Preprint
Article

This version is not peer-reviewed.

The Effect of Entrepreneurship and Entrepreneurial Self-Efficacy on Entrepreneurial Intention: The Mediating Effect of Entrepreneurial Attitude and the Moderating Effect of Entrepreneurship Education

A peer-reviewed article of this preprint also exists.

Submitted:

26 March 2025

Posted:

26 March 2025

You are already at the latest version

Abstract
The purpose of this study was to confirm the effect of entrepreneurship (ES) and entrepreneurial self-efficacy (SE) on entrepreneurial attitude (EA) and entrepreneurial intention (EI) and to determine whether EA plays a mediating role in the process and whether entrepreneurship education (EE) plays a moderating role. Data were collected from 415 male and female college students in Korea via a mobile survey conducted in October 2022, focusing on four variables. The structural equation model analysis revealed that ES, SE, and EA had positive effects on EI, and the effect of SE was greater than that of the other variables. The effect of SE on EA was stronger in the group without EE than in the group with EE. There was no difference between the two groups in terms of the relationship between the remaining variables. When ES influenced EI, EA had no mediating effect, but when SE influenced EI, EA played a positive role. Together, these findings confirm that out of all the evaluated factors, SE had the greatest impact on EI. The results of this study yield valuable information for determining which psychological variables to focus on when providing education or programs to increase the EI of college students. To date, few studies have analyzed the relationship with EI by considering the four variables covered herein, which is the originality of this study. Additionally, this study identifies previously unrecognized ES factors as predictors of EI. The results of this study, which show that SE is a relatively strong predictor of EI, and that ES is a predictor of EI, reaffirm the TPB theory that startup ability is a predictor of EI and the MEI theory that risk-taking sensitivity is a predictor of EI.
Keywords: 
;  ;  ;  
Subject: 
Social Sciences  -   Other

1. Introduction

Around the world, many countries are working to create more jobs for their citizens. A common strategy is to encourage startups, which is also important for long-term economic growth [1,2]. The Korean government has established a government-only organization, the Ministry of Small and Medium Business Ventures, to provide administrative and financial support to venture companies to reduce the risks associated with startups. As a result, compared to 2018, Koreans’ interest in startups increased by 2.1% in 2019[3]. The Korean government has also expressed interest in startups founded by college students, establishing and implementing the ‘Five-Year Plan for University Startup Education’ in 2013, the ‘Innovation Startup Boom Creation Plan’ to create jobs in 2018, and the ‘Campus Innovation Park Creation Leading Youth Startup and Innovative Growth’ in 2019’, respectively. The university has also endeavored to establish startup-related courses in the regular curriculum, operate startup incubators for university students, and support students’ startup club activities [4].
It is not easy for college students to start a business immediately after graduation, but if they have entrepreneurial intentions (EIs), it can be expected that they will be able to start a business in the future. Since EI is a sign of startup possibility [5] and a good predictor of startup [6,7], it has attracted the attention of academia and policy makers for years [6,8,9]. EI can be motivated by the provision of appropriate opportunities [10,11], and the stronger the EI, the greater the possibility of startup success [12]. According to a previous meta-analysis, EI explains approximately 28% of startup behavior [13]. Since cognition and emotion are antecedent variables of behavior, EI can be seen as antecedent variables of startup behavior.
EI is defined as the desire to own one’s own business or start a new business [14], judgment regarding the possibility of owning one’s own business [15], willingness to invest effort in corporate activities [16], the desire to start a business [17], and a startup plan [18]. In this way, the intention to start a business includes the will, hope, and preparation to do so in the future, contingent on certain conditions [7,19]. College students’ intention to start a business can be used to predict the startup behavior of future generations [20], providing insights as to their likelihood of conducting business in the future.
Since EI is one of the variables that affects future startups [17], many researchers have expressed interest in the factors influencing EI. Various theories have been presented, with a particular focus on the startup environment and the psychological characteristics of founders. In developing countries, environmental factors such as the social culture and political system have a greater influence on startups than in developed countries [21]. For example, the influence of social ecosystem factors such as government financial support, government policies and regulations, cultural factors, and education level is significant [22]. Among the psychological characteristics that influence EI, personality, self-efficacy, self-satisfaction, business experience, creativity, adventurousness, educational experience, sex [23,24], entrepreneurial attitude (EA) [25,26,27], and entrepreneurship (ES) [26] receive the most attention, with founder entrepreneurial self-efficacy (SE) and EA being of particular interest. SE has more influence than social ecosystem factors [22], consistently and strongly predicting a successful startup as a cognitive antecedent factor of EI [28,29,30,31,32]. SE is defined as self-confidence in startup ability [33], belief that you can successfully start a business [34,35], and belief that you have business aptitude and competency [36]. In this study, the SE is defined as self-confidence that you can lead a startup successfully.
EA has received as much attention as SE as a variable that affects EI [26,27,37,38,39]. EA is defined as entrepreneurial taste [40], the degree of love for starting a business [41], judgment regarding the benefits of starting a business [42], the amount of charm you feel about starting a business [43], and the degree of satisfaction in starting a business [44]. EA is sometimes regarded as a leading variable of EI, a result variable of SE, and a mediating variable of SE and EI, depending on the researcher [25,31,45,46]. SE [47,48,49,50] and EA [51,52] have been confirmed to have a positive relationship with EI, respectively. However, it is difficult to find a study that directly confirms which of the two variables is more influential.
ES is another psychological characteristic that may be of interest when it comes to starting a business. ES is defined as an entrepreneurial tendency to take risks and be progressive and innovative [53,54], entrepreneurial talent or competence that enables innovative activities [55], entrepreneurial behavior that promotes creativity and flexibility [56], and a challenging spirit that captures and pursues business opportunities through risk-taking, innovation, and initiative [57]. Several studies have highlighted a positive relationship between ES and EI [58,59,60,61,62,63]. ES is a key competency in developing a country’s economy [64,65,66,67,68,69,70,71] and promotes individual and social innovation [19,67,72,73], as it is a source of employment, and wealth [27]. ES is also closely related to EI. Markman and Baron [74] (2002) viewed ES as an important factor of startup in their study applying the person–ES fit (P-ENT fit). However, very few studies have empirically confirmed the relationship between ES and EI.
As stated above, SE, EA, and ES are important individual psychological variables that significantly influence EI. Each of these three variables is expected to directly affect EI, and SE and ES are also expected to affect EA. The results of an empirical study show that there is a positive correlation between ES and EA [75,76] and between SE and EA [25,46,77] support this. ES and SE are conceptually related, but it is not clear which is the preceding variable. Therefore, in this study, these two variables were considered as independent variables, with EA mediating the relationship between the two independent variables and EI. In addition, this relationship was different between students who had experience taking startup-related university courses and those who did not. In a university setting, entrepreneurship education (EE) often aims to develop attitudes, behaviors, and abilities that will be beneficial for entrepreneurs [78]. The goals and content of EE vary, but EI, SE, and EA are common themes of such courses [25,79,80,81], and other ES-related qualities [82] may also be included. In this regard, the relationship between these variables is likely to differ depending on whether college students take a startup-related course. Therefore, the purpose of this study is to determine how ES and SE affect EA and EI, respectively; whether EA has a mediating effect in this relationship; and whether the relationships differ depending on whether college students take a startup-related course. We have not yet found a study that confirms the relationship between the four variables. The results of this study will provide useful information on which psychological variables the university authorities should focus on and provide EE to increase the EI of college students. Our research will also help us to determine whether EE increases EI among college students.

2. Theory of EI

The theories that explain the intention to start a business include Ajzen’s [83,84] theory of planned behavior (TPB), Perugini and Bagozzi’s [85] Model of Goal-Directed Behavior (MGB) Bird’s [14] Entrepreneurial Intention Model (EIM), Shapero and Sokol [86]’s Entrepreneurial Event Model (EEM), and the Model of Entrepreneurial Intention (MEI) created by Lüthje and Franke [87]. The TPB applies Ajzen and Fishbein’s [88,89] Theory of Reasonable Action (TRA) to EI. TPB is the most well-researched theory regarding EI. The TRA is the application of the expectation–value theory, which is a motivational theory created by Ajzen and Fishbein [88,89]. According to the expectation–value theory, when an action is taken, it is more likely to succeed, and the greater the value (benefit) gained from it, the higher the likelihood of the action. Ajzen’s [83,84] TPB theory states that a person sees their own behavior as correct or positive (attitude) or that people around them are more likely to emulate said behavior (subjective norm). Human behavior is a response to stimuli or a planned behavior [90], and startup behavior is a planned behavior [17]. For intention to lead to action, various situational and contextual constraints must be resolved; to overcome these constraints, an element called perceived behavioral control was added to the TRA. This element refers to the fact that humans are more likely to act when they feel that they are in control of their behavior. In short, three factors influence the intention of action: attitude toward one’s behavior, the subjective norm one perceives, and a sense of control over one’s behavior. Substituting this perspective into EI means that EI or entrepreneurial behavior occurs when the person involved, and others around them, consider startup behavior to be positive, and have faith in their ability to start their own business [83,84]. TPB adds a sense of behavioral control to the TRA element; this is referred to as SE.
In the MGB of Perugini and Baggozzi [85], in addition to the TPB, social norms, perceived behavioral control, emotional, aspiration-related, and experience-related factors also affect EI. Here, aspiration refers to an intense desire to reach a target [85], and startup aspiration refers to a desire to become a founder. In this respect, the MGB theory can be interpreted as viewing EA as valuable. EIM explains that EI is influenced by personal and environmental factors. Personal factors include the entrepreneur’s previous experience, personality characteristics, ability, etc., whereas environmental factors include market change and government deregulation. An individual who intends to start a business considers these various conditions reasonably, analytically, intuitively, and entirely [14]. In this study, ES is one of the individual characteristics of EIM.
According to the EEM, EI is determined by an individual’s perceived desirability, feasibility, and propensity to act. Perceived desirability refers to the attractiveness of starting a business; perceived feasibility refers to the belief that one can start a business; and the propensity to act refers to the ability to act at one’s will [86], which means controlling something by oneself [17]. Additionally, according to the EEM, human behavior does not change for the better until an event occurs that replaces or interferes with said behavior. Experiencing certain events, such as unemployment or divorce, or even positive events such as receiving inheritance or a lottery win, can stimulate EI or starting a business. In this regard, the EEM adds individuals’ life events to the motivation to start a business and incorporates aspects of various other theories: the social desirability of starting a business cited by the TRA; TPB’s sense of self-control; MGB’s desire to start a business; and EIM’s personal characteristics and environmental factors.
According to the MEI, personality characteristics and situational factors influence EI. These personality characteristics include risk sensitivity and internal locus of control, and EA is a mediator. Situational factors may encompass positive aspects such as external support or negative aspects such as barriers [87]. The MEI also emphasizes the individual characteristics of the EIM, similarly to the MGB’s view of startup aspiration as an important factor; as part of this theory, characteristics such as risk sensitivity and internal locus of control are emphasized, and EA is also considered. In summary, the theory of EI posits that the main factors that influence EI are personal characteristics such as personality, self-perception of entrepreneurial activities and others’ perceptions of startups, startup aspiration, startup ability, startup conditions, startup opportunities, etc. The most discussed factor is as a sense of startup ability, which has the same meaning as the SE in this study. Among the three factors influencing EI setting in this study, ES includes risk-taking as an individual characteristic; it is based on the MEI, which emphasizes personality characteristics. SE is based on TPB, which emphasizes self-control, and EEM, which emphasizes feasibility, respectively. EA is based on EEM, which emphasizes the attractiveness of startups, and the MEI theory that EA has a mediating effect when individual characteristics or situational factors influence EI.

3. Building a Theoretical Model

3.1. The Relationship Between ES and EI (h1)

ES is a planned activity that necessitates some kind of attitudinal preparation or mindset; as such, it is the most robust dimension of TPB [91,92]. In this study, we used the definition of ES provided by the European Commission [57], which described it as a desire to discover and pursue business opportunities through risk-taking, innovation, and initiative. ES was measured based on this definition. EI was defined as the intention to found one’s own business in the future.
Bird’s [14] EIM states that personal factors such as personality traits or abilities influence EI, whereas Lüthje and Franke [85] believe that personality traits such as risk-taking influence EI. Since ES in this study is considered to consist of risk-taking, innovation, and initiative, it can be seen that this explanation is partially based on the MEI. Several empirical studies that view ES as composed of three elements, risk-taking, innovation, and initiative, have shown a positive relationship between ES and EI. In studies by Kang and Park [62], Kim [58], Choi and Gong [59], and Bae and Lee [60], the three factors of ES—innovation, initiative, and risk-taking—were positively correlated with EI. Lee [76] reported the same results in a study focused on prospective adult entrepreneurs in their 20s and 30s, and Kim and Yang [61] demonstrated that among the three elements of ES, innovation and risk-taking have a positive association with EI.
Other empirical studies showed that although the perspective on ES differs slightly from study to study, there is also a positive correlation between ES and EI. In their research involving Indian university students, Kaur and Chawla [26] showed that EE which focuses on knowledge, skill, and competency increases EI. Kwon and Han [63] viewed ES as creative problem-solving ability, a willingness to be challenged, self-directed learning ability, mathematics–science achievement, intellectual property expertise, leadership, communication ability, and corporate ethics, and after conducting gifted education sessions related to ES, they showed that the core competencies of ES positively influence EI over time. Based on the above discussion, this study established the following hypothesis: Hypothesis 1—ES will have a positive effect on EI.

3.2. The Relationship Between SE and EI (h2)

Since Boyd and Vozikis [93] conceptualized SE as a belief that they one can successfully perform one’s entrepreneurial roles and tasks by applying self-efficacy to ES, SE has been defined as self-confidence in ES ability [33], belief that they one successfully run a startup[34,35], and belief that one has the right aptitude and competence to run a business[36]. In this study, SE was defined as confidence in leading a successful startup.
TPB and EEM state that SE is related to the underlying intention to start a business. TPB explains that the more strongly a person believes in their own ability to start a business, the greater their intention to do so [83,84], and the EEM theory explains that the intention to start a business increase when a person judges that there is a possibility that they can successfully realize their business goals [86]. Both theories suggest that a founder’s self-efficacy positively influences the intention to start a business. Self-efficacy is related to business management, both theoretically and empirically [17,94]. The greater a person’s self-efficacy, the more motivated they are to put their intention into action [95]. Goal setting and self-efficacy are the most conscious motivational determinants of behavior [96]. People with low self-efficacy tend to try less and prefer to engage in low-risk tasks because they believe they will not succeed in what they do [97].
There is a positive relationship between SE and EI, but there is also a negative relationship between SE and corporate success. In social cognitive theory, there is a positive relationship between self-efficacy and goal achievement [98,99]. Studies conducted in countries such as Korea, China, Taiwan, Saudi Arabia, Malaysia, and Spain have highlighted a positive relationship between SE and EI [22,29,30,31,32,47,48,49,50,79,100]
However, control theory takes a different perspective. In areas other than startups, it is explained that self-efficacy can hinder goal achievement after an initial goal is achieved [101,102]. This is because the higher a person’s self-efficacy, the less effort they will put into pursuing their goal [103,104,105]. Founders with high self-efficacy have less awareness of the uncertainties and difficulties that can lead to business failure [106], are less careful about unexpected events that hinder success, and show less awareness of the difference between their current state and their ideal future state due to excessive positive expectations [104]. The greater a person’s optimism or confidence that their goal is achievable, the more their self-efficacy increases [107]. On the other hand, self-efficacy with a level of normalcy has a positive relationship with corporate ownership, but a high level of self-efficacy has an inverse U-shaped relationship with corporate ownership. The higher the volatility of self-efficacy, the higher a person’s motivation to achieve their goal, and this volatility is at its highest when self-efficacy is at the normal level. Conversely, if self-efficacy is high or low, volatility is low [16]. However, the subjects of this study are not entrepreneurs, but college students, and since we are not considering the relationship between self-efficacy and general goal achievement, but between SE and EI, the relationship between the SE and the general level of achievement cannot be applied as is. Therefore, in this study, we established the following hypothesis: Hypothesis 2—a sense of SE will have a positive effect on EI.

3.3. The Relationship Between EA and EI (h3)

The relationship between EA and EI can be confirmed by the TPB and the EEM. TPB believes that the more positive a person’s perception of startups, the stronger their EI [83], and EEM believes that the more a person perceives a startup as attractive, the stronger their EI. These two theories both suggest that EA is a major factor influencing EI. The positive relationship between these two variables has been confirmed in many empirical studies. Studies involving Korean college students [37]; Korean adults [51,52]; Chinese [25,44,108,109,110,111], Taiwanese [38], Indonesian [39,82,112], Greek [113], and Indian college students[114]; and others[115,116,117,118] have consistently highlighted a positive relationship between the two variables. Based on the above discussion, the following hypothesis was established: Hypothesis 3—EA will have a positive effect on EI.

3.4. The Relationship Between ES and EA (h4)

ES is the tendency of entrepreneurs to take risks and be aggressive and innovative [54], and the stronger a person’s ES (according to the European Commission [57], the more favorable their business. In other words, there is a possibility that their EA is strong. In general, attitude refers to the degree of favorable or unfavorable response to or evaluation of an object [83]. Some empirical studies have revealed a positive correlation between ES and EA. In a study of male and female college students in Korea, ES was viewed as having a complex composition that required risk sensitivity, innovation, and initiative, and as a result of confirming the relationship with EA, each of the three factors was found to have a positive correlation with EA [75]. The same result was revealed in an analysis of male and female Korean adults who were prospective business founders [76]. Considering the above discussion, it can be inferred that ES is composed of risk sensitivity, initiative, and innovation has a positive relationship with EA, and accordingly, the following hypothesis was established: Hypothesis 4—ES will have a positive effect on EA.

3.5. Relationship Between SE and EA (h5)

If SE is viewed as confidence in one’s ability to successfully start a business, the higher a person’s level of SE, the greater their interest in and perception of the value of starting a business. SE is a sense of ability, e.g., an intellectual understanding or perception of an event. On the other hand, since EA results from an intellectual understanding or recognition, SE can be seen as a leading contributor to EA. Schacter and Singer [119] have argued that individuals experience certain emotions as a result of cognitive evaluation of physiological phenomena. Several empirical studies confirming the relationship between SE and EA also treat SE as a leading variable of EA [25,26,31,46]. In particular, Liu et al. [25], Yousaf et al. [46], and Isma et al. [77] confirmed that SE has a positive effect on EA. Based on the above discussion, the following hypothesis was established: Hypothesis 5—SE will have a positive effect on EA.

3.6. The Mediating Effects of EA (h6, h7)

As discussed above, since there is a positive relationship between ES and EA and between EA and EI, it can be inferred that EA plays a mediating role between ES and EI. However, since the mediating effect is affected by the size and standard error of the correlation between the two variables, it needs to be empirically confirmed. It has not yet been empirically confirmed that EA plays a mediating role between ES and EI. Since there is a positive relationship between SE and EA, as well as between EA and EI, it can be inferred that EA will play a mediating role between SE and EI. When EE increases EI, EA plays a positive mediating role [25]; it also plays a mediating role between SE and EI [25,31]. Based on the above discussion, the following hypotheses were established: Hypothesis 6. EA will play a mediating role between ES and EI; Hypothesis 7. EA will play a mediating role between SE and EI.

3.7. The Possible Moderating Effect of EE (h8)

Many countries believe it is necessary to cultivate an interest in ES among young people for the sake of national economic development; additionally, many young people value ES for their own reasons and seek out EE. They are interested in building corporate careers [120]. Entrepreneurial education (EE) generally begins at university [120,121], but it is not reserved solely for those who wish to start a business. Other institutions also provide education for prospective entrepreneurs and entrepreneurs. The representative program of EE, funded by the White House in the United States, targets entrepreneurs, companies, universities, foundations, and other leaders, and focuses on enhancing ES [122]. Entrepreneurial education generally focuses on cultivating attitudes, behaviors, and abilities which are beneficial for entrepreneurs [78], but its goals and contents vary from program to program. It sets various goals pertaining to leadership [123], adaptability, creativity, financial understanding [124,125], moderation [126], resilience to change, desire, and attitude toward ambiguity [125].
EE was found to enhance ES [127], SE [25,79,125,128,129,130], EA [77,78,79,128], and EI [25,77,80,81,127,128,130,131,132,133,134], respectively. However, some studies have found that EE does not affect SE [25,135], or that it has a negative effect on EI [136]. Although the effect of EE may differ due to regional and cultural differences [137], in most cases, it has a positive effect on EI, SE, and EA. Based on the above discussion, we established the following hypothesis: Hypothesis 8. The effect of ES and SE on EA and EI will differ depending on whether college students take a startup-related course.

4. Methods

4.1. Research Subjects and Measurement Tools

Our study focuses on 415 university students (both male and female) enrolled in four-year courses at four different universities in Seoul, Korea. The survey was conducted in October 2022 using a mobile phone survey app. In total, 295 college students agreed to participate in the survey, including 59 men and women (20%) and 236 (80%), respectively; of these, 118 (40%) were in their first year, 77 (26.1%) were in their second year, 58 (19.7%) were in their third year, and 42 (14.2%) were in their fourth year of university. Of the respondents, 230 students (55.4%) reported that they had taken startup-related courses, whereas 185 (44.6%) had not.
The ES scale was based on research by Lee [76]. Lee’s scale [76] was reconstructed with expert advice, referring to the work of McClelland [55], Miller [138], Covin and Slevin [139], Kang [33], Go [140], and Yoon [141]. This scale is based on risk sensitivity (including responses such as, e.g., I do it even if I take some risk if I have to do it); initiative factors (e.g., I don’t think I should miss the timing of anything, so I push ahead once I make up my mind); and innovation factors (I have no fear of new challenges). The risk-sensitivity portion consists of 12 questions pertaining to three factors, which indicate participants’ likelihood of responding boldly to uncertain situations. The initiative factor refers to the future-oriented tendency to make new strategic decisions and is composed of four questions. The innovation factor refers to the efforts made to constantly come up with ideas and is composed of four questions. Each question is rated using a 5-point Likert scale, with scores ranging from 1 to 5.
The entrepreneurial self-efficiency (SE) scale was used by Lim [142]. Lim [142] developed Wilson, Kickul, and Marlino’s [143] tool for measuring SE to be applied to college students. This scale measures the strength of one’s belief that one can successfully perform the roles and tasks required of an entrepreneur. There are no sub-factors, and a total of 6 questions (e.g., if I start a business, I am confident of solving the problem that occurs at that time). Each question is rated using a 5-point Likert scale, with scores ranging from 1 to 5. This scale measures problem-solving, decision-making, money management, creativity, interpersonal relationships, and leadership from an entrepreneurial perspective, respectively. Since the subjects of this study were college students, the questions were modified slightly to apply to a hypothetical future startup rather than an existing business. Each question is rated using a 5-point Likert scale, with scores ranging from 1 to 5.
The EA scale measures subjective psychology and emotions regarding whether one likes or dislikes the idea of starting a business, and Lee and Jung [144] modified it by referring to the work of Taylor and Todd [145]. Some inappropriate expressions were corrected, and sub-factors were removed. The scale comprises three questions: 1. I think positively about starting a business; 2. I think favorably positively about starting a business; and 3. I like starting a business. Each question is rated using a 5-point Likert scale, with scores ranging from 1 to 5.
The EI scale adapted by Kim [146] from six items originally developed by. Liñán and Chen [109] was used. This scale defines EI as the process of leading a company and is composed of 6 statements: 1. I am ready to do anything to become an entrepreneur. 2. My goal for a job is to become an entrepreneur. 3. I will make every effort to start a business and operate it. 4. I will start a business if I have a chance in the future. 5. I am very serious about thinking of starting a business. 6. I am willing to establish a company someday. Each question is rated using a 5-point Likert scale, with scores ranging from 1 to 5.
The reliability and convergence validity of each scale were calculated. The reliability was confirmed by Cronbach’s α coefficient, and the convergence validity was confirmed by composite reliability (CR) and average variable extracted (AVE). AVE values are calculated as the ratio of the sum of the squared factor loadings to the number of items and are indicative of communality. Higher AVE values indicate that the associated construct accounts for the greater variation in its corresponding items. The EA scale was used as a measurement variable based on the average of the items because the number of items was insufficient; as such, the AVE was only calculated for the remaining 3 variables. The results are shown in Table 1. The Cronbach’s α coefficient of the four scales is distributed between 0.688 and 0.939; the CR of the three scales is distributed between 0.781 and 0.922; and the AVE is distributed between 0.781 and 0.992. In general, Cronbach’s α coefficient is considered suitable if it is 0.60 or higher; CR is suitable if it is 0.70 or higher, and the AVE must be 0.50 or higher to be deemed suitable.

4.2. Processing of Data

There were no missing values in the collected data, and the mediating effect and the moderating effect were analyzed by evaluating the structural equation model via SPSS 26 and AMOS 26 programs. The maximum likelihood method was used to estimate the parameter, and the mediating effect was verified using a bootstrap method. At this time, the sample had 2000 restoration extractions, and the statistical significance was verified using the bias-corrected percentile interval method; the confidence interval was 95%. We also determined whether there was a statistically significant difference between the standardized path coefficients.

4.3. Common Method Bias Verification

Since all four scales used in this study were 5-point Likert scales and were measured simultaneously, we were able to confirm whether a common method bias occurred. To this end, we verified whether there was a significant difference between the χ2 values of the measurement model when the common method factor was constructed and between the χ2 values of the measurement model when no common method factor was used. At this time, if there was a meaningful difference, it was considered that the same method bias was present [147]. As a result, the χ2 value of the measurement model without a common method factor was 51.157 and the degree of freedom was 23, whereas when the common method factor was used, the χ2 value was 61.099, and the degree of freedom was 24. The common method had an effect because the ⊿χ2= 9.942, which was larger than the threshold of 3.84 (p < 0.05) of the significant χ2 value when ⊿df = 1. The difference in the standardization coefficient between the two models (es1, es2) was 0.20 or more, and these two measures were considered as having common method bias. Therefore, as a result of reanalysis achieved by connecting covariance between these two measurements, the χ2 value of the measurement model was 47.655 and df = 23. It was found to be suitable because it was ⊿χ2 = 3.502 (51.157–47.655) and did not exceed the χ2 threshold of 3.84 when ⊿df = 1. Therefore, in the subsequent analysis, the measurement model and the structural model were verified with the models with covariance connection.

4.4. Verification of the Measurement Model

In this study, a two-step method of measurement model verification and structural model verification was used to analyze the structural equation model [148]. The convergence validity and discriminant validity (DV) were verified. As shown in Table 1, the CR and AVE were found to be suitable. To determine whether measurement independence was guaranteed between the three scales of SE, EA, and EI, the Fornell-Larker [149] method and the HTMT method were used to verify DV. For a scale involving many measurement items, the items were combined into several indicators using a random number generator app to optimize the number of measurement variables suitable for the structural equation model (item parceling).
The 12 items on the ES scale were grouped into 3 items: es1 (No. 1, 2, 3, 4), es2 (5, 6, 7, 8), and es3 (9, 10, 11, 12), and the 6 items on the SE scale were also grouped into 3 items: se1 (No. 1, 3), se2 (6, 4), and se3 (No. 2, 5). The EA scale comprised three items, so the average was calculated and used as a measurement, and the six items on the EI scale were grouped into three items: ei1 (4, No. 1), ei2 (6, No. 2), and ei3 (No. 3, No. 5). For the three scales, excluding the EA scale, the measurement model fit was analyzed using the confirmatory factor analysis method.
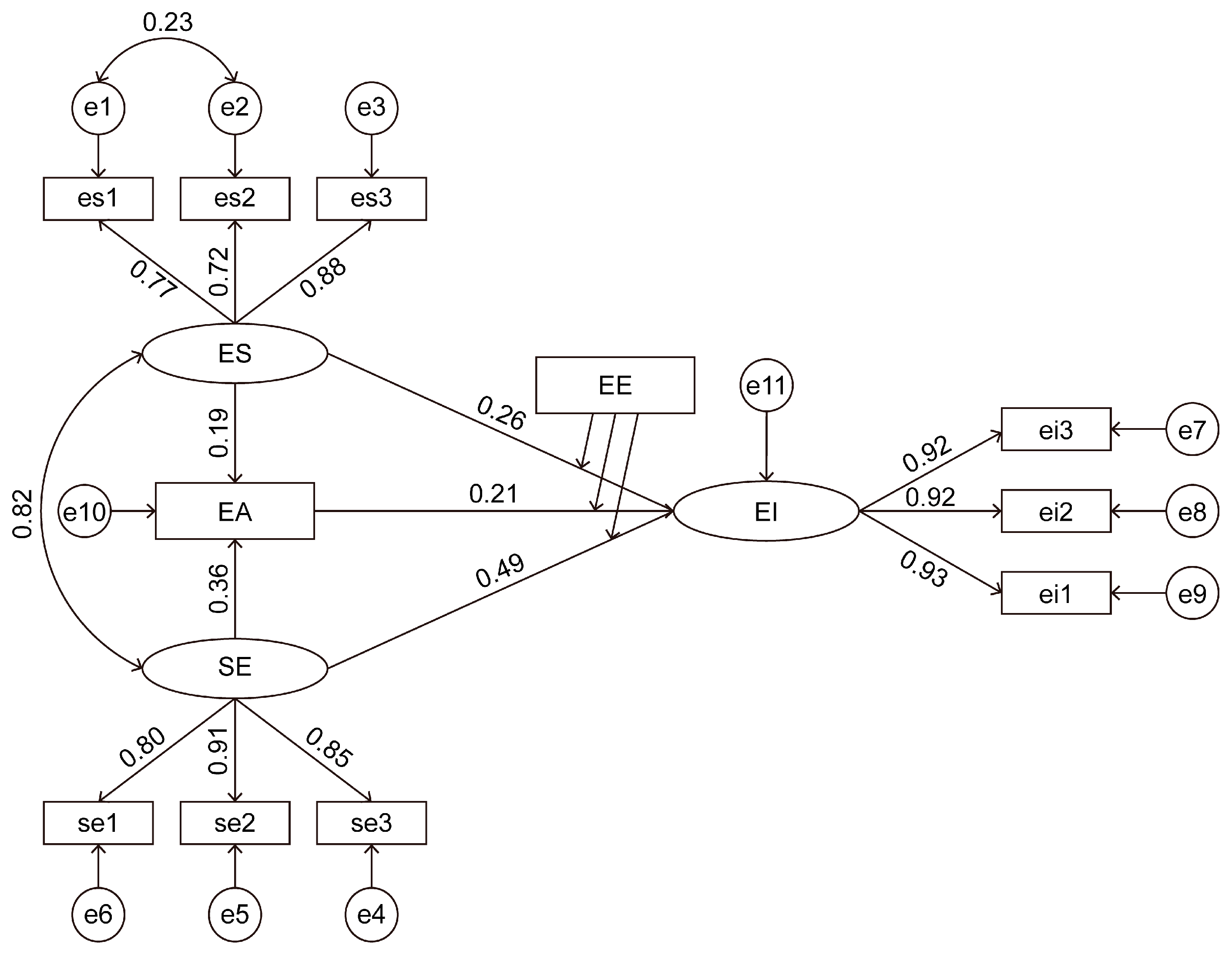
The factor load of the three measurement variables of the latent variable ES scale is 72 to 88, the factor load of the three measurement variables of the SE scale is 80 to 91, and the factor load of the three measurement variables of the EI scale is 0.92 to 93, respectively, which is statistically significant (p < 0.001, respectively).
Since the fitness index is affected by the size of the sample, the number of measurement variables, and the complexity of the model [150], we performed the calculations using fitness indexes which are unaffected by these factors [151,152]. The Tucker–Lewis index (TLI) = 0.955, a value of 0.95 or more[153]; the standardized root mean square residual (SRMR) = 0.018; and the root mean square error approximation (RMSEA)= 0.051. The SRMR was used as a standardization of the RMR, and a score of 0.08 or less is deemed suitable, whereas for the RMSEA, a score of 0.05 or less is suitable [153,154]. Since the RMSEA value was estimated based on sample data, errors may have occurred, which can only be found through the estimation interval. A wide confidence interval means that the error in the value of RMSEA is large [149]. The confidence interval of 90% of the RMSEA value in this model was 0.03~0.071. As the SRMR and TLI values were very good, this measurement model was deemed suitable.
DV was examined using the Fornell–Larcker [149] method and cross-loadings. If the AVE value is greater than the squared value of the correlation coefficient between latent variables, it is considered to have DV [149]. For cross-loadings, an item’s cross-loadings on other constructs should be less than its factor loadings on corresponding constructs to demonstrate that the items are successfully captured by their constructs and to highlight significant distinctions between the constructs [155].
As shown in Table 2, the AVE of the ES scale is 0.633, and the square of the correlation coefficient between the two corresponding variables is 0.679 and 596, respectively. The AVE of the SE scale is 0.727, and the square of the correlation coefficient between the two corresponding variables is 0.679 and 0.663, respectively. The AVE of the EI scale is 0.856, and the square of the correlation coefficient between the two corresponding variables is 0.596 and 0.663, respectively. The SE scale and the EI scale were of particular interest because the square of the correlation coefficient between the corresponding scales was smaller than the AVE value of the two scales. However, for the ES scale and the SE scale, the AVE was smaller than the square of the correlation coefficient between the corresponding scales.
To confirm the discrimination validity between ES and SE, the heterotrait-to-monotrait (HTMT) ratio was obtained. Table 3 shows the correlation coefficient matrix between the ES scale and the SE scale measurements. The average heterotrait correlation between ES and SE was 0.554, the average monotrait correlation of ES was 0.656, and the average monotrait correlation of SE was 0.730. Therefore, the HTMT ratio is calculated as (0.554/√ (0.656 × 0.730) = 0.80. If this ratio is less than 0.90, there is discrimination between the two scales [156]. As such, when the HTMT method was utilized, it revealed discrimination between the ES and SE scales. Taken together, these results reveal a clear separation between the three scales.

4.5. Normality and Linearity of Measurement Score Distribution

Skewness and kurtosis were calculated to determine whether each measurement value had a normal distribution in the measurement model. The skewness of all measured values was 0.54 at the most and did not exceed the absolute value of 2, and the kurtosis was no higher than 0.88, which did not exceed the absolute value of 4 (based on the SPSS program). As such, each measured value can be said to have a normal distribution. The correlation coefficients between the measured values of each scale were at least r = 0.40 and at most r = 0.75, and they were all statistically significant (p < 0.01), indicating that the measured values were in a linear relationship with each other.

4.6. Verification of Configural Invariance and Metric Invariance

We investigated whether there is a difference in the standardization coefficient of the latent variable between the group with experience (EL) and the group without (NEL) who took a startup-related course. Prior to the multi-group analysis, metric invariance and configural invariance were verified to ascertain whether the factor structures were the same between groups. Table 4 shows the results of the following model analysis, which equally constrained all paths except for a path fixed as 1 between the latent variable and the measurement variable in the measurement model and the structural model, respectively. As a result of the metric invariance verification, the comparative fit index (CFI) and TLI were 0.985 and 0.979, respectively, exceeding 0.95, and the SRMR and RMSEA were 0.024 and 0.044, respectively, which was less than 0.05. As a result of the configural invariance verification, the CFI and TLI were 0.980 and 0.971, respectively, exceeding 0.95, and the SRMR and RMSEA were 0.024 and 0.048, respectively, which was less than 0.05. The goodness-of-fit index is an index that mathematically determines whether the collected data are suitable for explaining the relationship between the variables of the model constructed by the researcher. The CFI is a type of relative goodness-of-fit index that can be determined through comparison, and it evaluates how well the case with a model explains the collected data compared to the case without a model. It is like the R squared value, which is the explanatory power of regression analysis. The larger the value, the more suitable it is. In general, if the value is 0.9 or higher, it is considered good. The TLI is also a relative goodness-of-fit index. Like the CFI, this index is calculated by comparing cases with and without the model. Because the TLI is not affected by model complexity it is a better fit index than the CFI. The SRMR, an absolute goodness-of-fit index, is used as a standardized measurement unit to prevent a larger value between variables when calculating the RMR. The absolute goodness-of-fit index is a value obtained by calculating the ratio of the degree to which the research model constructed by the researcher cannot explain the data collected. Therefore, the smaller this value, the better the model is. In general, if the value is less than 0.08, it is considered good. The RMSEA is another type of absolute fitness index; like the RMR, it calculates the ratio at which the model cannot explain data. In general, if it is in the range of 0.05 to 0.08, the model is considered acceptable. The RMSEA has the advantage of being unaffected by model complexity and is more suitable for larger samples. However, if the model is simple or the sample size is small, this value tends to be larger; thus, it is recommended that it be considered with a relative index such as the CFI.
The factor load of the metric invariance model was 0.65~0.91, which was statistically significant (p < 0.001), and the standard error was small at 0.03~0.05. The factor load of the configural invariance model was 0.654~0.908, which was statistically significant, respectively, and the standard error was small at 0.30~0.077. The two models showed full metric invariance and full configural invariance, respectively.

5. Study Results

5.1. Descriptive Statistics and Correlation Coefficients

Table 5 shows the average of the four latent variables, the kurtosis, the skewness, the correlation coefficient between each measured value, and the measured factor load. When the scores of the four variables were converted into a perfect score of 5, the ES was 3.23 (±0.68) points, the SE was 3.25 (±0.81) points, the EA was 3.46 (±0.79) points, and the EI was 2.96 (±1.03). The correlation coefficients between the measured variables were at least r = 0.40 and at most r = 0.75, and all correlation coefficients showed positive correlations and were statistically significant, respectively (p < 0.01). The factor values at which the four latent variables explain each measurement are at least 0.72, with a maximum of 0.93. In general, 0.7 or higher is considered good. For the correlation coefficient values, ** indicates that the probability of correlation between the two variables is more than 95%, given the standard error of the sample, and for the factor coefficient, *** means that the probability of the latent variable explaining each measurement is more than 99% given the standard error of the sample.

5.2. Verification of Structural Models (Hypothesis Verification)

5.2.1. Direct and Indirect Effects

Structural equation model analysis was performed to confirm the relationship between the latent variables. The structural model is shown in Figure 1, and the goodness-of-fit index of the model shows the TLI is 0.952 and the RMSEA is .085. The 90% confidence interval of the RMSEA is between 0.071 and 0.099. When the RMSEA value is <0.10, the goodness of fit can be considered moderate [151]. In Figure 1, the three arrows extending from the EE affect the paths from ES to EI, from EA to EI, and from SE to EI and determine whether there is a difference between students with and without EE experience. This analysis is called a multi-group analysis of structural equations or an analysis of the moderating effect of structural equations.
Table 6 is the result of verifying the significance of the path coefficient of the structural model. The magnitude of the influence between the variables was calculated after controlling for the fact that ES and SE were in a mutually influential relationship. ES had a direct effect of approximately β = 0.27 on EI, SE had a direct effect of β = 0.49 on EI, and EA had a direct effect of β = 0.21 on EI, which was statistically significant (p < 0.001, respectively). Therefore, Hypotheses 1, 2, and 3 were confirmed. ES had a direct effect of β = 0.19 on EA, but it was not statistically significant (p > 0.05) so hypothesis 4 was rejected. SE had a direct effect of β = 0.36 on EA and was statistically significant (p < 0.001); thus, hypothesis 5 was confirmed. When ES affected EI, EA played a positive mediating role (β = 0.040), but hypothesis 6 was rejected. When SE affected EI, EA played a positive mediating role (β = 0.07) so the effect of SE on EI increased further from β = 0.49 to β = 0.564 and was statistically significant (p < 0.01). Therefore, hypothesis 7 was accepted.
t-testing of the potential difference between the path coefficients of the latent variables revealed that the effect of SE on EI (β = 0.49) was greater than the effect of ES and EA on EI (β = 0.26, β = 0.21) (p < 0.01). There was no statistical difference in the effects of ES and SE on EA (β = 0.19, β = 0.36) (p > 0.05). ES and SE explained 28% of EA, and ES, EA, and SE explained 73% of EI. SE had the most significant effect on EI.

5.2.2. The Moderating Effect of EE

A multi-group analysis was conducted to ascertain whether there was a difference in the path coefficient between the latent variables of the structural model between the students (EL) who took a startup-related course and who did not. The results are presented in Table 7. Model 2, which constrained the SE->EA path, and Model 5, which constrained the EA->EI path, differed significantly from the basic model. Compared to the basic model, Model 2 and Model 5 are Δχ2 = 4.522 and Δχ2 = 7.286, respectively, so when Δdf = 1, the standardization coefficient of the two paths exceeded the Δχ2 threshold of 3.84 at the p < 0.05 level, indicating that there was a statistically significant difference.
In Table 8, the standardization coefficient of the SE->EA path was significantly higher in the EL group and the NEL group than in the NEL group (p < 0.05), and the standardization coefficient of the EI path was significantly higher in the NEL group and the EL group, as β = 0.084, β = 0.302, respectively (p < 0.001). Therefore, hypothesis 8 was partially confirmed. In other words, in the EL group, SE had a greater effect on EA than in the NEL group, and in the NEL group, EA had a greater effect on EI than in the EL group. The EL group comprises students who have taken courses related to EE in any form while attending university, and the NEL group comprises students who have not taken any courses.

6. Discussion

In this study, we found that the EI of Korean college students were low, with a score of less than 3 out of 5 points on average. Therefore, university authorities need to show greater interest in fostering startups among college students and dedicate more focus to the provision of EE. College students’ ES, SE, and EA were identified as positive predictors of EI. Among these factors, SE was found to be the strongest. The positive prediction of EI by ES supports Lüthje and Frank’s [87] EIM, which posits that personality traits such as risk-taking influence EI. SE’s positive prediction of EI supports Ajzen’s [83,84] TPB, which states that perceived entrepreneurial ability has a positive effect on EI, and Shapero and Sokol’s [86] EEM, which suggests that the feasibility of startup increases startup motivation. Additionally, EA was found to be a positive predictor for EI, supporting the EEM theory that the greater the perceived desirability of creating a startup, the stronger the EA, as well as Lüthje and Franke’s [87] EIM theory that EA is a mediating factor when personality traits or environmental factors affect EI.
The results of this study are consistent with those conducted in several other countries, reaffirming that SE is the strongest predictor of EI [157,158,159,160,161,162]. Although little research has been conducted on how ES affects EI, this study found that ES, measured by risk sensitivity, adventure, and initiative, has a positive effect on EI. EE is known to increase EI [25,79,80,81,132], SE [128,129,142,163], and EA [79,128,131], respectively. In addition, this study confirmed that ES also increases EI, and this is consistent with the results of another study [127]. ES can also be viewed as an individual characteristic that influences EI, as demonstrated by the EE program promoted by the White House in the United States [122].
In this study, SE was a positive predictor for EA, but ES was not a significant predictor, whereas SE was a strong factor in predicting EI. Based on the results of previous studies, which indicate that EE has a positive effect on ES, SE, EA, and EI, respectively, this study assumed that ES and SE affect EI and EA, and the degree of influence differs depending on whether college students have taken an EE course. As a result, for the group (EL) with a history of EE, SE positively predicted EA, but no meaningful prediction was made for the group (NEL) who had not experienced EE. On the other hand, for the group (EL) who had experienced an EE course, EA did not meaningfully predict EI, but for the group (NEL) without such experience, EA positively predicted EI. This result suggests that SE is important for the EL group, whereas for the NEL group, both SE and EA are important. These results suggest that the EL group’s EI is more influenced by intellectual processes such as SE than emotional processes such as EA and that the NEL group’s EI is more likely to be influenced by emotional processes such as EA. In other words, the EL group is more likely to express EI based on rational and realistic conditions, such as startup ability, than the NEL group, indicating that their EI is more stable and mature. Considering these points, the provision of EE will increase the prevalence of successful startups by teaching potential entrepreneurs’ skills such as creativity, decision-making, opportunity awareness, work–life balance, strategies for overcoming failure, personal financial literacy [121], and business knowledge, and actual ability [131]. Providing this type of education will increase the likelihood of students successfully creating startups by ensuring their EI is more rational and realistic.

7. Conclusions and Suggestions

Our research results and discussion are summarized and concluded as follows. First, it is necessary to improve the EI of Korean college students. To achieve this, university authorities must provide students with a more strategic and systematic startup education. Secondly, ES (risk-taking, initiative, and adventurousness), EA, and SE are important psychological characteristics that directly positively affect college students’ EIs. These three variables explain approximately 73% of an individual’s EI. Of these factors, founder self-efficacy has the strongest influence. The results of this study are consistent with the most common theories about the factors affecting various EIs. In this respect, when providing startup education in university settings, it is necessary to focus on improving SE. Thirdly, EA is crucial and must not be neglected in startup education as it plays a positive role when SE affects EI. Fourthly, if startup education focuses on improving SE, students’ EIs are likely to become more rational, realistic, and robust. Therefore, it is recommended that educators focus on competencies such as startup knowledge and startup skills that can affect SE.
In the future, we recommend that researchers focus on the following considerations. Firstly, since sampling in this study was conducted at the university level, the collected data are multi-layered. Therefore, we recommend that researchers use multilevel model analysis or structural equation model analysis, controlling multilevel model conditions. Secondly, as this study focused on individual characteristic factors that have a relatively large influence on EI, based on the results of previous studies, we recommend including socio-ecological factors that influence EI (family economic conditions, government policies, systems, support, startup funds, etc.) to reveal a wider range of influencing factors.

8. Limitations of Research

In this study, the data are multilevel since the samples were obtained at the university level. Therefore, the result could be improved by performing multilevel model analysis. In addition, the differences between the effects of universities on each variable may not have been reflected in the results, and there were more female than male students in the sample, resulting in the potential for gender bias in the results. However, we separately confirmed the difference in the mean between men and women in this study and found no significant difference for any of the variables. This study examined the factors affecting EI only in terms of the personal characteristics of college students and did not consider socio-ecological factors such as government policies, institutions, and socio-cultural factors. However, based on the finding that founders’ self-efficacy has a greater influence than socio-ecological factors [22], the influence of individual characteristic factors such as founders’ self-efficacy can still be viewed as a factor affecting strong EI.

Author Contributions

First author: conceptualization, resources, data curation, writing—original draft preparation; second author: methodology, software, validation, formal analysis, investigation, writing—review and editing.

Funding

Not applicable.

Institutional Review Board Statement

Not applicable.

Informed Consent Statement

Data collection was performed using the Smartphone survey app, and all respondents were adult college students and applicants who provided consent before the survey began. Participants were notified that the survey contents were not psychologically harmful or burdensome to respondents, that the collected data was only used for research purposes, and that the survey could be completed within 5 minutes. It is believed that there were no ethical problems in the survey response process.

Data Availability Statement

For pure research purposes, we would be happy to share the original data used in this study with other researchers.

Conflicts of Interest

There were no conflicts between the main author and the corresponding author while conducting this study.

References

  1. Van Praag, C.M.; Cramer, J.S. The Roots of Entrepreneurship and Labor Demand: Individual Ability and Low Risk Aversion. Economica 2001, 68, 45–62. [Google Scholar] [CrossRef]
  2. Kong, Y.Y.; Park, B.J.; Park, S.I. The Impact of Opportunity Discovery Behaviors on Opportunity Recognition and Entrepreneurship in University Students: Focusing on Moderating Effect of Anti-Corporate Sentiments. J. Ind. Econ. Bus. 2021, 34, 105–129. [Google Scholar] [CrossRef]
  3. KISED: Korea Institute of Startup Entrepreneurship Development. Startup Statistics, National Statistics No. 142016. 2020. Available online: https://www.kised.or.kr/board.es?mid=a10309000000&bid=0008#content (accessed on 15 August 2024).
  4. Lee, Y.S. The Effect of University Students’ Entrepreneurial Competence and Attitude on Entrepreneurial Intention. Ph.D. Thesis, Graduate School, Konkuk University, Seoul, Republic of Korea, 2021. [Google Scholar]
  5. Thompson, E.R. Individual entrepreneurial intent: Construct clarification and development of an internationally reliable metric. Entrepreneurship. Theory Pract. 2009, 33, 669–694. [Google Scholar] [CrossRef]
  6. Liñán, F.; Fayolle, A. A systematic literature review on Entrepreneurial Intentions: Citation, thematic analyses, and research agenda. The International Entrepreneurship Management Journal 2015, 11, 907–933. [Google Scholar] [CrossRef]
  7. Santos, S.C.; Liguori, E.W. Entrepreneurial self-efficacy and intentions: Outcome expectations as mediator and subjective norms as moderator. Int. J. Entrep. Behav. Res. 2019, 26, 400–415. [Google Scholar] [CrossRef]
  8. Fayolle, A.; Liñán, F. The future of research on entrepreneurial intentions. Journal of business research 2014, 67, 663–666. [Google Scholar] [CrossRef]
  9. Soomro, B.A.; Memon, M.; Shah, N. Attitudes towards entrepreneurship among the students of Thailand: An entrepreneurial attitude orientation approach. Educ. Þ Train. 2020, 63, 239–255. [Google Scholar] [CrossRef]
  10. Kazen, M.; Kaschel, R.; Kuhl, J. Individual differences in intention initiation under demanding conditions: Interactive effects of state vs. action orientation and enactment difficulty. J. Res. Personal. 2008, 42, 693–715. [Google Scholar] [CrossRef]
  11. Kuhl, J.; Kazen, M. Volitional facilitation of difficult intentions: Joint activation of intention memory and positive affect removes stroop interference. J. Exp. Psychol. Gen. 1999, 128, 382–399. [Google Scholar]
  12. Rauch, A.; Frese, M. Let’s put the person back into entrepreneurship research: A meta-analysis on the relationship between business owners’ personality traits, business creation, and success. European Journal of Work and Organizational Psychology, 2007, 16, 353–385. [Google Scholar] [CrossRef]
  13. Sheeran, P. Intention-behavior relations: A conceptual and empirical review. In European Review of Social Psychology; Hewstone, M., Stroebe, W., Eds.; Taylor & Francis: Milton Park, UK, 2002; Volume 12, pp. 1–36. [Google Scholar]
  14. Bird, B.J. Implementing Entrepreneurial Ideas: The Case for Intentions. Acad. Manag. Rev. 1988, 13, 442–454. [Google Scholar] [CrossRef]
  15. Crant, J.M. The Proactive Personality Scale as a Predictor of Entrepreneurial Intentions. J. Small Bus. Manag. 1996, 34, 42–49. [Google Scholar]
  16. Gielnik, M.M.; Bledow, R.; Stark, M.S. A dynamic account of self-efficacy in entrepreneurship. J. Appl. Psychol. 2020, 105, 487–505. [Google Scholar] [CrossRef] [PubMed]
  17. Krueger, N.F.; Reilly, M.D.; Carsrud, A.L. Competing models of entrepreneurial intentions. J. Bus. Ventur. 2000, 15, 411–432. [Google Scholar] [CrossRef]
  18. Chae, Y. H. The Effect of Employ ability of the University Student on the Entrepreneurial Intention: Focused on the Serial Multiple Mediation Effect of Self-leadership and Self-efficacy and on the Moderating Effect of Major. Graduate School, Soongsil University, Korea. Doctoral dissertation. 2016.
  19. Alammari, K.; Newbery, R.; Haddoud, M.Y.; Beaumont, E. Post-materialistic values and entrepreneurial intention—The case of Saudi Arabia. J. Small Bus. Enterp. Dev. 2019, 26, 158–179. [Google Scholar] [CrossRef]
  20. Zhang, J.; Huang, J. Entrepreneurial self-Efficacy mediates the impact of the post-pandemic entrepreneurship environment on college students’ entrepreneurial intention. Front. Psychol. 2021, 12, 643184. [Google Scholar] [CrossRef] [PubMed]
  21. Chohra, M. A critical review of the academic entrepreneurial ecosystem in developing countries: The case of Algeria. Int. J. Technol. Manag. Sustain. Dev. 2019, 18, 243–259. [Google Scholar] [CrossRef]
  22. Elnadi, M.; Gheith, M.H. Entrepreneurial ecosystem, entrepreneurial self-efficacy, and entrepreneurial intention in higher education: Evidence from Saudi Arabia. Int. J. Manag. Educ. 2021, 19, 100458. [Google Scholar] [CrossRef]
  23. Arshad, M.; Farooq, O.; Farooq, M. The effect of intrinsic and extrinsic factors on entrepreneurial intentions: The moderating role of collectivist orientation. Manag. Decis. 2019, 57, 649–668. [Google Scholar] [CrossRef]
  24. Molino, M.; Dolce, V.; Cortese, C.G.; Ghislieri, C. Personality and social support as determinants of entrepreneurial intention. Gender differences in Italy. PLoS ONE 2018, 13, e0199924. [Google Scholar] [CrossRef]
  25. Liu, X.; Lin, C.; Zhao, G.; Zhao, D. Research on the Effects of Entrepreneurial Education and Entrepreneurial Self-Efficacy on College Students’ Entrepreneurial Intention. Front. Psychol. 2019, 10, 1–9. [Google Scholar] [CrossRef]
  26. Kaur, M.; Chawla, S. Understanding the relationship between entrepreneurship education, entrepreneurial attitudes, and entrepreneurial intentions among engineering graduates: The moderating role of gender. J. Work. Appl. Manag. 2023, 15, 200–215. [Google Scholar] [CrossRef]
  27. Alharbi1, J.; Almahdi, H.; Mosbah, A. The Impact of Entrepreneurship Education Programs (EEPs) on the Entrepreneurial Attitudes among Higher Education Students. Int. J. Manag. Econ. Soc. Sci. 2018, 7, 245–271. [Google Scholar] [CrossRef]
  28. Hassan, A.; Saleem, I.; Anwar, I.; Hussain, S.A. Entrepreneurial intention of Indian university students: The role of opportunity recognition and entrepreneurship education. Educ. Train. 2020, 62, 843–861. [Google Scholar] [CrossRef]
  29. Saraih, U.N.; Aris, A.Z.Z.; Mutalib, S.A.; Ahmad, T.S.T.; Abdullah, S.; Amlus, M.H. The Influence of Self-Efficacy on Entrepreneurial Intention among Engineering Students. MATEC Web Conf. 2018, 150, 05051. [Google Scholar] [CrossRef]
  30. Ngah, R.; Rahman, A.Z.A.A.; Buyong, S.Z. Entrepreneurial Self-Efficacy and Entrepreneurial Intention of University’s Students: The Impact of Entrepreneurial Learning. Asean Entrep. J. 2016, 2, 64–73. [Google Scholar]
  31. Tsai, K.H.; Chang, H.C.; Peng, C.Y. Extending the link between entrepreneurial self-efficacy and intention: A moderated mediation model. Int. Entrep. Manag. J. 2014, 12, 445–463. [Google Scholar] [CrossRef]
  32. Udayanan, P. (2019). The Role of Self-Efficacy and Entrepreneurial Self-Efficacy on the Entrepreneurial Intentions of Graduate Students: A Study among Omani Graduates. Entrepreneurial Business and Economics Review, 7. 7-20. [CrossRef]
  33. Kang, J.H. A Study on Effect of the University Student’s Self-Leadership and Entrepreneurship on Entrepreneurial Self-Efficacy and Entrepreneurial Intention: Focusing on Mediating Effect of Opportunity Recognition. Ph.D. Thesis, Graduate School of Venture, Hoe-Se Univ., Seoul, Republic of Korea, 2016. [Google Scholar] [CrossRef]
  34. Chen, C.C.; Greene, P.G.; Crick, A. Does entrepreneurial self -efficacy distinguish entrepreneurs from managers? J. Bus. Ventur. 1998, 13, 295–316. [Google Scholar] [CrossRef]
  35. Park, J.W.; Choi, M.J. The impact of entrepreneurial self-efficacy on the entrepreneurial intention of university students: The moderating effect of regulatory focus. Asia-Pac. J. Bus. Ventur. Entrep. 2016, 11, 9–19. [Google Scholar] [CrossRef]
  36. Memon, M.; Soomro, B.A.; Shah, N. Enablers of entrepreneurial self-efficacy in a developing country. Educ. Þ Train. 2019, 61, 684–699. [Google Scholar] [CrossRef]
  37. Lee, S.M.; Lim, S.B.; Pathak, R.D.; Chang, D.; Li, W. Influences on students’ attitudes toward entrepreneurship: A multi-country study. Int. Entrep. Manag. J. 2006, 2, 351–366. [Google Scholar] [CrossRef]
  38. Do, B.-R.; Dadvari, A. The influence of the dark triad on the relationship between entrepreneurial attitude orientation and entrepreneurial intention: A study among students in Taiwan University. Asia Pac. Manag. Rev. 2017, 22, 185–191. [Google Scholar] [CrossRef]
  39. Kusumojanto, D.D.; Wibowo, A.; Kustiandi, J.; Narmaditya, S.B. Do entrepreneurship education and environment promote students’ entrepreneurial intention? The role of entrepreneurial attitude. Cogent Educ. 2021, 8, 1948660. [Google Scholar] [CrossRef]
  40. Phan, P.H.; Wong, P.K.; Wang, C.K. Antecedents to Entrepreneurship Among University Students in Singapore: Beliefs, Attitudes and Background. J. Enterprising Cult. (JEC) 2002, 10, 151–174. [Google Scholar] [CrossRef]
  41. Baron, R.A. Cognitive mechanisms in entrepreneurship: Why and when enterpreneurs think differently than other people. J. Bus. Ventur. 1998, 13, 275–294. [Google Scholar]
  42. Lee, N.H. Influence that Career Discontinuity Woman’s Situational Property and Woman Network Have on the Establishment Intention Through the Medium of Personal Attitude and Subjective Norm of Establishment Act: Control Effect of the Establishment Supporting Policy. Master’s Thesis, Chung-Ang University Graduate School of Industrial and Entrepreneurial Management, Chung-Ang Graduate School, Anseong, Republic of Korea, 2016. [Google Scholar] [CrossRef]
  43. Chung, D.Y.; Kim, Y.S.; Kim, J.H. The effect of subjective norm on entrepreneurial intention mediated by personal attitude and perceived behavioral control: Focusing on Liñán and Chen (2009). Korean Bus. Educ. Rev. 2018, 33, 183–204. [Google Scholar] [CrossRef]
  44. Shi, X.; Oh, K.Y.; Kim, H.J.; Min, T.K. A study on the effect of Chinese university students’ entrepreneurial intention: Focused on the mediating effect of entrepreneurial attitude and perceived behavioral control. Asia Pac. J. Bus. Ventur. Entrep. 2020, 15, 175–189. [Google Scholar] [CrossRef]
  45. Svotwa, T.D.; Jaiyeoba, O.; Roberts-Lombard, M.; Makanyeza, C. Perceived Access to Finance, Entrepreneurial Self-Efficacy, Attitude Toward Entrepreneurship, Entrepreneurial Ability, and Entrepreneurial Intentions: A Botswana Youth Perspective. Orig. Res. 2022, 1, 1–18. [Google Scholar] [CrossRef]
  46. Yousaf, U.; Ali, S.A.; Ahmed, M.; Usman, B.; Sameer, I. From entrepreneurial education to entrepreneurial intention: A sequential mediation of elf-efficacy and entrepreneurial attitude. Int. J. Innov. Sci. 2021, 13, 364–380. [Google Scholar] [CrossRef]
  47. Cho, H.J.; Choi, D.S.; Sung, C.S. A study on the effect of entrepreneurial mentoring on entrepreneurial intention: Mediating effects of social support and entrepreneurial self-efficacy. Asia-Pac. J. Bus. Ventur. Entrep. 2020, 15, 81–96. [Google Scholar] [CrossRef]
  48. Yoo, B.H. A study on influential factors of self-leadership on start-up intention. J. Korea Acad.-Ind. Coop. Soc. 2014, 15, 1382–1389. [Google Scholar] [CrossRef]
  49. Lee, H.K.; Lee, I.H. The study of the effects of college students’ creativity and self-efficacy on entrepreneurial intention. Asia-Pac. J. Bus. Ventur. Entrep. 2016, 11, 111–120. [Google Scholar] [CrossRef]
  50. Wu, L.; Jiang, S.; Wang, X.; Yu, L.; Wang, Y.; Pan, H. Entrepreneurship education and entrepreneurial intentions of college students: The mediating role of entrepreneurial self-efficacy and the moderating role of entrepreneurial competition experience. Front. Psychol. 2022, 12, 727826. [Google Scholar] [CrossRef]
  51. Sung, C.S.; Kim, J.S. A study on the factors influencing senior entrepreneurship. Asia Pac. J. Small Bus. 2011, 33, 109–133. Available online: http://www.kasbs.or.kr (accessed on 25 October 2024).
  52. Jin, J.H.; Park, B.J. The impact of role model exposure on entrepreneurial intention: Focusing on the mediating effect of entrepreneurial attitude, subjective norm, and self-efficacy. Asia Pac. J. Small Bus. 2014, 36, 101–123. Available online: http://www.kasbs.or.kr (accessed on 13 August 2024).
  53. Morris, M.H.; Kuratko, D.F. Corporate Entrepreneurship, Fort Worth; Harcourt College Publishers: San Diego, CA, USA, 2002. [Google Scholar]
  54. Aldrich, H.F. Methods in our madness? In The State of the Art of Entrepreneurship; PWS-Kent Publishing: Boston, MA, USA, 1992; pp. 191–213. [Google Scholar]
  55. McClelland, D.C. The Achieving Society; Van Nostrand Reinhold: Princeton, NJ, USA, 1961. [Google Scholar]
  56. Zahra, S.A.; Covin, J.G. Contextual influences on the corporate entrepreneurship—Performance relationship: A longitudinal analysis. J. Bus. Ventur. 1995, 10, 43–58. [Google Scholar] [CrossRef]
  57. European Commission. Green Paper: Entrepreneurship in Europe; European Commission: Brussels, Belgium, 2003. [Google Scholar]
  58. Kim, J.H. The Effect of Entrepreneurship on Entrepreneurial Intention: Focusing on Mediating Effects of Fear on Business. Asia-Pac. J. Bus. Ventur. Entrep. 2018, 13, 73–82. [Google Scholar]
  59. Choi, H.S.; Gong, Y.Y. The effects of entrepreneurship on entrepreneurial intentions among university students: Focusing on moderating effects of entrepreneurial education and entrepreneurial experience of first-degree relatives. J. Korea Entrep. 2022, 17, 91–113. [Google Scholar]
  60. Bae, B.Y.; Lee, J.H. The Moderating Effects of Gender and Major on the Relationship Between Entrepreneurial Orientation and Entrepreneurial Intention. Asia-Pac. J. Bus. Ventur. Entrep. 2018, 13, 63–74. [Google Scholar]
  61. Kim, Y.H.; Yang, D.W. An empirical study on the effects of fear of entrepreneurial failure and entrepreneurship on entrepreneurial intention: Focusing on mediating effect of entrepreneurial self-efficacy. J. Korea Entrep. 2021, 16, 1–25. [Google Scholar]
  62. Kang, G.L.; Park, C.W. A study on the influence of entrepreneurship and social value orientation on the start-up intention of social enterprise: Focus on mediating effect of start-up club activity. J. Korea Entrep. 2019, 14, 354–377. [Google Scholar] [CrossRef]
  63. Kwon, J.K.; Han, Y.Y. Analysis of autoregressive cross lagged effect on entrepreneurial motivation, entrepreneurs core competency and entrepreneurial intentions of next generation gifted entrepreneurs. J. Korean Soc. Gift. Talent. 2021, 20, 163–186. [Google Scholar] [CrossRef]
  64. Hathaway, I.; Litan, R.E. Declining Business Dynamism in the United States: A Look at States and Metros; Brookings Institution: Washington, DC, USA, 2014. [Google Scholar]
  65. Nabi, G.; Liñán, F. Graduate entrepreneurship in the developing world: Intentions, education and development. Educ. Train. 2011, 53, 325–334. [Google Scholar] [CrossRef]
  66. Adekiya, A. A. A.; Ibrahim, F. Entrepreneurship intention among students. The antecedent role of culture and entrepreneurship training and development. International Journal of Management in Education, 2016, 14, 116–132. [Google Scholar] [CrossRef]
  67. Ahmed, T.; Chandran, V.G.R.; Klobas, J.E.; Liñán, F.; Kokkalis, P. Entrepreneurship education programs: How learning, inspiration and resources affect intentions for new venture creation in a developing economy. Int. J. Manag. Educ. 2020, 18, 100327. [Google Scholar] [CrossRef]
  68. BarNir, A.; Watson, W.E.; Hutchins, H.M. Mediation and moderated mediation in the relationship among role models, self-efficacy, entrepreneurial career intention, and gender. J. Appl. Soc. Psychol. 2011, 41, 270–297. [Google Scholar] [CrossRef]
  69. Cui, J.; Sun, J.; Bell, R. The impact of entrepreneurship education on the entrepreneurial mindset of college students in China: The mediating role of inspiration and the role of educational attributes. Int. J. Manag. Educ. 2019, 19, 100296. [Google Scholar] [CrossRef]
  70. Hult´en, P.; Tumunbayarova, Z. Building students’ entrepreneurial mindsets: Results from an intervention at a Russian university. International Journal of Management in Education 2020, 18, 100380. [Google Scholar]
  71. Jaafar, M.; Aziz, A.R.A. Entrepreneurship education in developing country: Exploration on its necessity in the construction programme. J. Eng. Des. Technol. 2008, 6, 178. [Google Scholar] [CrossRef]
  72. Obschonka, M.; Hakkarainen, K.; Lonka, K.; Salmela-Aro, K. Entrepreneurship as a twenty-first century skill: Entrepreneurial alertness and intention in the transition to adulthood. Small Bus. Econ. 2017, 48, 487–501. [Google Scholar] [CrossRef]
  73. Setiawan, J.L. Examining entrepreneurial self-efficacy among students. Procedia Soc. Behav. Sci. 2014, 115, 235–242. [Google Scholar] [CrossRef]
  74. Markman, G.D.; Baron, R.A. Individual differences and the pursuit of new ventures: A model of person-entrepreneurship fit. In Advances in Entrepreneurship, Firm Emergence and Growth; Katz, J.A., Welbourne, T.M., Eds.; Emerald Group Publishing Limited: Bingley, UK, 2002; pp. 23–53. [Google Scholar]
  75. Kang, J.H.; Yang, D.W. A study on effect of the university student’s entrepreneurship on entrepreneurial self-efficacy and entrepreneurial intention: Focusing on mediating effect of opportunity recognition. J. Korean Acad. Ind. Coop. Soc. 2016, 17, 493–507. [Google Scholar] [CrossRef]
  76. Lee, S.A. Analysis of Entrepreneurship, Social Capital and Entrepreneurial Intentions of Young Pre-Entrepreneurs: Focusing on Mediating Effects of Entrepreneurial Self-Efficacy and Moderating Effects of Entrepreneurship Education. Ph.D. Thesis, Graduate School, Kyonggi University, Suwon, Republic of Korea, 2019. UCI: I804:41002-000000054512.. [Google Scholar]
  77. Isma, A.; Sudarmiatin; Hermawan, A. The effect of entrepreneurial self-efficacy, subjective norm, and locus of control on entrepreneurial intention through entrepreneurial attitude in economic faculty students of universitas. Int. J. Bus. Econ. Law 2020, 23, 262–272. [Google Scholar]
  78. Wilson, F.; Kickul, J.; Marlino, D.; Barbosa, S.D.; Griffiths, M.D. An analysis of the role of gender and self-efficacy in developing female entrepreneurial interest and behavior. J. Dev. Entrep. 2009, 14, 105–119. [Google Scholar] [CrossRef]
  79. Asimakopoulos, G.; Hernández, V.; Miguel, J.P. Entrepreneurial intention of engineering students: The role of social norms and entrepreneurial self-efficacy. Meng Ye 2019, 11, 4314. [Google Scholar] [CrossRef]
  80. Carpenter, A.; Wilson, R. A systematic review looking at the effect of entrepreneurship education on higher education student. Int. J. Manag. Educ. 2022, 20, 1005–1041. [Google Scholar] [CrossRef]
  81. Uddin, M.; Chowdhury, R.A.; Hoque, N.; Ahmad, A.; Mamun, A.; Uddin, M.N. Developing entrepreneurial intentions among business graduates of higher educational institutions through entrepreneurship education and entrepreneurial passion: A moderated mediation model. Int. J. Manag. Educ. 2022, 20, 100647. [Google Scholar] [CrossRef]
  82. Kusmintarti, A.; Asdani, A.; Riwajanti, N.I. The relationship between creativity, entrepreneurial attitude and entrepreneurial intention (case study on the students of State Polytechnic Malang). Int. J. Trade Glob. Mark. 2017, 10, 28–36. [Google Scholar] [CrossRef]
  83. Ajzen, I. The theory of planned behaviour. Organ. Behav. Hum. Decis. Process. 1991, 50, 179–211. [Google Scholar] [CrossRef]
  84. Ajzen, I. The theory of planned behavior: Reactions and reflections. Psychol. Health 2011, 26, 1113–1127. [Google Scholar] [CrossRef]
  85. Perugini, M.; Bagozzi, R.P. The role of desires and anticipated emotions ingoal-directed behaviors: Broadening and deepening the theory of planned behavior. Br. J. Soc. Psychol. 2001, 40, 79–98. [Google Scholar] [PubMed]
  86. Shapero, A.; Sokol, L. Social dimensions of entrepreneurship. In Encyclopedia of Entrepreneurship; Kent, C.A., Sexton, D.L., Vesper, K.H., Eds.; Prentice-Hall: Hoboken, NJ, USA, 1982; pp. 72–90. [Google Scholar]
  87. Lüthje, C.; Franke, N. The making of an entrepreneur: Testing a model of entrepreneurial intent among engineering students at MIT. R D Manag. 2003, 33, 135–147. [Google Scholar] [CrossRef]
  88. Ajzen, I.; Fishbein, M. Belief, Attitude, Intention, and Behavior: An Introduction to Theory and Research, Reading; Addison-Wesley: Boston, MA, USA, 1975. [Google Scholar]
  89. Ajzen, I.; Fishbein, M. Understanding Attitudes and Predicting Social Behavior; Prentice Hall: Hoboken, NJ, USA, 1980. [Google Scholar]
  90. Krueger, N.F. Entrepreneurial intentions are dead: Long live entrepreneurial intentions. In Understanding the Entrepreneurial Mind-Opening the Black Box; Springer: Dordrecht, The Neatherlands, 2009. [Google Scholar]
  91. Arshad, M.; Farooq, O.; Sultana, N.; Farooq, M. Determinants of individuals’ entrepreneurial intentions: A gender-comparative study. Career Dev. Int. 2016, 21, 318–339. [Google Scholar] [CrossRef]
  92. Kautonen, T.; van Gelderen, M.; Tornikoski, E.T. Predicting entrepreneurial behavior: A test of the theory of planned behavior. Appl. Econ. 2013, 45, 697–707. [Google Scholar] [CrossRef]
  93. Boyd, N.G.; Vozikis, G.S. The Influence of Self-efficacy on the Development of Entrepreneurial Intentions and Actions. Entrep. Theory Pract. 1994, 18, 63–77. [Google Scholar] [CrossRef]
  94. Markman, G.D.; Baron, R.A. Person-entrepreneurship fit: Why some people are more successful entrepreneurs than others. Hum. Resour. Manag. Rev. 2003, 13, 281–301. [Google Scholar] [CrossRef]
  95. Bledow, R.; Schmitt, A.; Frese, M.; Kuehnel, J. The affective shift model of work engagement. J. Appl. Psychol. 2011, 96, 1246–1257. [Google Scholar] [CrossRef]
  96. Locke, E.A.; Latham, G.P. Building a practically useful theory of goal setting and task motivation. Am. Psychol. 2002, 57, 705–717. [Google Scholar] [CrossRef]
  97. Margolis, H.; Mccabe, P. P. Improving Self-Efficacy and Motivation: What to Do, What to Say. Intervention in School and Clinic, 2006, 41, 218–277. [Google Scholar] [CrossRef]
  98. Hmieleski, K. M.; Baron, R. A. When does entrepreneurial self-efficacy enhance versus reduce firm performance? Strategic Entrepreneurship Journal, 2008, 2, 57–72. [Google Scholar]
  99. Townsend, D.M.; Busenitz, L.W.; Arthurs, J.D. To start or not to start: Outcome and ability expectations in the decision to start a new venture. J. Bus. Ventur. 2010, 25, 192–202. [Google Scholar] [CrossRef]
  100. Jiatong, W.; Murad, W.; Bajun, F.; Tufail, M. S.; Mirza, F.; Rafiq, M. Impact of entrepreneurial education, mindset, and creativity on entrepreneurial intention: mediating role of entrepreneurial self-efficacy. Frontiers in psychology, 2002, 14, 1–13, Aticle 724440. [Google Scholar] [CrossRef]
  101. Beck, J.W.; Schmidt, A.M. Negative relationships between self-efficacy and performance can be adaptive: The mediating role of resource allocation. J. Manag. 2018, 44, 555–588. [Google Scholar] [CrossRef]
  102. Vancouver, J.B.; Thompson, C.M.; Williams, A.A. The changing signs in the relationships among self-efficacy, personal goals, and performance. J. Appl. Psychol. 2001, 86, 605–620. [Google Scholar] [CrossRef]
  103. Vancouver, J.B.; Gullekson, N.L.; Morse, B.J.; Warren, M.A. Finding a between person negative effect of self-efficacy on performance: Not just a within-person effect anymore. Hum. Perform. 2014, 27, 243–261. [Google Scholar] [CrossRef]
  104. Vancouver, J.B.; Thompson, C.M.; Tischner, E.C.; Putka, D.J. Two studies examining the negative effect of self-efficacy on performance. J. Appl. Psychol. 2002, 87, 506–516. [Google Scholar] [CrossRef]
  105. Vancouver, J.B.; Kendall, L.N. When self-efficacy negatively relates to motivation and performance in a learning context. J. Appl. Psychol. 2006, 91, 1146–1153. [Google Scholar] [CrossRef]
  106. Koellinger, P.; Minniti, M.; Schade, C. I think I can, I think I can: Overconfidence and entrepreneurial behavior. Journal of Economic Psychology, 2007, 28, 502–527. [Google Scholar]
  107. Latham, G.P.; Budworth, M.-H. The effect of training in verbal self-guidance on the self-efficacy and performance of Native North Americans in the selection interview. J. Vocat. Behav. 2006, 68, 516–523. [Google Scholar] [CrossRef]
  108. He, D. The Study on Influencing Factors of Student Entrepreneurial Propensity. Master’s Thesis, Zhejiang Graduate School, Hangzhou, China, 2006. [Google Scholar]
  109. Liñán, F.; Chen, Y.W. Development and Cross-Cultural application of a specific instrument to measure entrepreneurial intentions. Entrep. Theory Pract. 2009, 33, 593–617. [Google Scholar] [CrossRef]
  110. Liu, N.; Moon, S.W. Prediction of entrepreneurial intentions of Korean and Chinese university students using theory of planned behavior expanded with propensity to plan and self-control. Korean Bus. Educ. Rev. 2017, 32, 313–334. [Google Scholar] [CrossRef]
  111. Han, X. The exploratory Research of College Students’ Entrepreneurial Intention and Its Influencing Factors. Master’s Thesis, Yanbian graduate school, Yanji, China, 2019. [Google Scholar]
  112. Mahfuda, T.; Triyonoa, M.B.; Sudiraa, P.; Mulyani, Y. The influence of social capital and entrepreneurial attitude orientation on entrepreneurial intentions: The mediating role of psychological capital. Eur. Res. Manag. Bus. Econ. 2020, 26, 33–39. [Google Scholar] [CrossRef]
  113. Leonidas, A.; Zampetakis, L. A.; Kafetsios, K.; Bouranta, N.; Dewett, T.; Vassilis, S.; Moustakis, V. S. On the relationship between emotional intelligence and entrepreneurial attitudes and intentions. International Journal of Entrepreneurial Behaviour & Research, 2003, 15, 595–618. [Google Scholar] [CrossRef]
  114. Anwar, I.; Jamal, M.T.; Saleem, I.; Thoudam, P. Traits and entrepreneurial intention: Testing the mediating role of entrepreneurial attitude and self-efficacy. J. Int. Bus. Entrep. Dev. 2021, 13, 40–60. [Google Scholar]
  115. Karimi, S. The role of entrepreneurial passion in the formation of students’ entrepreneurial intentions. Appl. Econ. 2020, 52, 331–344. [Google Scholar] [CrossRef]
  116. Shah, I.A.; Amjed, S.; Jaboob, S. The moderating role of entrepreneurship education in shaping entrepreneurial intentions. J. Econ. Struct. 2020, 9, 19. [Google Scholar] [CrossRef]
  117. Yarimoglu, E.; Gunay, T. The extended theory of planned behavior in Turkish customers’ intentions to visit green hotels. Bus. Strategy Environ. 2020, 29, 1097–1108. [Google Scholar] [CrossRef]
  118. Strobl, A.; Kronenberg, C.; Peters, M. Entrepreneurial attitudes and intentions: Assessing gender specific differences. Int. J. Entrep. Small Bus. 2012, 15, 452–468. [Google Scholar] [CrossRef]
  119. Schacter, S.; Singer, J. Cognitive, social, and physiological determinants of emotional state. Psychol. Rev. 1962, 69, 379. [Google Scholar]
  120. Kuratko, D.F. Entrepreneurship Education in the 21st Century: From Legitimization to Leadership. Coleman White Paper Series. 2004. Available online: www.usabe.org (accessed on 20 October 2024).
  121. Neck, H.M.; Greene, P.G. Entrepreneurship education: Known worlds and new frontiers. J. Small Bus. Manag. 2011, 49, 55–70. [Google Scholar] [CrossRef]
  122. Studdard, N. L.; Dawson, M.; Jackson, N. L. Fostering entrepreneurship and building entrepreneurial self-efficacy in pri mary and secondary education. Creative and Knowledge Society, 2013, 3, 1. [Google Scholar] [CrossRef]
  123. Vesper, K.H.; McMullen, W.E. Entrepreneurship: Today courses, tomorrow degrees? Entrep. Theory Pract. 1988, 13, 7–13. [Google Scholar]
  124. Timmons, J.A.; Spinelli, S. New Venture Creation Entrepreneurship for the 21st Century, 8th ed.; McGraw-Hill Irwin: New York, NY, USA, 2009. [Google Scholar]
  125. Steenekamp, A.G. An Assessment of the Impact of Entrepreneurship Training on the Youth in South Africa. Ph.D. Thesis, Yunbesiti Ya Bokone-Bophirima Potchefstroom Campus, North-West University, South Africa, 2013. [Google Scholar]
  126. Markham, G.D.; Baron, R.A.; Balkin, D.B. Are perseverance and self-efficacy costless? Assessing entrepreneurs’ regretful thinking. Journal of Organizational Behavior, 2005, 26, 1–19. [Google Scholar] [CrossRef]
  127. Kusumojanto, D.D.; Narmaditya, B.S.; Wibowo, A. Does entrepreneurial education drive students’ being entrepreneurs? Evidence from Indonesia. Entrep. Sustain. Issues 2020, 8, 454–466. [Google Scholar] [CrossRef]
  128. Wardana, L.W.; Narmaditya, B.S.; Wibowo, A.; Mahendra, A.M.; Wibowo, N.A.; Harwida, G.; Rohman, A.N. The impact of entrepreneurship education and students’ entrepreneurial mindset: The mediating role of attitude and self-efficacy. Heliyon 2020, 6, e04922. [Google Scholar] [CrossRef]
  129. Maritz, A.; Brown, C. Enhancing entrepreneurial self-efficacy through vocational entrepreneurship education programs. J. Vocat. Educ. Train. 2013, 65, 543–559. [Google Scholar] [CrossRef]
  130. Soomro, B.A.; Shah, N. Entrepreneurship education, entrepreneurial self-efficacy, need for achievement and entrepreneurial intention among commerce students in Pakistan. Educ. Train. 2022, 64, 107–125. [Google Scholar] [CrossRef]
  131. Agarwal, S.; Ramadani, V.; Macedonia, T.; Gerguri-Rashiti, S.; Dixit, V.A.J.K. Inclusivity of entrepreneurship education on entrepreneurial attitude among young community: Evidence from India. J. Enterprising Communities People Places Glob. Econ. 2020, 14, 299–319. [Google Scholar] [CrossRef]
  132. Katz, J.A. Education and training in entrepreneurship. In the Organizational Frontiers. In The Psychology of Entrepreneurship; Baum, J.R., Frese, M., Baron, R.A., Eds.; Lawrence Erlbaum Associates: Mahwah, NJ, USA, 2007; pp. 209–235. [Google Scholar]
  133. Pisoni, G. Strategies for pan-European implementation of blended learning for innovation and entrepreneurship (I&E) education. Educ. Sci. 2019, 9, 7–9. [Google Scholar] [CrossRef]
  134. Saptono, A.; Wibowo, A.; Narmaditya, B.S.; Karyaningsih, R.P.D.; Yanto, H. Does entrepreneurial education matter for Indonesian students’ entrepreneurial preparation: The mediating role of entrepreneurial mindset and knowledge. Cogent Educ. 2020, 7, 1836728. [Google Scholar] [CrossRef]
  135. Varamaki, E.; Joensuu, S.; Erno, T.; Anmari, V. The development of entrepreneurial potential among higher education students. J. Small Bus. Enterp. Dev. 2015, 34, 1–5. [Google Scholar] [CrossRef]
  136. Oosterbeek, H.; van Praag, M.; Ijsselstein, A. The impact of entrepreneurship education on entrepreneurship skills and motivation. Eur. Econ. Rev. 2010, 54, 442–454. [Google Scholar] [CrossRef]
  137. Sergi, B.S.; Popkova, E.G.; Bogoviz, A.V.; Ragulina, J.V. Entrepreneurship and economic growth: The experience of developed and developing countries. In Entrepreneurship and Development in the 21st Century; Emerald Publishing Limited: Leeds, UK, 2019. [Google Scholar] [CrossRef]
  138. Miller, D. The correlates of entrepreneurship in three types of firms. Manag. Sci. 1983, 29, 770–791. [Google Scholar] [CrossRef]
  139. Covin, J.G.; Slevin, D.P. Strategic Management of small Firms in Hostile and Benign Environments. Strateg. Manag. J. 1989, 10, 75–87. [Google Scholar] [CrossRef]
  140. Go, H. A Study on the Impacts of Educational Service Quality and Psychological Characteristics on Behavioral Intentions-Focused on the Education of Traditional Market Merchant College. Ph.D. Thesis, Hoe-se University Graduate School, Korea, 2014. [Google Scholar]
  141. Yoon, B.J. The Effects of Entrepreneurial Spirit and Motivation-Driven Entrepreneurship on Establishment of New Business by Undergraduate Student. Ph.D. Thesis, Graduate School of Venture, Hoe-Se Univ. Graduate School, Seoul, Republic of Korea, 2012. [Google Scholar]
  142. Lim, H.R. The Moderating Effects of Career Barriers Factors in the Structural Relationship Among Entrepreneurial Career Intention, Entrepreneurship, Entrepreneurial Self-Efficacy, and Entrepreneurial Alertness of Undergraduate Student. Ph.D. Thesis, Seoul National Univ. Graduate School, Seoul, Republic of Korea, 2019. UCI: I804:11032-000000158334. [Google Scholar]
  143. Wilson, F.; Kickul, J.; Marlino, D. Gender, entrepreneurial self-efficacy and entrepreneurial career intentions: Implications for entrepreneurship education. Entrep. Theory Pract. 2007, 31, 387–406. [Google Scholar] [CrossRef]
  144. Lee, J.A.; Jung, S.G. A study on the relationship between entrepreneurship and entrepreneurial attitude for expanding university students’ entrepreneurial intention. Korean Manag. Consult. Rev. 2021, 21, 219–230. Available online: https://www.earticle.net/Article/A404524 (accessed on 17 October 2024).
  145. Taylor, S.; Todd, P.A. Understanding information technology usage: A test of competing models. Inf. Syst. Res. 1995, 6, 144–176. [Google Scholar] [CrossRef]
  146. Kim, W.G. Effects of University Students’ Perceived Risk, Perceived Norm and Entrepreneurial Self-Efficacy on Entrepreneurial Intention: Focusing on the Mediated Effect of Entrepreneurial Resilience. Ph.D. Thesis, Graduate School, Hoe-Se Univ., Seoul, Republic of Korea, 2019. [Google Scholar]
  147. Collier, J. Applied Structural Equation Modeling Using Amos: Basic to Advanced Techniques; Routledge: New York, 2020. [Google Scholar]
  148. Anderson, J.C.; Gerbing, D.W. Structural equation modeling in practice: A review and recommended two-step approach. Psychol. Bull. 1988, 103, 411–423. [Google Scholar] [CrossRef]
  149. Fornell, C.; Lacker, D.F. Evaluating structural equation models with unobservable variables and measurement error. J. Mark. Res. 1981, 18, 39–50. [Google Scholar]
  150. Gribbons, B.C.; Hocevar, D. Levels of aggregation in higher level confirmatory factor analysis: Applications for acade mic self-concept. Struct. Equ. Model. 1998, 5, 377–390. [Google Scholar] [CrossRef]
  151. Browne, M.W.; Cudeck, R. Alternative ways of assessing model fit. In Testing Structural Equation Models; Bollen, K.A., Long, J.S., Eds.; Sage: Thousand Oaks, CA, USA, 1993; pp. 136–162. [Google Scholar]
  152. Raykov, T.; Marcoulides, G.A. A First Course in Structural Equation Modeling; Erlbaum: Mahwah, NJ, USA, 2000. [Google Scholar]
  153. Hu, L.-T.; Bentler, P. Cut off criteria for fit indexes in covariance structure analysis: Conventional criteria versus new alternatives. Struct. Equ. Model. 1999, 6, 1–55. [Google Scholar] [CrossRef]
  154. Kline, R.B. Principles and Practice of Structural Equation Modeling; Guilford: New York, NY, USA, 1998. [Google Scholar]
  155. Yeh, C.H.; Lin, H.H.; Wang, Y.M.; Wang, Y.S.; Lo, C.W. Investigating the relationships between entrepreneurial education and self-efficacy and performance in the context of internet entrepreneurship. Int. J. Manag. Educ. 2021, 19, 100565. [Google Scholar] [CrossRef]
  156. Henseler, J.; Ringle, C. M.; Sarstedt, M. A new criterion for assessing discriminant validity in variance-based structural equation modeling. Journal of the academy of marketing science, 2015, 43, 115–135. [Google Scholar] [CrossRef]
  157. Barakat, S.; Boddington, M.; Vyakarnam, S. Measuring entrepreneurial self-efficacy to understand the impact of creative activities for learning innovation. Int. J. Manag. Educ. 2014, 12, 456–468. [Google Scholar] [CrossRef]
  158. Belló, B.; Mattana, V.; Loi, M. The power of peers: A new look at the impact of creativity, social context and self-efficacy on entrepreneurial intentions. Int. J. Entrep. Behav. Res. 2018, 24, 214–233. [Google Scholar] [CrossRef]
  159. Gutiérrez, P.I.R.; Pastor Pérez, M.d.P.P.; Galicia, P.E.A. University entrepreneurship: How to trigger entrepreneurial intent of undergraduate students. J. Sci. Technol. Policy Manag. 2019, 10, 927–950. [Google Scholar] [CrossRef]
  160. Schmutzler, J.; Andonova, V.; Diaz-Serrano, L. How context shapes entrepreneurial self-efficacy as a driver of entrepreneurial intentions: A multilevel approach. Entrep. Theory Pract. 2019, 43, 880–920. [Google Scholar] [CrossRef]
  161. Zhao, H.; Seibert, S.E.; Hills, G.E. The mediating role of self-efficacy in the development of entrepreneurial intentions. J. Appl. Psychol. 2005, 90, 1265–1272. [Google Scholar] [CrossRef]
  162. Şahin, F.; Karadag, H.; Tuncer, B. Big five personality traits, entrepreneurial self-efficacy and entrepreneurial intention. Int. J. Entrep. Behav. Res. 2019, 25, 1188–1211. [Google Scholar] [CrossRef]
  163. Bae, T.J.; Qian, S.; Miao, C.; Fiet, J.O. The relationship between entrepreneurship education and entrepreneurial intentions: A meta–analytic review. Entrep. Theory Pract. 2014, 38, 217–254. [Google Scholar] [CrossRef]
Figure 1. Structural model depicting. ES (entrepreneurship), EA (entrepreneurial attitude), SE (entrepreneurial self-efficacy), and EI (entrepreneurial intention).
Figure 1. Structural model depicting. ES (entrepreneurship), EA (entrepreneurial attitude), SE (entrepreneurial self-efficacy), and EI (entrepreneurial intention).
Preprints 153650 g001
Table 1. Measurement instruments and reliability.
Table 1. Measurement instruments and reliability.
Instrument Item Number Number of Items Cronbach’s α AVE CR
ES Risk of danger 1~4 12 0.819 0.633 0.781
Initiative 5~8 0.688
Innovation 9~12 0.860
SE 1~6 6 0.896 0.727 0.889
EA 1~3 3 0.804 - -
EI 1~6 6 0.939 0.856 0.922
Entrepreneurship (ES); entrepreneurial self-efficacy (SE); entrepreneurial attitude (EA); entrepreneurial intention (EI).
Table 2. DV of measurement instrument.
Table 2. DV of measurement instrument.
ES SE EI
ES 0.633
SE 0.679 0.727
EI 0.596 0.663 0.856
ES (entrepreneurship), EA (entrepreneurial attitude), SE (entrepreneurial self-efficacy), and EI (entrepreneurial intention).
Table 3. HTMT discriminant validity for the ES and SE scale.
Table 3. HTMT discriminant validity for the ES and SE scale.
es1 es2 es3 se1 se2 se3
es1 1
es2 0.655 ** 1
es3 0.678 ** 0.635 ** 1
se1 0.541 ** 0.443 ** 0.547 ** 1
se2 0.569 ** 0.540 ** 0.682 ** 0.706 ** 1
se3 0.571 ** 0.490 ** 0.592 ** 0.716 ** 0.767 ** 1
** p < .01.
Table 4. The model fit indexes for metric invariance and configural invariance.
Table 4. The model fit indexes for metric invariance and configural invariance.
CFI TLI SRMR RMSEA
Metric invariance model 0.985 0.979 0.024 0.044
Configural invariance model 0.980 0.971 0.024 0.048
ES (entrepreneurship), EA (entrepreneurial attitude), SE (entrepreneurial self-efficacy), and EI (entrepreneurial intention).
Table 5. Correlation coefficients, means, skewness, and kurtosis (n = 415).
Table 5. Correlation coefficients, means, skewness, and kurtosis (n = 415).
es1 es2 es3 Total se1 se2 se3 Total EA ei1 ei2 ei3 Total Factoring
es1 0.77 ***
es2 0.66 ** 0.72 ***
es3 0.68 ** 0.64 ** 0.88 ***
total 0.89 ** 0.85 ** 0.89 **
se1 0.54 ** 0.44 ** 0.55 ** 0.59 ** 0.80 ***
se2 0.57 ** 0.54 ** 0.68 ** 0.69 ** 0.71 ** 0.91 ***
se3 0.57 ** 0.49 ** 0.59 ** 0.63 ** 0.72 ** 0.77 ** 0.85 ***
total 0.62 ** 0.54 ** 0.67 ** 0.70 ** 0.89 ** 0.92 ** 0.91 **
EA 0.41 ** 0.40 ** 0.41 ** 0.46 ** 0.39 ** 0.49 ** 0.42 ** 0.48 **
ei1 0.57 ** 0.52 ** 0.64 ** 0.66 ** 0.64 ** 0.71 ** 0.64 ** 0.73 ** 0.57 ** 0.93 ***
ei2 0.55 ** 0.48 ** 0.64 ** 0.64 ** 0.60 ** 0.70 ** 0.60 ** 0.70 ** 0.53 ** 0.85 ** 0.92 ***
ei3 0.53 ** 0.49 ** 0.63 ** 0.63 ** 0.59 ** 0.69 ** 0.61 ** 0.70 ** 0.54 ** 0.86 ** 0.86 ** 0.93 ***
total 0.58 ** 0.52 ** 0.67 ** 0.68 ** 0.64 ** 0.74 ** 0.65 ** 0.76 ** 0.58 ** 0.95 ** 0.95 ** 0.95 **
Mean 3.27 3.35 3.12 3.23 3.20 3.13 3.41 3.25 3.46 3.08 2.81 2.99 2.96
SD 0.78 0.69 0.86 0.68 0.87 0.94 0.87 0.81 0.79 1.02 1.12 1.13 1.03
Kurtosis −0.44 −0.31 −0.26 −0.28 −0.24 −0.22 −0.40 −0.34 −0.54 −0.26 −0.05 −0.18 −0.25
Skewness −0.12 −0.16 −0.50 −0.22 −0.22 −0.59 −0.05 −0.17 0.21 −0.71 −0.83 −0.91 −0.88
** p < 0.01; *** p < .001 entrepreneurial attitude (EA).
Table 6. Path coefficients between latent variables.
Table 6. Path coefficients between latent variables.
Path β 95%CI (β) SMC
ES (1) ---> EI(h1) 0.265 *** 0.149~0.434 28% (4 + 5)
SE (2) ---> EI(h2) 0.493 *** 0.326~0.653
EA (3) ---> EI(h3) 0.207 *** 0.123~0.288
ES (4) ---> EA(h4) 0.194 −0.058~0.409 73% (1 + 2+3 + 4+5 + 6)
SE (5) ---> EA(h5) 0.359 *** 0.167~0.596
ES (6) --> EA -->EI(h6) 0.040 −0.011~0.090
SE (7) --> EA -->EI(h7) 0.074 ** 0.027~0.138
** p < 0.01, *** p < 0.001. ES (entrepreneurship), EA (entrepreneurial attitude), SE (entrepreneurial self-efficacy), and EI (entrepreneurial intention); squared multiple correlations (SMC).
Table 7. Comparison of χ2 verification results between basic and constrained models.
Table 7. Comparison of χ2 verification results between basic and constrained models.
Constrained Model χ2 df Δdf Δχ2 p TLI RMSEA
Basic model 123.797 64 0.971 0.048
Model 2 (SE->EA) 128.349 65 1 4.552 * 0.033 0.970 0.049
Model 5 (EA->EI) 131.083 65 1 7.286 ** 0.007 0.969 0.050
* p < 0.05, ** p < 0.01. ES (entrepreneurship), EA (entrepreneurial attitude), SE (entrepreneurial self-efficacy), and EI (entrepreneurial intention).
Table 8. Verification of the path coefficient between latent variables by group (in which one group had engaged in EE and the other had not).
Table 8. Verification of the path coefficient between latent variables by group (in which one group had engaged in EE and the other had not).
Path EL Group NEL Group
β t p β t p
Model 2 SE ---> EA 0.609 4.33 *** 0.000 0.142 1.029 0.303
Model 5 EA ---> EI 0.084 1.601 0.109 0.302 5.321 ***
* p < 0.05, *** p < 0.001, EL (entrepreneurial education); NEL (non-entrepreneurial education). ES (entrepreneurship), EA (entrepreneurial attitude), SE (entrepreneurial self-efficacy), and EI (entrepreneurial intention).
Disclaimer/Publisher’s Note: The statements, opinions and data contained in all publications are solely those of the individual author(s) and contributor(s) and not of MDPI and/or the editor(s). MDPI and/or the editor(s) disclaim responsibility for any injury to people or property resulting from any ideas, methods, instructions or products referred to in the content.
Copyright: This open access article is published under a Creative Commons CC BY 4.0 license, which permit the free download, distribution, and reuse, provided that the author and preprint are cited in any reuse.
Prerpints.org logo

Preprints.org is a free preprint server supported by MDPI in Basel, Switzerland.

Subscribe

Disclaimer

Terms of Use

Privacy Policy

Privacy Settings

© 2026 MDPI (Basel, Switzerland) unless otherwise stated