Submitted:
08 April 2025
Posted:
08 April 2025
You are already at the latest version
Abstract

Keywords:
1. Introduction
2. Methodology
2.1. General Expression of Aircraft Engine Component Characteristics


2.2. Analysis of the Operating Modes of Aeroengine Compressors and Turbines

2.3. Extrapolation Method for Component Characteristics Below Idle Based on Curve and Surface Fitting
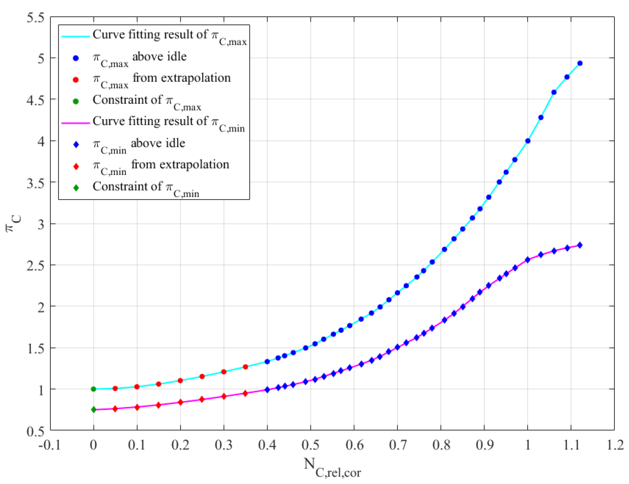
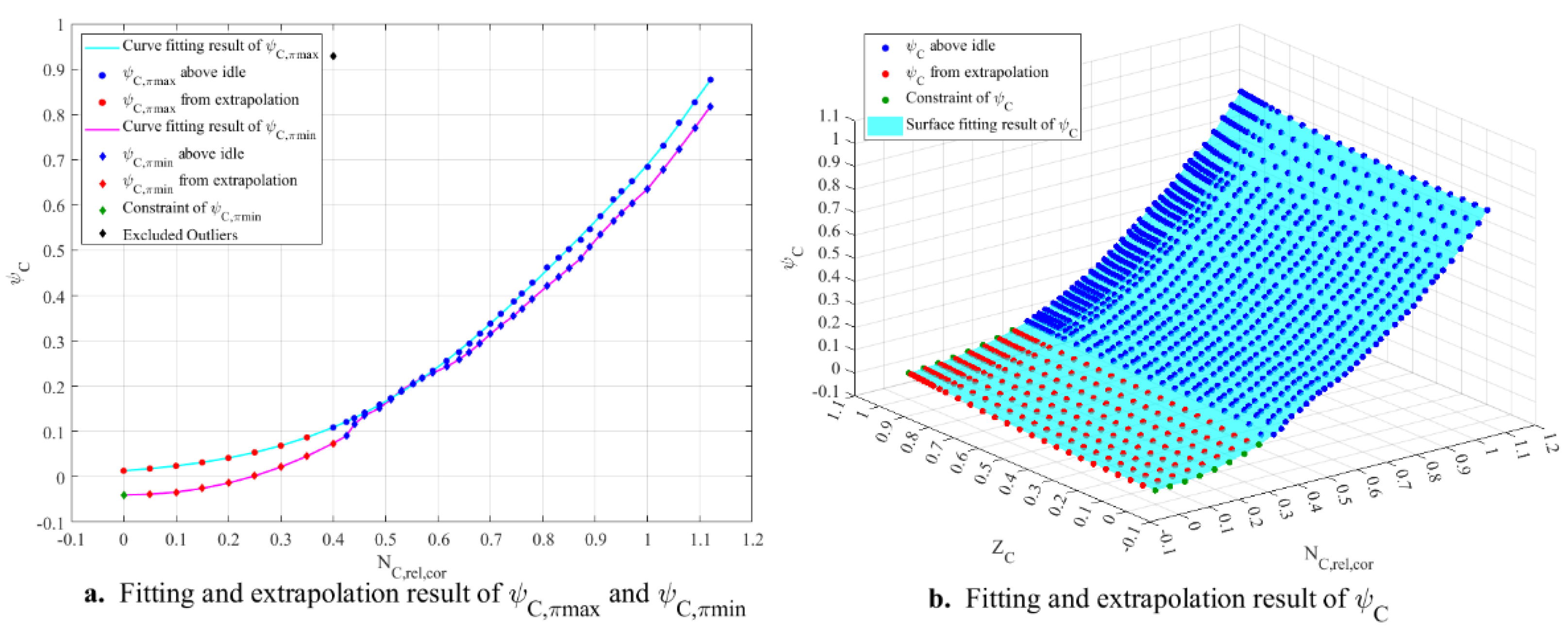
2.3.1. Compressor Component Characteristics Extrapolation Method
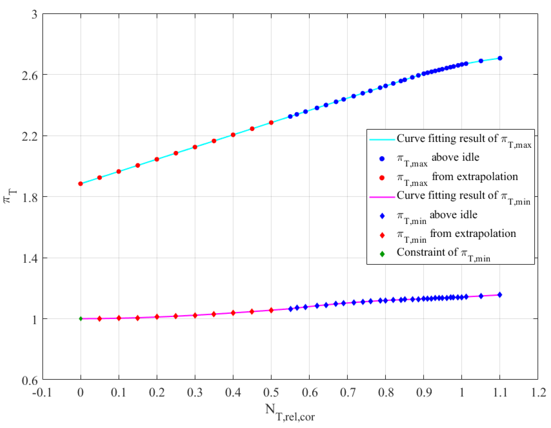
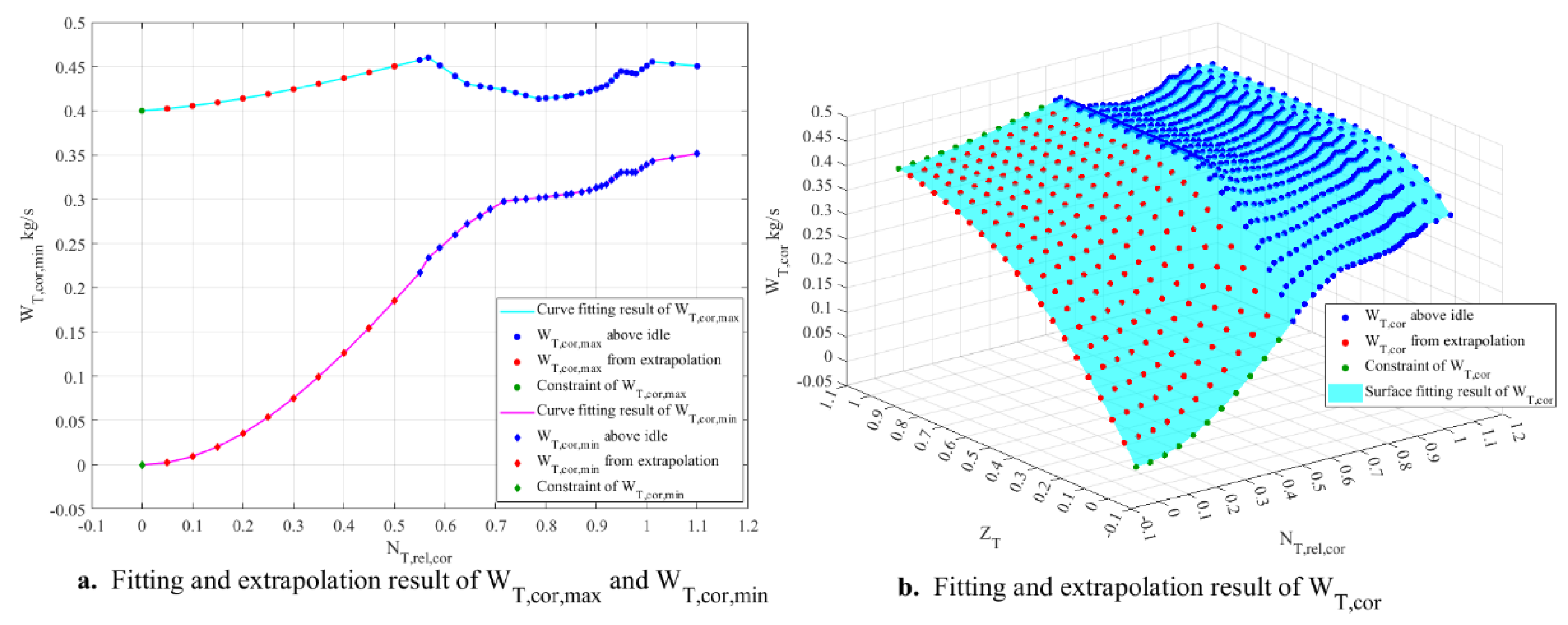
2.3.2. Turbine Component Characteristics Extrapolation Method
3. Results and Simulation Verification
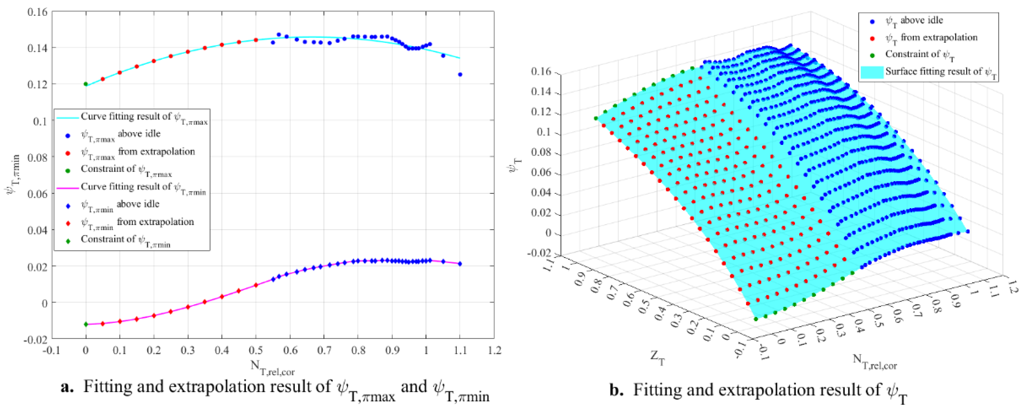
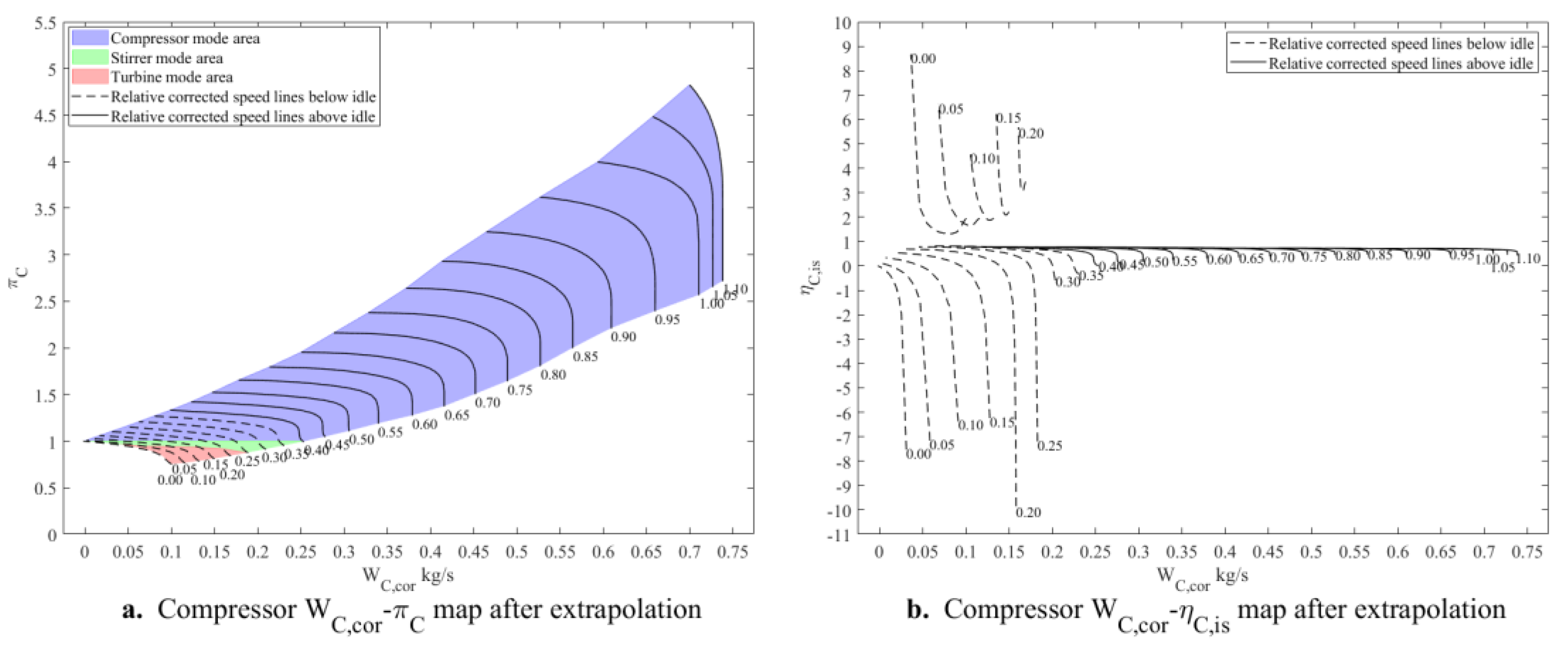
3.1. Component Characteristic Extrapolation Results and Discussion
3.2. Preparation Before Simulation Validation
3.3. Simulation Results and Discussion
4. Conclusions
5. Patents
Author Contributions
Data Availability Statement
Conflicts of Interest
Abbreviations
| PCHPI | Piecewise Cubic Hermite Polynomial Interpolation |
References
- Jones, G.; Pilidis, P.; Curnock, B. Extrapolation of Compressor Characteristics to the Low-Speed Region for Sub-Idle Performance Modelling. In Proceedings of the Volume 2: Turbo Expo 2002, Parts A and B; ASMEDC, Amsterdam, The Netherlands, 1 January 2002; pp. 861–867. [Google Scholar] [CrossRef]
- Kurzke, J. How to Create a Performance Model of a Gas Turbine from a Limited Amount of Information. In Proceedings of the Volume 1: Turbo Expo 2005; ASMEDC: Reno, Nevada, USA, January 2005; pp. 145–153. [CrossRef]
- Shi, Y. A Research on full states performance model for civil high bypass turbofan engine. Thesis for Doctor’s Degree of Northwestern Polytechnical University, 2017.
- Agrawal, R.K.; Yunis, M.A. A generalized mathematical model to estimate gas turbine starting characteristics. in Volume 1: Journal of Engineering for Power, 1982, 104, 194-201. [CrossRef]
- Sexton, W.R. A method to control turbofan engine starting by varying compressor surge valve bleed. Thesis for Master’s Degree of Virginia Polytechnic Institute and State University, 2001.
- Gaudet, S.R.; Gauthier, J.E.D. A Simple Sub-Idle Component Map Extrapolation Method. In Proceedings of the Volume 1: Turbo Expo 2007; ASMEDC: Montreal, Canada, 1 January 2007; pp. 29–37. [CrossRef]
- Zhou, W.X. Research on object-oriented modeling and simulation for aeroengine and control system. Thesis for Doctor’s Degree of Nanjing University of Aeronautics and Astronautics, 2006.
- Rao, G.; Su, S.M.; Zhai, X.B. Method of compressor characteristic extension combining exponent extrapolation method with support vector machine. Journal of Aerospace Power 2017, 32, 749–755. [CrossRef]
- Hao, W.; Wang, Z.X.; Zhang, X.B.; Zhou, L.; Wang, J.K. Ground starting modeling and control law design method of variable cycle engine. Journal of Aerospace Power 2022, 37, 152–164. [Google Scholar] [CrossRef]
- Hao, W.; Wang, Z.X.; Zhang, X.B.; Zhou, L.; Wang, W.L. Modeling and simulation study of variable cycle engine windmill starting. Journal of Propulsion Technology 2022, 43, 44–54. [Google Scholar] [CrossRef]
- NASA Aerodynamic design of axial flow compressors. Preprint at. Available online: https://ntrs.nasa.gov/api/citations/19650013744/ downloads/19650013744.pdf.
- De-You, Y. Modelling the Axial-Flow Compressors for Calculating Starting of Turbojet Engines. In Proceedings of the Volume 1: Aircraft Engine; Turbomachinery; American Society of Mechanical Engineers: Beijing, People’s Republic of China, September 1 1985; p. V001T02A038. 001. [CrossRef]
- Ju, X.X.; Zhang, H.B.; Chen, H.Y. A research on start-up modeling for turbo shaft engines. Journal of Propulsion Technology 2017, 38, 1386–1394. [Google Scholar] [CrossRef]
- Steinke, R.J. A computer code for predicting multistage axial-flow compressor performance by a meanline stage-stacking method. Preprint at. 2020. Available online: https://ntrs.nasa.gov/api/citations/19820017374/downloads/19820017374.pdf.
- Zachos, P.K.; Aslanidou, I.; Pachidis, V.; Singh, R. A Sub-Idle Compressor Characteristic Generation Method With Enhanced Physical Background. Journal of Engineering for Gas Turbines and Power 2011, 133, 081702. [Google Scholar] [CrossRef]
- Zachos, P.K. Gas turbine sub-idle performance modelling; altitude relight and windmilling. Thesis for Doctor’s Degree of Cranfield University, 2010.
- Zheng, J.; Chang, J.; Ma, J.; Yu, D. Modeling and Analysis of Windmilling Operation during Mode Transition of a Turbine-Based-Combined Cycle Engine. Aerospace Science and Technology 2021, 109, 106423. [Google Scholar] [CrossRef]
- Ferrer-Vidal, L.E.; Iglesias-Pérez, A.; Pachidis, V. Characterization of Axial Compressor Performance at Locked Rotor and Torque-Free Windmill Conditions. Aerospace Science and Technology 2020, 101, 105846. [Google Scholar] [CrossRef]
- NASA Extended parametric representaion of compressor fans and turbines Volume I—CMGEN user’s manual. Available online: https://ntrs.nasa.gov/api/citations/19860014465/downloads/19860014465.pdf.
- NASA Extended parametric representaion of compressor fans and turbines Volume II—PART user’s manual. Available online: https://ntrs.nasa.gov/api/citations/19860014466/downloads/19860014466.pdf.
- NASA Extended parametric representaion of compressor fans and turbines Volume III—MODFAN user’s manual. Available online: https://ntrs.nasa.gov/api/citations/19860014467/downloads/19860014467.pdf.
- Shi, Y.; Tu, Q.Y.; Yan, H.M.; Jiang, P.; Cai, Y.H. A full states performance model for aeroengine. Journal of Aerospace Power 2017, 32, 373–381. [Google Scholar] [CrossRef]
- Wang, J.M.; Guo, Y.Q.; Yu, H.F. Extension method of engine low speed characteristics based on backbone features. Journal of Beijing University of Aeronautics and Astronautics 2023, 49, 2351–2360. [Google Scholar] [CrossRef]
- Jun, F.; Tianhong, Z. Simulation of Start-Up Process of Turbofan Engine Based on Full-State Characteristics of Fan. 41. [CrossRef]
- Kurzke, J. SmoothC9: Preparing compressor maps for gas turbine performance modeling. User’s Manual. Available online: https://www.gasturb.com.
- Kurzke, J. SmoothT9: Preparing turbine maps for gas turbine performance modeling. User’s Manual. Available online: https://www.gasturb.com.
- Kurzke, J. Correlations Hidden in Compressor Maps. In Proceedings of the Volume 1: Aircraft Engine; Ceramics; Coal, Biomass and Alternative Fuels; Wind Turbine Technology; ASMEDC: Vancouver, British Columbia, Canada, January 1 2011; pp. 161–170. [CrossRef]
- Kurzke, J. Generating compressor maps to simulate starting and windmilling. International Society for Air Breathing Engines 2019, 2499. [Google Scholar]
- Joachim, K. Turbine Map Extension—Theoretical Considerations and Practical Advice. J. Glob. Power Propuls. Soc. 2020, 4, 176–189. [Google Scholar] [CrossRef]
- Joachim, K. Starting and Windmilling Simulations Using Compressor and Turbine Maps. J. Glob. Power Propuls. Soc. 2023, 7, 58–70. [Google Scholar] [CrossRef]
- Kurzke, J. An enhanced compressor map extension method suited for spool speeds down to 1%. J. Glob. Power Propuls. Soc. 8, 215-226 (2024). [CrossRef]
- Kurzke, J. How to Get Component Maps for Aircraft Gas Turbine Performance Calculations. In Proceedings of the Volume 5: Manufacturing Materials and Metallurgy; Ceramics; Structures and Dynamics; Controls, Diagnostics and Instrumentation; Education; General; American Society of Mechanical Engineers: Birmingham, UK, June 10 1996; p. V005T16A001. [CrossRef]










| Mass Flow Rate (kg/s) | Compressor Pressure Ratio | Turbine Outlet Total Temperature (K) | Shaft Speed (rpm) | Thrust (N) |
|---|---|---|---|---|
| 0.692 | 3.39 | 1165.49 | 97070 | 351.71 |
Disclaimer/Publisher’s Note: The statements, opinions and data contained in all publications are solely those of the individual author(s) and contributor(s) and not of MDPI and/or the editor(s). MDPI and/or the editor(s) disclaim responsibility for any injury to people or property resulting from any ideas, methods, instructions or products referred to in the content. |
© 2025 by the authors. Licensee MDPI, Basel, Switzerland. This article is an open access article distributed under the terms and conditions of the Creative Commons Attribution (CC BY) license (http://creativecommons.org/licenses/by/4.0/).