Preprint
Article

This version is not peer-reviewed.

Developing a Predictive Model for Significant Prostate Cancer Detection in Prostatic Biopsies from Seven Clinical Variables: Is Machine Learning Superior to Logistic Regression?

A peer-reviewed article of this preprint also exists.

Submitted:

25 February 2025

Posted:

26 February 2025

You are already at the latest version

Abstract

This study compares machine learning and logistic regression algorithms in developing a predictive model for sPCa using the seven predictive variables from the Barcelona (BCN-MRI) predictive model. A cohort of 5,005 men suspected of having PCa who underwent MRI, and targeted and/or systematic biopsies was used for training, validation and testing. A Feedforward Neural Network (FNN) SimpleNet-based model (GMV) and a logistic regression-based model (BCN) were developed. The models were evaluated for discrimination ability, net benefit and clinical utility. Both models demonstrated strong predictive performance. The GMV model achieved an area under the curve of 0.88 in training and 0.85 in test cohorts (95% CI: 0.83-0.90), while the BCN model reached 0.85 and 0.84 (95% CI: 0.82-0.87), respectively (p > 0.05). The GMV model exhibited superior recall, making it more suitable for clinical scenarios prioritizing sensitivity, whereas the BCN model demonstrated higher precision and specificity, optimizing the reduction of unnecessary biopsies. Both models provided net benefit over biopsying all men, reducing unnecessary procedures by 27.5-29% and 27-27.5% of prostate biopsies at 95% sensitivity, respectively (p > 0.05). Both, machine learning and logistic regression-based models exhibited high and comparable similar clinical performance in sPCa detection using a limited dataset.

Keywords: 
;  ;  ;  
Equal contribution as last authors.

1. Introduction

Prostate cancer (PCa) screening is currently recommended by the European Union based on compelling evidence supporting its benefits [1]. The European Randomized Screening for Prostate Cancer (ERSPC) has been instrumental in shaping these guidelines. The screened group demonstrated a 20% reduction in PCa-specific mortality compared to the control group after a median follow-up of eight years [2]. Long-term benefits have also been observed over 22 years in the Göteborg randomized screening program, further highlighting the sustained impact of PCa screening on mortality reduction [3].
Recent advancements in PCa screening focus on identifying significant PCa (sPCa) while minimizing unnecessary prostate biopsies and reducing the detection of insignificant PCa (iPCa). This approach integrates elevated serum prostate-specific antigen (PSA) levels with advanced imaging techniques such as magnetic resonance imaging (MRI). MRI facilitates risk stratification of sPCa in suspicious lesions using the Prostate Imaging-Reporting and Data System (PI-RADS). The integration of MRI with transrectal ultrasound (TRUS) via fusion imaging technology enhances the accuracy of targeted biopsies with PI-RADS v2.1 further improving diagnostic efficacy [4,5]. However, given MRI's li-mited positive predictive value, particularly in cases with a PI-RADS 3 score, additional tools to refine biopsy decisions are need [6,7]. PSA density, modern biomarkers, and novel predictive models offer promising strategies to improve biopsy candidate selection and optimize diagnostic strategies [8,9,10,11,12].
The Barcelona-MRI (BCN-MRI) predictive model was developed to enhance PCa risk assessment by improving the detection of sPCa in prostate biopsies. This model utilizes seven clinical variables after MRI: age (years), type of biopsy (initial vs. repeated), PCa family history (no vs. yes), serum PSA level (ng/mL), digital rectal examination (DRE: normal vs suspicious), MRI-based prostate volume (mL), and PI-RADS v2.0 score (1-5). It was originally developed as a logistic regression [12]. Although logistic regression remains widely used and accessible, it has become increasingly outdated due to evolving clinical practices, requiring external validations to maintain its relevance [13]. In contrast, machine learning models offer greater adaptability by continuous integrating new cases and outcomes. These models can accommodate diverse data inputs, including genomic and radiomic data, enhancing predictive accuracy and clinical applicability [14,15]. Additionally, machine learning algorithms facilitate federated networks, reducing the need for repeated model validation across different clinical sites. This capability may improve the generalizability and robustness of sPCa predictions across diverse populations [16]. The Feedforward Neural Network (FNN)-based SimpleNet model builds upon MRI-based predictive modeling for sPCa, proposing that machine learning-driven predictions may surpass logistic regression in clinical effectiveness [17]. FNNs, known for their effectiveness in modeling complex nonlinear relationships, offer a robust framework for integrating and analyzing structured clinical and biomarker data to enhance predictive mo-deling in sPCa [18].
We hypothesize that an MRI-based predictive model for detecting sPCa in prostate biopsies, developed using seven clinical variables and an appropriate machine learning algorithm, will enhance clinical effectiveness relative to a logistic regression-based model. Our objective is to compare the clinical effectiveness of a novel SimpleNet FFN-based predictive model, developed by Gross Merchandise Value Inc. (GMV) with a traditional logistic regression-based model (BCN) for sPCa detection.

2. Materials and Methods

2.1. Study Design and Participants

This was a retrospective study conducted among 5,005 men suspected of having prostate as part of the PCa opportunistic screening program in Catalonia, Spain. The inclusion criteria were to undergo a multiparametric MRI (mpMRI) and prostate biopsy between January 1, 2016, and December 31, 2022. Exclusion criteria was to have a previous PCa diagnosis or atypia. This study was approved by the ethics committee of the coordinator center (PRAG-02/2021, approved on 12th February 2021).

2.2. Diagnostic Approach for Significant Prostate Cancer

A high serum PSA level (>3.0 ng/mL) and/or a suspicious DRE were detected at the primary health system, leading to suspicion of PCa [19]. These men were referred to their reference center where mpMRI exams were conducted, using 1.5 or 3 Tesla scans with a pelvic phased-array surface coil. The acquisition protocol included T2-weighted imaging (T2W), diffusion-weighted imaging (DWI) and dynamic contrast-enhanced (DCE) ima-ging, according to the guidelines of the European Society of Urogenital Radiology [20]. Experienced radiologists analyzed images at each institution and reported with the PI-RADS v2.0 until 2019 [21] and v2.1 later [5].
Men selected for prostate biopsy were those with PI-RADS score > 3, and those with PI-RADS < 3 and high risk of sPCa due to a suspicious DRE, PCa family history, or a PSA density above 0.15 ng/mL2. Prostate biopsies were conducted in each of the ten participant centers by experienced operators. Two- to four-core MRI-transrectal ultrasound cognitive or software image fusion targeted biopsies of suspicious lesions followed by a 12-core systematic biopsy were conducted in men with PI-RADS > 3 [22]. Men with PI-RADS < 3 underwent only a 12-core systematic biopsy. Prostate biopsies were conducted via transrectal route in 3,760 cases (75.1%) and via transperineal route in 1,245 (24.9%) [23].
The prostate biopsy material was analyzed by experienced pathologists in each pathology department. PCa was reported according to the International Society of Urologic Pathology (ISUP) grade group classification. Cases were classified as sPCa when the grade group was 2 or higher [24].

2.3. Predictive Variables Included in the Models and Outcome Variable

Pseudonymized datasets, following the standards of reporting for MRI-targeted biopsy studies (START) of the prostate, were provided by each participant center for harmonization and analysis at the coordinator center [25]. Clinical predictive variables were recorded during the PCa diagnosis approach. These variables were age (ED: years); PCa family history (FH: no vs. yes); type of prostate biopsy (TB: repeated vs. initial); serum PSA level (ng/mL); DRE (normal vs. suspicious). Additionally, prostate volume (PV: mL), and PI-RADS score (1 to 5) were extracted from MRI images. The outcome variable was sPCa (yes vs. no).

2.4. Algorithms Used for Model Development

Two models were built to assess which strategy would offer the best sPCa prediction. The BCN predictive model [12], consisted of a logistic regression where sPCa was the outcome variable and seven clinical variables were included. The GMV predictive model, developed by Gross Merchandise Value Inc, Madrid, Sapin, used a FNN SimpleNet architecture, including the same clinical variables [18]. SimpleNet features a lightweight design, making it ideal for efficient computation and rapid experimentation. The GMV model architecture comprised three linear layers, two ReLU activation functions, and a sigmoid output function. The model was implemented using the PyTorch deep learning framework, with 32 neurons in the first and second layers and 16 neurons in the third layer. The Binary Cross-Entropy Loss (BCELoss) function was selected as the optimal loss function, while the RMSprop optimizer was employed for parameter optimization, maintaining a fixed learning rate of 0.001. The training process spanned 50 epochs, during which the model weights were iteratively updated to minimize the loss.
Before training, several preprocessing steps were applied to the dataset to enhance model performance. First, data cleaning was conducted to handle duplicates, mismatched cases and extreme values, ensuring that the dataset remained complete and reliable. Next, categorical variables (FH, TB, DRE, PI-RADS) were encoded using one-hot encoding, converting them into binary vectors that were suitable for the model and standardization was also applied to the numeric variables ED, PSA, and PV using StandardScaler. Additionally, the dataset was split into three distinct subsets: training, validation, and test sets. This split allowed for effective model training while providing separate data for tuning hyperparameters and evaluating performance, ultimately leading to a more robust and ge-neralizable model (Figure A1). Specifically, 4,254 cases (85%) were allocated for training and 751 (15%) were reserved for testing. A set of 639 cases of the training set (15%) were used for validation. All data partitions retained similar values across all variables analyzed (Table A1). The binary classification task aimed to classify the cases into predefined categories of the outcome. The code for a comprehensive examination of the initial dataset and analyses can be found in the annex file 00_dataset_analysis.ipynb (in review by Zenodo)

2.5. Statistical Analyses, Algorithm Performance, and Interpretation

Statistical analyses were conducted for the eight variables under study. Quantitative variables, expressed as means and standard deviations (SD), were compared with the Mann-Whitney test, and qualitative variables, expressed in percentages, with the Chi-square test. Odds ratios (OR) and 95% confidence intervals (CI) were assessed. The resul-ting SimpleNet (GMV model) was calibrated. The performance of both predictive models was compared using the metrics, true positives (TP), true negatives (TN), false positives (FP), false negatives (FN), negative predictive values (NPV), positive predictive values (PPV), specificity, sensitivity, and accuracy. Receiver operating characteristic (ROC) curves were plotted for each model to determine optimal classification thresholds. For model interpretability, SHAP values were used to determine the feature attributions [26]. SHAP summary plots were generated to examine the model's behaviour in terms of feature importance and effects. Moreover, DCA was conducted to visualize the net benefit of each model. Both the area under the ROC curve (AUCROC) and net benefit were employed for model discrimination analysis. The clinical effectiveness of each model was assessed trough the CUC representing the avoided rates of avoided prostate biopsies and the undetected rate of sPCa according to the continuous probability threshold. GMV and BCN models were developed with the Python programming language v. 3.10.12 (Python software Foundation, Scotts Valley, CA, USA). Statistical analyses conducted with the R programming v.4.3.3 language (R Foundation for statistical computing, Viena, Austria), and the SPSS v.29 (IBM, statistical package for social sciences, San Francisco, CA, USA).

3. Results

3.1. Participant Characteristics

A total of 5,005 men suspected of having PCa were included in this study. Among these, 4,790 (95.7%) had a serum PSA above 3.0 ng/ml, and only 215 (4.3%) had a suspicious DRE. All participants that underwent multiparametric MRI (mpMRI) as well as targeted and/or systematic biopsies were included in the study. Participant characteristics for the overall study population are presented in Table 1. Overall, 2,097 participants (41.9%) were diagnosed with sPCa, whereas 2,908 (58.1%) were found to have non-signi-ficant PCa (nsPCa), a category that included both individuals without PCa and those with iPCa. The average age at the time of prostate biopsy was significantly higher in participants with sPCa than in those with nsPCa. Additionally, the mean serum PSA level was 20 ng/mL in the sPCa group compared to 8.4 ng/mL in the nsPCa group, while mean prostate volume was 51.9 mL in the sPCa group versus 69.1 mL in the nsPCa group. Regarding PI-RADS scores, the sPCa group had higher percentages of scores 4 (47.3%) and 5 (39%), whilst the nsPCa predominantly had scores 3 (35.9%) and 4 (35.2%).

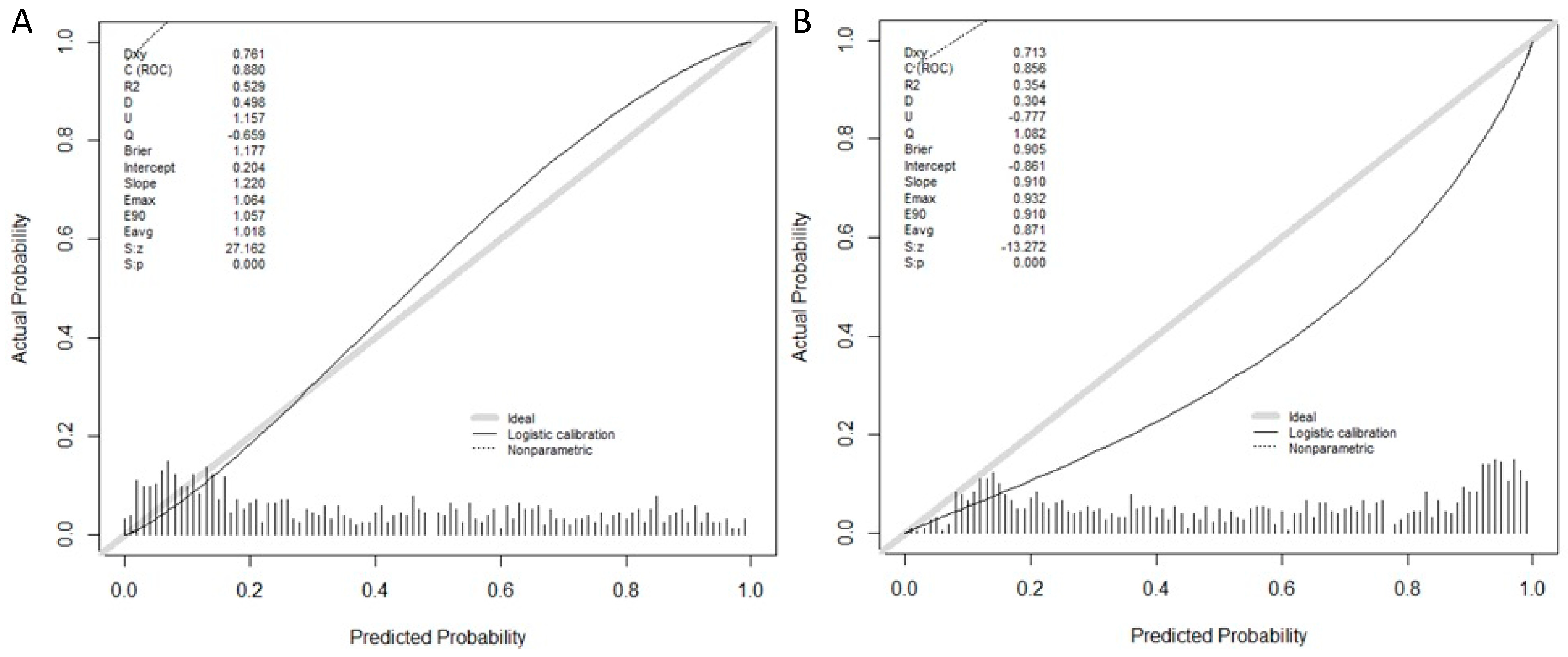
2.2. Calibration and Validation of the GMV and BCN Predictive Models

Calibration of the BCN and GMV models showed that the BCN model slightly overestimated predictions at higher probability thresholds, whereas the GMV model mode-rately underestimated predictions in the middle range of probability thresholds (Figure A2). The discrimination ability of the GMV and BCN models for sPCa in the training dataset (4,254 cases, 85%) and the test dataset (751 cases, 15%) is shown in Figure 1. In the trai-ning cohort, the area under the receiver operating characteristic (ROC) curve (AUC) was 0.88 (95% CI, 0.87-0.90) for the GMV model and 0.85 (95% CI, 0.84-0.86), for de BCN model, p > 0.05 (Figure 1A). In the test cohort the AUC was 0.85 (95% CI, 0.83-0.88) for the GMV model and 0.84 (95% CI, 0.82-0.86) for the BCN model, p > 0.05 (Figure 1B).
Comparative performance metrics of the GMV and BCN predictive models across the training, validation and test datasets are summarized in Table 2. The validation dataset comprised 631 cases (15% of the training dataset). The metrics include AUC, precision, recall, F1 score, accuracy, sensitivity, specificity, the Kappa index, and Matthew’s correlation coefficient (MCC), providing a comprehensive evaluation of each model’s predictive capabilities. This consolidated format allows for a clear comparison of model performance across different datasets, highlighting the strengths and consistency of each model on unseen data.
The GMV model outperformed the BCN model across both the training and va-lidation datasets. Specifically, the GMV model achieved AUC values of 0.88 for both training and validation datasets, while the BCN model exhibited slightly lower AUC values of 0.85 and 0.86, respectively. In the test dataset, both models experienced a slight decline in AUC; however, the GMV model still outperformed the BCN model, with an AUC of 0.85 versus 0.84. Nonetheless, these differences were not statistically significant, p > 0.05. Regarding precision, the BCN model demonstrated a slight advantage over the GMV model in both the training and test stages. The BCN model achieved precision scores of 0.7435 in the training dataset and 0.7607 in the test dataset, compared to the GMV model´s of 0.7171 and 0.7126, respectively. This suggests that BCN model is marginally more accurate when making positive predictions, with a higher likelihood of correctly identifying true positives. In contrast, recall values favored the GMV model across all datasets. Specifically, the GMV model achieved recall values of 0.8266 in training dataset, 0.8284 in validation dataset, and 0.7556 in the test dataset, compared to the BCN model´s recall values of 0.7435, 0.7537, and 0.6762, respectively. These results indicate that the GMV model was more effective at capturing true positive cases, suggesting it may be better at identifying individuals who truly have sPCa.
In terms of specificity, the BCN model outperformed the GMV model, particularly in the test dataset, where the BCN model achieved a specificity of 0.8463 compared to GMV´s 0.7798. This indicates that the BCN model was better at correctly identifying negative cases and minimizing false positives. Both models showed si-milar accuracy rates, with the GMV model slightly ahead in the training and validation phases (0.7908 and 0.7919, respectively) compared to BCN model (0.7851 and 0.7872, respectively); however, the difference in accuracy was negligible in the test dataset. The F1 score, which balances precision and recall, also favored the GMV model across all datasets. The GMV achieved F1 scores of 0.768 in training, 0.7695 in validation, and 0.7334 in testing, while BCN model obtained scores of 0.7435, 0.7481, and 0.716, respectively. This further supports that the GMV model maintained a better balance between precision and recall than the BCN model. Regarding the Kappa score, both models demonstrated moderate agreement beyond chance, indicating that the models' classifications were not entirely due to random chance. The MCC, which reflects the quality of binary classifications, also consistently favored the GMV model, suggesting its overall classification performance was superior to that of the BCN model.
Overall, the GMV model demonstrated superior performance across most performance metrics, particularly in recall and F1 score. This suggests that the GMV model is better in capturing true positives, which is critical in applications where identifying all potential positive cases is a priority. In terms of ROC and AUC, the GMV model exhibited a better balance between sensitivity (recall) and specificity, given its higher AUC in training and better overall performance in testing. Although both models showed similar AUC results in the test dataset, the GMV model outperformed the BCN model in terms of AUC during training and demonstrated a more favorable ROC curve, suggesting more consistent and robust model performance across datasets.
Class imbalance was acknowledged as a potential concern in this analysis; however, after conducting balancing tests, it was determined that adjustments were not necessary. The models demonstrated robust performance across all classes, indicating that the existing distribution did not significantly impact the results. Additionally, the evaluation metrics used provided sufficient insight into model effectiveness.

3.3. Variable Importance Interpretation with SHapley Additive exPlanations (SHAP)

SHAP values are a concept used to explain the output of machine learning models. They are based on cooperative game theory, specifically the Shapley value, which provides a fair method for distributing a total gain (or outcome) among different players based on their contributions. Global SHAP values were used to assess the overall importance of individual features across the entire dataset. The distribution of SHAP values for each feature across all data points (Figure S3) revealed that features such as prostate volume and PI-RADS 5 had the highest SHAP values, indicating their significant impact on the GMV model’s output (Figure S3A). PSA and PI-RADS 3 also had substantial influence, whereas lower-ranked features, such as family history of PCa and repeated prostate biopsy, contributed minimally to the prediction. For the BCN model (Figure A3), the two most important features were prostate volume and PI-RADS 3, both with SHAP values around 0.1, suggesting they had nearly equal influence on model predictions. Age and PI-RADS 1 also contributed significantly, though to a lesser extent. Features such as PCa family history, PI-RADS 4, and repeated biopsies had minimal to negligible SHAP values, making them less relevant in this context. Both models consistently identified prostate volume as the most decisive feature in predicting sPCa outcomes, while they also agreed that repeated biopsies were the least relevant factor.
The SHAP Beeswarm plot (Figure 2) provided valuable insights into the features that most influenced the model's predictions, offering a clearer understanding of model behavior and supporting more informed decision-making. Each point represents a single prediction's SHAP value of a single prediction, with vertical jittering applied to enhance visibility. The color gradient indicates the feature's value, ranging from low (blue) to high (red). This plot highlights both the direction (positive or negative impact) and the distribution of SHAP values, revealing patterns and interactions that contribute to the model's predictions. In both models, high values of prostate volume (shown in red) demonstrated an inverse relationship with sPCa risk, indicating that larger prostate volume was associated with a lower likelihood of sPCa, whereas smaller prostate volumes increased the risk (Figure 2A-B).
A similar pattern was observed for PI-RADS 1, 2, 3, and repeated biopsies. In contrast, higher values of PI-RADS 4, 5, age, and suspicious digital rectal examination (also shown in red) were associated with a greater risk of sPCa, reflecting their positive contribution to the outcome. Interestingly, these models exhibited different directionality regarding initial biopsies. In the GMV model, undergoing an initial biopsy was associated with a lower probability of a positive sPCa outcome, whereas the BCN model sowed the opposite trend. This discrepancy suggests that the relationship between initial biopsy status and sPCa may not be straightforward and could differ based on model-specific feature interactions.

3.4. Clinical Comparison of GMV and BCN Predictive Models for sPCa Detection

Net benefit of the GMV and BCN predictive models was analyzed with Decision Curve Analysis (DCA). In this analysis, the x-axis represents the predicted probabilities, while the y-axis indicates the proportion of actual positive cases identified by the model. The blue line corresponds to the GMV model, and the orange line represents the BCN model. For reference, the gray line represents the "Biopsy None" strategy, in which no instances are classified as positive, resulting in unidentified positive cases and potentially missing all at-risk patients. Conversely, the green line represents the "Biopsy All" strategy, where all instances are classified as positive, ensuring that all positive cases are identified but also leading to a high number of false positives, which may result in unnecessary prostate biopsies. DCA provides a comparative framework for assessing model performance relative to these two extreme strategies, illustrating the trade-offs between sensitivity and specificity at different threshold probabilities.
The BCN predictive model demonstrated a higher net benefit than the GMV model across a wide range of threshold probabilities. DCA indicated that the GMV model provided a higher net benefit for threshold probabilities between 1% and 35%, whereas the BCN model outperformed it at threshold probabilities ranging from 36% to 75% (Figure 3). This suggests that the BCN model may be slightly more effective at identifying high-risk patients. However, both models performed similarly within the critical range of 10% to 35%, where most clinical decisions are made. As threshold probabilities for sPCa detection increased beyond 30%, both models deviated further from the performance of the "Biopsy All" strategy, reinforcing their clinical utility. Additionally, both models consistently maintained a gap above the "Biopsy All" and "Biopsy None" curves across various thres-holds, highlighting their overall robustness and clinical applicability.
Clinical Utility Curves (CUC) illustrate the rates of saved prostate biopsies and undetected sPCa as the continuous threshold probability for sPCa prediction continuously increases in both models (Figure 4).
The GMV model demonstrated a 23% reduction in prostate biopsies at a 14% probability threshold for sPCa, with only 2.6% of sPCa cases remaining undetected. Even at a higher 20% threshold, it maintained a substantial 32.5% biopsy reduction while missing 6.5% of sPCa cases. In comparison, the BCN model achieved greater biopsy savings but at the cost of higher missed sPCa rates. At a 14% threshold, the BCN model reduced prostate biopsies by 34%, but 8% of sPCa cases remained undetected. At a 20% threshold, biopsy savings increased to 41%, though the missed sPCa rate also rose to 13%. The rates of avoided prostate biopsies and undetected sPCa for the GMV and BCN predictive models at thresholds ranging from 5% to 20% are summarized in Table 3. When fixing a clinically appropriate 95% sensitivity, the GMV model avoided between 27.5% and 29% of prostate biopsies at thresholds between 16% and 17%. In contrast, the BCN model avoided between 27% and 27.5% of prostate biopsies at lower thresholds of 9% to 10%.

4. Discussion

This study compared the clinical performance of two predictive models for sPCa detection in prostate biopsies, both developed using seven clinical variables obtained during the diagnostic process. The GMV model, based on a SimpleNet-FNN based machine lear-ning algorithm, demonstrated clinical effectiveness comparable to that of the BCN model, which was developed using a classic logistic regression approach. Both models demonstrated appropriate calibration and strong performance, though each had distinct advantages depending on clinical priorities. The GMV model exhibited a discrimination abi-lity with an AUC of 0.85, comparable to the 0.84 achieved by the BCN model. These results are similar to, or outperform previous models, which reported lower AUC values ranging from 0.67 to 0.77 [27,28,29,30]. The GMV model prioritized recall, making it particularly suitable for scenarios where detecting men with sPCa and minimizing false-negatives predictions is critical, such as in cancer diagnosis. In contrast, the BCN model showed higher precision and specificity, making it more effective in reducing false-positives predictions and unne-cessary prostate biopsies.
The use of predictive models offers a significant advantage over the use of biomarkers in improving the current diagnostic approach for sPCa, as they are often expensive and require the collection of biological fluids for analysis [10,11]. However, ensuring the availability of a freely accessible risk calculator web-based or smartphone application would be very beneficial for clinical practice as patients could be efficiently classified in the early stages of diagnosis. This is exemplified by the BCN risk calculator, which is avai-lable at https://mripcaprediction.shinyapps.io/MRIPCaPrediction/ [12]. Regarding net benefit analysis, the GMV model prioritized minimizing missed sPCa detections while achieving moderate reductions in prostate biopsies. In contrast, the BCN model focused on maximizing biopsy reduction, albeit at the cost of a higher number of missed sPCa cases. Nonetheless, the optimal threshold of the BCN model provided a balance similar to that of the GMV model, aligning with the performance of comparable models. The GMV model, designed using the SimpleNet-FNN framework, offers modularity for future integration of diverse data sets, including genomics and other omics such as MRI radiomics, enhancing its adaptability. While the BCN model is similarly effective, it is less expandable [31,32,33,34].
The choice between these models for clinical implementation should align with specific clinical priorities. If minimizing missed diagnoses (false negatives) and maximizing sPCa detection is the primary concern, the GMV model is preferable. Conversely, if redu-cing unnecessary prostate biopsies and false positives is the priority, the BCN model would be the better option. The optimal threshold for clinical decision-making with the GMV model was found to be 14%, at which it could reduce prostate biopsies by 23% while missing only 2.6% of sPCa. Even at a higher threshold of 20%, the GMV model could avoid 32.5% of biopsies, with an acceptable trade-off of 6.5% missed sPCa. In comparison, at a threshold of 14%, the BCN model avoided 34% of biopsies but at the cost of an 8% rate of undetected sPCa. At a threshold of 20%, the BCN model saved 41% of biopsies, with a corresponding 13% rate of undetected sPCa cases. The ideal threshold for the BCN model appeared to be around 13%, allowing a 33.5% reduction in biopsies while maintaining a 6.5% rate of missed reclassifications. The BCN model performed similarly to another previously reported models, which, at a 20% threshold, reduced biopsies by 42% but had a 7% rate of missed cancers [35]. This suggests that the GMV model prioritizes minimizing missed sPCa detections, even at the cost of performing more biopsies. However, when both models were compared at a fixed 95% sensitivity, the GMV model achieved a slightly higher percentage of avoidable prostate biopsies.
SHAP analysis identified prostate volume as the most influential feature in the GMV model, with higher prostate volume values inversely associated with the likelihood of sPCa. This aligns with the traditional analysis of independent predictive variable weights in logistic regression models [12,13,14]. Additionally, a PI-RADS score of 5 was a key determinant in the GMV model, whereas PI-RADS score of 3 and age played significant roles in the BCN model, consistent with previous findings [18]. A discrepancy in the SHAP analysis was observed in the effect of the initial biopsy feature, which had differing impacts between the models. In the GMV model, initial biopsy status was associated with a lower probability of sPCa, as previously reported [35]. However, in the BCN model, initial biopsy status did not demonstrate a significant relationship with sPCa detection, suggesting that it may not be a relevant predictor in this model. Other risk factors, such as DRE, exhibited moderate importance in both models. On the contrary, PCa family history did not emerge as a highly relevant factor in either predictive model, despite being a well-established risk factor for sPCa. Previous studies have identified its predictive significance [12,36], but those models did not incorporate PI-RADS scores, which may have altered the relative weight and ranking of predictive variables. Additionally, the evolving demographic profile of PCa diagnoses may suggest that a growing proportion of cases occur in men without a known family history of the disease. Nevertheless, PCa family history remains an important risk factor and should not be excluded from predictive models or preventive me-dicine strategies. Overall, the SHAP analysis provided valuable insights into the clinical features driving model predictions, enhancing the interpretability of both the GMV and BCN models. These findings, in combination with clinical threshold evaluations, offer a clearer understanding of how these models can be effectively applied in clinical practice to support informed decision-making in sPCa detection.
Several limitations of our study must be acknowledged. Its retrospective nature may have introduced selection bias, as the included population was determined by the availability of pre-existing data. The analyzed cohort was derived from an opportunistic PCa screening program, which may have introduced biases in participant characteristics compared to those identified through population-based screening programs. While our study included a substantial number of men suspected of having PCa, the limited sample size for specific subgroup analyses may have reduced the statistical power and robustness of these analyses, potentially affecting the reliability of our conclusions. As a multicenter study without centralized diagnostic procedures, some degree of variability was likely inevitable, even with well-established criteria for identifying men with suspected PCa, performing and interpreting MRI scans, and conducting and reporting prostate biopsies. Va-riations in expertise across centers may have further contributed to this variability.
After this analysis, we recognize that both machine learning and logistic regression algorithms resulted in small differences when developing predictive models for sPCa based on seven clinical variable which represents a small dataset. These differences produced minor changes in the clinical performance metrics of both models. However, their effectiveness was nearly identical at the 95% sensitivity threshold for sPCa detection, which is highly appropriate for this purpose. The GMV model requires a web-based or smartphone application for routine clinical use [37]. Moreover, the GMV model offers greater potential for integration into federated networks, as its online evolution could be supported through continuous model updates [16]. Additionally, the GMV model can incorporate other data types such as genomic, proteomic or radiomic features from MRI, enabling the processing of large data sets, an approach not supported by logistic regression models [38,39].

5. Conclusions

A machine learning-based predictive model for sPCa detection in prostate biopsies, developed using seven clinical variables available during the diagnostic process, de- monstrated only minor differences in clinical performance compared to a logistic regression-based model. The advantages of machine learning algorithms for predictive mode-ling lie in their ability to continuous integrate site-specific feedback and update with new cases through federated networking. Additionally, machine learning-based predictive models are well-suited for managing bigdata from radiomics and genomics analyses, enhancing the predictive accuracy for true sPCa.

Supplementary Materials

The following supporting information can be downloaded at the website of this paper posted on Preprints.org.

Author Contributions

Conceptualization, J.M., B.M., and O.M.; methodology, B.M. and P.H; formal analysis, P.H, B.M., and J.M.; data curation, N.P (Nahuel Paesano), N.P. (Natàlia Picola), J.M-R., X.R-P., M.V.M-R., A.C., G.GdeM., P.S., J.M.A.; writing—original draft preparation, B.M., J.M.; writing—review and editing, O.M., E.T..; supervision, E.T..; project administration, O.M.; funding acquisition, O.M., J.M. All authors have read and agreed to the published version of the manuscript.

Funding

This research was supported by the Instituto de Salut Carlos III (SP) and the European Union (PI20/01666), and Ministerio de Asuntos Económicos y Transformación Digital (MIA.2021.M02.0005).

Institutional Review Board Statement

The study was conducted in accordance with the Declaration of Helsinki and approved by the Ethics Committee of Vall d´Hebron Research Institute (protocol code PRAG-2/2021 approved on 12 February 2021).

Informed Consent Statement

Written informed consent was obtained from all subjects involved in the study.

Data Availability Statement

Data is available under request to the corresponding author.

Conflicts of Interest

The authors declare no conflicts of interest.

Appendix A

Figure A1. Diagram of dataset split and participant distribution across model development datasets. This diagram provides a detailed overview of the dataset division and participant allocation across machine learning model development stages. The dataset is split into three subsets: 85% for training and 15% for testing. A 15% of the training set was selected for validation. The training subset is used to develop the classifier, followed by evaluation on the validation subset to fine-tune model parameters. Finally, the trained classifier’s performance is assessed on the test subset, offering an unbiased evaluation of its generalization ability. This breakdown clarifies the distinct roles of each subset in training, internal validation, and final testing phases, ensuring a rigorous approach to model development and assessment.
Figure A1. Diagram of dataset split and participant distribution across model development datasets. This diagram provides a detailed overview of the dataset division and participant allocation across machine learning model development stages. The dataset is split into three subsets: 85% for training and 15% for testing. A 15% of the training set was selected for validation. The training subset is used to develop the classifier, followed by evaluation on the validation subset to fine-tune model parameters. Finally, the trained classifier’s performance is assessed on the test subset, offering an unbiased evaluation of its generalization ability. This breakdown clarifies the distinct roles of each subset in training, internal validation, and final testing phases, ensuring a rigorous approach to model development and assessment.
Preprints 150495 g0a1
Table A1. Demographic, clinical and imaging characteristics of the training, validation, and test datasets.
Table A1. Demographic, clinical and imaging characteristics of the training, validation, and test datasets.
Characteristic Development cohort Validation cohort Test cohort
Number of men 4,254 639 751
Mean age at biopsy, years (SD) 68 (8.3) 68 (8.3) 68 (8.2)
Mean serum PSA, ng/mL (SD) 13.4 (75.0) 12.7 (35.5) 12.8 (47.6)
Suspicious DRE, n (%) 1,210 (28.5) 192 (30.1) 217 (28.9)
PCa family history, n (%) 304 (7.2) 51 (8.0) 48 (6.4)
Mean prostate volume, mL (SD) 61.5 (32.3) 62.0 (33.1) 64.6 (35.8)
Previous negative prostate biopsy, n (%) 1,281 (30.2) 216 (33.9) 224 (29.9)
PI-RADS version used 2 2.1 2
Mean number of suspicious lesions 2 2 2
PI-RADS score of index lesion, n (%)
1 470 (11.1) 71 (11.2) 104 (13.9)
2 148 (3.5) 15 (2.4) 27 (3.6)
3 1,053 (24.8) 161 (25.2) 197 (26.3)
4 1,743 (41.0) 261 (40.9) 272 (36.3)
5 840 (19.8) 131 (20.6) 151 (20.2)
sPCa detection, n (%) 1,782 (41.9) 268 (42.0) 315 (42.0)
SD: standard deviation; PSA: prostatic specific antigen; DRE: digital rectal examination; PI-RADS: Prostate Imaging-Reporting and Data System; PCa: prostate cancer; sPCa: significant PCa.
Figure A2. Calibration plots for the BCN and GMV predictive models on training dataset. Predicted probabilities against observed outcomes for each model on the training dataset. The calibration curves assess each model’s ability to predict probabilities that reflect true clinical outcomes, where closer alignment of the curve to the diagonal line indicates better calibration and a more accurate probability estimation. These plots offer insights into the consistency and reliability of each model’s predictions across the probability range.
Figure A2. Calibration plots for the BCN and GMV predictive models on training dataset. Predicted probabilities against observed outcomes for each model on the training dataset. The calibration curves assess each model’s ability to predict probabilities that reflect true clinical outcomes, where closer alignment of the curve to the diagonal line indicates better calibration and a more accurate probability estimation. These plots offer insights into the consistency and reliability of each model’s predictions across the probability range.
Preprints 150495 g0a2
Figure A3. Barplot for feature importance in prediction for GMV and BCN predictive models. Barplot (A) correspond to the GMV predictive model, and (B) to the BCN predictive model. The barplots use mean absolute SHAP values to measure each feature's contribution to the model's predictions. The x-axis corresponds to the individual features used in the model, while the y-axis displays the mean absolute SHAP value for each feature. A higher value on the y-axis indicates a greater contribution to the model's prediction, with features associated with longer bars being more influential in the model's decision-making process. This visualization highlights the key variables that drive the predictions of each model, helping to identify which features play the most significant role in determining outcomes. The comparison between the two models reveals how the importance of various features differs; shedding light on the factors each model relies on to classify the data.
Figure A3. Barplot for feature importance in prediction for GMV and BCN predictive models. Barplot (A) correspond to the GMV predictive model, and (B) to the BCN predictive model. The barplots use mean absolute SHAP values to measure each feature's contribution to the model's predictions. The x-axis corresponds to the individual features used in the model, while the y-axis displays the mean absolute SHAP value for each feature. A higher value on the y-axis indicates a greater contribution to the model's prediction, with features associated with longer bars being more influential in the model's decision-making process. This visualization highlights the key variables that drive the predictions of each model, helping to identify which features play the most significant role in determining outcomes. The comparison between the two models reveals how the importance of various features differs; shedding light on the factors each model relies on to classify the data.
Preprints 150495 g0a3

References

  1. Van Poppel, H.; Albreht, T.; Basu, P.; Hogenhout, R.; Collen, S.; Roobol, M. Serum PSA-based early detection of prostate cancer in Europe and globally: Past, present and future. Nat. Rev. Urol. 2022, 19, 562–572. [Google Scholar] [CrossRef]
  2. Schroder, F.H.; Hugosson, J.; Roobol, M.J.; Tammela, T.L.; Ciatto, S.; Nelen, V.; Kwiatkowski, M.; Lujan, M.; Lilja, H.; Zappa, M.; et al. Screening and prostate-cancer mortality in a randomized European study. N. Engl. J. Med. 2009, 360, 1320–1328. [Google Scholar] [CrossRef] [PubMed]
  3. Frånlund, M.; Månsson, M.; Godtman, R.A.; Aus, G.; Holmberg, E.; Kollberg, K.S.; Lodding, P.; Pihl, C.G.; Stranne, J.; Lilja, H.; et al. Results from 22 years of Followup in the Göteborg Randomized Population-Based Prostate Cancer Screening Trial. J. Urol. 2022, 208, 292–300. [Google Scholar] [CrossRef] [PubMed]
  4. Kasivisvanathan, V.; Rannikko, A.S.; Borghi, M.; Panebianco, V.; Mynderse, L.A.; Vaarala, M.H.; Briganti, A.; Budäus, L.; Hellawell, G.; Hindley, R.G.; et al. MRI-Targeted or Standard Biopsy for Prostate-Cancer Diagnosis. N. Engl. J. Med. 2018, 378, 1767–1777. [Google Scholar] [CrossRef] [PubMed]
  5. Turkbey, B.; Rosenkrantz, A.B.; Haider, M.A.; Padhani, A.R.; Villeirs, G.; Macura, K.J.; Tempany, C.M.; Choyke, P.L.; Cornud, F.; Margolis, D.J.; et al. Prostate Imaging Reporting and Data System Version 2.1: 2019 Update of Prostate Imaging Reporting and Data System Version 2. Eur. Urol. 2019, 76, 340–351. [Google Scholar] [CrossRef]
  6. Westphalen, A.C.; McCulloch, C.E.; Anaokar, J.M.; Arora, S.; Barashi, N.S.; Barentsz, J.O.; Bathala, T.K.; Bittencourt, L.K.; Booker, M.T.; Braxton, V.G.; et al. Variability of the Positive Predictive Value of PI-RADS for Prostate MRI across 26 Centers: Experience of the Society of Abdominal Radiology Prostate Cancer Disease-focused Panel. Radiology 2020, 296, 76–84. [Google Scholar] [CrossRef]
  7. Girometti, R.; Peruzzi, V.; Polizzi, P.; De Martino, M.; Cereser, L.; Casarotto, L.; Pizzolitto, S.; Isola, M.; Crestani, A. Giannarini, G. et al. Case-by-case combination of the prostate imaging reporting and data system version 2.1 with the Likert score to reduce the false-positives of prostate MRI: a proof-of-concept study. Abdom. Radiol. 2024, 49, 4273–4285. [Google Scholar] [CrossRef]
  8. Morote, J.; Borque-Fernando, A.; Triquell, M.; Celma, A.; Regis, L.; Mast, R.; de Torres, I.M.; Semidey, M.E.; Abascal, J.M.; Servian, P.; et al. Comparative Analysis of PSA Density and an MRI-Based Predictive Model to Improve the Selection of Candidates for Prostate Biopsy. Cancers (Basel) 2022, 11, 2374. [Google Scholar] [CrossRef]
  9. Haj-Mirzaian, A.; Burk, K.S.; Lacson, R.; Glazer, D.I.; Saini, S.; Kibel, A.S.; Khorasani, R. Magnetic Resonance Imaging, Clinical, and Biopsy Findings in Suspected Prostate Cancer: A Systematic Review and Meta-Analysis. JAMA Netw Open 2024, 7, e244258. [Google Scholar] [CrossRef]
  10. Eyrich, N.W.; Morgan, T.M.; Tosoian, J.J. Biomarkers for detection of clinically significant prostate cancer: contemporary clinical data and future directions. Translational Andrology and Urology 2021, 10, 3091–3103. [Google Scholar] [CrossRef]
  11. Li, K.; Wang, Q.; Tang, X.; Akakuru, O.U.; Li, R.; Wang, Y.; Zhang, R.; Jiang, Z.; Yang, Z. Advances in Prostate Cancer Biomarkers and Probes. Cyborg Bionic Syst. 2024, 5, 0129. [Google Scholar]
  12. Morote, J.; Borque-Fernando, A.; Triquell, M.; Celma, A.; Regis, L.; Escobar, M.; Mast, R.; de Torres, I.M.; Semidey, M.E.; Abascal, J.M.; et al. The Barcelona Predictive Model of Clinically Significant Prostate Cancer. Cancers (Basel) 2022, 14, 1589. [Google Scholar] [PubMed]
  13. Davis, S.E.; Greevy, R.A.; Lasko, T.A.; Walsh, C.G.; Matheny, M.E. Comparison of Prediction Model Performance Updating Protocols: Using a Data-Driven Testing Procedure to Guide Updating. AMIA Ann. Symp. Proc. 2020, 2019, 1002–1010. [Google Scholar]
  14. Aladwani, M.; Lophatananon, A.; Ollier, W.; Muir, K. Prediction models for prostate cancer to be used in the primary care setting: a systematic review. BMJ Open 2020, 10, e034661. [Google Scholar] [CrossRef]
  15. Riaz, I.B.; Harmon, S.; Chen, Z.; Naqvi, S.A.A.; Cheng, L. Applications of Artificial Intelligence in Prostate Cancer Care: A Path to Enhanced Efficiency and Outcomes. American Society of Clinical Oncology Educational Book. Ed. Wolters Kluwer 2024, 44, 1548–8748. [Google Scholar]
  16. Nandi, A.; Xhafa, F. A federated learning method for real-time emotion state classification from multi-modal streaming. Methods 2022, 204, 340–347. [Google Scholar]
  17. Goodfellow, I.; Bengio, Y.; Courville, A. Deep Learning. MIT Press 2016. http://www.deeplearningbook.org (accessed on 23 December 2024). (accessed on 23 December 2024).
  18. Jui, J.J.; Molla, M.M.I.; Alam, M.K.; Ferdowsi, A. Prostate Cancer Prediction Using Feedforward Neural Network Trained with Particle Swarm Optimizer. In: M.D. Zain, Z.; Sulaiman, M.H.; Mohamed, A.I.; Bakar, M.S.; Ramli, M.S. (eds) Proceedings of the 6th International Conference on Electrical, Control and Computer Engineering. Lecture Notes in Electrical Engineering, 2022; 842. Springer, Singapore. [CrossRef]
  19. Matsukawa, A.; Yanagisawa, T.; Bekku, K.; Kardoust Parizi, M.; Laukhtina, E.; Klemm, J.; Chiujdea, S.; Mori, K.; Kimura, S.; Fazekas, T.; et al. Comparing the Performance of Digital Rectal Examination and Prostate-specific Antigen as a Screening Test for Prostate Cancer: A Systematic Review and Meta-analysis. Eur. Urol. Oncol. 2024, 7, 697–704. [Google Scholar]
  20. Barentsz, J.O.; Richenberg, J.; Clements, R.; Choyke, P.; Verma, S.; Villeirs, G.; Rouviere, O.; Logager, V.; Futterer, J.J. ESUR prostate MR guidelines 2012. Eur. Radiol. 2012, 22, 746–757. [Google Scholar]
  21. Weinreb, J.C.; Barentsz, J.O.; Choyke, P.L.; Cornud, F.; Haider, M.A.; Macura, K.J.; Margolis, D.; Schnall, M.D.; Shtern, F.; Tempany, C.M.; et al. PI-RADS Prostate Imaging – Reporting and Data System: 2015, Version 2. Eur. Urol. 2016, 69, 16–40. [Google Scholar]
  22. Khoo, C.C.; Eldred-Evans, D.; Peters, M.; van Son, M.; van Rossum, P.S.N.; Connor, M.J.; Hosking-Jervis, F.; Tanaka, M.B.; Reddy, D.; Bass, E.; et al. A Comparison of Prostate Cancer Detection between Visual Estimation (Cognitive Registration) and Image Fusion (Software Registration) Targeted Transperineal Prostate Biopsy. J Urol. 2021, 205, 1075–1081. [Google Scholar]
  23. Wu, Q.; Tu, X.; Zhang, C.; Ye, J.; Lin, T.; Liu, Z.; Yang, L.; Qiu, S.; Bao, Y.; Wei, Q. Transperineal magnetic resonance imaging targeted biopsy versus transrectal route in the detection of prostate cancer: a systematic review and meta-analysis. Prostate Cancer Prostatic Dis. 2024, 27, 212–221. [Google Scholar] [CrossRef] [PubMed]
  24. Epstein, J.I.; Egevad, L.; Amin, M.B.; Delahunt, B.; Srigley, J.R.; Humphrey, P.A.; Grading, C. The 2014 International Society of Urological Pathology (ISUP) Consensus Conference on Gleason Grading of Prostatic Carcinoma: Definition of Grading Patterns and Proposal for a New Grading System. Am. J. Surg. Pathol. 2016, 40, 244–252. [Google Scholar] [CrossRef]
  25. Moore, C.M.; Kasivisvanathan, V.; Eggener, S.; Emberton, M.; Fütterer, J.J.; Gill, I.S.; Grubb Iii, R.L.; Hadaschik, B.; Klotz, L.; Margolis, D.J.; et al. Standards of reporting for MRI-targeted biopsy studies (START) of the prostate: recommendations from an International Working Group. Eur. Urol. 2013, 64, 544–552. [Google Scholar] [CrossRef]
  26. Anjum, M.; Khan, K.; Ahmad, W.; Ahmad, A.; Amin, M. N.; Nafees, A.; et al. New SHapley Additive ExPlanations (SHAP) approach to evaluate the raw materials interactions of steel-fiber-reinforced concrete. Materials (Basel) 2022, 15, 6261. [Google Scholar] [CrossRef]
  27. Stephan, C.; Xu, C.; Finne, P.; Cammann, H.; Meyer, H.A.; Lein, M.; Jung, K.; Stenman, U.H. Comparison of two different artificial neural networks for prostate biopsy indication in two different patient populations. Urology 2007, 70, 596–601. [Google Scholar] [CrossRef] [PubMed]
  28. Jansen, F.H.; van Schaik, R.H.; Kurstjens, J.; Horninger, W.; Klocker, H.; Bektic, J.; Wildhagen, M.F.; Roobol, M.J.; Bangma, C.H.; Bartsch, G. Prostate-specific antigen (PSA) isoform p2PSA in combination with total PSA and free PSA improves diagnostic accuracy in prostate cancer detection. Eur. Urol. 2010, 57, 921–927. [Google Scholar]
  29. Ecke, T.H.; Bartel, P.; Hallmann, S.; Koch, S.; Ruttloff, J.; Cammann, H.; Lein, M.; Schrader, M.; Miller, K.; Stephan, C. Outcome prediction for prostate cancer detection rate with artificial neural network (ANN) in daily routine. Urol. Oncol. 2012, 30, 139–144. [Google Scholar] [CrossRef] [PubMed]
  30. Takeuchi, T.; Hattori-Kato, M.; Okuno, Y.; Iwai, S.; Mikami, K. Prediction of prostate cancer by deep learning with multilayer artificial neural network. Can. Urol. Assoc. J. 2019, 13, E145–E150. [Google Scholar] [CrossRef]
  31. Checcucci, E.; Rosati, S.; De Cillis, S.; Giordano, N.; Volpi, G.; Granato, S.; Zamengo, D.; Verri, P.; Amparore, D.; De Luca, S.; et al. Machine-Learning-Based Tool to Predict Target Prostate Biopsy Outcomes: An Internal Validation Study. J. Clin. Med. 2023, 17, 4358. [Google Scholar] [CrossRef]
  32. Michaely, H.J.; Aringhieri, G.; Cioni, D.; Neri, E. Current Value of Biparametric Prostate MRI with Machine-Learning or Deep-Learning in the Detection, Grading, and Characterization of Prostate Cancer: A Systematic Review. Diagnostics (Basel). 2022, 12, 799. [Google Scholar] [CrossRef]
  33. Huynh, L.M.; Hwang, Y.; Taylor, O.; Baine, M.J. The Use of MRI-Derived Radiomic Models in Prostate Cancer Risk Stratification: A Critical Review of Contemporary Literature. Diagnostics (Basel). 2023, 13, 1128. [Google Scholar]
  34. Antolin, A.; Roson, N.; Mast, R.; Arce, J.; Almodovar, R.; Cortada, R.; Maceda, A.; Escobar, M.; Trilla, E.; Morote, J. The Role of Radiomics in the Prediction of Clinically Significant Prostate Cancer in the PI-RADS v2 and v2.1 Era: A Systematic Review. Cancers (Basel). 2024, 16, 2951. [Google Scholar] [PubMed]
  35. Boesen, L.; Thomsen, F.B.; Nørgaard, N.; Løgager, V.; Balslev, I.; Bisbjerg, R.; Thomsen, H.S.; Jakobsen, H. A predictive model based on biparametric magnetic resonance imaging and clinical parameters for improved risk assessment and selection of biopsy-naïve men for prostate biopsies. Prostate Cancer Prostatic Diseases 2019, 22, 609–616. [Google Scholar] [PubMed]
  36. Thompson, I.M.; Ankerst, D.P.; Chi, C.; Goodman, P.J.; Tangen, C.M.; Lucia, M.S.; Feng, Z.; Parnes, H.L.; Coltman, C.A. Jr. Assessing prostate cancer risk: results from the Prostate Cancer Prevention Trial. J. Natl. Cancer Inst. 2006, 98, 529–34. [Google Scholar] [PubMed]
  37. Morote, J.; Borque-Fernando, Á.; Triquell, M.; Campistol, M.; Servian, P.; Abascal, J.M.; Planas, J.; Méndez, O.; Esteban, L.M.; Trilla, E. Comparison of Rotterdam and Barcelona Magnetic Resonance Imaging Risk Calculators for Predicting Clinically Significant Prostate Cancer. Eur. Urol. Open Sci. 2023, 53, 46–54. [Google Scholar]
  38. Ogbonnaya, C.N.; Alsaedi, B.S.O.; Alhussaini, A.J.; Hislop, R.; Pratt, N.; Steele, J.D.; Kernohan, N.; Nabi, G. Radiogenomics Map-Based Molecular and Imaging Phenotypical Characterization in Localized Prostate Cancer Using Pre-Biopsy Biparametric MR Imaging. Int. J. Mol. Sci. 2024, 25, 5379. [Google Scholar]
  39. Zheng, B.; Mo, F.; Shi, X.; Li, W.; Shen, Q.; Zhang, L.; Liao, Z.; Fan, C.; Liu, Y.; Zhong, J.; et al. An Automatic Deep-Radiomics Framework for Prostate Cancer Diagnosis and Stratification in Patients with Serum Prostate-Specific Antigen of 4.0-10.0 ng/mL: A Multicenter Retrospective Study. Acad Radiol. 2025; in press. [Google Scholar] [CrossRef]
Figure 1. ROC curves comparing the discrimination ability for sPCa of the GMV and BCN predictive models in the training cohort (A) and the test cohort (B).
Figure 1. ROC curves comparing the discrimination ability for sPCa of the GMV and BCN predictive models in the training cohort (A) and the test cohort (B).
Preprints 150495 g001
Figure 2. Beeswarm plot illustrating the contribution of variables to the prediction of significant prostate cancer (sPCa) for the GMV predictive model (A) and the BCN predictive model (B).
Figure 2. Beeswarm plot illustrating the contribution of variables to the prediction of significant prostate cancer (sPCa) for the GMV predictive model (A) and the BCN predictive model (B).
Preprints 150495 g002
Figure 3. Net benefit of the GMV and BCN predictive models compared to the "biopsy all" and "biopsy none" strategies, as assessed by Decision Curve Analysis (DCA).
Figure 3. Net benefit of the GMV and BCN predictive models compared to the "biopsy all" and "biopsy none" strategies, as assessed by Decision Curve Analysis (DCA).
Preprints 150495 g003
Figure 4. Clinical Utility Curves (CUC) for the GMV model (A) and the BCN model (B). The x-axis represents varying threshold probability points (expressed as percentages), indicating the probabi-lity above which a prostate biopsy is recommended. The y-axis displays two key metrics: the rate of saved biopsies (red line) and rate of undetected sPCa (blue line) as the continuous threshold probability for sPCa prediction increases continuously.
Figure 4. Clinical Utility Curves (CUC) for the GMV model (A) and the BCN model (B). The x-axis represents varying threshold probability points (expressed as percentages), indicating the probabi-lity above which a prostate biopsy is recommended. The y-axis displays two key metrics: the rate of saved biopsies (red line) and rate of undetected sPCa (blue line) as the continuous threshold probability for sPCa prediction increases continuously.
Preprints 150495 g004
Table 1. Characteristics of participants and odds ratio estimates for clinical variables in a logistic regression analysis for significant prostate cancer.
Table 1. Characteristics of participants and odds ratio estimates for clinical variables in a logistic regression analysis for significant prostate cancer.
Characteristic sPCa nsPCa Odds Ratio (95%CI) p Value
Number of men (%) 2,097 (41.9) 2,908 (58.1) - -
Mean age, years (SD) 70 (8.2) 66 (7.6) 1.07 (1.06-1.08) <0.001
Mean serum PSA, ng/mL (SD) 20 (109) 8.4 (9.6) 1.04 (1.03-1.05) <0.001
PCa family history, n (%)
  No 1,930 (92%) 2,723 (93.6%) - Ref.
  Yes 167 (8%) 185 (6.4%) 1.27 (1.02-1.58) 0.033
Type of prostate biopsy, n (%)
  Initial 1594 (76%) 1906 (65.5%) - Ref.
  Repeated 503 (24%) 1002 (34.5%) 0.6 (0.53-0.68) <0.001
DRE, n (%)
  Normal 1161 (55.4%) 2417 (83.1%) - Ref.
  Suspicious 936 (44.6%) 491 (16.9%) 3.97 (3.49-4.52) <0.001
Prostate volume (mL) 51.9 (27.6) 69.1 (34.4) 0.98 (0.98-0.98) <0.001
PI-RADS score, n (%)
  1 60 (2.9%) 514 (17.7%) - Ref.
  2 23 (1.1%) 152 (5.2%) 1.3 (0.76-2.14) 0.322
  3 206 (9.8%) 1044 (35.9%) 1.69 (1.25-2.31) 0.001
  4 991 (47.3%) 1024 (35.2%) 8.29 (6.31-11.08) <0.001
  5 817 (39%) 174 (6%) 40.22 (29.61-55.48) <0.001
CI: confidence interval; SD: standard deviation; PCa: prostate cancer; sPCa: significant PCa; nsPCa: non-significant PCa; PSA: prostate-specific antigen; DRE: digital rectal examination; PI-RADS: Prostate Imaging-Reporting and Data System.
Table 2. Comparative performance metrics for the GMV and BCN predictive models across training, validation, and test datasets with key values for each metric.
Table 2. Comparative performance metrics for the GMV and BCN predictive models across training, validation, and test datasets with key values for each metric.
Metric Training set (n = 4,254) Validation set (n = 631) Test set (n = 751)
GMV model BCN model GMV model BCN model GMV model BCN model
AUC
(95% CI)
0.88
(0.87, 0.90)
0.85
(0.84, 0.86)
0.88
(0.86, 0.91)
0.86
(0.85, 0.87)
0.85
(0.83, 0.88)
0.84
(0.82, 0.86)
Precision 0.7171 0.7435 0.7184 0.7426 0.7126 0.7607
Recall 0.8266 0.7435 0.8284 0.7537 0.7556 0.6762
Specificity 0.765 0.8151 0.7655 0.8113 0.7798 0.8463
Accuracy 0.7908 0.7851 0.7919 0.7872 0.7696 0.7750
F1 score 0.768 0.7435 0.7695 0.7481 0.7334 0.7160
Kappa score 0.5792 0.5587 0.5815 0.5639 0.5309 0.5307
MCC 0.5841 0.5587 0.5864 0.5639 0.5316 0.5332
AUC: area under the curve; MCC: Matthew´s correlation coefficient.
Table 3. Rates of avoided prostate biopsies and undetected sPCa provided with the GMV and BCN models at threshold probabilities between 5% and 20%.
Table 3. Rates of avoided prostate biopsies and undetected sPCa provided with the GMV and BCN models at threshold probabilities between 5% and 20%.
Threshold
(%)
GMVmodel BCN model
Saved biopsies (%) Undetected sPCa (%) Saved biopsies (%) Undetected sPCa (%)
5 3.5 0.5 18 2
6 5 0.75 20 2.5
7 9.5 1 23 3.5
8 10 2 26 4.75
9 14 2 27 5
10 17 2 27.5 5
11 19 2.5 30 6
12 20 2.5 32.5 6.5
13 22 2.6 33.5 6.5
14 23 2.6 34 8
15 26 4.5 35 8.5
16 27.5 5 36 10.5
17 29 5 37.5 10.5
18 30 5.1 39.5 13
19 30 5.1 40 13
Disclaimer/Publisher’s Note: The statements, opinions and data contained in all publications are solely those of the individual author(s) and contributor(s) and not of MDPI and/or the editor(s). MDPI and/or the editor(s) disclaim responsibility for any injury to people or property resulting from any ideas, methods, instructions or products referred to in the content.
Copyright: This open access article is published under a Creative Commons CC BY 4.0 license, which permit the free download, distribution, and reuse, provided that the author and preprint are cited in any reuse.
Prerpints.org logo

Preprints.org is a free preprint server supported by MDPI in Basel, Switzerland.

Subscribe

Disclaimer

Terms of Use

Privacy Policy

Privacy Settings

© 2026 MDPI (Basel, Switzerland) unless otherwise stated