Submitted:
21 March 2025
Posted:
24 March 2025
Read the latest preprint version here
Abstract
Keywords:
1. Introduction
2. Materials and Methods
3. Results
3.1. Sporophyte length
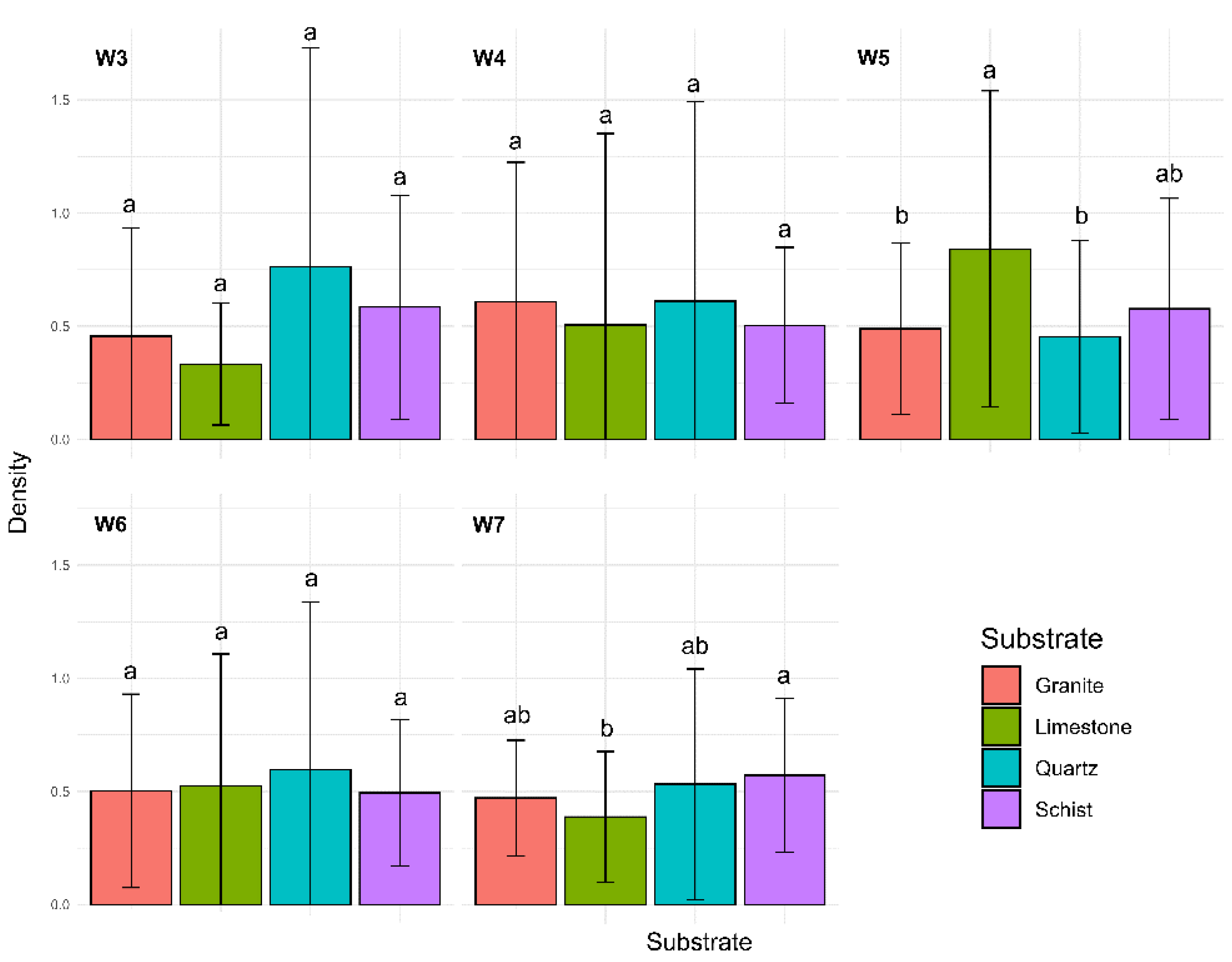
3.2. Sporophyte density
4. Discussion
Author Contributions
Funding
Institutional Review Board Statement
Informed Consent Statement
Data Availability Statement
Conflicts of Interest
References
- Thibaut, T.; Pinedo, S.; Torras, X.; Ballesteros, E. Long-term decline of the populations of Fucales (Cystoseira spp. and Sargassum spp.) in the Albères coast (France, North-western Mediterranean). Marine pollution bulletin, 1472; 12. [Google Scholar]
- Fujita, D. Management of kelp ecosystem in Japan. Cahiers de Biologie Marine 2011, 52, 499–505. [Google Scholar]
- Rogers-Bennett, L.; Catton, C. Marine heat wave and multiple stressors tip bull kelp forest to sea urchin barrens. Scientific Reports 2019, 9. [Google Scholar] [CrossRef]
- Campbell, A.; Marzinelli, E.; Vergés, A.; Coleman, M.; Steinberg, P. Towards Restoration of Missing Underwater Forests. PloS one 2014, 9, e84106. [Google Scholar] [CrossRef] [PubMed]
- Araújo, R.; Assis, J.; Aguillar, R.; Airoldi, L.; Bárbara, I.; Bartsch, I.; Bekkby, T.; Christie, H.; Davoult, D.; Derrien-Courtel, S.; et al. Status, trends and drivers of kelp forests in Europe: an expert assessment. Biodiversity and Conservation 2016, 25, 1319–1348. [Google Scholar] [CrossRef]
- Krumhansl, K.A.; Okamoto, D.; Rassweiler, A.; Novak, M.; Bolton, J.; Cavanaugh, K.; Connell, S.; Johnson, C.R.; Konar, B.; Ling, S.; et al. Global patterns of kelp forest change over the past half-century. Proceedings of the National Academy of Sciences 2016, 113, 13785–13790. [Google Scholar] [CrossRef] [PubMed]
- Filbee-Dexter, K.; Wernberg, T. Rise of Turfs: A New Battlefront for Globally Declining Kelp Forests. BioScience 2018, 68, 64–76. [Google Scholar] [CrossRef]
- Martinez, B.; Radford, B.; Thomsen, M.; Connell, S.; Carreño, F.; Bradshaw, C.; Fordham, D.; Russell, B.; Gurgel, C.; Wernberg, T. Distribution models predict large contractions of habitat-forming seaweeds in response to ocean warming. Diversity and Distributions 2018, 24, 1350–1366. [Google Scholar] [CrossRef]
- Løvås, S.M.; Tørum, A. Effect of the kelp Laminaria hyperborea upon sand dune erosion and water particle velocities. Coastal Engineering 2001, 44, 37–63. [Google Scholar] [CrossRef]
- Mork, M. The effect of kelp in wave damping. Sarsia 1996, 80, 323–327. [Google Scholar] [CrossRef]
- Christie, H.; Norderhaug, K.; Fredriksen, S. Macrophytes as habitat for fauna. Marine Ecology Progress Series 2009, 396, 221–233. [Google Scholar] [CrossRef]
- Teagle, H.; Hawkins, S.J.; Moore, P.; Smale, D. The role of kelp species as biogenic habitat formers in coastal marine ecosystems. Journal of Experimental Marine Biology and Ecology 2017, 492, 81–98. [Google Scholar] [CrossRef]
- Thomsen, M.; Wernberg, T.; Altieri, A.; Tuya, F.; Gulbransen, D.; McGlathery, K.; Holmer, M.; Silliman, B. Habitat cascades: the conceptual context and global relevance of facilitation cascades via habitat formation and modification. Integrative and comparative biology 2010, 50 2, 158–175. [Google Scholar] [CrossRef]
- Feehan, C.J.; Filbee-Dexter, K.; Wernberg, T. Embrace kelp forests in the coming decade. Science 2021, 373, 863–863. [Google Scholar] [CrossRef]
- Filbee-Dexter, K.; Wernberg, T.; Barreiro, R.; Coleman, M.A.; Bettignies, T.d.; Feehan, C.J.; Franco, J.N.; Hasler, B.; Louro, I.; Norderhaug, K.M.; et al. Leveraging the blue economy to transform marine forest restoration. Journal of Phycology 2022, 58. [Google Scholar] [CrossRef] [PubMed]
- Schiel, D.R.; Foster, M.S. The Population Biology of Large Brown Seaweeds: Ecological Consequences of Multiphase Life Histories in Dynamic Coastal. Annual Review of Ecology, Evolution, and Systematics 2006, 37, 343–372. [Google Scholar] [CrossRef]
- Eger, A.M.; Layton, C.; McHugh, T.A.; Gleason, M.; Eddy, N. Kelp Restoration Guidebook: Lessons Learned From Kelp Projects Around the World; The Nature Conservancy: Arlington, VA, USA, 2022. [Google Scholar]
- Fredriksen, S.; Filbe… Dexter, K.; Norderhaug, K.M.; Steen, H.; Bodvin, T.; Coleman, M.A.; Moy, F.E.; Wernberg, T. Green gravel: a novel restoration tool to combat kelp forest decline. Scientific Reports 2020, 10. [Google Scholar] [CrossRef] [PubMed]
- Marques, A.; Sanchéz-Gallego, Á.; Correia, R.; Sousa Pinto, I.; Chemello, S.; Louro, I.; Lemos, M.; Franco, J. Assessing Atlantic Kelp Forest Restoration Efforts in Southern Europe. Sustainability 2024. [Google Scholar] [CrossRef]
- Enevoldsen, K. Green gravel – a novel kelp forest restoration method tested on an artificial boulder reef in Danish waters. Master’s thesis, Aarhus University, 2022.
- Alsuwaiyan, N.; Filbee-Dexter, K.; Vranken, S.; Burkholz, C.; Cambridge, M.; Coleman, M.; Wernberg, T. Green gravel as a vector of dispersal for kelp restoration. Frontiers in Marine Science 2022, 9, 910417. [Google Scholar] [CrossRef]
- Chemello, S.; Pinto, I.S.; Pereira, T.R. Optimising Kelp Cultivation to Scale up Habitat Restoration Efforts: Effect of Light Intensity on “Green Gravel” Production. Hydrobiology 2023. [Google Scholar] [CrossRef]
- hydrobiology2020022.
- Chemello, S.; Santos, I.; Sousa Pinto, I.; Pereira, T. Unlocking the Potential of Green Gravel Production for Efficient Kelp Restoration: How Seeding Density Affects the Development of the Golden Kelp Laminaria ochroleuca. Phycology 2024, 4, 443–449. [Google Scholar] [CrossRef]
- Birkett, D.; Maggs, C.; Dring, M.; Boaden, P. An Overview of Dynamic and Sensitivity Characteristics for Conservation Management of Marine SACs. Scott. Assoc. Mar. Sci. (SAMS) 1998, 5. [Google Scholar]
- Schoenrock, K.; O'Callaghan, T.; O’Callaghan, R.; Krueger-Hadfield, S. First record of Laminaria ochroleuca Bachelot de la Pylaie in Ireland in Béal an Mhuirthead, county Mayo. Marine Biodiversity Records 2019, 12. [Google Scholar] [CrossRef]
- Smale, D.; Wernberg, T.; Yunnie, A.L.E.; Vance, T. The rise of Laminaria ochroleuca in the Western English Channel (UK) and comparisons with its competitor and assemblage dominant Laminaria hyperborea. Marine Ecology 2015, 36, 1033–1044. [Google Scholar] [CrossRef]
- Tuya, F.; Cacabelos, E.; Duarte, P.; Jacinto, D.; Castro, J.J.; Silva, T.; Bertocci, I.; Franco, J.N.; Arenas, F.; Coca, J.; et al. Patterns of landscape and assemblage structure along a latitudinal gradient in ocean climate. Marine Ecology Progress Series 2012, 466, 9–19. [Google Scholar] [CrossRef]
- Kerrison, P.; Stanley, M.; Kelly, M.; MacLeod, A.; Black, K.; Hughes, A. Optimising the settlement and hatchery culture of Saccharina latissima (Phaeophyta) by manipulation of growth medium and substrate surface condition. Journal of Applied Phycology 2015, 28. [Google Scholar] [CrossRef]
- Muth, A.F. Effects of Zoospore Aggregation and Substrate Rugosity on Kelp Recruitment Success. Journal of Phycology 2012, 48. [Google Scholar] [CrossRef] [PubMed]
- Milligan, K.; DeWreede, R.E. Variations in holdfast attachment mechanics with developmental stage, substratum-type, season, and wave-exposure for the intertidal kelp species Hedophyllum sessile (C. Agardh) Setchell. Journal of experimental marine biology and ecology 2000, 254, 189–209. [Google Scholar] [CrossRef]
- Morrison, L.; Feely, M.; Stengel, D.; Blamey, N.; Dockery, P.; Sherlock, A.; Timmins, E. Seaweed attachment to bedrock: Biophysical evidence for a new geophycology paradigm. Geobiology 2009, 7, 477–487. [Google Scholar] [CrossRef]
- Dahlem, C.; Moran, P.J.; Grant, T. Larval settlement of marine sessile invertebrates on surfaces of different colour and position. 1984.
- Swain, G.W.; Herpe, S.; Ralston, E.; Tribou, M. Short-term testing of antifouling surfaces: the importance of colour. Biofouling 2006, 22, 425–429. [Google Scholar] [CrossRef]


Disclaimer/Publisher’s Note: The statements, opinions and data contained in all publications are solely those of the individual author(s) and contributor(s) and not of MDPI and/or the editor(s). MDPI and/or the editor(s) disclaim responsibility for any injury to people or property resulting from any ideas, methods, instructions or products referred to in the content. |
© 2025 by the authors. Licensee MDPI, Basel, Switzerland. This article is an open access article distributed under the terms and conditions of the Creative Commons Attribution (CC BY) license (http://creativecommons.org/licenses/by/4.0/).