Submitted:
03 April 2025
Posted:
04 April 2025
Read the latest preprint version here
Abstract
Keywords:
1. Introduction
- 1.
- Global Uniqueness of the Cycle: We prove that this is the only possible cycle, using a novel product equation constraint. This result builds upon, and is consistent with, earlier work [7].
- 2.
- State Space Partitioning: We partition all positive integers into five mutually exclusive sets: the Cycle set (), the ROM3 set (), the Precursor set (), the Immediate Successor set (), and the Exclusion set (). The sets and define the two initial states of the FSM, and , respectively. This structured partitioning is fundamental to the construction of the FSM.
- 3.
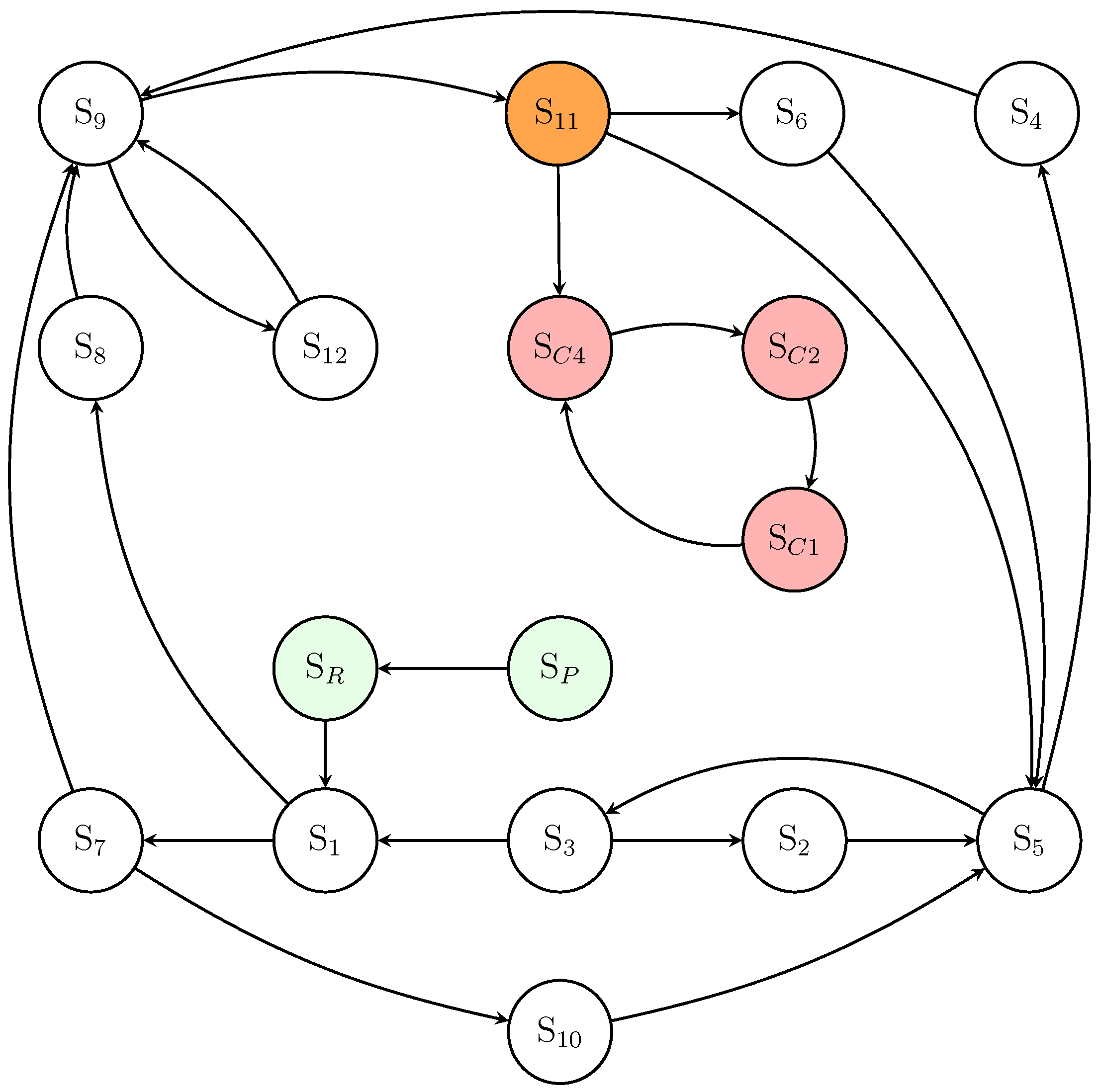
- The 17-State Finite State Machine: This provides a complete and deterministic model of Collatz dynamics based on a partition of the integers. It demonstrates that sequences are not merely avoiding divergence; they are constrained by the FSM structure to follow paths that inevitably lead to convergence by the inherent structure of the function. This FSM is composed of three distinct stages: two initial states (), a 12-state transient stage (), and the 3-state terminal cycle stage ().
- 4.
- Elimination of Boundedness Arguments: Our proof does not rely on showing that sequences remain within a certain bound. Instead, we show that the FSM structure guarantees eventual convergence to the cycle, regardless of any intermediate values.
2. Mathematical Framework and Definitions
3. State Space Partitioning for Collatz Dynamics
3.1. Defining Fundamental Sets in Collatz Analysis
3.2. Completeness of Classification
-
Case 1:.
- If with j odd, then by Definition 6, .
- If for some , then by Definition 7, .
-
Case 2:.
- If , it is classified immediately.
-
If , then check:
- If for some odd j, then by Definition 8, .
- Otherwise, by Definition 9, .
- since (none of which are divisible by 3) while every element in is divisible by 3.
- because contains only small numbers not divisible by 3 and consists of even multiples of 3.
- and by definition.
- The remaining intersections (, , , , , ) are similarly ruled out by the definitions and congruence conditions imposed on each set.
4. Uniqueness of the Collatz Cycle as a Fixed Point
4.1. Every Cycle Must Contain an Odd Number
4.2. Product Equation Constraints on Collatz Cycles
4.3. Implications of the Product Equation for Cycle Structure
4.4. Invariance and Absorbing Nature of the Cycle Set
4.5. Concluding the Uniqueness of the 4-2-1 Cycle
5. Properties of the Collatz Function on the Defined Sets
5.1. Mapping Properties of the Precursor Set: Initial Transitions
- Case 1: If j is odd, then by Definition 6, .
- Case 2: If j is even, write ; then
5.2. Finite Transition from Precursor to ROM3
5.3. Transition from ROM3 set to immediate successor set
5.4. Descent from Immediate Successor set into the Exclusion Set
- because and .
- : If for some odd k, then and , a contradiction.
- or : Similar contradictions arise.
5.5. Confinement of Sequences Within the Bounded State Space
- If x is even, then implies , so , contradicting .
- If x is odd, then implies , which is impossible.
- If x is even, then implies , so , contradicting .
- If x is odd, then implies , impossible.
6. Finite State Analysis of Collatz Dynamics
6.1. Definitions - Stages and States
- : Corresponding to the set (even multiples of 3).
- : Corresponding to the set (odd multiples of 3).
- : Represents the number 1. Formally, .
- : Represents the number 2. Formally, .
- : Represents the number 4. Formally, .
- 1.
-
Restriction to Residues Coprime to 3: Within , the residues of integers not divisible by 3 are:These six residue classes correspond precisely to the admissible residues for elements in , making modulo 9 a natural framework for organizing this stage of the dynamics.
- 2.
- Structured Behavior Under : For odd integers , the map induces predictable transformations modulo 9... [details as before] ...These congruences govern how states evolve under the Collatz function.
- 3.
- Balanced Granularity: Modulo 9 is fine enough to distinguish the essential behavior classes for numbers not divisible by 3, yet coarse enough to avoid the greater complexity that might arise from moduli like 18 or 27 without necessarily resolving all state-transition branching.
- 4.
- Exact Fit for State Classification: The state function using (residue mod 9, Set , parity) results in exactly 12 valid and disjoint states ( through ) that perfectly partition the transient stage , as demonstrated in Lemma 26.
- (5)
- Identification of a Key Funnel State (): The explicit distinction of Set within the state definition uniquely identifies State as the sole entry point into the transient stage for all sequences originating from the infinite sets and . This follows from the deterministic transition (established in Lemma 29, which relies on Lemma 18). Identifying as this "funnel" state captures a crucial aspect of the sequence dynamics and may prove valuable for future investigations into sequence merging after exiting the multiples-of-3 stages.
6.2. Partitioning of Stage
- The residue . For x in , the allowed residues are .
- A secondary component , wherewhich is well defined and disjoint.
- The parity function , which is uniquely determined by whether x is even or odd.
- The initial stage , representing all integers divisible by 3.
- The terminal cycle stage , which captures the absorbing cycle .
6.3. Completeness of State Partition
- If , then by definition, n corresponds uniquely to state .
- If , then by definition, n corresponds uniquely to state .
-
If , then n must be 1, 2, or 4.
- If , it corresponds uniquely to state .
- If , it corresponds uniquely to state .
- If , it corresponds uniquely to state .
- If , by definition of , for some odd j. This implies and n is always Even. The state function yields , which corresponds uniquely to state .
-
If , then by definition, . This means , so the possible residues modulo 9 are . We examine the combinations:
- If : By definition, all numbers in satisfy and are Even. Since contains all numbers where j is odd, and contains numbers not in , any with cannot be Even (otherwise it would be in ). Therefore, if and , n *must* be Odd. This corresponds uniquely to state . The combination does not exist for any n.
-
If : For each of these 5 residues, an integer can be either Even or Odd. This yields possible combinations. These are uniquely covered by the state definitions:
- Residue 2: ,
- Residue 4: ,
- Residue 5: ,
- Residue 7: ,
- Residue 8: ,
Thus, the state covers the only possible combination for with residue 1, and the states through cover the 10 possible combinations for with residues 2, 4, 5, 7, or 8. In total, the 11 states uniquely cover all possibilities for an integer .
6.4. Deterministic and Finite Transition from Stage to Stage
- 1.
- always transitions to in a finite number of steps.
- 2.
- always transitions to in a single step.
- 1.
- Transition from to (Finite): By definition, state corresponds to the set . Lemma 17 directly states that for any , there exists a finite integer such that . Since state corresponds to the set , this directly implies that any element in state transitions to state in a finite number of steps.
- 2.
- Transition from to (Single Step): By definition, state corresponds to the set (Definition 21) and corresponds to (Lemma 26). Lemma 18 states that for all , . This directly implies that transitions to in a single step.
6.5. State Transition Analysis for Transient Stage
- From to (residue 5, , even) or (residue 5, , odd).
- From to (residue 4, , even).
- From to (residue 1, , even) or (residue 1, , odd).
- From to (residue 7, , even).
- From to (residue 2, , even) or (residue 2, , odd).
- From to (residue 4, , even).
- From to (residue 7, , even) or (residue 7, , odd).
- From to (residue 7, , even).
- From to (residue 8, , even) or (residue 8, , odd).
- From to (residue 4, , even).
- From to (residue 4, , even) or (residue 4, , odd) or (4, , even).
- From to (residue 7, , even).
- Setup: Let , so for some integer .
- Collatz Step:.
- Residue:.
- Set Membership: (since ), and (contradiction modulo 9). Therefore, .
- Parity: If k is even, is odd (). If k is odd, is even ().
- Setup: Let , so for some positive integer m.
- Collatz Step:.
- Residue:.
- Set Membership: (since , ) and (contradiction modulo 9). Therefore, .
- Parity: is even.
- Setup: Let , so for some positive integer m.
- Collatz Step:.
- Residue:.
- Set Membership: (since , ). If m is odd, (). Otherwise, if m is even, then ().
- Parity: see Set Membership.
- Setup: Let , so for some integer .
- Collatz Step:.
- Residue:.
- Set Membership: (since ) and (contradiction modulo 9). Thus, .
- Parity: is even.
- Setup: Let , so for some positive integer m.
- Collatz Step:.
- Residue:.
- Set Membership: (since , ) and (contradiction modulo 9). Therefore
- Parity: If m is even, is even (). If m is odd, is odd ().
- Setup: Let , so for some integer .
- Collatz Step:.
- Residue:.
- Set Membership: (since ) and (contradiction modulo 9). Thus, .
- Parity: is even.
- Setup: Let , so for some integer .
- Collatz Step:.
- Residue:.
- Set Membership: (since ) and (contradiction modulo 9). Thus, .
- Parity: If k is even, is odd (). If k is odd, is even ().
- Setup: Let , so for some integer .
- Collatz Step:.
- Residue:.
- Set Membership: (since ) and (contradiction modulo 9). Thus, .
- Parity: is even.
- Setup: Let , so for some integer .
- Collatz Step:.
- Residue:.
- Set Membership: (since ) and (contradiction modulo 9). Thus, .
- Parity: If k is even, is even (). If k is odd, is odd ().
- Setup: Let , so for some integer .
- Collatz Step:.
- Residue:.
- Set Membership: (since ) and (contradiction modulo 9). Thus, .
- Parity: is even.
- Setup: Let , so for some integer .
- Collatz Step:.
- Residue:.
- Set Membership: (contradiction modulo 9).
- Cycle Entry (Gateway): If , then and , representing a transition into the cycle stage from stage . Otherwise, for , . Therefore .
- Parity: If k is even, is even (). If k is odd, is odd ().
- Setup: Let , so for some integer .
- Collatz Step:.
- Residue:.
- Set Membership: (since ) and (contradiction modulo 9). Thus, .
- Parity: is even.
6.6. Determinism of FSM Evolution
- 1.
-
If :
- If , . By Lemma 16, . Thus, is either or , both unique states in .
- If , . By Lemma 18, . Since all elements of map uniquely to state , , a unique state in .
- 2.
-
If : Lemma 30 provides a case-by-case analysis based on . For each case, it determines the properties of (its residue mod 9, its parity, and whether it falls into or ).
- For states like , the analysis shows that always maps to a single specific successor state ( respectively), regardless of the specific x within .
- For states like , the analysis shows that maps to one of two or three possible successor states (, , , , , respectively). However, the specific successor state is uniquely determined by properties of x (like the parity of k or m in ). Since x is given, is unique, and therefore is also unique, landing in exactly one of those specified possible successor states.
In all sub-cases, results in a unique state within . - 3.
- If : The transitions ensure that is respectively, which are unique states in .
6.7. State as Gateway to Terminal Stage
- To reach 1: The only pre-image is 2, since .
- To reach 2: The only pre-image is 4, since .
- To reach 4: The pre-images are 1 and 8, since and .
6.8. Strong Connectivity Within Stage and Reachability of the Gateway State
- (Base Case)
-
- or (Lemma 30, Case 9). Since can transition directly to , it follows that .
-
- (Lemma 30, Case 4). Since , it follows that .
- or (Lemma 30, Case 7). Since , it follows that .
- (Lemma 30, Case 8). Since , it follows that .
- (Lemma 30, Case 12). Since , it follows that .
-
- or (Lemma 30, Case 1). Since and , it follows that .
- or (Lemma 30, Case 5). Since , it follows that .
-
- (Lemma 30, Case 2). Since , it follows that .
- or (Lemma 30, Case 3). Since , it follows that .
- (Lemma 30, Case 6). Since , it follows that
- (Lemma 30, Case 6). Since , it follows that .
7. Proof of the Collatz Conjecture: Convergence to the Unique Cycle
- 1.
- Initial State Assignment: By Lemma 28, every positive integer n corresponds to exactly one initial state within the 17-state FSM.
- 2.
- Transition from Stage : If n starts in Stage (states or ), Lemma 29 establishes that its trajectory transitions into Stage (specifically state ) in a finite number of steps. Lemma 20 ensures the sequence cannot return to Stage .
- 3.
-
Evolution within or into Stage : Any sequence not starting in Stage will thus eventually enter or already be in Stage . We analyze its behavior within this stage:
- (a)
- The transitions within Stage and into Stage are deterministic (Lemma 30).
- (b)
- Stage is strongly connected and includes state , guaranteeing any sequence within this stage must eventually reach . By Lemma 33, every state in participates in a cycle of transitions that includes , ensuring that all trajectories in this stage are funneled through the gateway.
- (c)
- State provides the unique transition path from Stage into Stage (via when ) (Lemma 32).
- (d)
- Indefinite looping entirely within Stage is impossible, as this would require a non-trivial cycle, which is ruled out by Theorem 15.
- 4.
- Absorption in Stage : Combining the points above: a sequence starting outside enters , must eventually reach (by 3b), cannot loop indefinitely in (by 3d), and therefore must eventually take the unique exit transition into Stage (by 3c). Once in Stage , Lemma 14 guarantees the sequence cycles permanently within .

8. Computational Verification
- Initial state classification: Confirmed that each n is correctly mapped to one of the 17 FSM states via the getState function.
- Deterministic transition verification: Ensured that each observed transition conformed exactly to the FSM’s transition rules (Lemma 30).
- Gateway consistency: Verified that any transition to 4 (i.e., to ) occurred only from either (in ) or (in ), as required by the FSM structure.
- State coverage: Ensured that no number encountered during the sequence evaluation mapped to an undefined or invalid state.
- Step count: Recorded the number of steps required for each sequence to reach 1.
9. Empirical Evidence from Large-Scale Collatz Computations
- Boundedness: No starting number tested has produced a Collatz sequence that grows without bound; all sequences examined remain within finite limits.
- Convergence to the 4-2-1 Cycle: Every Collatz sequence observed eventually enters the cycle (or the equivalent permutation ), regardless of the starting value.
- No Other Cycles Found: Despite exhaustive searches, no cycles other than the trivial cycle (or its cyclic permutations) have ever been discovered.
10. Comparison with Previous Approaches
10.1. Limitations of Prior Methods
- Modulo Arithmetic and Congruence Class Methods demonstrate boundedness within specific residue classes but fail to extend these properties globally.
- Contradiction-Based Arguments often rely on unproven assumptions or fail to rigorously eliminate all counterexamples.
- Tao’s "Almost All" Result [9] proves that most orbits are bounded but does not establish boundedness for every number.
10.2. Novelty and Strengths of the Presented Proof
- Complete Partitioning of the State Space: We classify into five mutually exclusive sets - (Cycle Set), (ROM3 Set), (Precursor Set), (Immediate Successor Set), and (Exclusion Set). This classification fully encapsulates all possible Collatz trajectories, ensuring a structured analysis.
- Proof of Cycle Uniqueness: We prove that is the only possible cycle in the Collatz system. Our proof employs a novel product equation constraint (Lemma 12 and Lemma 13), systematically eliminating all alternative cycles.
- Boundedness via Structural Confinement: Instead of relying on traditional growth constraints, we introduce a structural confinement lemma, proving that all sequences must eventually enter a well-defined, controlled 12-state subsystem . This guarantees that no trajectory can diverge indefinitely.
-
The Finite State Machine (FSM): A Fundamental Shift in Perspective: A key innovation of our proof is the 17-state finite state machine (FSM), which transforms the Collatz problem from a question of unbounded numerical behavior to one of structured state evolution.
- Reduction of Infinite Complexity to a Finite System: The FSM collapses the infinite possibilities into a finite 17-state system, with the crucial transient dynamics governed by a 12-state subsystem ().
- Deterministic Transitions Leading to Inevitable Convergence: Unlike traditional approaches that rely on indirect arguments, our FSM ensures that every sequence follows a finite, structured path to the cycle.
- Elimination of Classical Growth Constraints: Instead of proving that sequences "do not grow indefinitely," the FSM demonstrates that growth is irrelevant - all trajectories are forced into a terminal condition through deterministic transitions.
Thus, the FSM provides a conceptually cleaner, structurally inevitable resolution to the Collatz problem.
11. Conclusions
- 1.
- We establish that the only possible cycle is , applying a product equation constraint as detailed in our earlier preprint [7]. This eliminates all non-trivial cycles, a key step that previous approaches had not fully addressed.
- 2.
- We prove that every Collatz sequence must reach in finite time, using a deterministic transition analysis within our structured state-space framework. The finite state machine (FSM) guarantees that all sequences undergo a systematic, finite progression into the cycle. Critically, this convergence occurs through a unique gateway state, (containing the number 8), which is the only entry point into the 4-2-1 cycle from outside the cycle itself.
12. Need for Verification and Future Directions
12.1. Need for Rigorous Verification
12.2. Potential Avenues for Future Research
- Generalization of the Product Equation Technique: Investigate whether the product equation method introduced in this paper can be generalized or adapted to study cycle structures and dynamics in other iterative functions or number-theoretic problems.
- Refinement and Simplification of the Proof: Explore alternative formulations of the arguments, particularly prime factorization and finite state analysis, to achieve greater clarity or elegance and potentially shorter proofs.
- Alternative FSM Constructions: Explore the construction and analysis of finite state machines for the Collatz dynamics based on different moduli (e.g., modulo 12, modulo 36) or alternative state definition criteria. Compare the resulting state counts, the nature of state transitions (determinism vs. branching), the revealed structural features, and the complexity of proving convergence within these alternative FSM frameworks relative to the modulo 9 FSM presented here.
- Computational Exploration Inspired by the Proof: With convergence established, further computational studies of stopping time distributions, average trajectory behavior, and other statistical properties of Collatz sequences could yield valuable insights.
- Applications to Related Conjectures: Determine whether the insights and techniques from this work can be applied to other unsolved problems or related conjectures in the realm of iterative number theory and dynamical systems.
- FSM Methodology for Other Dynamical Systems: Investigate whether the techniques used to construct and analyze the 17-state FSM (based on set partitioning, residue classes, and transition mapping) can be adapted to model and prove properties of other number-theoretic sequences or discrete dynamical systems.
- Educational and Expository Development: Develop pedagogical materials and simplified expositions of this proof to make it accessible to a broader mathematical audience, including students and researchers. Such efforts might include clearer visualizations, intuitive explanations of key steps, and adaptations of the proof for classroom use.
Data Availability Statement
Acknowledgments
References
- BOINC, Collatz conjecture project, (archived version, accessed , 2025). Retrieved from https://web.archive.org/web/20090915183543/http://boinc.thesonntags.com/collatz/.
- Collatz, L. , Aufgaben E., Mathematische Semesterberichte 1 (1950), 35.
- Conway, J. H. , Unpredictable iterations, in Proceedings of the 1972 Number Theory Conference (Boulder, CO: University of Colorado, 1972), 49–52.
- Lagarias, J. C. The 3x+1 problem and its generalizations. American Mathematical Monthly 1985, 92, 3–23. [Google Scholar] [CrossRef]
- Lagarias, J. C. , The 3x+1 problem: Annotated bibliography (1963–1999), in de Gruyter Series in Nonlinear Analysis and Applications 6 (Berlin: Walter de Gruyter, 2004), 189–299.
- Lagarias, J. C. , The Collatz conjecture, Chaos 20(4) (2010), 041102.
- Nwankpa, A. , A Proof of the Collatz Conjecture via Boundedness and Cycle Uniqueness [Preprint] (2025) (Manuscript received March 2, 2025). [CrossRef]
- Oliveira e Silva, T. , Empirical verification of the 3x+1 and related conjectures, in The ultimate challenge: The 3x+1 problem, edited by J. C. Lagarias, American Mathematical Society, Providence, Rhode Island, USA, 2010, pp. 189–207.
- Tao, T. , Almost all orbits of the Collatz conjecture are bounded, Journal of the American Mathematical Society 32(1) (2019), 1–89.
- Thwaites, B. , My conjecture, Bulletin of the Institute of Mathematics and Its Applications 15(2) (1979), 41.
- Velleman, D. J. , How to prove it: A structured approach (3rd ed., Cambridge: Cambridge University Press, 2019).
| Verification Criterion | Result |
|---|---|
| Total integers tested | 10,000,000 |
| Starting in stage | 3,333,333 |
| Starting in stage | 6,666,664 |
| Starting in cycle stage | 3 |
| State assignment failures | 0 |
| Invalid transitions | 0 |
| Incorrect gateway entries | 0 |
| Misclassified state for (should be ) | 0 |
| Overflow or runtime errors | 0 |
| Maximum steps to reach 1 | 685 |
| Number achieving maximum steps | 8,400,511 |
Disclaimer/Publisher’s Note: The statements, opinions and data contained in all publications are solely those of the individual author(s) and contributor(s) and not of MDPI and/or the editor(s). MDPI and/or the editor(s) disclaim responsibility for any injury to people or property resulting from any ideas, methods, instructions or products referred to in the content. |
© 2025 by the authors. Licensee MDPI, Basel, Switzerland. This article is an open access article distributed under the terms and conditions of the Creative Commons Attribution (CC BY) license (http://creativecommons.org/licenses/by/4.0/).