, D.; Banerjee, K. Computational study of metal contacts to monolayer transition-metal dichalcogenide semiconductors. Phys. Rev. X. 2014, 4, 031005. [Google Scholar] [CrossRef]
- Kang, J.; Liu, W.; Banerjee, K. High-performance MoS2 transistors with low-resistance molybdenum contacts. Appl. Phys. Lett. 2014, 104, 233502. [Google Scholar] [CrossRef]
- Morales, J.; Santos, J.; Tirado, J.L. Electrochemical studies of lithium and sodium intercalation in MoSe2. Solid State Ionics 1996, 83, 57–64. [Google Scholar] [CrossRef]
- Al-Hilli, A.A.; Evans, B.L. The preparation and properties of transition metal dichalcogenide single crystals. J. Cryst. Growth 1972, 15, 93–101. [Google Scholar] [CrossRef]
- Kang, J.; Sarkar, D.; Liu, W.; Jena, D.; Banerjee, K. A computational study of metal-contacts to beyond-graphene 2D semiconductor materials. IEEE International Electron Devices Meeting 2012, 407–410. [Google Scholar]
- Wang, Y.; Yang, R.; Quhe, R.; Zhong, H.; Cong, L.; Ye, M.; Ni, Z.; Song, Z.; Yang, J.; Shi, J.; Li, J.; Lu, J. Does p-type ohmic contact exist in WSe2–metal interfaces? Nanoscale 2016, 8, 1179–1191. [Google Scholar] [CrossRef] [PubMed]
- Pan, Y.; Li, S.; Ye, M.; Quhe, R.; Song, Z.; Wang, Y.; Zheng, J.; Pan, F.; Guo, W.; Yang, J.; Lu, J. Interfacial properties of monolayer MoSe2–metal contacts. J. Phys. Chem. C. 2016, 120, 13063–13070. [Google Scholar] [CrossRef]
- Zheng, J.; Wang, Y.; Wang, L.; Quhe, R.; Ni, Z.; Mei, W.; Gao, Z.; Yu, D.; Shi, J.; Lu, J. Interfacial properties of bilayer and trilayer graphene on metal substrates. Sci. Rep. 2013, 3, 2081. [Google Scholar] [CrossRef]
- Liu, W.; Kang, J.; Sarkar, D.; Khatami, Y.; Jena, D.; Banerjee, K. Role of metal contacts in designing high-performance monolayer n-type WSe2 field effect transistors. Nano lett. 2013, 13, 1983–1990. [Google Scholar] [CrossRef]
- Wu, Q.; Tagani, M.; Zhang, L.; Wang, J.; Xia, Y.; Zhang, L.; Xie, S.; Tian, Y.; Yin, L.; Zhang, W.; Rudenko, A.N.; Wee, A.T.S.; Wong, P.; Qin, Z. Electronic tuning in WSe2/Au via van der Waals interface twisting and intercalation. ACS Nano. 2022, 16, 6541–6551. [Google Scholar] [CrossRef]
- Kong, L.; Zhang, X.; Tao, Q.; Zhang, M.; Dang, W.; Li, Z.; Feng, L.; Liao, L.; Duan, X.; Liu, Y. Doping-free complementary WSe2 circuit via van der Waals metal integration. Nat. Commun. 2020, 11, 1866. [Google Scholar] [CrossRef]
- Wang, Y.; Kim, J.; Wu, R.J.; Martinez, J.; Song, X.; Yang, J.; Zhao, F.; Mkhoyan, A.; Jeong, H.; Chhowalla, M. Van der Waals contacts between three-dimensional metals and two-dimensional semiconductors. Nature 2019, 568, 70–74. [Google Scholar] [CrossRef] [PubMed]
- Wang, J.; Yao, Q.; Huang, C.; Zou, X. High Mobility MoS2 transistor with low Schottky barrier contact by using atomic thick h-BN as a tunneling layer. Adv. Mater. 2016, 28, 8302–8308. [Google Scholar] [CrossRef] [PubMed]
- Chee, S.; Seo, D.; Kim, H.; Jang, H.; Lee, S.; Moon, S.; Lee, K.; Kim, S.; Choi, H.; Ham, M. Lowering the Schottky barrier height by graphene/Ag electrodes for high-mobility MoS2 field-effect transistors. Adv. Mater. 2019, 31, 1804422. [Google Scholar] [CrossRef] [PubMed]
- Park, W.; Kim, Y.; Lee, S.; Jung, U.; Yang, J.; Cho, C.; Kim, Y.; Lim, S.; Hwang, I.; Lee, H.; lee, B. Contact resistance reduction using Fermi level de-pinning layer for MoS2 FETs. 2014 IEEE International Electron Devices Meeting, 2014, 5.1.1-5.1. 4.
- Jiang, J.; Xu, L.; Du, L.; Li, L.; Zhang, G.; Qiu, C.; Peng, L. Yttrium-doping-induced metallization of molybdenum disulfide for ohmic contacts in two-dimensional transistors. Nat. Electron. 2024, 7, 545–556. [Google Scholar] [CrossRef]
- Cowley, A.M.; Sze, S.M. Surface states and barrier height of metal-semiconductor systems. J. Appl. Phys. 1965, 36, 3212–3220. [Google Scholar] [CrossRef]








![]() |
Disclaimer/Publisher’s Note: The statements, opinions and data contained in all publications are solely those of the individual author(s) and contributor(s) and not of MDPI and/or the editor(s). MDPI and/or the editor(s) disclaim responsibility for any injury to people or property resulting from any ideas, methods, instructions or products referred to in the content. |
© 2025 by the authors. Licensee MDPI, Basel, Switzerland. This article is an open access article distributed under the terms and conditions of the Creative Commons Attribution (CC BY) license (http://creativecommons.org/licenses/by/4.0/).

