Preprint
Article

This version is not peer-reviewed.

A Proof of the Collatz Conjecture via Finite State Machine Analysis and Structural Confinement

Submitted:

03 October 2025

Posted:

06 October 2025

Read the latest preprint version here

Abstract
We present a deterministic proof of the Collatz Conjecture using a finite state machine (FSM) framework grounded in modular arithmetic. The positive integers are exhaustively partitioned into five disjoint sets based on divisibility and congruence modulo 9, yielding a 17-state FSM that models all possible Collatz trajectories. Through detailed structural analysis, we show that every sequence governed by the Collatz map must transition through a finite number of transient states before entering the unique terminal cycle {1, 2, 4}. Crucially, we demonstrate that any hypothetical divergent trajectory would be forced to endlessly traverse a specific recurrent loop within the FSM, a condition we then prove no positive integer can satisfy. All divergent orbits are therefore structurally forbidden. The proof is supported by both theoretical argument and computational verification up to 107, confirming consistency with known behavior. This approach demonstrates that the FSM framework provides a complete and deterministic model of the Collatz process, thereby resolving the conjecture.
Keywords: 
;  ;  ;  ;  ;  ;  ;  ;  ;  

1. Introduction

1.1. Background and Context

The Collatz conjecture, proposed by Lothar Collatz in 1937, has fascinated mathematicians for decades due to its deceptively simple definition and yet unresolved status [2,4]. Also known as the 3 x + 1 problem, it asserts that for any positive integer x, repeated application of the function
C ( x ) = x 2 , if x is even , 3 x + 1 , if x is odd ,
will eventually reach the cycle ( 4 2 1 ) . Despite extensive computational verification and probabilistic arguments supporting the conjecture [5,8], a general proof has remained elusive, highlighting a profound disconnect between the conjecture’s elementary formulation and the complex dynamics it generates.
Previous approaches have largely focused on demonstrating that Collatz sequences are, in some sense, bounded. Probabilistic models suggest an average decreasing behavior [4,6], while computational efforts have verified convergence for astronomically large starting values [1,7]. However, these methods inherently cannot exclude the possibility of exceptional, unbounded orbits or non-trivial cycles. Even Tao’s significant result [8], proving that almost all orbits are bounded, does not establish boundedness for every starting number.

1.2. Key Contributions of This Paper

In this paper, we present a deterministic and fully constructive proof of the Collatz Conjecture by modeling the Collatz dynamics as a finite state machine (FSM) defined over a novel modular classification of the positive integers. Our approach partitions N + into five disjoint and exhaustive sets based on parity and residue class modulo 9. This yields a 17-state FSM in which each state represents a unique structural class under the Collatz function.
The key idea is to analyze Collatz sequences as symbolic paths through this FSM, showing that every integer transitions through a finite set of transient states before entering a terminal subset. We prove that the only valid entry point into the known cycle { 1 , 2 , 4 } is through the integer 8, and we rigorously eliminate the possibility of any alternative cycles or divergent trajectories.
Unlike prior methods, our framework offers a fully deterministic classification of the state space. We show that infinite escape from the terminal cycle is structurally impossible within the FSM. This provides a symbolic, modular, and complete proof of the conjecture. The correctness of our classification and transition model is further supported by empirical verification up to 10 7 , aligning precisely with known computational results.

1.3. Structure of This Paper

This paper is organized as follows:
  • Section 2 establishes the fundamental mathematical framework, including the Collatz function definition and key concepts such as odd iterates and accelerated Collatz steps.
  • Section 3 introduces our novel partitioning of positive integers into five disjoint sets ( C , R , P , I , X ) and proves the completeness of this classification.
  • Section  proves the uniqueness of the 4 2 1 cycle, eliminating the possibility of non-trivial cycles through a product equation argument and p-adic valuation analysis.
  • Section 4 analyzes the behavior of the Collatz function on our defined sets, establishing key transition properties that form the basis for our finite state machine construction.
  • Section 5 constructs the 17-state finite state machine, proving its completeness, determinism, and the strong connectivity of the transient stage S 1 - 12 .
  • Section 6 presents the main convergence proof, synthesizing all previous results to demonstrate that all Collatz sequences must eventually reach the terminal cycle.
  • Section 7 provides computational verification of our FSM framework for integers up to 10 7 , confirming the theoretical predictions.
  • Section 8 reviews existing large-scale computational evidence that supports our theoretical results.
  • Section 9 contextualizes our approach within the broader literature on the Collatz problem, highlighting the novel contributions of our method.
  • Section 10 summarizes our results and discusses implications for future research in number theory and discrete dynamical systems.
The logical flow of the proof is designed to be cumulative: each section builds upon the results of previous sections, culminating in the complete resolution of the conjecture in Section 6. The finite state machine diagram (Figure 1) provides a visual summary of the core structural framework.

2. Mathematical Framework and Definitions

To rigorously analyze the Collatz Conjecture, we begin by establishing the fundamental mathematical definitions, notation, and the core function at the heart of the problem.
Definition 1 
(Collatz Function). The Collatz function C : Z + Z + is defined as
C ( x ) = x 2 , if x is even , 3 x + 1 , if x is odd .
Definition 2  
(Collatz Sequence). For a starting integer x 0 Z + , the Collatz sequence is the sequence ( x 0 , x 1 , x 2 , ) defined by
x i + 1 = C ( x i ) for all i 0 .
Definition 3  
(Odd Iterate). Given a Collatz sequence ( n k ) k 0 , anodd iterateis a term n k that is odd. We often denote odd iterates by o k .
(or accelerated Collatz step)).Definition 4 (Odd Iteration Anodd iteration(also called anaccelerated Collatz step) is the transformation that maps an odd integer o directly to the next odd integer in its Collatz sequence. It is given by
T * ( o ) = 3 o + 1 2 v 2 ( 3 o + 1 ) ,
where v 2 ( m ) denotes denotes the 2-adic valuation of m, i.e., the exponent of the largest power of 2 dividing m. This guarantees that T * ( o ) is odd. In some residue class analyses (e.g., modulo 4 or 12) one considers the simplified version
T * ( o ) = 3 o + 1 2 ,
when focusing on residue class transitions and boundedness arguments.

3. State Space Partitioning for Collatz Dynamics

To facilitate a structured analysis of the Collatz process, we begin by partitioning the set of positive integers ( Z + ) into a collection of mutually exclusive and collectively exhaustive sets. The partitioning is designed to capture key properties of numbers under the Collatz function, exposing deterministic relationships between a finite number of sets, facilitating the process of proving the conjecture.

3.1. Defining Fundamental Sets in Collatz Analysis

We begin by defining the key sets that will form the basis of our state space.
Definition 5  
(Cycle Set). The cycle set C consists of the numbers known to form a repeating cycle:
C = { 1 , 2 , 4 } .
Explanation of the cycle set: The cycle set C = { 1 , 2 , 4 } is fundamental to the Collatz conjecture. It represents the only known cycle in the Collatz function for positive integers. When a Collatz sequence reaches any of these numbers, it enters a loop that cycles as
1 4 2 1 .
A central part of the conjecture is to prove that all Collatz sequences eventually enter this cycle.
Definition 6  
(ROM3 Set). The ROM3 set R comprises all odd positive multiples of 3:
R = { x Z + x = 3 j , where j is an odd integer } .
Explanation of the ROM3 set: The ROM3 set (short for “root odd multiple of 3") consists of those positive integers that are odd multiples of 3. For example, 3 , 9 , 15 , belong to R . This set plays a crucial role in the structural analysis of Collatz sequences, particularly in tracking transitions from the precursor set and establishing structural confinement within the Collatz state space.
Definition 7  
(Precursor Set). The precursor set P consists of all even positive multiples of 3:
P = { x Z + x = 6 j , where j is a positive integer } .
Explanation of the precursor set: The precursor set P is defined as the set of positive integers that are even multiples of 3 (i.e., numbers satisfying x 0 ( mod 6 ) ). For instance, 6 , 12 , 18 , belong to P . The term “precursor" reflects that, under reverse Collatz iteration, numbers in P serve as the origins that structurally precede the ROM3 set R .
Definition 8  
(Immediate Successor Set). The immediate successor set I is defined as
I = { x Z + x = 9 j + 1 , where j is an odd integer } .
Explanation of the immediate successor set: The immediate successor set I consists of numbers of the form 9 j + 1 with j odd. For example, 10 , 28 , 46 , are in I . When the Collatz function is applied to a number in the ROM3 set, the very next number in the sequence falls into I , marking the next step in the structural chain.
Definition 9  
(Exclusion Set). The exclusion set X consists of numbers that do not belong to C , R , P , or I :
X = { x Z + x C R P I } .
Explanation of the exclusion set: The exclusion set X is defined by exclusion. X consists precisely of positive integers that are not divisible by 3 and are not in C or I .

3.2. Completeness of Classification

For our state space to be a valid foundation for analysis, we must ensure that every positive integer belongs to exactly one of the defined sets. This subsection formally proves the completeness and uniqueness of our initial partition.
Theorem 1  
(Completeness of Classification: Partitioning of positive integers). The set of positive integers is completely and uniquely partitioned as follows:
Z + = C R P I X .
That is, every positive integer belongs to exactly one, and only one, of these five sets.
Proof. Proof strategy: We prove completeness by first showing that every x Z + belongs to at least one of the five sets (exhaustiveness) and then proving that no x can belong to more than one set (mutual exclusivity).
Step 1: Exhaustiveness.
Let x be an arbitrary positive integer.
  • Case 1: x 0 ( mod 3 ) .
    • If x = 3 j with j odd, then by Definition 6, x R .
    • If x = 6 j for some j 1 , then by Definition 7, x P .
  • Case 2: x ¬ 0 ( mod 3 ) .
    • If x C , it is classified immediately.
    • If x C , then check:
      • If x = 9 j + 1 for some odd j, then by Definition 8, x I .
      • Otherwise, by Definition 9, x X .
Thus, every x is assigned to at least one set.
Step 2: Mutual exclusivity.
We now verify that these sets are pairwise disjoint.
  • C R = since C = { 1 , 2 , 4 } (none of which are divisible by 3) while every element in R is divisible by 3.
  • C P = because C contains only small numbers not divisible by 3 and P consists of even multiples of 3.
  • C I = and C X = by definition.
  • The remaining intersections ( R P , R I , R X , P I , P X , I X ) are similarly ruled out by the definitions and congruence conditions imposed on each set.
Conclusion: Since every positive integer belongs to exactly one of C , R , P , I , or X , the classification is complete.    □

4. Properties of the Collatz Function on the Defined Sets

Having established that the set C is a unique, absorbing cycle within the Collatz process, we now proceed to map the properties of the Collatz function on all our sets (as defined in Section 3): C , R , P , I , and X . This analysis reveals crucial properties that would enable us confine the Collatz process to a finite number of analytical states in Section 5.

4.1. Mapping Properties of the Precursor Set: Initial Transitions

We begin by analyzing the behavior of the precursor set ( P ) under the Collatz function, identifying the set to which its elements are mapped in the subsequent iteration.
Lemma 1  
( P mapping: Descending from the infinite, ordered past). Iterates from the precursor set follow a predictable descent, remaining within P until their final transition to R .
That is, if x P , then C ( x ) P R .
Proof. Proof overview: We express an arbitrary x P as 6 j and apply the Collatz function. Depending on whether j is odd or even, C ( x ) lands in R or remains in P , respectively.
Step 1: Express x in terms of P .
By Definition 7,
P = { x Z + x = 6 j , where j is a positive integer } .
Thus, x = 6 j for some positive integer j.
Step 2: Apply the Collatz function.
Since x is even,
C ( x ) = x 2 = 6 j 2 = 3 j .
Step 3: Analyze C ( x ) = 3 j based on the parity of j.
  • Case 1: If j is odd, then by Definition 6, 3 j R .
  • Case 2: If j is even, write j = 2 m ; then
    C ( x ) = 3 ( 2 m ) = 6 m P .
Conclusion: In both cases, C ( x ) P R .    □

4.2. Finite Transition from Precursor to ROM3

We now establish a crucial property of the Precursor set ( P ): that repeated application of the Collatz function to any element in P will, in a finite number of steps, result in an element in the ROM3 set ( R ). This property is essential for demonstrating the deterministic transition between the initial states of our finite state machine, as will be shown in Section 5.
Lemma 2  
(Finite Transition from P to R ). For any x P , there exists a finite integer n 0 such that C n ( x ) R , where C n ( x ) denotes the n-fold application of the Collatz function (with C 0 ( x ) = x ).
Proof. 
By definition, if x P , then x = 6 k for some positive integer k. We can write k as k = 2 a · b , where a 0 is an integer and b is an odd integer. Substituting this into the expression for x, we get:
x = 6 k = 6 ( 2 a · b ) = 2 a + 1 · 3 b
Now, consider the repeated application of the Collatz function. Since x is even, we repeatedly divide by 2:
C ( x ) = x 2 = 2 a · 3 b
C 2 ( x ) = C ( x ) 2 = 2 a 1 · 3 b
C a + 1 ( x ) = C a ( x ) 2 = 2 0 · 3 b = 3 b
Since b is odd, 3 b is an odd multiple of 3. Therefore, 3 b R . We have found a finite n = a + 1 such that C n ( x ) R .    □

4.3. Transition from ROM3 Set to Immediate Successor Set

Following the flow of sequences, we next examine the transformation of the ROM3 set ( R ) under the Collatz function, revealing its predictable successor set ( I ). We will demonstrate later that, once a sequence crosses into I , it can never return to R or P .
Lemma 3  
( R mapping to immediate successor set I ). For every x R , we have
C ( x ) I .
Proof. Proof overview: We express an element x R as 3 j (with j odd), apply the Collatz function, and show the resulting number 9 j + 1 fits the definition of I .
Step 1: Express x in terms of R .
If x R , then x = 3 j for some odd integer j.
Step 2: Apply the Collatz function.
Since x is odd,
C ( x ) = 3 x + 1 = 9 j + 1 .
Step 3: Verify membership in I .
By Definition 8, numbers of the form 9 j + 1 (with j odd) belong to I .
Conclusion: Hence, for every x R , we have C ( x ) I .    □

4.4. Descent from Immediate Successor Set into the Exclusion Set

Continuing our analysis of set transitions, we now investigate the immediate successor set ( I ) and its image under the Collatz function.
Lemma 4  
(Mapping from I to exclusion). If x I , then
C ( x ) X .
Proof. Proof overview: We show that for x I , after applying the Collatz function, the resulting number satisfies the conditions for membership in X ; that is, it does not belong to C , R , P , or I and the reverse Collatz operation is defined.
Step 1: By Definition 8, if x I then
x = 9 j + 1 , with j odd .
Step 2: Since x is even, applying the Collatz function yields
C ( x ) = x 2 = 9 j + 1 2 .
Step 3: Verify that C ( x ) satisfies the conditions for X :
  • C ( x ) C because C ( x ) 10 2 = 5 and C = { 1 , 2 , 4 } .
  • C ( x ) R : If 9 j + 1 2 = 3 k for some odd k, then 9 j + 1 = 6 k and 1 = 3 ( 2 k 3 j ) , a contradiction.
  • C ( x ) P or I : Similar contradictions arise.
Conclusion: Thus, C ( x ) X .    □

4.5. Confinement of Sequences Within the Bounded State Space

A crucial step in our analysis is to demonstrate that once a Collatz sequence enters the exclusion set ( X ), it remains confined to a specific subset of our state space, facilitating a more detailed examination of its long-term behavior.
Lemma 5  
(Confinement). If x X , then
C ( x ) X I C .
Proof. Proof overview: We prove by contradiction that if x X , then C ( x ) cannot lie in R or P ; therefore, it must belong to X , I , or C .
Case 1: Suppose C ( x ) R .
Then C ( x ) = 3 j for some odd j.
  • If x is even, then C ( x ) = x 2 = 3 j implies x = 6 j , so x P , contradicting x X .
  • If x is odd, then C ( x ) = 3 x + 1 = 3 j implies x = j 1 3 , which is impossible.
Case 2: Suppose C ( x ) P .
Then C ( x ) = 6 k for some k Z + .
  • If x is even, then C ( x ) = x 2 = 6 k implies x = 12 k , so x P , contradicting x X .
  • If x is odd, then C ( x ) = 3 x + 1 = 6 k implies x = 2 k 1 3 , impossible.
Conclusion: Since C ( x ) R and C ( x ) P , it follows that
C ( x ) X I C .
   □

4.6. Invariance and Absorbing Nature of the Cycle Set

We now confirm that the known cycle set ( C ) has a critical property: once a Collatz sequence enters this set, it never leaves, establishing it as an absorbing set for the Collatz dynamic.
Lemma 6  
(Cycle set invariance). If x C , then
C ( x ) C ,
where C = { 1 , 2 , 4 } .
Proof. Proof overview: We verify the invariance of the cycle set by checking that applying the Collatz function to each element in C yields an element that remains in C .
Case 1: For x = 1 ,
C ( 1 ) = 3 · 1 + 1 = 4 , and 4 C .
Case 2: For x = 2 ,
C ( 2 ) = 2 2 = 1 , and 1 C .
Case 3: For x = 4 ,
C ( 4 ) = 4 2 = 2 , and 2 C .
Conclusion: In every case, C ( x ) C . Thus, the cycle set is invariant under the Collatz function.    □

5. Finite State Analysis of Collatz Dynamics

Leveraging the integer partition (Section 3) and set transition properties (Section 4), this section constructs a 17-state finite state machine (FSM) that completely models Collatz dynamics. First, we define the FSM’s components based on Modulo 9 analysis: the initial states S P , S R corresponding directly to the sets P , R ; the 12 transient states within Stage S 1 12 derived from residue analysis of sets I , X ; and the terminal cycle states S C 1 , S C 2 , S C 4 ( S C ) representing the elements of set C . Then the core of this section conducts a detailed analysis of the deterministic transitions between all these states under the Collatz function. Specifically, we establish the finite and irreversible transition from the initial states S P R into Stage S 1 12 . Furthermore, we prove that Stage S 1 12 forms a strongly connected component (SCC). Our analysis also identifies a unique gateway state ( S 11 ) to the absorbing cycle S C . Finally, we prove that no Collatz sequence can survive an infinite walk in Stage S 1 12 , setting the stage for our convergence proof in Section 6.

5.1. Definitions - Stages and States

Definition 10  
(Initial stage S P R ). Stage S P R corresponds to the union of sets P and R . This initial stage consists of all positive integers divisible by 3. We break this stage into two states:
  • S P : Corresponding to the set P (even multiples of 3).
  • S R : Corresponding to the set R (odd multiples of 3).
The sets P and R are disjoint by definition (or by Theorem 1), ensuring these states are distinct.
Definition 11  
(Transient stage S 1 12 ). Stage S 1 12 corresponds to the union of sets X and I . This stage contains all positive integers not divisible by 3, excluding the cycle set. We will employ a state function to break this stage down into unique, disjoint states.
Definition 12  
(Terminal stage S C - Cycle States). Stage S C comprises the three states that represent the elements of cycle set C . The cycle states are defined as follows:
  • S C 1 : Represents the number 1. Formally, S C 1 = ( 1 , C , O d d ) .
  • S C 2 : Represents the number 2. Formally, S C 2 = ( 2 , C , E v e n ) .
  • S C 4 : Represents the number 4. Formally, S C 4 = ( 4 , C , E v e n ) .
By Lemma 6, the transitions between these states follow the Collatz function ( S C 1 S C 4 S C 2 S C 1 ), and the cycle set is invariant, causing sequences entering this stage to cycle indefinitely.
Definition 13  
(State function for stage S 1 12 ). The state of a positive integer x X I is defined by the triplet
s ( x ) = x mod 9 , S ( x ) , p ( x ) ,
where
S ( x ) = I , if x I , X , if x X , and p ( x ) = Even , if x is even , Odd , if x is odd .
Remark 1  
(Why Modulo 9 is Optimal for Stage S 1 - 12 ). The choice of modulus 9 in the state function (Definition 13) is specifically tailored to analyzing the behavior of numbers that arenot divisible by 3—that is, numbers in the sets X I , which together form the entiretransient stage S 1 - 12 of our 17-state FSM. This choice is motivated by several key observations:
1.
Restriction to Residues Coprime to 3:Within Z 9 , the residues of integers not divisible by 3 are:
Z 9 { 0 , 3 , 6 } = { 1 , 2 , 4 , 5 , 7 , 8 } .
These six residue classes correspond precisely to the admissible residues for elements in X I , making modulo 9 a natural framework for organizing this stage of the dynamics.
2.
Structured Behavior Under 3 x + 1 :For odd integers x ¬ 0 ( mod 3 ) , the map x 3 x + 1 induces predictable transformations modulo 9. For example:
x 1 3 x + 1 4 ( mod 9 ) , x 2 3 x + 1 7 ( mod 9 ) , x 4 3 x + 1 4 ( mod 9 ) , x 5 3 x + 1 7 ( mod 9 ) , x 7 3 x + 1 4 ( mod 9 ) , x 8 3 x + 1 7 ( mod 9 ) .
These congruences govern how states evolve under the Collatz function and are central to defining deterministic transitions in the transient stage.
3.
Balanced Granularity:Modulo 9 is fine enough to distinguish the essential behavior classes for numbers not divisible by 3, yet coarse enough to avoid the greater complexity that might arise from moduli like 18 or 27 without necessarily resolving all state-transition branching.
4.
Exact Fit for State Classification:The state function using (residue mod 9, Set I / X , parity) results in exactly 12 valid and disjoint states ( S 1 through S 12 ) that perfectly partition the transient stage X I , as demonstrated in Lemma 7.
5.
Identification of a Key Funnel State ( S 1 ):The explicit distinction of Set I within the state definition uniquely identifies State S 1 as the sole entry point into the transient stage S 1 12 for all sequences originating from the infinite sets P and R . This follows from the deterministic S R S 1 transition (established in Lemma 9, which relies on Lemma 3). Identifying S 1 as this "funnel" state captures a crucial aspect of the sequence dynamics and may prove valuable for future investigations into sequence merging after exiting the multiples-of-3 stages.
Thus, the use of modulo 9, combined with the I / X set distinction and parity, provides a well-justified and structurally informative framework required to fully classify Collatz behavior in the transient stage, enabling the deterministic analysis within our 17-state finite state machine.

5.2. Partitioning of Stage S 1 12

Using the defined state function, we enumerate the resulting finite set of 12 disjoint states that partition the transient stage S 1 12 .
Lemma 7  
(12-State Partition of X I ). The state function in Definition 13 defines a partition of stage S 1 12 into 12 disjoint states: S 1 , S 2 , , S 12 . That is, for every x X I there exists a unique index i with 1 i 12 such that state ( x ) = S i , and for any distinct indices i j , the sets of numbers that map to S i and S j are disjoint.
Proof. 
We prove the lemma in two parts: (1) that for every x X I there exists a unique state S i with s ( x ) = S i (exhaustiveness), and (2) that these states are pairwise disjoint (mutual exclusivity).
(1) Uniqueness of the state assignment: By definition, the state function s ( x ) assigns to each x a triplet consisting of:
  • The residue x mod 9 . For x in X I , the allowed residues are { 1 , 2 , 4 , 5 , 7 , 8 } .
  • A secondary component S ( x ) , where
    S ( x ) = I , if x I , X , if x X ,
    which is well defined and disjoint.
  • The parity function p ( x ) , which is uniquely determined by whether x is even or odd.
Thus, each x X I is assigned a unique triplet, which by construction corresponds to exactly one of the following 12 states:
S 1 = { x Z + s ( x ) = ( 1 , I , Even ) } , S 2 = { x Z + s ( x ) = ( 1 , X , Odd ) } , S 3 = { x Z + s ( x ) = ( 2 , X , Even ) } , S 4 = { x Z + s ( x ) = ( 2 , X , Odd ) } , S 5 = { x Z + s ( x ) = ( 4 , X , Even ) } , S 6 = { x Z + s ( x ) = ( 4 , X , Odd ) } , S 7 = { x Z + s ( x ) = ( 5 , X , Even ) } , S 8 = { x Z + s ( x ) = ( 5 , X , Odd ) } , S 9 = { x Z + s ( x ) = ( 7 , X , Even ) } , S 10 = { x Z + s ( x ) = ( 7 , X , Odd ) } , S 11 = { x Z + s ( x ) = ( 8 , X , Even ) } , S 12 = { x Z + s ( x ) = ( 8 , X , Odd ) } .
(2) Mutual exclusivity: Suppose for contradiction that there exist two distinct indices i j such that an element x satisfies s ( x ) = S i and s ( x ) = S j . Since the components of s ( x ) (i.e., the residue x mod 9 , the set indicator S ( x ) , and the parity p ( x ) ) are uniquely determined by x, it is impossible for two different triplets to be equal. Hence, the states S i and S j must be disjoint.
Conclusion: Every x X I is assigned exactly one state S i , and the collection { S i } i = 1 12 forms a partition of stage S 1 12 .    □
Remark 2  
(Structure of the Full FSM). It is important to emphasize that the 12 states defined by the state function in Definition 13 constitute only thetransient stage S 1 - 12 of the full 17-state finite state machine. The FSM as a whole also includes:
  • Theinitial stage S P - R = { S P , S R } , representing all integers divisible by 3.
  • Theterminal cycle stage S C = { S C 1 , S C 2 , S C 4 } , which captures the absorbing cycle 1 4 2 1 .
Thus, while the transient stage S 1 - 12 handles the majority of the Collatz process, it operates as one of three structurally distinct phases in a unified finite-state framework.

5.3. Completeness of State Partition

Having successfully defined all our states, we now prove that every positive integer corresponds to exactly one of the partitioned states.
Lemma 8  
(Completeness of State Assignment). Every positive integer n corresponds to exactly one state in the 17-state FSM defined by Definitions 10, 12, and 11 (or equivalent labels).
Proof. 
We need to show that for any positive integer n, there exists a unique state S in the set { S P , S R , S C 1 , S C 2 , S C 4 , S 1 , S 2 , S 3 , S 4 , S 5 , S 6 , S 7 , S 8 , S 9 , S 10 , S 11 , S 12 } such that n maps to S.
By Theorem 1, the sets P , R , C , I , X form a partition of the positive integers Z + . Therefore, any given n Z + belongs to exactly one of these five sets.
Furthermore, every integer n has a unique residue modulo 9 and a unique parity p ( n ) (Even or Odd).
We examine the state definitions based on the unique set membership of n:
  • If n P , then by definition, n corresponds uniquely to state S P .
  • If n R , then by definition, n corresponds uniquely to state S R .
  • If n C , then n must be 1, 2, or 4.
  • If n = 1 , it corresponds uniquely to state S C 1 = ( 1 , C , O d d ) .
  • -
    If n = 2 , it corresponds uniquely to state S C 2 = ( 2 , C , E v e n ) .
    -
    If n = 4 , it corresponds uniquely to state S C 4 = ( 4 , C , E v e n ) .
  • If n I , by definition of I , n = 9 j + 1 for some odd j. This implies n 1 ( mod 9 ) and n is always Even. The state function s ( n ) = ( n ( mod 9 ) , S ( n ) , p ( n ) ) yields ( 1 , I , E v e n ) , which corresponds uniquely to state S 1 .
  • If n X , then by definition, n P R C I . This means n ¬ 0 , 3 , 6 ( mod 9 ) , so the possible residues modulo 9 are { 1 , 2 , 4 , 5 , 7 , 8 } . We examine the combinations:
    -
    If n 1 ( mod 9 ) : By definition, all numbers in I satisfy m 1 ( mod 9 ) and are Even. Since I contains all numbers 9 j + 1 where j is odd, and X contains numbers not in I , any n X with n 1 ( mod 9 ) cannot be Even (otherwise it would be in I ). Therefore, if n X and n 1 ( mod 9 ) , nmust be Odd. This corresponds uniquely to state S 2 = ( 1 , X , O d d ) . The combination ( 1 , X , E v e n ) does not exist for any n.
    -
    If n ( mod 9 ) { 2 , 4 , 5 , 7 , 8 } : For each of these 5 residues, an integer n X can be either Even or Odd. This yields 5 × 2 = 10 possible combinations. These are uniquely covered by the state definitions:
    Residue 2: S 3 = ( 2 , X , E v e n ) , S 4 = ( 2 , X , O d d )
    Residue 4: S 5 = ( 4 , X , E v e n ) , S 6 = ( 4 , X , O d d )
    Residue 5: S 7 = ( 5 , X , E v e n ) , S 8 = ( 5 , X , O d d )
    Residue 7: S 9 = ( 7 , X , E v e n ) , S 10 = ( 7 , X , O d d )
    Residue 8: S 11 = ( 8 , X , E v e n ) , S 12 = ( 8 , X , O d d )
    Thus, the state S 2 covers the only possible combination for n X with residue 1, and the states S 3 through S 12 cover the 10 possible combinations for n X with residues 2, 4, 5, 7, or 8. In total, the 11 states S 2 , S 3 , . . . , S 12 uniquely cover all possibilities for an integer n X .
Since every n Z + belongs to exactly one of the partitioning sets, and the state definitions uniquely determine a state based on this set membership combined with the unique residue mod 9 and parity (or the specific value for n C ), every positive integer n corresponds to exactly one state in the 17-state FSM.    □

5.4. Deterministic and Finite Transition from Stage S P R to Stage S 1 12

We now demonstrate the deterministic and finite transition from the initial stage, S P R (representing multiples of 3), to the transient stage, S 1 12 . This transition is irreversible; once a sequence enters S 1 12 , it cannot return to being a multiple of 3.
Lemma 9  
(Stage S P R to Stage S 1 12 Transition). The initial stage of the 17-state FSM, S P R , has the following transitions:
1.
S P always transitions to S R in a finite number of steps.
2.
S R always transitions to S 1 in a single step.
Proof. 
We prove each transition separately:
1.
Transition from S P to S R (Finite): By definition, state S P corresponds to the set P . Lemma 2 directly states that for any x P , there exists a finite integer n 0 such that C n ( x ) R . Since state S R corresponds to the set R , this directly implies that any element in state S P transitions to state S R in a finite number of steps.
2.
Transition from S R to S 1 (Single Step): By definition, state S R corresponds to the set R (Definition 10) and S 1 corresponds to I (Lemma 7). Lemma 3 states that for all x R , C ( x ) I . This directly implies that S R transitions to S 1 in a single step.
Therefore, any starting number, whether in S P or S R , is guaranteed to enter the 12-state stage S 1 12 in a finite number of steps. Furthermore, by Lemma 5, once a sequence enters stage S 1 12 , it can never return to S P R , making this transition irreversible.    □

5.5. State Transition Analysis for Transient Stage S 1 12

We now meticulously analyze how the Collatz function causes transitions between the defined states in stage S 1 12 .
Lemma 10 (State Transition Analysis (12 States)) The transitions between the 12 states under the Collatz function C ( x ) are as follows:
  • From S 1 : ( 1 , I , Even ) to S 7 (residue 5, X , even) or S 8 (residue 5, X , odd).
  • From S 2 : ( 1 , X , Odd ) to S 5 (residue 4, X , even).
  • From S 3 : ( 2 , X , Even ) to S 1 (residue 1, I , even) or S 2 (residue 1, X , odd).
  • From S 4 : ( 2 , X , Odd ) to S 9 (residue 7, X , even).
  • From S 5 : ( 4 , X , Even ) to S 3 (residue 2, X , even) or S 4 (residue 2, X , odd).
  • From S 6 : ( 4 , X , Odd ) to S 5 (residue 4, X , even).
  • From S 7 : ( 5 , X , Even ) to S 9 (residue 7, X , even) or S 10 (residue 7, X , odd).
  • From S 8 : ( 5 , X , Odd ) to S 9 (residue 7, X , even).
  • From S 9 : ( 7 , X , Even ) to S 11 (residue 8, X , even) or S 12 (residue 8, X , odd).
  • From S 10 : ( 7 , X , Odd ) to S 5 (residue 4, X , even).
  • From S 11 : ( 8 , X , Even ) to S 5 (residue 4, X , even) or S 6 (residue 4, X , odd) or S C 4 (4, C , even).
  • From S 12 : ( 8 , X , Odd ) to S 9 (residue 7, X , even).
Proof. 
We analyze each transition case by case.
Case 1: S 1 S 7 or S 8 .
  • Setup: Let x S 1 , so x = 18 k + 10 for some integer k Z 0 .
  • Collatz Step: C ( x ) = ( 18 k + 10 ) / 2 = 9 k + 5 .
  • Residue: C ( x ) 5 ( mod 9 ) .
  • Set Membership: C ( x ) C (since C ( x ) > 4 ), and C ( x ) I (contradiction modulo 9). Therefore, C ( x ) X .
  • Parity: If k is even, C ( x ) is odd ( S 8 ). If k is odd, C ( x ) is even ( S 7 ).
Case 2: S 2 S 5 .
  • Setup: Let x S 2 , so x = 18 m + 1 for some positive integer m.
  • Collatz Step: C ( x ) = 3 ( 18 m + 1 ) + 1 = 54 m + 4 .
  • Residue: C ( x ) 4 ( mod 9 ) .
  • Set Membership: C ( x ) C (since m Z + , C ( x ) > 4 ) and C ( x ) I (contradiction modulo 9). Therefore, C ( x ) X .
  • Parity: C ( x ) is even.
Case 3: S 3 S 1 or S 2 .
  • Setup: Let x S 3 , so x = 18 m + 2 for some positive integer m.
  • Collatz Step: C ( x ) = ( 18 m + 2 ) / 2 = 9 m + 1 .
  • Residue: C ( x ) 1 ( mod 9 ) .
  • Set Membership: C ( x ) C (since m Z + , C ( x ) > 4 ). If m is odd, C ( x ) I ( S 1 ). Otherwise, if m is even, then C ( x ) X ( S 2 ).
  • Parity: see Set Membership.
Case 4: S 4 S 9 .
  • Setup: Let x S 4 , so x = 18 k + 11 for some integer k Z 0 .
  • Collatz Step: C ( x ) = 3 ( 18 k + 11 ) + 1 = 54 k + 34 .
  • Residue: C ( x ) 7 ( mod 9 ) .
  • Set Membership: C ( x ) C (since C ( x ) > 4 ) and C ( x ) I (contradiction modulo 9). Thus, C ( x ) X .
  • Parity: C ( x ) is even.
Case 5: S 5 S 3 or S 4 .
  • Setup: Let x S 5 , so x = 18 m + 4 for some positive integer m.
  • Collatz Step: C ( x ) = ( 18 m + 4 ) / 2 = 9 m + 2 .
  • Residue: C ( x ) 2 ( mod 9 ) .
  • Set Membership: C ( x ) C (since m Z + , C ( x ) > 4 ) and C ( x ) I (contradiction modulo 9). Therefore C ( x ) X
  • Parity: If m is even, C ( x ) is even ( S 3 ). If m is odd, C ( x ) is odd ( S 4 ).
Case 6: S 6 S 5 .
  • Setup: Let x S 6 , so x = 18 k + 13 for some integer k Z 0 .
  • Collatz Step: C ( x ) = 3 ( 18 k + 13 ) + 1 = 54 k + 40 .
  • Residue: C ( x ) 4 ( mod 9 ) .
  • Set Membership: C ( x ) C (since C ( x ) > 4 ) and C ( x ) I (contradiction modulo 9). Thus, C ( x ) X .
  • Parity: C ( x ) is even.
Case 7: S 7 S 9 or S 10 .
  • Setup: Let x S 7 , so x = 18 k + 14 for some integer k Z 0 .
  • Collatz Step: C ( x ) = ( 18 k + 14 ) / 2 = 9 k + 7 .
  • Residue: C ( x ) 7 ( mod 9 ) .
  • Set Membership: C ( x ) C (since C ( x ) > 4 ) and C ( x ) I (contradiction modulo 9). Thus, C ( x ) X .
  • Parity: If k is even, C ( x ) is odd ( S 10 ). If k is odd, C ( x ) is even ( S 9 ).
Case 8: S 8 S 9 .
  • Setup: Let x S 8 , so x = 18 k + 5 for some integer k Z 0 .
  • Collatz Step: C ( x ) = 3 ( 18 k + 5 ) + 1 = 54 k + 16 .
  • Residue: C ( x ) 7 ( mod 9 ) .
  • Set Membership: C ( x ) C (since C ( x ) > 4 ) and C ( x ) I (contradiction modulo 9). Thus, C ( x ) X .
  • Parity: C ( x ) is even.
Case 9: S 9 S 11 or S 12 .
  • Setup: Let x S 9 , so x = 18 k + 16 for some integer k Z 0 .
  • Collatz Step: C ( x ) = ( 18 k + 16 ) / 2 = 9 k + 8 .
  • Residue: C ( x ) 8 ( mod 9 ) .
  • Set Membership: C ( x ) C (since C ( x ) > 4 ) and C ( x ) I (contradiction modulo 9). Thus, C ( x ) X .
  • Parity: If k is even, C ( x ) is even ( S 11 ). If k is odd, C ( x ) is odd ( S 12 ).
Case 10: S 10 S 5 .
  • Setup: Let x S 10 , so x = 18 k + 7 for some integer k Z 0 .
  • Collatz Step: C ( x ) = 3 ( 18 k + 7 ) + 1 = 54 k + 22 .
  • Residue: C ( x ) 4 ( mod 9 ) .
  • Set Membership: C ( x ) C (since C ( x ) > 4 ) and C ( x ) I (contradiction modulo 9). Thus, C ( x ) X .
  • Parity: C ( x ) is even.
Case 11: S 11 S 5 or S 6 or S C 4 .
  • Setup: Let x S 11 , so x = 18 k + 8 for some integer k Z 0 .
  • Collatz Step: C ( x ) = ( 18 k + 8 ) / 2 = 9 k + 4 .
  • Residue: C ( x ) 4 ( mod 9 ) .
  • Set Membership: C ( x ) I (contradiction modulo 9).
  • Cycle Entry (Gateway): If k = 0 , then x = 8 and C ( x ) = 4 , representing a transition into the cycle stage S C from stage S 1 12 . Otherwise, for k > 0 , C ( x ) X . Therefore C ( x ) X C .
  • Parity: If k is even, C ( x ) is even ( S 5 ). If k is odd, C ( x ) is odd ( S 6 ).
Case 12: S 12 S 9 .
  • Setup: Let x S 12 , so x = 18 k + 17 for some integer k Z 0 .
  • Collatz Step: C ( x ) = 3 ( 18 k + 17 ) + 1 = 54 k + 52 .
  • Residue: C ( x ) 7 ( mod 9 ) .
  • Set Membership: C ( x ) C (since C ( x ) > 4 ) and C ( x ) I (contradiction modulo 9). Thus, C ( x ) X .
  • Parity: C ( x ) is even.
These transitions fully define the behavior of the FSM within stage S 1 12 , and demonstrate the crucial property that the next state is uniquely determined by the current state. This includes the specific condition where the system transitions into the terminal cycle stage ( S C ).    □

5.6. Determinism of FSM Evolution

Lemma 11  
(Determinism of FSM Evolution). Let S = { S P , S R , S 1 , , S 12 , S C 1 , S C 2 , S C 4 } be the set of 17 states, and let `getState` be the state assignment function. The evolution of any Collatz sequence under this state assignment isdeterministic. That is, for any positive integer x, the state of its Collatz successor, g e t S t a t e ( C ( x ) ) , is uniquely determined by x. Consequently, the sequence of states ( g e t S t a t e ( x 0 ) , g e t S t a t e ( x 1 ) , g e t S t a t e ( x 2 ) , ) is uniquely determined for any starting number x 0 .
Proof. 
We need to show that for any x > 0 , the value g e t S t a t e ( C ( x ) ) is uniquely defined and belongs to S .
By Lemma 8, every positive integer maps to exactly one state in S . Since C ( x ) produces a unique positive integer for any x > 0 , C ( x ) must map to exactly one state S j S .
To be more explicit, we can examine the transitions based on the state S i = g e t S t a t e ( x ) :
1.
If S i { S P , S R } :
  • If x S P , C ( x ) = x / 2 . By Lemma 1, C ( x ) P R . Thus, g e t S t a t e ( C ( x ) ) is either S P or S R , both unique states in S .
  • If x S R , C ( x ) = 3 x + 1 . By Lemma 3, C ( x ) I . Since all elements of I map uniquely to state S 1 , g e t S t a t e ( C ( x ) ) = S 1 , a unique state in S .
2.
If S i { S 1 , , S 12 } : Lemma 10 provides a case-by-case analysis based on S i = g e t S t a t e ( x ) . For each case, it determines the properties of C ( x ) (its residue mod 9, its parity, and whether it falls into I , X , or C ).
  • For states like S R , S 2 , S 4 , S 6 , S 8 , S 10 , S 12 , the analysis shows that C ( x ) always maps to a single specific successor state ( S 1 , S 5 , S 9 , S 5 , S 9 , S 5 , S 9 respectively), regardless of the specific x within S i .
  • For states like S 1 , S 3 , S 5 , S 7 , S 9 , S 11 , the analysis shows that C ( x ) maps to one of two or three possible successor states ( S 7 / S 8 , S 1 / S 2 , S 3 / S 4 , S 9 / S 10 , S 11 / S 12 , S 5 / S 6 / S C 4 respectively). However, the specific successor state is uniquely determined by properties of x (like the parity of k or m in x = 18 k + c ). Since x is given, C ( x ) is unique, and therefore g e t S t a t e ( C ( x ) ) is also unique, landing in exactly one of those specified possible successor states.
In all sub-cases, g e t S t a t e ( C ( x ) ) results in a unique state within S .
3.
If S i { S C 1 , S C 2 , S C 4 } : The transitions C ( 1 ) = 4 , C ( 2 ) = 1 , C ( 4 ) = 2 ensure that g e t S t a t e ( C ( x ) ) is S C 4 , S C 1 , S C 2 respectively, which are unique states in S .
Since for any x > 0 , C ( x ) is unique and g e t S t a t e ( C ( x ) ) maps to a unique state in S , the evolution process defined by repeatedly applying C and then getState is deterministic for any starting number x 0 .    □

5.7. State S 11 as the Unique Gateway

We establish that S 11 is the only state in the transient stage that can lead into the cycle stage C = { 1 , 2 , 4 } .
Lemma 12  
(S11 as the Unique Gateway State). Within the 17-state FSM, state S 11 = ( 8 , X , Even ) is the unique gateway from Stage S 1 - 12 to Stage S C .
Proof. 
We proceed in three steps.
1.
List all preimages of the cycle elements.
  • C ( 2 ) = 1 (only preimage of 1 is 2);
  • C ( 4 ) = 2 (only preimage of 2 is 4);
  • C ( 1 ) = 4 and C ( 8 ) = 4 (preimages of 4 are 1 and 8).
2.
Identify the external preimage. The only number not already in C that maps into it is 8, with C ( 8 ) = 4 .
3.
Locate this in the FSM. By definition 8 S 11 , and Lemma 10 (Case 11) gives the transition S 11 S C 4 . No other transient state maps directly to 1, 2, or 4.
Therefore S 11 is the unique gateway to the cycle.    □

5.8. State Transition Diagram of the 17-State FSM

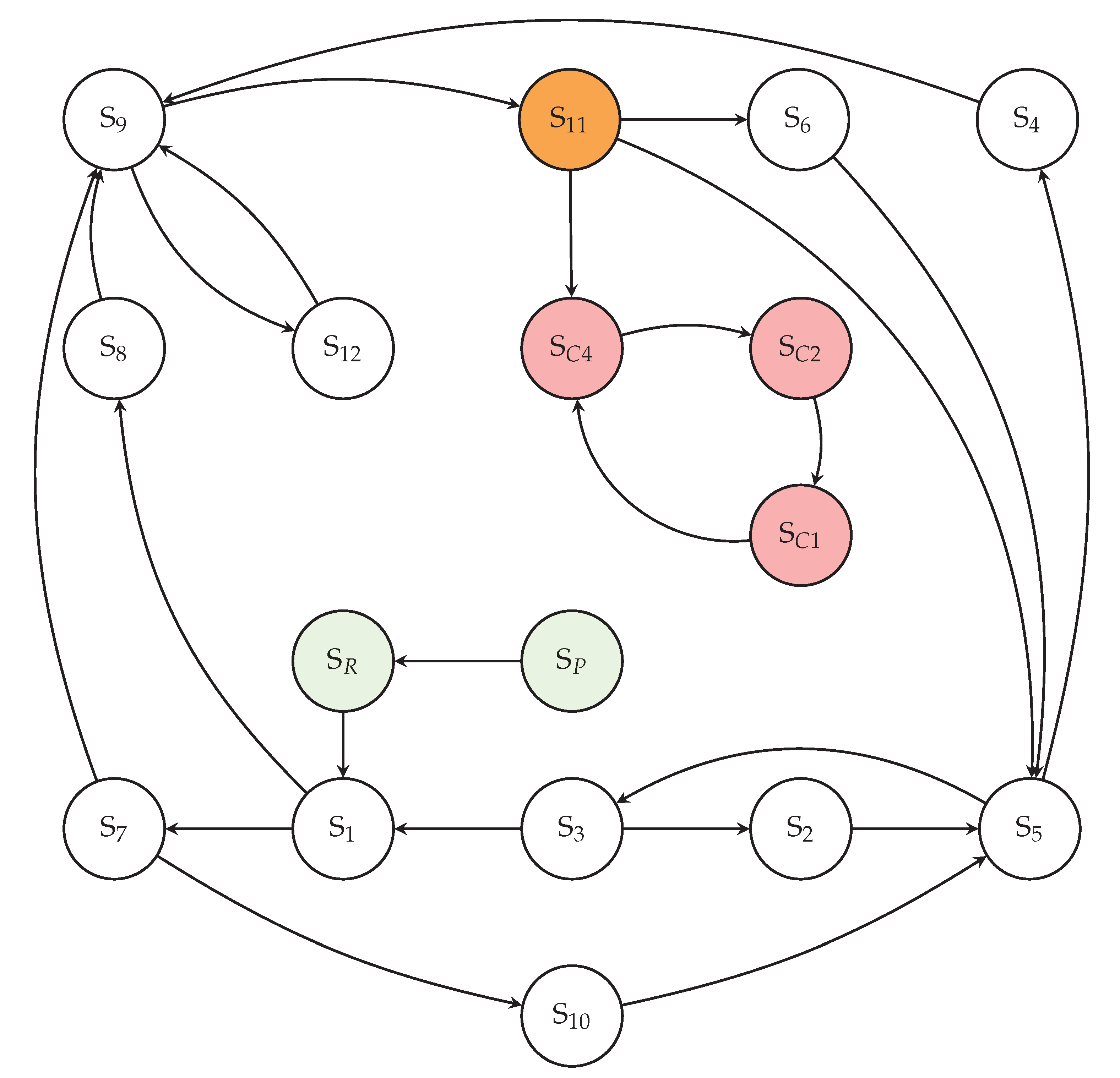
Figure 1. State transition diagram for the 17-state finite state machine modeling Collatz dynamics. The three stages are shown: initial stage ( S P , S R , green), transient stage ( S 1 - - S 12 , white), and terminal cycle stage ( S C 1 , S C 2 , S C 4 , red). The gateway state S 11 (orange) provides the unique transition into the terminal stage. All transitions are deterministic under the Collatz function.
Figure 1. State transition diagram for the 17-state finite state machine modeling Collatz dynamics. The three stages are shown: initial stage ( S P , S R , green), transient stage ( S 1 - - S 12 , white), and terminal cycle stage ( S C 1 , S C 2 , S C 4 , red). The gateway state S 11 (orange) provides the unique transition into the terminal stage. All transitions are deterministic under the Collatz function.
Preprints 179425 g001

5.9. Strong Connectivity Within Stage S 1 12 and Reachability of the Gateway State S 11

We now prove a crucial property for convergence: The transient stage S 1 12 forms a strongly connected component (SCC) and every state within it has a finite path leading to the unique gateway state S 11 .
Lemma 13  
(Strong Connectivity and Recurrence within Stage S 1 12 ). Every state in the S 1 12 subsystem belongs to at least one recurrent cycle of state transitions that includes state S 11 .
Proof. 
We will demonstrate this by showing that every state has a path to S 11 (reachability), and that any path originating from S 11 will eventually return to a state that has a path to S 11 . This establishes the cyclical nature.
Part 1: Reachability of S 11
Let A k be the set of states from which state S 11 can be reached in k steps or less. We define A 0 = { S 11 } and A k + 1 = A k { S i S 1 12 S j A k such that S i S j is a possible transition } . We will show, by induction, that A 4 = S 1 12 , meaning all states in S 1 12 can reach S 11 in at most 4 steps.
If a state transitions to multiple states, it’s assigned to the A k corresponding to the shortest path to S 11 .
  • A 0 = { S 11 } (Base Case)
  • A 1 = A 0 { S 9 } = { S 9 , S 11 }
    -
    S 9 S 11 or S 9 S 12 (Lemma 10, Case 9). Since S 9 can transition directly to S 11 , it follows that S 9 A 1 .
  • A 2 = A 1 { S 4 , S 7 , S 8 , S 12 } = { S 4 , S 7 , S 8 , S 9 , S 11 , S 12 }
    -
    S 4 S 9 (Lemma 10, Case 4). Since S 9 A 1 , it follows that S 4 A 2 .
    -
    S 7 S 9 or S 7 S 10 (Lemma 10, Case 7). Since S 9 A 1 , it follows that S 7 A 2 .
    -
    S 8 S 9 (Lemma 10, Case 8). Since S 9 A 1 , it follows that S 8 A 2 .
    -
    S 12 S 9 (Lemma 10, Case 12). Since S 9 A 1 , it follows that S 12 A 2 .
  • A 3 = A 2 { S 1 , S 5 } = { S 1 , S 4 , S 5 , S 7 , S 8 , S 9 , S 11 , S 12 }
    -
    S 1 S 7 or S 1 S 8 (Lemma 10, Case 1). Since S 7 A 2 and S 8 A 2 , it follows that S 1 A 3 .
    -
    S 5 S 3 or S 5 S 4 (Lemma 10, Case 5). Since S 4 A 2 , it follows that S 5 A 3 .
  • A 4 = A 3 { S 2 , S 3 , S 6 , S 10 } = { S 1 , S 2 , S 3 , S 4 , S 5 , S 6 , S 7 , S 8 , S 9 , S 10 , S 11 , S 12 } = S 1 12
    -
    S 2 S 5 (Lemma 10, Case 2). Since S 5 A 3 , it follows that S 2 A 4 .
    -
    S 3 S 1 or S 3 S 2 (Lemma 10, Case 3). Since S 1 A 3 , it follows that S 3 A 4 .
    -
    S 6 S 5 (Lemma 10, Case 6). Since S 5 A 3 , it follows that S 6 A 4
    -
    S 10 S 5 (Lemma 10, Case 6). Since S 5 A 3 , it follows that S 10 A 4 .
Since A 4 = S 1 12 , every state in the S 1 12 subsystem has a finite path to state S 11 .
Part 2: Cyclical Return from S11
From Lemma 10 (Case 11), S 11 transitions to S 5 or S 6 . From Part 1 above, S 5 and S 6 can reach S 11 in 3 and 4 steps respectively.
This shows all transitions from S11, no matter the path taken, will lead back to a state which can reach S11, hence forming a cycle of states.
Conclusion:
Since every state has a finite path to  S 11 , and any sequence starting from S 11 ultimately returns to a state with a path to S 11 , every state in S 1 12 is part of a cycle of states that includes S 11 .    □

5.10. Classification of Fundamental FSM Segments

To prove that no infinite trajectory can exist, we must first decompose all possible paths into a finite set of fundamental "building blocks" and analyze their algebraic properties. This first lemma performs that classification, demonstrating that the FSM is composed of contractile segments, with the exception of a single, unique edge case that requires special analysis.
Lemma 14  
(Classification of Fundamental Segments and Isolation of the Expansive Edge Case). Of the 12 fundamental segments that compose all possible orbits in the transient FSM, 11 are unconditionally contractile. The FSM contains a single, unique segment—the self-loop 9B—which presents a potential edge case for sustained growth.
Proof. 
The proof is by exhaustive construction and analysis, using a rigorous "chainable" definition of a fundamental segment.
Definition 14 (Chainable Fundamental Segment)AChainable Fundamental Segmentis a deterministic path that begins with the exit operation from a branching state, S origin , proceeds through any intermediate states, arrives at the next branching state, S dest , and concludes with the exit operation from S dest .

Part 1: The 11 Unconditionally Contractile Segments

These 11 segments connect a branching state to a different branching state. They are all proven to be contractile.

Sub-Class A: Direct Contraction (Ratio a = 1 / 4 )

These six segments connect two adjacent branching states. The path involves two consecutive divisions by 2 (one to exit the origin state, one to exit the destination state). The transformation is T ( x ) = 1 4 x , which is strongly contractile.
1A:  
Path S 1 S 7
3A:  
Path S 3 S 1
5A:  
Path S 5 S 3
7A:  
Path S 7 S 9
9A:  
Path S 9 S 11
11A:  
Path S 11 S 5

Sub-Class B: Composite Contraction (Ratio a = 3 / 4 )

These five segments connect two branching states via an intermediate linear (odd) state. The path involves three operations: an initial division by 2, a 3 x + 1 step, and a final division by 2. The transformation is T ( x ) = 1 2 3 x 2 + 1 = 3 4 x + 1 2 , which is contractile for x > 2 .
1B:  
Path S 1 S 8 S 9
3B:  
Path S 3 S 2 S 5
5B:  
Path S 5 S 4 S 9
7B:  
Path S 7 S 10 S 5
11B:  
Path S 11 S 6 S 5

Part 2: Isolation of the Unique Edge Case

Our analysis reveals exactly one fundamental segment that is not unconditionally contractile.

The Edge Case: Segment 9B (The Self-Loop)

This segment is unique because its origin and destination are the same state: S 9 . The path is S 9 S 12 S 9 .
Let us analyze its transformation without immediately assuming an exit to a different segment. The atomic operation of one traversal of this loop, from entry at S 9 to re-entry at S 9 , involves one division by 2 and one 3 x + 1 operation.
  • Atomic Transformation: T atomic ( x ) = 3 ( x 2 ) + 1 = 3 2 x + 1 .
  • This atomic operation is locally expansive for x > 2 .
If a sequence were to traverse this loop N times consecutively, the transformation would be approximately T N ( x ) ( 3 2 ) N x . This potential for repeated application of an expansive operator makes Segment 9B the critical edge case.

Conclusion

The transient stage of the FSM is composed of a system of 11 unconditionally contractile segments and a single, unique self-loop (9B) that is locally expansive. This self-loop constitutes the only structural mechanism that could possibly support sustained growth and must be resolved separately to prove convergence.    □

5.11. Resolution of the Expansive Edge Case

The previous analysis isolated a single, unique segment (9B) with the potential for local expansion. This lemma now focuses exclusively on this edge case, proving by algebraic contradiction that it cannot be traversed indefinitely by any positive integer.
Lemma 15 (Resolution of the Expansive Edge Case)The unique, locally expansive segment (9B: S 9 S 12 S 9 ) cannot be traversed indefinitely by any positive integer. Its algebraic structure makes infinite traversal a mathematical impossibility.
Proof. The proof is by algebraic contradiction. We demonstrate that the assumption of infinite traversal requires the starting integer to be 2 , which is not in the domain of the Collatz conjecture.
1.
The Atomic Transformation: As established in Lemma 14, the transformation for a single atomic traversal of the S 9 S 12 S 9 loop is:
x n + 1 = 3 2 x n + 1
where { x 0 , x 1 , x 2 , } is the sequence of integers in state S 9 at each iteration of the loop.
2.
The Algebraic Insight: Instead of analyzing the transformation on x n , we analyze the transformation on the quantity ( x n + 2 ) .
x n + 1 + 2 = 3 2 x n + 1 + 2 = 3 2 x n + 3 = 3 2 ( x n + 2 )
This reveals a pure geometric progression. Each traversal of the loop multiplies the quantity ( x n + 2 ) by a factor of 3 / 2 .
3.
The Implication of Infinite Traversal: If a trajectory traverses this loop n times, the relationship becomes:
( x n + 2 ) = 3 2 n ( x 0 + 2 )
We can rearrange this to solve for the integer x n after n loops:
x n = 3 2 n ( x 0 + 2 ) 2
4.
The Fatal Contradiction: By definition, every number in a Collatz sequence must be an integer. For x n to be an integer for all values of n, the term 3 2 n ( x 0 + 2 ) must resolve to an integer. This is only possible if the denominator, 2 n , perfectly divides the term 3 n ( x 0 + 2 ) . Since 3 and 2 are coprime, this simplifies to the condition that 2 n must perfectly divide ( x 0 + 2 ) .
For an infinite traversal to be possible, this condition must hold for all possible values of n = 1 , 2 , 3 , , . The only integer that is divisible by 2 n for all n is zero.
x 0 + 2 = 0 x 0 = 2
The assumption of an infinite traversal leads to the necessary conclusion that the starting integer must be 2 . However, the Collatz conjecture is defined exclusively over the set of positive integers.

Conclusion

No positive integer can satisfy the algebraic condition required for infinite traversal of Segment 9B. The loop is a self-terminating sieve that has no fixed points in the positive integers. The edge The edge case is resolved. □

5.12. Finitude of All Trajectories

Having classified all fundamental segments and proven that the single expansive edge case cannot be traversed indefinitely, we now synthesize these results to prove that all trajectories within the transient stage must be finite.
Lemma 16 (Impossibility of Infinite Trajectories in the Transient Stage)No Collatz trajectory can proceed indefinitely within the transient stage S 1 - - 12 . Every trajectory must be finite.
Proof. The proof is by contradiction, synthesizing the results of Lemma 14 and Lemma 15.
1.
The Setup: Assume, for the sake of contradiction, that an infinite trajectory exists within the transient stage S 1 - - 12 . This infinite path must be a concatenation of the fundamental segments defined in Lemma 14.
2.
The Role of the Edge Case: By Lemma 14, 11 of the 12 fundamental segments are unconditionally contractile. An infinite trajectory of positive integers composed solely of these segments is impossible, as it would form an infinite, strictly decreasing sequence, which violates the Well-Ordering Principle.
3.
Therefore, for an infinite trajectory to exist, it must traverse the single, locally expansive Segment 9B an infinite number of times to counteract the contractile nature of the rest of the system.
4.
The Contradiction: Lemma 15 proved by algebraic contradiction that no positive integer can traverse Segment 9B indefinitely. Any trajectory can only traverse this segment a finite number of times before it is structurally forced to exit.
5.
This creates a fatal contradiction. An infinite trajectory requires infinite traversals of Segment 9B, but the algebraic structure of Segment 9B forbids infinite traversal by any positive integer.
6.
Conclusion: The initial assumption of an infinite trajectory is false. Every trajectory must be finite.
   □

6. Proof of the Collatz conjecture: Convergence to the Unique Cycle

In this section, we synthesize all our analysis in the preceding sections to prove our main result: that the Collatz Conjecture is true - every Collatz sequence, no matter the starting number, is ultimately drawn into the cycle C = { 1 , 2 , 4 } .
Theorem 2 (The Collatz Conjecture)Every starting integer x Z + eventually reaches the cycle
C = { 1 , 2 , 4 }
under repeated application of the Collatz function C ( x ) .
Proof. We prove the conjecture by showing that, within the 17-state FSM framework (comprising stages S P R , S 1 12 , and S C ), every trajectory starting from any initial state eventually reaches and remains within the cycle stage S C , which represents the unique Collatz cycle C = { 1 , 2 , 4 } .
The proof proceeds by analyzing the flow through the FSM stages:
1.
Initial State Assignment: By Lemma 8, every positive integer x corresponds to exactly one initial state within the 17-state FSM.
2.
Transition from Stage S P R : If x starts in Stage S P R (states S P or S R ), Lemma 9 establishes that its trajectory transitions into Stage S 1 12 (specifically state S 1 ) in a finite number of steps. Lemma 5 ensures the sequence cannot return to Stage S P R .
3.
Evolution within or into Stage S 1 - 12 : Any sequence not starting in Stage S C will thus eventually enter or already be in Stage S 1 - 12 . Its behaviour within this stage is governed by:
(a)
All transitions within Stage S 1 - 12 and from Stage S 1 - 12 into Stage S C are deterministic (Lemma 10).
(b)
S 11 is the unique gateway from Stage S 1 - 12 to Stage S C (Lemma 12).
(c)
The unique gateway is reachable from any state in Stage S 1 - 12 in a finite number of steps (Lemma 13).
(d)
Crucially, infinite survival within Stage S 1 - 12 is impossible. This is established by a comprehensive three-lemma argument:
  • Lemma 14 proves that all trajectories are composed of fundamental segments, of which 11 are unconditionally contractile, isolating a single, unique edge case (Segment 9B) with the potential for local expansion.
  • Lemma 15 proves by infinite descent on the controlling integer parameter k that this unique edge case cannot be exploited for sustained growth.
  • Lemma 16 synthesizes these results to prove by contradiction that no infinite trajectory can exist within the transient stage.
4.
Absorption in Stage S C : By (3a)–(3d), every trajectory in S 1 - 12 must exit this stage in finite time. Since the only exit is through the unique gateway state S 11 , the sequence must execute the transition:
S 11 x = 8 S C 4
Once the trajectory enters S C 4 (the number 4), it is confined to the terminal cycle stage S C . By Lemma 6 (Cycle Set Invariance), the sequence remains permanently within the invariant cycle C = { 1 , 2 , 4 } .
Therefore, any trajectory starting from x Z + corresponds to a path in the 17-state FSM that inevitably leads, in a finite number of steps, to the absorbing cycle stage S C . This demonstrates that every positive integer eventually reaches the cycle C = { 1 , 2 , 4 } , completing the proof.    □

7. Computational Verification

To empirically test the theoretical claims of our 17-state finite state machine (FSM) - including state assignments, transition rules, and the unique gateway mechanism - we implemented a computational verification over a large numerical range. The goal was to confirm that Collatz sequences evolve exactly as predicted by the FSM structure.
A Python script (verify_collatz_fsm.py) was written using the multiprocessing module (with 8 workers) to test all integers from 1 up to 10 7 . For each starting value n, the script traced its Collatz sequence and performed the following checks at every step until reaching the cycle set C = { 1 , 2 , 4 } :
  • Initial state classification: Confirmed that each n is correctly mapped to one of the 17 FSM states via the getState function.
  • Deterministic transition verification: Ensured that each observed transition S i S j conformed exactly to the FSM’s transition rules (Lemma 10).
  • Gateway consistency: Verified that any transition to 4 (i.e., to S C 4 ) occurred only from either x = 8 (in S 11 ) or x = 1 (in S C 1 ), as required by the FSM structure.
  • State coverage: Ensured that no number encountered during the sequence evaluation mapped to an undefined or invalid state.
  • Step count: Recorded the number of steps required for each sequence to reach 1.
A summary of the results is shown in Table 1. All checks passed without error, and no violations were detected.
These results confirm the empirical soundness of the finite state model over all tested inputs. Every transition was deterministic, every number remained confined within the FSM structure, and the unique gateway mechanism through S 11 behaved exactly as predicted. Notably, the number 8 , 400 , 511 achieved the maximum stopping time within this range, consistent with prior computational records.
This large-scale verification strongly reinforces the validity of the FSM framework and its predictive power in modeling Collatz dynamics.

8. Empirical Evidence from Large-Scale Collatz Computations

Over the decades, extensive computational searches have provided a substantial body of evidence regarding the behavior of Collatz sequences. Numerous studies have explored Collatz sequences for extremely large starting values - with some computations reaching up to 2 68 (Oliveira e Silva [7]) - and ongoing distributed computing projects, such as the BOINC Collatz Conjecture project (BOINC [1]), continue to expand this empirical base. These large-scale computations have consistently demonstrated that:
  • Boundedness: No starting number tested has produced a Collatz sequence that grows without bound; all sequences examined remain within finite limits.
  • Convergence to the 4-2-1 Cycle: Every Collatz sequence observed eventually enters the 4 2 1 cycle (or the equivalent permutation 1 4 2 1 ), regardless of the starting value.
  • No Other Cycles Found: Despite exhaustive searches, no cycles other than the trivial 4 2 1 cycle (or its cyclic permutations) have ever been discovered.
This extensive empirical evidence is entirely consistent with and strongly supports the theoretical results established in this paper - specifically, the theorems that prove boundedness, the non-existence of non-trivial cycles, and the eventual convergence to the trivial 4 2 1 cycle.

9. Comparison with Previous Approaches

The Collatz Conjecture has been extensively studied using diverse mathematical techniques [4,5,6]. Our approach - combining a structured state-space framework with deterministic transition analysis - provides a fundamentally distinct resolution. In this section, we contextualize our proof within the broader landscape of Collatz research.

9.1. Limitations of Prior Methods

Most previous approaches, while yielding valuable insights, have fundamental limitations that prevented a complete resolution:
  • Probabilistic and Statistical Models [4,6] suggest that, on average, Collatz sequences tend to decrease. However, they cannot establish boundedness for all initial values, leaving open the possibility of exceptional unbounded orbits.
  • Computational Verification [1,7] confirms the conjecture for extremely large numbers but cannot provide a proof for all integers.
  • Dynamical Systems and Ergodic Theory [5,6] yield statistical insights into typical trajectories but struggle with the discontinuous nature of the Collatz map.
  • Modulo Arithmetic and Congruence Class Methods demonstrate boundedness within specific residue classes but fail to extend these properties globally.
  • Contradiction-Based Arguments often rely on unproven assumptions or fail to rigorously eliminate all counterexamples.
  • Tao’s "Almost All" Result [8] proves that most orbits are bounded but does not establish boundedness for every number.

9.2. Novelty and Strengths of the Presented Proof

Our proof resolves the Collatz Conjecture through a state-space approach that provides a complete classification of all trajectories, guaranteeing convergence to the unique cycle C = { 1 , 2 , 4 } .
Key innovations include:
  • Complete State-Space Partition: We classify Z + into five mutually exclusive sets— C , R , P , I , X —that exhaust all possible Collatz trajectories, enabling full structural analysis.
  • Finite State Machine Reformulation: A 17-state finite state machine (FSM) recasts the problem from unbounded numerical iteration into finite deterministic state evolution.
  • Unified Resolution: The FSM framework simultaneously excludes both non-trivial cycles and divergent trajectories via structural analysis (Lemma 16).
  • Algebraic Exclusion of Divergence: The only mechanism that could support divergence - an expansive loop - is proven algebraically impossible for all positive integers (Lemma 15).
  • Deterministic Convergence: All sequences follow finite, structured paths to absorption in C , with all indefinite survival mechanisms rigorously excluded.

10. Conclusions

We have presented a complete, structurally grounded proof of the Collatz Conjecture, leveraging a novel framework that interprets Collatz sequences as deterministic trajectories within a structured state space. By partitioning the positive integers into five mutually exclusive sets - namely, the cycle set C , ROM3 set R , precursor set P , immediate successor set I , and exclusion set X - we have developed a systematic classification that fully captures the behavior of Collatz iterations.
Our proof follows a two-stage approach:
1.
We establish that the only possible cycle is C = { 1 , 2 , 4 } , by showing that any cycle must contain the number 1 and is therefore confined to the trivial cycle. The non-existence of other cycles is confirmed by established results in the literature.
2.
We prove that every Collatz sequence must reach C in finite time, using a deterministic finite state machine (FSM) analysis. The FSM framework guarantees that all sequences undergo a systematic, finite progression. Critically, we prove that the only mechanism for divergence within the FSM - an expansive loop - is algebraically impossible for any positive integer.
With these results, we conclude that every positive integer is eventually drawn into the 4 2 1 cycle, thereby resolving the Collatz Conjecture.
Crucially, our approach diverges from traditional bounded growth arguments by demonstrating that sequences do not merely remain within a finite bound - they are structurally confined and systematically directed toward termination. The deterministic nature of our finite state machine analysis ensures that all trajectories are forced into a terminal condition, rather than merely avoiding unbounded divergence. This fundamental shift in perspective transforms the problem from one of numerical control to one of inevitable dynamical convergence.
Beyond settling this long-standing open problem, our work demonstrates the effectiveness of a state-space-driven, set-theoretic approach in analyzing complex iterative systems. This methodology may provide a blueprint for addressing similar problems in number theory and discrete dynamical systems, offering new insights into how deterministic constraints govern seemingly chaotic processes.

11. Need for Verification and Future Directions

11.1. Need for Rigorous Verification

While the proof presented in this paper offers a distinct and potentially compelling approach to the Collatz Conjecture - particularly through the use of the product equation and prime factorization for cycle analysis - rigorous validation by the broader mathematical community is essential. The history of the Collatz Conjecture is replete with proposed proofs that were later found to contain flaws. Therefore, thorough and independent scrutiny of every step of this proof, especially the derivation and application of the product equation for cycle analysis, the partitioning of the state space, the construction and transition analysis of the 17-state FSM, and the proof of convergence via gateway state reachability, is paramount. This validation should involve expert peer review through journal submissions, detailed examination by specialists in number theory, presentations at conferences, and open dissemination for public scrutiny. Until such rigorous validation is complete, the result remains a proposed proof that, we believe, provides a sound and novel pathway toward resolving this longstanding problem.

11.2. Potential Avenues for Future Research

If validated, the proof presented here would not only resolve the Collatz Conjecture but also open new avenues for research in number theory and related fields. Potential directions for future work include:
  • Generalization of the Product Equation Technique: Investigate whether the product equation method introduced in this paper can be generalized or adapted to study cycle structures and dynamics in other iterative functions or number-theoretic problems.
  • Refinement and Simplification of the Proof: Explore alternative formulations of the arguments, particularly prime factorization and finite state analysis, to achieve greater clarity or elegance and potentially shorter proofs.
  • Alternative FSM Constructions: Explore the construction and analysis of finite state machines for the Collatz dynamics based on different moduli (e.g., modulo 12, modulo 36) or alternative state definition criteria. Compare the resulting state counts, the nature of state transitions (determinism vs. branching), the revealed structural features, and the complexity of proving convergence within these alternative FSM frameworks relative to the modulo 9 FSM presented here.
  • Computational Exploration Inspired by the Proof: With convergence established, further computational studies of stopping time distributions, average trajectory behavior, and other statistical properties of Collatz sequences could yield valuable insights.
  • Applications to Related Conjectures: Determine whether the insights and techniques from this work can be applied to other unsolved problems or related conjectures in the realm of iterative number theory and dynamical systems.
  • FSM Methodology for Other Dynamical Systems: Investigate whether the techniques used to construct and analyze the 17-state FSM (based on set partitioning, residue classes, and transition mapping) can be adapted to model and prove properties of other number-theoretic sequences or discrete dynamical systems.
  • Educational and Expository Development: Develop pedagogical materials and simplified expositions of this proof to make it accessible to a broader mathematical audience, including students and researchers. Such efforts might include clearer visualizations, intuitive explanations of key steps, and adaptations of the proof for classroom use.

12. Acknowledgments

The author acknowledges his wife, Ajifa Atuluku, for her steadfast encouragement throughout the process of drafting this proof. The author also acknowledges the use of AI-assisted tools (Google Gemini AI and ChatGPT) for formatting assistance and language clarity. All mathematical content and original ideas in this manuscript were developed independently by the author.

Data availability statement

The Python script used to generate the computational verification data presented in this proof is available online at the following open code repository: [Link to Code Repository].

References

  1. BOINC, Collatz conjecture project, (archived version, accessed March 8, 2025). Retrieved from https://web.archive.org/web/20090915183543/http://boinc.thesonntags.com/collatz/.
  2. Collatz, L. , Aufgaben E., Mathematische Semesterberichte 1 (1950), 35.
  3. Conway, J. H. , Unpredictable iterations, in Proceedings of the 1972 Number Theory Conference (Boulder, CO: University of Colorado, 1972), 49–52.
  4. Lagarias, J. C. , The 3x+1 problem and its generalizations, American Mathematical Monthly 92 (1985), 3–23.
  5. Lagarias, J. C. , The 3x+1 problem: Annotated bibliography (1963–1999), in de Gruyter Series in Nonlinear Analysis and Applications 6 (Berlin: Walter de Gruyter, 2004), 189–299.
  6. Lagarias, J. C. , The Collatz conjecture, Chaos 20(4) (2010), 041102.
  7. Oliveira e Silva, T. , Empirical verification of the 3x+1 and related conjectures, in The ultimate challenge: The 3x+1 problem, edited by J. C. Lagarias, American Mathematical Society, Providence, Rhode Island, USA, 2010, pp. 189–207.
  8. Tao, T. , Almost all orbits of the Collatz conjecture are bounded, Journal of the American Mathematical Society 32(1) (2019), 1–89.
  9. Thwaites, B. , My conjecture, Bulletin of the Institute of Mathematics and Its Applications 15(2) (1979), 41.
Table 1. Computational verification of FSM structure for n = 1 to 10 7 .
Table 1. Computational verification of FSM structure for n = 1 to 10 7 .
Verification Criterion Result
Total integers tested 10,000,000
Starting in stage S P R 3,333,333
Starting in stage S 1 - 12 6,666,664
Starting in cycle stage S C 3
State assignment failures 0
Invalid transitions 0
Incorrect gateway entries 0
Misclassified state for x = 8 (should be S 11 ) 0
Overflow or runtime errors 0
Maximum steps to reach 1 685
Number achieving maximum steps 8,400,511
Disclaimer/Publisher’s Note: The statements, opinions and data contained in all publications are solely those of the individual author(s) and contributor(s) and not of MDPI and/or the editor(s). MDPI and/or the editor(s) disclaim responsibility for any injury to people or property resulting from any ideas, methods, instructions or products referred to in the content.
Copyright: This open access article is published under a Creative Commons CC BY 4.0 license, which permit the free download, distribution, and reuse, provided that the author and preprint are cited in any reuse.
Prerpints.org logo

Preprints.org is a free preprint server supported by MDPI in Basel, Switzerland.

Subscribe

Disclaimer

Terms of Use

Privacy Policy

Privacy Settings

© 2026 MDPI (Basel, Switzerland) unless otherwise stated