Submitted:
26 March 2025
Posted:
27 March 2025
You are already at the latest version
Abstract
Keywords:
1. Introduction
2. Materials and Methods
2.1. Study Site
2.2. Data Investigation

3. Results
3.1. Comparison of Tree Count Extraction from ALS and Field-Based Methods
3.2. Total Tree Height Measurement and Accuracy Assessment
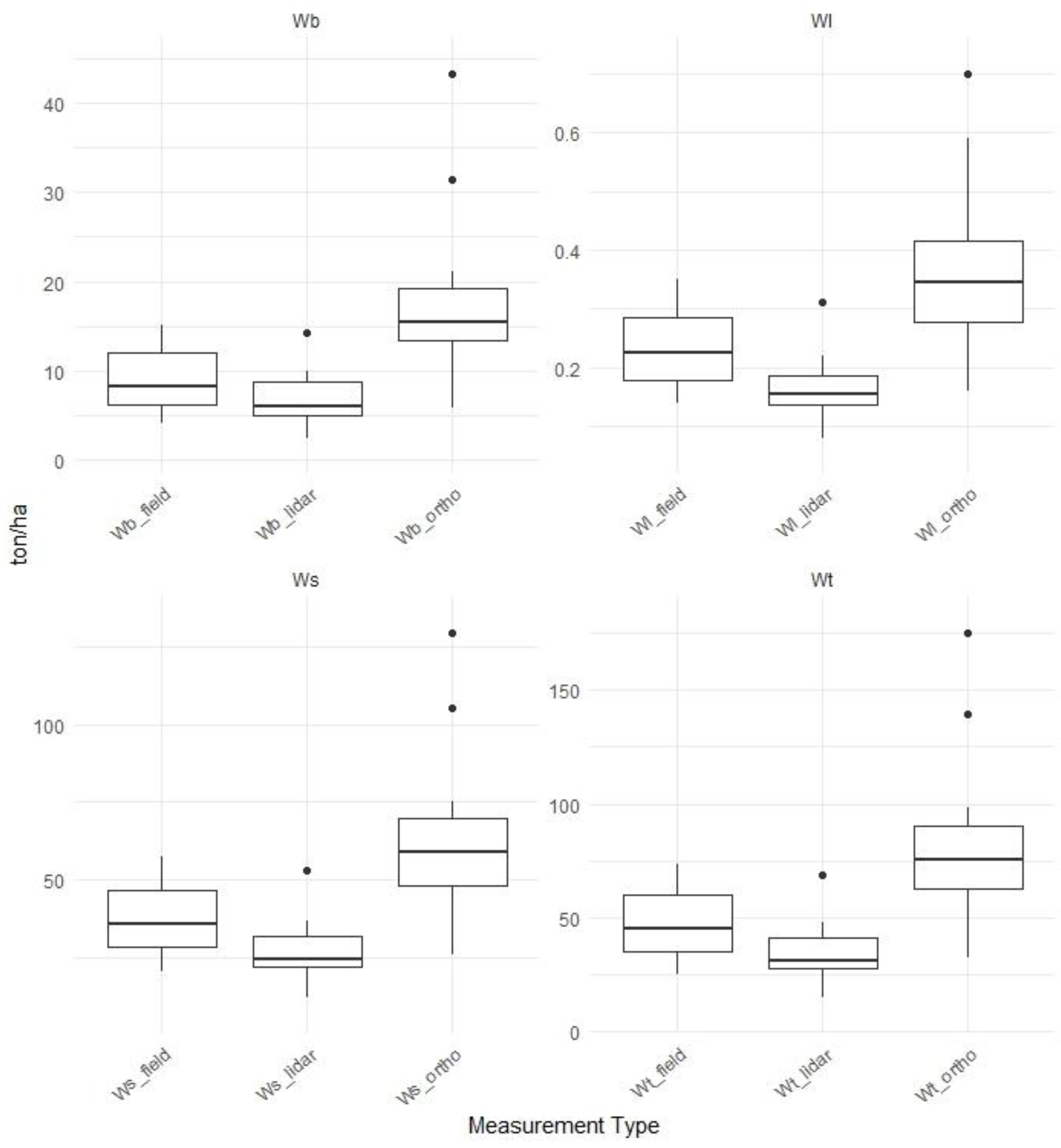
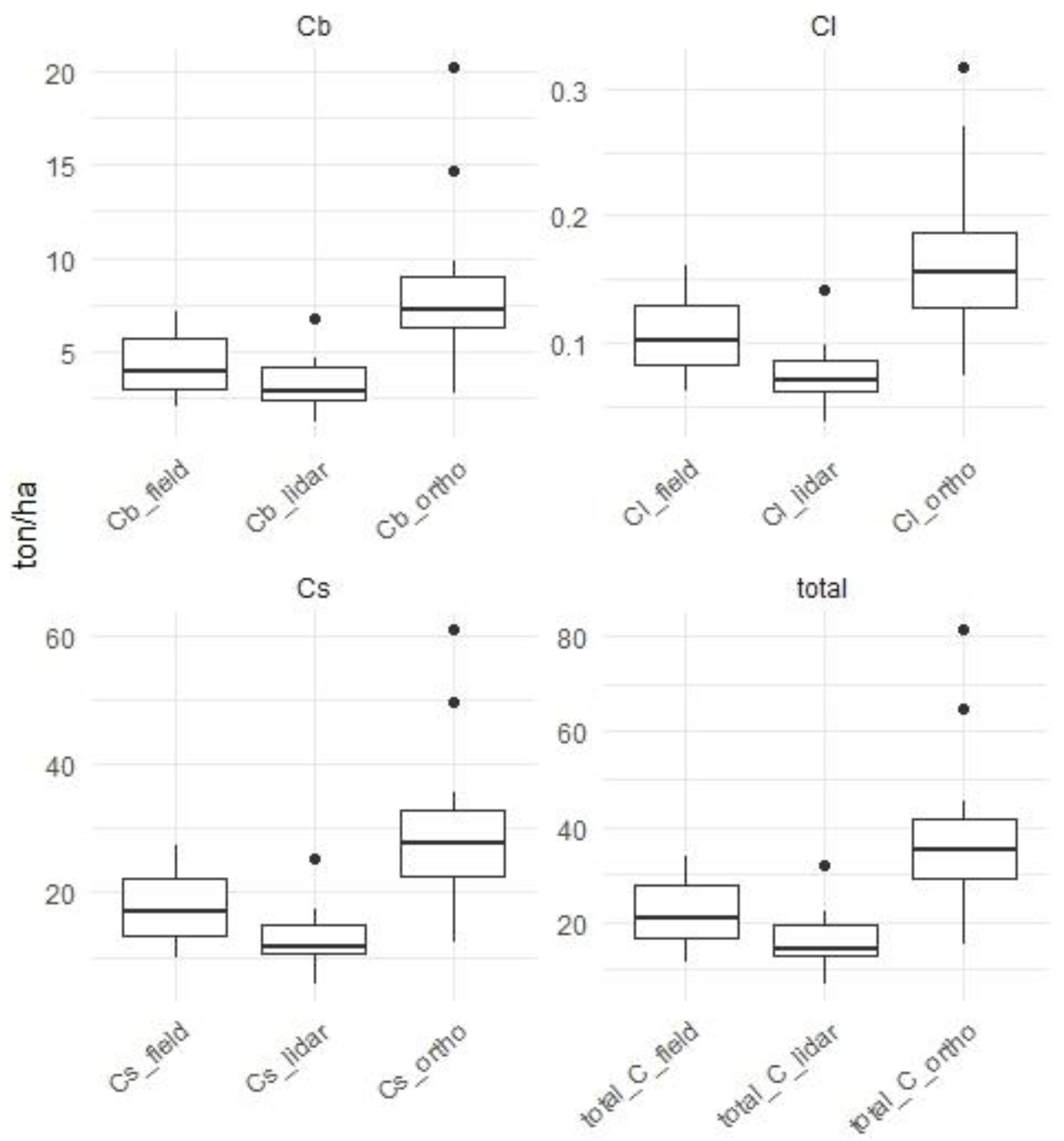
3.3. Plot Level AGB and Carbon Sequestration Extracted from Filed-Based and UAV Data Sources
4. Discussion
4.1. Comparison of Tree Count Extraction from ALS and Field-Based Methods
4.2. Total Tree Height Measurement and Accuracy Assessment
4.3. Plot Level AGB and Carbon Sequestration Extracted from Filed-Based and UAV Data Sources
5. Conclusions
Author Contributions
Funding
Data Availability Statement
Acknowledgments
Conflicts of Interest
References
- Chen, S.; Feng, Z.; Chen, P.; Khan, T.U.; Lian, Y. Nondestructive estimation of the aboveground biomass of multiple tree species in boreal forests of China using terrestrial laser scanning. Forests 2019, 10. [Google Scholar] [CrossRef]
- Anderson, J.E.; Plourde, L.C.; Martin, M.E.; Braswell, B.H.; Smith, M.L.; Dubayah, R.O.; Blair, J.B. Integrating remote sensing and field data to estimate vegetation carbon pools in a temperate forest. Remote Sens. Environ. 2006, 100(4), 507–518. [Google Scholar]
- Wassihun, A.N.; Hussin, Y.A.; Van Leeuwen, L.M.; Latif, Z.A. Effect of forest stand density on the estimation of above ground biomass/carbon stock using airborne and terrestrial LIDAR derived tree parameters in tropical rain forest, Malaysia. Environ. Syst. Res. 2019, 8(1), 1–15. [Google Scholar] [CrossRef]
- Repola, J. Biomass equations for Scots pine and Norway spruce in Finland. Silva Fenn. 2009, 43(4), 625–647. [Google Scholar] [CrossRef]
- Stéphane, M.T.; Pierre, P.; Bonaventure, S.; Jan, H.; Sébastien, G.; Francois, C.; Narcisse, G.K.; Moses, L.G.M.; Gilles, L.M.; Raphaël, P. Using terrestrial laser scanning data to estimate large tropical trees biomass and calibrate allometric models: A comparison with traditional destructive approach. Methods ecol. evol. 2017, 2017. 9, 905–916. [Google Scholar] [CrossRef]
- Scott, A.S.; Derek, R.P.; Ronald, J.H.; Craig, A.; Coburn, F.H. Estimating aboveground forest biomass from canopy reflectance model inversion in mountainous terrain. Remote Sens. Environ. 2010, 2010. 114, 1325–1337. [Google Scholar]
- Qiao, Y.; Zheng, G.; Du, Z.; Ma, X.; Li, J.; Moskal, L.M. Tree-species classification and individual-tree-biomass model construction based on hyperspectral and LiDAR data. Remote Sens. 2023, 15(5), 1341. [Google Scholar] [CrossRef]
- Bazezew, M.N.; Hussin, Y.A.; Kloosterman, E.H. Integrating airborne LiDAR and terrestrial laser scanner forest parameters for accurate aboveground biomass/carbon estimation in Ayer Hitam tropical forest, Malaysia. Int. J. Appl. Earth Obs. Geoinf. 2018, 73, 638–652. [Google Scholar] [CrossRef]
- van Leeuwen, M.T.; Hilker, N.C.; Coops, G.; Frazer, M.A.; Wulder, G.J.; Newnham, D. ; Ariu. S.C. Assessment of standing wood and fiber quality using ground and airborne laser scanning: A review. For. Ecol. Manage. 2011. 261, 1467–1478.
- Liang, X.; Kankare, V.; Hyyppä, J.; Wang, Y.; Kukko, A.; Haggrén, H.; Yu, X.; Kaartinen, H.; Jaakkola, A.; Guan, F. Terrestrial laser scanning in forest inventories. ISPRS J. Photogramm. Remote Sens. 2016, 2016. 115, 63–77. [Google Scholar] [CrossRef]
- Chen, S.; Liu, H.; Feng, Z.; Shen, C.; Chen, P. Applicability of personal laser scanning in forestry inventory. PLoS ONE. 2019, 14(14), 1–22. [Google Scholar] [CrossRef]
- Puliti, S.; Ørka, H.O.; Gobakken, T.; Næsset, E. Inventory of small forest areas using an unmanned aerial system. Rem. Sens. 2015, 7(8), 9632–9654. [Google Scholar] [CrossRef]
- Yang, M.; Zhou, X.; Liu, Z.; Li, P.; Tang, J.; Xie, B.; Peng, C. A review of general methods for quantifying and estimating urban trees and biomass. Forests. 2022, 13(4), 616. [Google Scholar] [CrossRef]
- Siciliano, B.; Khatib, O. Springer Handbook of Robotics. Springer Science & Business Media. Berlin, Germany. 2008. pp. 871–886.
- Ying, Z.; Siyu, X.; Shengqiu, L.; Xianliang, L.; Qijun, F.; Nina, X. Comparative Study of Single-Wood Biomass Model at Plot Level.pdf. Forests. 2024, 15(5), 795. [Google Scholar] [CrossRef]
- Electricity Generating Authority of Thailand (EGAT). Mae Moh weather information. https://watertele.egat.co.th/maemoh/. accessed on. 16 October.
- CHC. 2023. Alpha Air 10 LiDAR system specifications. https://www.chcnav.com/dam/jcr:5fda4873-c00a-4f3a-9b83-2cd7f71598a0/AA10_DS_EN.pdf. accessed on. 16 January.
- Heurich, M.; Persson, A.; Holmgren, J.; Kennel, E. Detecting and measuring individual trees with laser scanning in mixed mountain forest of central Europe using an algorithm developed for Swedish boreal forest conditions. Proceedings of Laser-scanners for forest and landscape assessments, Freiburg, Germany. 03-06 October 2004. [Google Scholar]
- Weiser, H.; Schäfer, J.; Winiwarter, L.; Krašovec, N.; Fassnacht, F.E.; Höfle, B. Individual tree point clouds and tree measurements from multi-platform laser scanning in German forests. Earth Syst. Sci. Data. 2022, 2022. 14, 2989–3012. [Google Scholar] [CrossRef]
- Hyyppä, J.; Hyyppä, H.; Leckie, D.; Gougeon, F.; Yu, X.; Maltamo, M. Review of methods of small-footprint airborne laser scanning for extracting forest inventory data in boreal forests. Int. J. Remote Sens. 2008, 29(5), 1339–1366. [Google Scholar] [CrossRef]
- Zhao, K.; Popescu, S.; Nelson, R. LiDAR Remote Sensing of Forest Biomass: A Scale-Invariant Estimation Approach Using Airborne Lasers. RSE. 2009, 113(1), 182–196. [Google Scholar] [CrossRef]
- Khosravipour, A.; Skidmore, A.K.; Isenburg, M.; Wang, T.; Hussin, Y.A. Generating pit-free canopy height models from airborne LiDAR. ISPRS J. Photogramm. Remote Sens. 2014, 80(9), 863–872. [Google Scholar] [CrossRef]
- Li, W.; Guo, Q.; Jakubowski, M.K.; Kelly, M. A New Method for segmenting individual trees from the LiDAR point cloud. ISPRS J. Photogramm. Remote Sens. 2012, 78(1), 75–84. [Google Scholar] [CrossRef]
- Ferraz, A.; Saatchi, S.; Mallet, C.; Jacquemoud, S.; Gonçalves, G.; Silva, C.A.; Soares, P.; Tomé, M.; Pereira, L. Airborne lidar estimation of aboveground forest biomass in the absence of field inventory. Remote Sens. 2016, 8, 653. [Google Scholar] [CrossRef]
- Zhang, Z.; Shi, Y.; Tao, S. Individual tree crown delineation using localized region growing and boundary refinement. IEEE Geosci. Remote Sens. Lett. 2015, 12(5), 1077–1081. [Google Scholar]
- Espindola, G.M.; Camara, G.; Reis, I.A.; Bins, L.S.; Monteiro, A.M. Parameter selection for region-growing image segmentation algorithms using spatial auto-correlation. Int. J. Remote Sens. 2006, 27(14), 3035–3040. [Google Scholar] [CrossRef]
- Meunpong, P.; Thaiutsa, B.; Wachrinrat, C.; Kanzaki, M.; Meekaew, K. Carbon pools of indigenous and exotic trees Species in a forest plantation, Prachuap Khiri Khan, Thailand. ANRES. 2010, 44(6), 1026–1043. [Google Scholar]
- Koch, B.; Heyder, U.; Weinacker, H. Detection of individual tree crowns in airborne LiDAR data. ISPRS J. Photogramm. Remote Sens. 2006, 72(4), 357–363. [Google Scholar] [CrossRef]
- Jakubowski, M.K.; Guo, Q.; Kelly, M. Tradeoffs in LiDAR-based forest parameter estimation using single and multiple returns. Remote Sens. Environ. 2013, 2013. 130, 144–153. [Google Scholar]
- Dandois, J.P.; Ellis, E.C. Remote sensing of vegetation structure using computer vision. Remote Sens. 2010, 2(4), 1157–1176. [Google Scholar] [CrossRef]
- Bortolot, Z.J.; Wynne, R.H. Estimating forest biomass using small footprint LiDAR data: An individual tree-based approach that incorporates training data. ISPRS J. Photogramm. Remote Sens. 2005, 59(6), 342–360. [Google Scholar] [CrossRef]
- Hawbaker, T.J.; Radeloff, V.C.; Syphard, A.D.; Zhu, Z.; Stewart, S.I. Detection rates of tree mortality attributed to a new biotic agent, Phytophthora ramorum, using Landsat TM and ETM+ data. Remote Sens. Environ. 2009, 113(9), 1896–1906. [Google Scholar]
- Næsset, E. Predicting forest stand characteristics with airborne scanning laser using a practical two-stage procedure and field data. Remote Sens. Environ. 2002, 80(1), 88–99. [Google Scholar] [CrossRef]
- Popescu, S.C.; Wynne, R.H.; Nelson, R.F. Measuring individual tree crown diameter with LiDAR and assessing its influence on estimating forest volume and biomass. CJRS. 2003, 29(5), 564–577. [Google Scholar] [CrossRef]
- Hudak, A.T.; Lefsky, M.A.; Cohen, W.B.; Berterretche, M. Integration of LiDAR and Landsat ETM+ data for estimating and mapping forest height. Remote Sens. Environ. 2002. 82(2-3).
- Holmgren, J.; Persson, Å. Identifying species of individual trees using airborne laser scanner. Remote Sens. Environ. 2004, 90(4), 415–423. [Google Scholar] [CrossRef]
- Zolkos, S.G.; Goetz, S.J.; Dubayah, R. A meta-analysis of terrestrial aboveground biomass estimation using LiDAR remote sensing. RSE. 2013, 2013. 128, 289–298. [Google Scholar] [CrossRef]
- Kankare, V.; Holopainen, M.; Vastaranta, M.; Puttonen, E.; Yu, X.; Hyyppä, J.; Hyyppä, H. Individual tree biomass estimation using terrestrial laser scanning. ISPRS J. Photogramm. Remote Sens. 2013, 2013. 75, 64–75. [Google Scholar] [CrossRef]
- Maan, G.S.; Singh, C.K.; Singh, M.K.; Nagarajan, B. Tree species biomass and carbon stock measurement using ground based-LiDAR. Geocarto Int. 2015, 30(3), 293–310. [Google Scholar] [CrossRef]
- Ritchie, J.C. Remote sensing in hydrology. Hydrol. Sci. J. 2010, 29(3), 405–421. [Google Scholar]
- Pretzsch, H. Forest dynamics, growth, and yield. Springer Science & Business Media. Berlin, Germany. 2009; pp. 1–39.
- Burkhart, H.E.; Tomé, M. Modeling forest trees and stands. Springer Science and Business Media. 2012. [Google Scholar]
- Zhang, L.; Bi, H.; Cheng, P.; Davis, C.J. Modeling spatial variation in tree diameter–height relationships. For. Ecol. Manage. 2010, 259(5), 895–905. [Google Scholar] [CrossRef]
- West, P.W. Tree and forest measurement. Springer. Switzerland. 2015. pp. 19–24.
- Gadow, K.V.; Zhang, C.; Zhao, X. Forest biometrics. Springer. 2001. [Google Scholar]
- Lu, D.; Chen, Q.; Wang, G.; Liu, L.; Li, G.; Moran, E. A survey of remote sensing-based aboveground biomass estimation methods in forest ecosystems. Int. J. Digit. Earth. 2016, 9(1), 63–105. [Google Scholar] [CrossRef]
- Zhou, G.; Yang, J.; Zhang, L.; Zhang, W. Challenges in high-resolution remote sensing for forest biomass estimation: Impacts of shadow, scale, and resolution. RSE. 2018, 2018. 210, 278–288. [Google Scholar] [CrossRef]
- Kiyono, Y.; Hiratsuka, M.; Ando, T.; Morikawa, Y.; Aiba, S. Stand biomass and soil properties on steep slopes in tropical rain forests. J. For. Res. 18(1), 14–23. [CrossRef]
- Pandey, S. ; Shukla. R.; Saket, R.; Verma. D. Enhancing carbon stocks accumulation through forest protection and regeneration: A review. Intl. J. Environ. 2019. 8(1).
- Asner, G.P.; Hughes, R.F.; Varga, T.A.; Knapp, D.E.; Kennedy, T. Environmental and biotic controls over aboveground biomass throughout a tropical rain forest. Ecosyst. 2010, 13(6), 1026–1040. [Google Scholar] [CrossRef]
- Mitchell, A.L.; Rosenqvist, A.; Mora, B. Current remote sensing approaches to monitoring forest degradation in support of countries REDD+ objectives: A review. Environ. Res. Lett. 2015, 10(10), 103002. [Google Scholar]
- Kaul, M.; Mohren, G.M.J.; Dadhwal, V.K. Carbon storage and sequestration potential of selected tree species in India. Mitig. Adapt. Strateg. Glob. Chang. 2011, 16(4), 409–419. [Google Scholar] [CrossRef]
- Nair, P.K.R.; Kumar, B.M.; Nair, V.D. Agroforestry as a strategy for carbon sequestration. J. Plant Nutr. Soil Sci. 2017, 180(6), 645–656. [Google Scholar]
- González-Benecke, C.A.; Gezan, S.A.; Albaugh, T.J.; Allen, H.L.; Burkhart, H.E.; Fox, T.R.; Rubilar, R.A. Local and general aboveground biomass functions for loblolly pine and slash pine trees. For. Ecol. Manag. 2011, 262(6), 1337–1347. [Google Scholar]
- Singh, K.; Sahariah, B.; Zomer, R. Soil carbon sequestration potential and stability under agroforestry systems. Soil Till Res. 2020, 2020. 198, 104522. [Google Scholar]
- Ong, C.K.; Singh, R.P. Carbon storage in tropical forests. Environ. Sci. Policy. 2014, 2014. 9, 35–42. [Google Scholar]
- Pérez, C.A.; Meason, D.F.; Vasquez, A. Timber plantations for carbon capture and climate change mitigation. Int. J. For. Res. 2018, 9064. [Google Scholar]
- Pan, Y.; Birdsey, R.A.; Fang, J.; Houghton, R.; Kauppi, P.E.; Kurz, W.A.; Hayes, D. A large and persistent carbon sink in the world's forests. Science. 2011, 6045), 988–993. [Google Scholar] [CrossRef]





| Plot | Field | Orthophoto | % | ALS | % |
|---|---|---|---|---|---|
| T1F1 | 425 | 363 | 85.29 | 288 | 67.65 |
| T1F2 | 275 | 238 | 86.36 | 200 | 72.73 |
| T1F3 | 263 | 263 | 100 | 225 | 85.71 |
| T1S1 | 375 | 325 | 86.67 | 325 | 86.67 |
| T1S2 | 306 | 200 | 65.31 | 250 | 81.63 |
| T1S3 | 369 | 319 | 86.44 | 275 | 74.58 |
| T2F1 | 419 | 363 | 86.57 | 238 | 56.72 |
| T2F2 | 288 | 281 | 97.83 | 206 | 71.74 |
| T2F3 | 281 | 250 | 88.89 | 200 | 71.11 |
| T2S1 | 244 | 238 | 97.44 | 194 | 79.49 |
| T2S2 | 244 | 219 | 89.74 | 181 | 74.36 |
| T2S3 | 213 | 169 | 79.41 | 131 | 61.76 |
| Total (average) | 3,700 | 3,225 | (87.16) | 2,713 | (73.31) |
| RMSE | - | 48.47 | 15.27 | 91.08 | 27.73 |
| BIAS | - | -39.50 | -12.48 | -82.42 | -26.36 |
Disclaimer/Publisher’s Note: The statements, opinions and data contained in all publications are solely those of the individual author(s) and contributor(s) and not of MDPI and/or the editor(s). MDPI and/or the editor(s) disclaim responsibility for any injury to people or property resulting from any ideas, methods, instructions or products referred to in the content. |
© 2025 by the authors. Licensee MDPI, Basel, Switzerland. This article is an open access article distributed under the terms and conditions of the Creative Commons Attribution (CC BY) license (http://creativecommons.org/licenses/by/4.0/).