Preprint
Article

This version is not peer-reviewed.

A Multi-Criteria Approach to Sustainable Building Material Selection: A Case Study in a Japanese Context

A peer-reviewed article of this preprint also exists.

Submitted:

22 February 2025

Posted:

24 February 2025

You are already at the latest version

Abstract
In the effort to reduce the environmental impact of buildings, the correct selection of building materials has great importance since a building is complex system consisting of many different materials. With this background, a multi-criteria decision-making approach has recently been paid attention. This study demonstrated the influence of building material selection on the environmental and economic parameters of a building in a Japanese context. The effects of the selection were investigated on the five structural frame options in a comparative manner using a reference building model. The aim was to illustrate the features of the building materials in a relative manner from several aspects in order to help multi-criteria decision-making for professionals associated with the construction industry. The results showed that the value of alternative materials varies depending on the aspects. It was also indicated that which building elements and components should be preceded to enhance the sustainability of a building, from a material perspective. There is no perfect material in every sense. Thus, it should be important to select suitable materials according to the purpose and their features on a case-by-case basis. In addition, in order to widen the range of selection, the market system that could connect economic aspects to the other aspects and enable several factors to equally be considered in the decision-making process needs to be developed as well.
Keywords: 
;  ;  ;  ;  

1. Introduction

The building sector plays a substantial role in contributing to global environmental challenges [1]. Therefore, minimizing the environmental impact of a building throughout their life cycle is a crucial objective in the pursuit of sustainable development. In this context, considerable research efforts have been dedicated over the past few decades to investigate the life cycle impacts associated with buildings. In the effort to reduce the environmental impact of buildings, most of the attention has thus far been focused on operational energy use. As a result of advancements in this area, such as enhancements in the thermal insulation performance of the building envelope [2,3], the environmental impact during the operation phase has been effectively reduced and the significance of other life cycle stages (embodied impacts) has increased [4].
To mitigate the embodied impacts of buildings, the careful selection of building materials is essential since a building is complex system composed of various materials. However, a dilemma arises in a building Life Cycle Assessment (LCA). During the design phase, there is a discrepancy between the flexibility in selecting design parameters and the quality and quantity of information available for the LCA [5]. Although the life cycle impacts of a building can vary considerably based on decisions made in the early design phase [6,7], designers are often forced to make significant decisions at this initial design stage with insufficient information.
In this context, numerous researchers have explored indices of building materials to assist designers in achieving optimal design solutions for a sustainable building. For instance, Kerr et al. [8] compared Environmental Products Declarations (EPDs) of structural stone, concrete products and steel products focusing on their Global Warming Potential (GWP). The findings indicated that utilizing structural stone can significantly reduce the embodied CO2 emissions of a building, with being 45-75% lower than those of concrete products and over 99% lower than those of steel products. Thormark [9] investigated the effects of material selection on both the embodied energy and recycling potential within an energy efficient apartment block in Sweden. He noted that a simple alternation in material choice could lead to a reduction in embodied energy by approximately 17% or an increase of about 6%. Tavares et al. [10] studied the embodied energy and greenhouse gas (GHG) emissions of a prefabricated house with alternative structural materials (steel, concrete, timber and light steel framing (LSF)). The result indicated that the material production phase is dominant and LSF or timber yield the lowest impacts, resulting in a reduction of approximately 10-20% in embodied energy and 20-40% in GHG emissions compared to steel and concrete. Takano et al. [11] studied the impact of material choice on the life cycle energy balance of a building in Finland. It was revealed that differences in material selection are quite visible at the production stage. For example, substituting the gypsum board with plywood as the sheathing material increased the renewable primary energy in the production stage by nearly 50% compared to the original configuration. Whereas, changing the gypsum board to MDF only increased by a few percent. These studies provided valuable insights to proper building material selection mainly from the aspects of energy performance and GWP, which are the most influential impacts categories.
Meanwhile, there is a growing interest in a multi-criteria decision-making approach [7,12,13]. Chen et al. [14] conducted a cradle-to-gate LCA on the eight-story residential building in China, focusing on the environmental impacts associated with two structural frame options: Cross Laminated Timber (CLT) and concrete, across 13 categories. It was reported that environmental performance of the two frame options varies depending on the categories. For instance, the timber frame shows about 25% less GWP than the concrete frame, however, on the other hand, it also leads about 70% higher Acidification potential of soil and water sources (AP) and Formation potential of tropospheric ozone (SFP). Geß et al. [15] analysed environmental impacts of insulation materials derived from four renewable resources (pasture grass, seaweed, reed and recycled jute fibres) on eight indicators in comparison with conventional non-renewable insulation materials such as mineral wool. The results demonstrated that the renewable insulation materials had lower environmental impacts in all indicators than their conventional counterparts and advantages regarding GWP was particularly highlighted. Takano et al. [16] illustrated the impact of building material selection on both environmental and economic parameters of a building in a context of Finland, revealing that the choice of frame material had the most substantial impact. In addition, it was noted that inner components, such as insulation and sheathing, also exert certain influences and should be carefully considered, even though they are not visible at the end. Balasbaneh et al. [17] studied the sustainability performance of four different flooring systems using a multi-criteria assessment method. It was revealed that, for instance, the concrete flooring is the best option in terms of economic aspect, whilst wood flooring shows the lowest environmental impacts because of fewer CO2 emissions than the others. Balasbaneh et al. [18] evaluated the GWP, ozone layer depletion (OLD), life cycle cost (LCC) and social life cycle assessment (S-LCA) of five retaining wall materials used in a typical Malaysian residence. The results showed that stone walls are about one-third lower than concrete walls in terms of GWP and OLD. However, in terms of LCC, the cantilever reinforced concrete wall is the best option which is about 14% less than the second-best option. In terms of S-LCA, the rubble masonry wall is the best option, showing a 10% cost advantage over the second option. These studies underlined the significance of a multi-criteria approach for decision-making in building design, as a comprehensive perspective is essential in determining optimal solutions.
In such background, the objective of this study was to demonstrate the impact of material selection on various indicators in the material production phase of a building in a Japanese context. The indicators examined include:
  • Greenhouse gas emissions (GHG)
  • Embodied energy (EE)
  • Resource use (RU)
  • Ozone depletion potential (ODP)
  • Acidification potential (AP)
  • Carbon storage (CS)
  • Energy content (EC)
  • Material Cost (MC)
The analysis focused on the effects of five different structural frame alternatives on these indicators and the dominance of each building element (e.g. exterior wall) and material (e.g. Concrete) depending on the options were investigated comparatively on a reference building. Secondly, the effects of alternative building element use were quantified in order to observe the contribution of partial changes of the building constitution to the end results. Given the scarcity of similar research in Japan, this study aims to facilitate informed decision-making among professionals in the construction sector, thereby promoting enhanced sustainability in building design.

2. Materials and Methods

2.1. Reference Building Model And Building Materials Compared

The reference building was a hypothetical two-story building model, as exemplified in reference [19]. Figure 1 presents the basic plan and section of the building, indicating each building element, whilst Table 1 shows the floor area of the building and the surface area of each building element used in the calculation. This study employs a comparative analysis of five alternative structural frames: wooden Post and Beam frame (P&B), Cross Laminated Timber frame (CLT), Massive Holz frame (MH), Reinforced Concrete frame (RC) and Steel frame (Steel)), based on the building materials commonly used in Japan [19]. Table 2 outlines the selected structures for each building element corresponding to the five frame options. To observe the differences resulting from the selection of the frame materials, other building components, such as thermal insulation and finishing, were maintained as constant as possible. In addition, irrespective of the frame materials, all building elements adhered to identical specifications across all cases (e.g. U-value; Exterior wall = 0.53W/m2K, Floor = 0.34 W/m2K, Roof = 0.24 W/m2K) in accordance with the Building Energy Efficiency Act [20]. The building was assumed to be of the lowest fire protection class as per the Japanese building code. Thus, structural fire protection was not considered.
In addition to examining the structural frame materials, alternative frame combinations were also studied. In general, the structural frame tends to consist of a single material due to, for instance, construction and cost efficiencies. Here, however, the aim was also to demonstrate how the sustainability performance changes when different structural frame materials are combined in a building. The reference building with the CLT frame served as the case study model. In this analysis, it was assumed that the interior wall, floor (both ground and intermediate) and roof elements of the CLT frame would be substituted with the elements from the P&B frame. The original specifications of the CLT described in Table 2 were utilized as a benchmark, and the impact of the alternative elements was assessed in relation to this reference. The comparative study was conducted for each category of building elements, and the contribution of these elements to the end results was examined. The performance of the building (e.g. U-value) remained constant in all cases.

2.2. Indicators

2.2.1. Greenhouse gas emissions (GHG, Unit: kgCO2eq)

Greenhouse gas (GHG) emissions associated with the material production phase of the building, from the extraction of raw materials through to the completion of a product ready for delivery at the factory gate, were evaluated as embodied GHG using the IDEA database [21]. Emissions from the combustion of biogenic fuels were considered to be zero, in accordance with the principle of biogenic carbon neutrality [22]. Thus, in this study, GHG refers to only emissions arising from the combustion of fossil fuels.

2.2.2. Embodied energy (EE, Unit: MJ)

Primary energy consumed in the material production phase of the building was calculated as embodied energy with IDEA. Embodied energy originating from renewable (EE-R) and non-renewable resources (EE-NR) were presented separately.

2.2.3. Resource use (RU, Unit: kg)

The mass of the renewable and non-renewable resources utilized as the raw materials in the production of building components was quantified as an index of resource use (RU-R and RU-NR).

2.2.4. Ozone depletion potential (ODP, Unit: kgCFC11eq)

Ozone-depleting substances (chlorofluorocarbons, halon and methyl bromide) emitted in the material production phase of the building were assessed with IDEA.

2.2.5. Acidification potential (AP, Unit: kgSO2eq)

Anthropogenic air pollutants (SO2 and NOx) emitted in the material production phase were assessed with IDEA.

2.2.6. Carbon storage (CS, Unit: kgCO2eq)

As previously noted, biogenic GHG is considered to have a net-zero impact throughout the life cycle of wood products. In this context, the carbon storage in wood products may be perceived as a virtual value. However, it is advantageous to sequester carbon in a product that postpones the release of CO2 for a defined duration. Therefore, the temporal carbon storage in utilized wood products is recognized as an environmental benefit of the building, in accordance with EN16449 [23].

2.2.7. Energy content (EC, Unit: MJ)

According to the specifications outlined in EN 16485, the energy content of the materials used in the building is considered as an inherent property and is factored into the building’s potential for energy recovery. This value was quantified with IDEA and literature [24].

2.2.8. Material cost (MC, Unit: JPY)

Cost constitutes a primary criterion for material selection in practice; therefore, it should be taken into account in conjunction with the environmental attributes of products. Initial material cost was determined based on the data provided in reference [25].

2.3. Calculation

According as the indicators, the reference building was assessed by multiplying the unit values, which are the values derived from one square meter of the building elements (kg-CO2eq-, MJ-, kg-, kg-CFC-11eq-, kg-SO2eq-, JPY/m2), and the surface area of each building element (m2, shown in Table 1). As mentioned before, this study was carried out with the IDEA database and Japanese literature. Thus, although the results shown are Japanese specific information, they are also discussed in comparison with the previous study in order that the trend of the results can be understood in different context.

2.4. Analyssi techniques

The results were presented and analysed in a relative manner due to the application of a simplified calculation method. The differences among the frame materials were quantified in relation to the average of all alternatives, utilizing a metric referred to as “difference index (DI)”, as established by Takano et al [16]. A DI value of 3, 2 and 1indicates that the result associated with a particular frame material is 3 times, 2 times and equal to the average, respectively. When a DI value expressed as a decimal, such as 0.5, the result from the frame material is one-half of the average. Furthermore, a DI of 0 denotes that the frame material holds no value concerning that specific indicator.
For the comparative study of alternative frame material combinations, the percentage relative differences (PRD) were used. The original specification of the CLT frame (Table 2) was set as the reference value and PRD in the result of the alternative frame combinations which were determined using Equation (1).
PRD = (Valuex - Valueref ) / Valueref × 100
where: PRD is Percentage of relative differences (%). Valuex is the value calculated with element x (kg-CO2eq, MJ, kg-CFC11eq or kg-SO2eq). Valueref is the value calculated with the original specification (kg-CO2eq, MJ, kg-CFC11eq or kg-SO2eq).
This method allows for the identification of both positive and negative deviations in relation to the reference case, thereby enabling a comparative analysis of an index. For instance, PRDs of 100%, 50% and 0% indicate that the results from the alternative building element are 2 times, 1.5 times and equivalent to those of the reference case, respectively. PRDs with negative values, such as -66.6% and -50%, indicate that the results from the alternative element are, respectively, one-third and one-half of the results arose from the reference case.

3. Results

3.1. Comparison of Structural Frames

Table 3 presents the assessment results of the reference building with the five structural frame alternatives. This table shows the correlation among the frame options and highlights the predominance of each building element in accordance with the indicators. Additionally, Figure 2 illustrates the relative relationship between the frame options as the difference index (DI).
First of all, it is important to note that there is a considerable variation in the results. The magnitude of differences among the frame options varies depending on the indicators. But at the same time, a general tendency can also be seen in the results. For instance, the wooden frame options (P&B, CLT and MH) are below average in the impacts, except EE-R and RU-R of the CLT frame and RU-R of the MH frame. Since RU-R indicates the mass of renewable resources used in the building, it is in proportion to CS and EC. Thus, the CLT and MH show the largest CS and EC, which are higher than GHG and EE. On the other hand, the CLT frame is identified as the least favourable option concerning MC. This would indicate that the CLT frame may entail higher initial cost, but it may yield the greatest environmental benefits in the end, contingent upon the end of life (EoL) scenario for the material, such as energy recovery through thermal recycling. The P&B frame appears to represent a well-balanced option, exhibiting the lowest values for nearly all the indicators while maintaining an adequate amount of CS and EC. The MH frame may also be considered a favourable option, as it is practically equivalent to the P&B frame in terms of environmental impacts and MC, but it has higher CS and EC.
The non-wooden frames (RC and Steel) are notable in the environmental impacts. The RC frame exhibits the worst option regarding GHG, RU-NR, ODP and AP, particularly RU-NR is about 2.5 times greater value than the average of all options. Conversely, the Steel frame is the worst option in terms of EE (both R and NR); however, the differences between the RC and Steel are relatively minor across many indicators. In short, the large quantity of non-renewable resource use (for both energy and material) would be a clear weakness of the non-wooden frames. In terms of MC, the RC and Steel frames are almost the average as they are a common frame option.

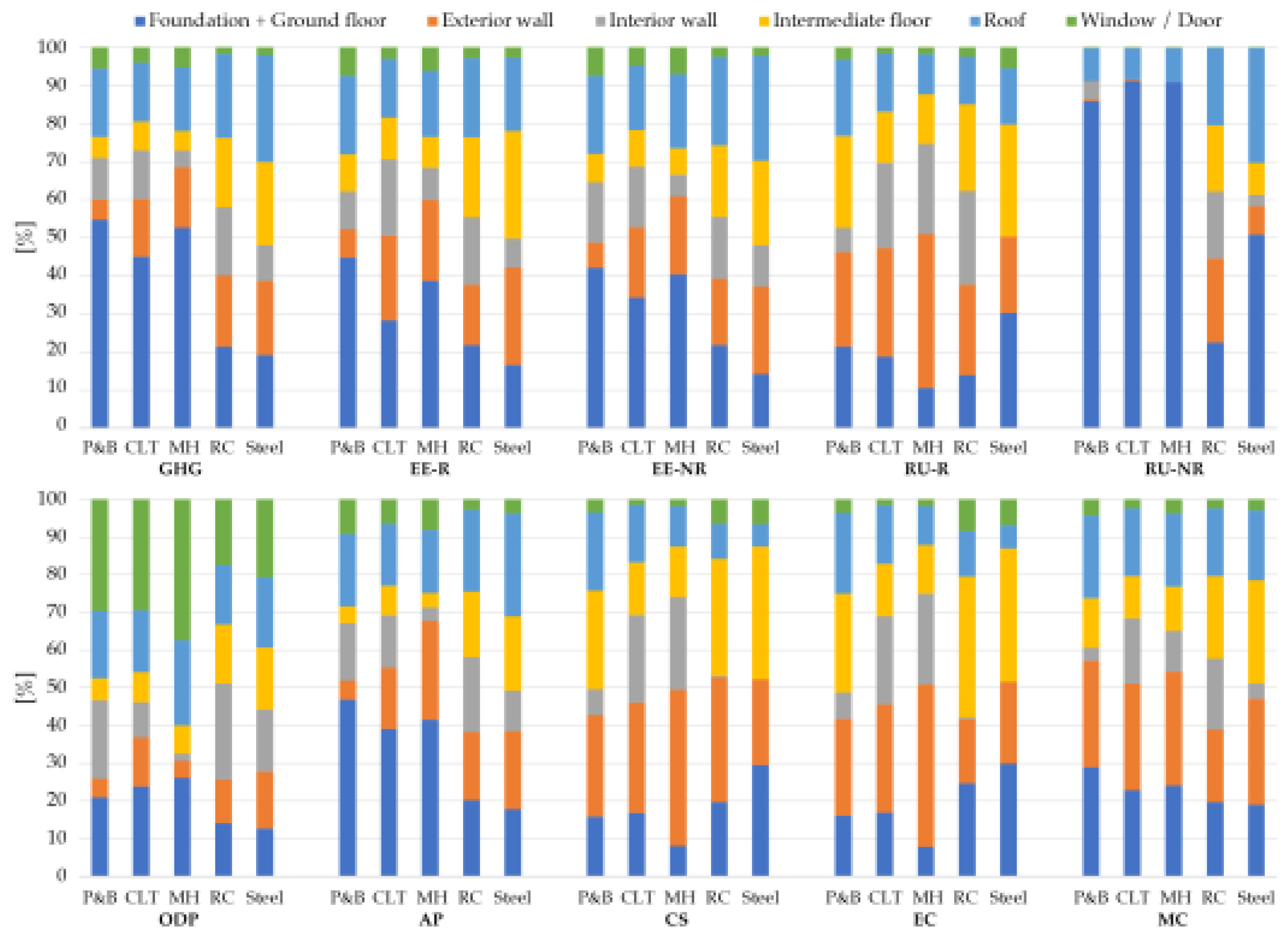
3.1.1. Dominance of building elements

Figure 3 highlights the predominance of each building element as determined by the indicators. The results depend on the indicators, but there is a clear trend. In terms of the environmental impact indicators except ODP, the foundation is significantly the most influential element in the wooden frame options (P&B, CLT and MH), whilst the exterior wall, intermediate floor and roof exhibit substantial contributions in the case of non-wooden frames (RC and Steel). In terms of ODP, the interior wall and window/door emerges as the predominant elements in many cases due to the amount of glass and gypsum used as the surface material. In terms of CS and EC, the exterior wall and interior wall are the primary elements in the massive wooden frames (CLT and MH) because of the large surface area of the elements and the volume of wood product used. In the P&B frame, the exterior wall, intermediate floor and roof share equivalent contributions. In terms of MC, the foundation, exterior wall and roof correctively represent approximately 60-80% of the total. These assessment results indicate that the building envelope (foundation, exterior wall and roof) has the priority across several aspects.

3.1.2. Dominance of building materials

Figure 4 and Table 4 present the assessment results of the reference building concerning the structural frame options in terms of GHG, EE-R/NR, ODP and AP, indicating the dominance of each building material according to the indicators. The environmental indicators where a single material becomes dominant (RU-R/NR, CS, EC,) and MC are excluded in this case. Naturally, the materials used as the structural components have a significant share and concrete and steel are major materials in many cases. However, wood bears high share in the case of the massive wooden frames (CLT and MH). As discussed before, the use of large amount of wood may bring the environmental benefits (CS and EC), but at the same time, it would cause the higher impacts. Therefore, the impacts and benefits caused using wood should be considered concurrently. Gypsum also shows relevant share especially in the case of the lightweight frames (P&B and Steel). The lightweight frame requires sheathing materials and gypsum board is often used because of its reasonable function and cost. But the result would indicate that the environmental parameter should be considered more in the selection of sheathing materials. Glass, plastic and mineral fibre used as the surface and inner components are minor materials in general, but their impacts are notable in terms of ODP.

3.2. Comparison of Alternative Frame Material Combinations

Figure 5 illustrates the PRD in the assessment results of the reference building, which incorporates three alternative building elements in comparison to the original CLT frame elements. The objective of this analysis was to examine the differences among the individual building elements while simultaneously assessing their contributions to the overall results. Overall, MC and the environmental impacts except RU-NR and ODP decrease by about 15-40%, but at the same time, the environmental benefits (CS and EC) decline by about 40% too. The greater influence can be seen in the interior wall and floor because of their substantial surface area (quantity) used. In the case of interior wall, RU-NR and ODP increase by about 5% and 11% respectively, whilst the other indicators decrease by about 5-20%. In the case of floor, every indicator decreases by about 5-15%, except RU-NR, which was equivalent to the reference. These results mainly arise from the replacement of the large amount of massive wood (CLT) used in the elements with smaller wood components, such as timber post and joist, along with sheathing materials. The sheathing material has great influence because of the large quantity of material used. In this case, gypsum board used as the sheathing material led significant impacts in terms of RU-NR and ODP. Although this study acknowledges certain limitations, such as the number of combinations analysed, it effectively demonstrates that the combination of different structural frame significantly influences the overall assessment results.

4. Discussion

The comparison of structural frame alternatives reveals that that the interpretation of the results pertaining to the wooden frame options is significant. Especially the massive wooden frames (CLT and MH) have distinct advantages and disadvantages related to the other life cycle stages, as described above. Understanding the characteristics of these materials is crucial for informed decision-making. In general, the difference among the frame materials is very minor in the use phase of a building, since the maintenance mainly pertains to the surface components. On the other hand, the recycling aspect is critical for mitigating the environmental impacts of buildings, particularly concerning wooden frames [26,27]. For instance, the repurposing of wood as secondary products and its recycling for thermal energy generation will lead different impacts and benefits. This underlines the necessity of effective design methods, such as ensuring disassemblability and reversibility of the frame materials, as well as developing scenarios for the EoL management of these materials. Although this study only dealt with the material production phase of the building, the influence of the EoL of the materials on the environmental and economic performance of buildings is an important topic that should be investigated further. In addition, the findings suggest that environmental consideration should take precedence over economic factors in decision-making, since MC did not exhibit significant variation among the alternative frame options analysed. This finding aligns with trends reported in previous studies [16,28].
In terms of the building elements, in principle, the envelope (foundation, exterior wall and roof) would have higher environmental and economic impacts due to its complex composition in response to the functions required. To mitigate these impacts, simplification of the composition of the element would be a solution. For instance, the use of massive wooden frame like CLT as a structural component can effectively take advantage of the physical properties of wood (e.g. structural strength, low thermal conductivity, thermal/moisture buffering property, fire retardancy). By optimizing these properties, massive wood may have the potential to rationalize the composition of a building by integrating multiple functions into a single component. If advancements are made to ensure that massive wood meets relevant building regulations, such as fire safety and thermal performance, it could serve as a unitary and multi-functional component for the exterior wall. Such developments would contribute to enhance the environmental and economic sustainability of buildings.
The dominance analysis of each building material revealed the importance of both surface and inner components in the multi-criteria decision making. Although structural frame materials tend to be the priority in terms of GHG and EE, which are considered as the main environmental indicators, glass, plastic and mineral fibre used as the surface and inner components exhibit considerable effects on ODP, as previously discussed. Therefore, adopting a broader perspective is essential for sustainable building design based on appropriate material selection. Furthermore, it is important to consider both quantitative (e.g. environmental impacts, cost) and qualitative (e.g. appearance, durability) factors in the process of selecting building materials [16].
From the comparison of frame material combinations, at least, three insights would be found. First, the combination of building elements should be carefully designed rather than constructing a building with a single structural frame material, which is common in reality though. Second, building elements with large quantities need to be considered carefully. Third, the selection of building elements and materials should be done in such a way as to minimize weaknesses (impacts) and maximize strength (benefits) of a building in terms of sustainability. For instance, as shown in this study, it would be reasonable to use CLT in the building envelope by utilizing its structural stiffness and low thermal conductivity. On the other hands, the lightweight frame (e.g. P&B, steel) which makes a building lighter and gives a flexibility to room arrangement may be better for inner elements such as interior wall and floor. The implications of different frame material combinations warrant further investigation from multiple perspectives, including constructivity, aesthetical quality and psychological perception throughout the building’s life cycle.
The selection of materials for sustainable construction presents a multifaceted challenge. A basic approach would be to select materials based on their intended use and specific features on an individual basis. Since there is no universally ideal material, it is essential to handle all materials fairly. The principle of “the right material in the right place” should be a guiding consideration. However, it is often observed that cost considerations take precedence over the other factors. Currently, it remains challenging to weight the environmental impacts on par with material costs during the selection process. Therefore, it is crucial to establish a framework that integrates economic factors with other relevant aspects, allowing for a more balanced decision-making process. For instance, implementing a discount system that correlates with the environmental impacts of products available in the market could expand the range of choice. Additionally, initiatives such as green procurement and a tax system for building materials, including a carbon tax, may serve as effective measures. Furthermore, adopting a post-use material purchasing strategy could enhance recycling efforts, as evidenced by practices in the automotive industry.

5. Conclusions

This study demonstrated the effect of building material selection on the embodied environmental impacts, environmental benefits and material cost associated with a building in a Japanese context. The influences of the selection were studied on the five structural frame options in a comparative manner using a reference building model. Even though the results relating to the material costs are specific to Japanese buildings, the other results can be used and extrapolated in wider context.
A primary aim of this study was to objectively and quantitatively describe the features of each building material from multiple perspectives. This paper indicates the significance of expressing and understanding the diversity of the materials. In addition, the findings indicate which building elements and components should be prioritized to improve the sustainability of a building from a material standpoint. It is acknowledged that no single material is ideal in all respects. Therefore, it is crucial for sustainable building design to select appropriate materials based on their intended use and specific features on a case-by-case basis. Additionally, to expand the range of selection, it is important to develop the market system.
The goal of this research is to enhance the multi-criteria decision-making processes for stakeholders in the construction sector. To achieve this goal, however, this study is constrained by the limited number of case studies that encompass specific material types and sustainability indicators. Consequently, conducting additional case studies would be essential for generalizing the findings and fostering a more thorough understanding of building materials in sustainable construction. For a more diverse understanding of the interplay between material selection and sustainable building design, it would be imperative to consider a broad range of factors, including other building life cycle phases (e.g. end-of-life), different building types, scales, geometries, a wider array of materials, different material combinations and additional sustainable indicators.

Author Contributions

Conceptualization, A.T.; methodology, A.T.; software, A.T. and M.A.; validation, A.T. and M.A.; formal analysis, A.T. and M.A.; investigation, A.T. and M.A.; resources, A.T. and M.A.; Data curation, A.T.; writing—original draft preparation, A.T. and M.A.; writing—review and editing, A.T.; visualization, A.T. and M.A.; supervision, A.T.; project administration, A.T.; funding acquisition, A.T. All authors have read and agreed to the published version of the manuscript.

Funding

This research received no external funding.

Conflicts of Interest

The authors declare no conflicts of interest.

References

  1. AR6 Climate Change 2021: The Physical Science Basis. IPCC. 2021. Available online: https://www.ipcc.ch/report/ar6/wg1/#FullReport (accessed 09 November 2023).
  2. Llantoy, N.; Chàfer, M.; Cabeza, F.L. A comparative life cycle assessment (LCA) of different insulation materials for buildings in the continental Mediterranean climate. Energy Build. 2020, 225, 110323. [CrossRef]
  3. Schiavoni, S.; D׳Alessandro, F.; Bianchi, F.; Asdrubali, F. Insulation materials for the building sector: A review and comparative analysis. Renew. Sustain. Energy Rev. 2016, 62, 988-1011. [CrossRef]
  4. Nwodo, M. N.; Anumba, C.J. A review of life cycle assessment of buildings using a systematic approach. Build Environ. 2019, 162, 106290. [CrossRef]
  5. König, H.; Kohler, N.; Kreißig, J.; Lützkendorf, T. A life cycle approach to buildings: Principles, calculations, design tools. Institut für internationale Architektur-Dokumentation GmbH & Co. KG: Munich, Germany, 2010.
  6. Kotaji, S.; Schuurmans, A.; Edwards, S. Life- cycle assessment in building and construction: a state-of-the -art report of SETAC-Europe. Society of Environmental Toxicology & Chemist (SETAC): Brussels, Belgium, 2003.
  7. Hu, M. Building impact assessment-A combined life cycle assessment and multi-criteria decision analysis framework. Resour. Conserv. Recycl. 2019, 150, 104410. [CrossRef]
  8. Kerr J.; Rayburg S.; Neave M.; Rodwell J. Comparative Analysis of the Global Warming Potential (GWP) of Structural Stone, Concrete and Steel Construction Materials. Sustainability. 2022, 14, 9019. [CrossRef]
  9. Thormark, C. The effect of material choice on the total energy need and recycling potential of a building. Build Environ. 2006, 41, 1019-1026. [CrossRef]
  10. Tavares, V.; Lacerda, N.; Freire, F. Embodied energy and greenhouse gas emissions analysis of a prefabricated modular house: The “Moby” case study. J. Clean. Prod. 2021, 212, 1044-1053. [CrossRef]
  11. Takano, A.; Pal, S.K.; Kuittinen, M.; Alanne, K.; Hughes, M.; Winter, S. The effect of material selection on life cycle energy balance: A case study on a hypothetical building model in Finland. Build Environ. 2015, 89, 192-202. [CrossRef]
  12. Feng, H.; Zhao, J.; Hollberg, A.; Habert, G. Where to focus? Developing a LCA impact category selection tool for manufactures of building materials. J. Clean. Prod. 2023, 405, 136936. [CrossRef]
  13. Invidiata, A.; Lavagnab, M.; GhisiE. Selecting design strategies using multi-criteria decision making to improve the sustainability of buildings. Build Environ. 2018, 139, 58-68. [CrossRef]
  14. Chen, C.X.; Pierobon, E.; Jones, S.; Maples, L.; Gong, Y.; Ganguly, I. Comparative Life Cycle Assessment of Mass Timber and Concrete Residential Buildings: A case study in China. Sustainability. 2022, 14, 144. [CrossRef]
  15. Geß, A.; Lorenz, M.; Tolsdorf, A.; Albrecht, S. Environmental impacts of Renewable Insulation Materials. Sustainability. 2021, 13, 8505. [CrossRef]
  16. Takano, A.; Hughes, M.; Winter, S. A multidisciplinary approach to sustainable building material selection: A case study in a Finnish context. Build Environ. 2014, 84, 526-535. [CrossRef]
  17. Balasbaneh, A.T.; Yeoh, D.; Juki, M.I.; Gohari, A.; Abidin, A.R.Z.; Marsono, A.K.B. Applying three pillar indicator assessments on alternative floor systems: life cycle study. Int. J. Life Cycle Assess. 2021, 26, 1439-1435. [CrossRef]
  18. Balasbaneh, A.T.; Marsono, A.K.B. Applying multi-criteria decision-making on alternatives for earth-retaining walls: LCA, LCC, and S-LCA. Int. J. Life Cycle Assess. 2020, 25, 2140-2153. [CrossRef]
  19. Iwashita, Y.; Hurumoto, K.; Okuya, K.; Isono, S. Architectural structure and construction method. Inoue Shoin: Tokyo, Japan, 2016.
  20. Overview of the Act on the improvement of energy consumption performance of buildings. Institute for Building Environment and Energy Conservation (IBEC). 2016. Available online: https://www.mlit.go.jp/common/001134876.pdf (accessed 26 September 2023).
  21. The National Institute of Advanced Industrial Science and Technology. Inventory Database for Environmental Analysis (IDEA), v3.3. Japan, 2024.
  22. CEN. EN 16485: Round and sawn timber - Environmental Product Declarations - Product category rules for wood and wood-based products for use in construction. European Committee for Standardization: Brussels, Belgium, 2014.
  23. CEN. EN 16449: Wood and wood-based products – calculation of the biogenic carbon content of wood and conversion to carbon dioxide. European Committee for Standardization: Brussels, Belgium, 2014.
  24. Suzuki, Y. Material and energy utilization of forest resource, J. Jpn. Forest Eng. Soc. 2012, 27 (1), pp.69-80.
  25. Economic Research Association. Price Data for Construction Cost Estimating. Economic Research Association: Tokyo, Japan, April 2021.
  26. Blay-Armah, A.; Mohebbi, G.; Bahadori-Jahromi, A.; Fu, C.; Amoako-Attah, J.; Barthorpe, M. Evaluation of Embodied Carbon Emission in UK Supermarket Constructions: A Study on Steel, Brick, and Timber Frameworks with consideration of End-of-Life Processes. Sustainability. 2023, 15, 14978. [CrossRef]
  27. Dodoo, A.; Gustavsson, L.; Sathre, R. Effect of thermal mass on life cycle primary energy balances of a concrete- and a wood-frame building. Appl Energ. 2012, 92: 462-472. [CrossRef]
  28. Yasantha, A.U.G.; Babel, S.; Gheewala, S. A matrix in life cycle perspective for selecting sustainable materials for buildings in Sri Lanka. Build Environ. 2009, 44: 997-1004. [CrossRef]
Figure 1. Basic plan and section of the reference building with the indication of building elements.
Figure 1. Basic plan and section of the reference building with the indication of building elements.
Preprints 150247 g001
Figure 2. Difference index of the reference building with the five frame materials on the indicators.
Figure 2. Difference index of the reference building with the five frame materials on the indicators.
Preprints 150247 g002
Figure 3. Dominance of the building elements with the five frame materials on the indicators.
Figure 3. Dominance of the building elements with the five frame materials on the indicators.
Preprints 150247 g003
Figure 4. Dominance of the building materials with the five frame materials on the indicators.
Figure 4. Dominance of the building materials with the five frame materials on the indicators.
Preprints 150247 g004
Figure 5. Percentage relative differences in the assessment results of the reference building caused by the alternative frame material combinations (Reference is the CLT frame).
Figure 5. Percentage relative differences in the assessment results of the reference building caused by the alternative frame material combinations (Reference is the CLT frame).
Preprints 150247 g005
Table 1. Floor area of the reference building and surface area of each building element used in the calculation (m2).
Table 1. Floor area of the reference building and surface area of each building element used in the calculation (m2).
Building element Area (m2)
Gross floor area 212
Foundation + Ground floor 106
Exterior wall 251
Interior wall 265
Intermediate floor (including Staircase) 106
Roof 151
Window / Door 82
Table 2. Structure of each building element with the five frame materials (t=mm).
Table 2. Structure of each building element with the five frame materials (t=mm).
Frame Foundation Exterior wall Interior wall Ground floor Intermediate floor Roof
Material t Material t Material t Material t Material t Material t
P&B Concrete slab 120 Wood cladding 18 Gypsum board 12.5 Wooden Flooring 15 Wooden Flooring 15 Roof tile 18
Concrete footing 830 Batten: 30×30 30 Post: 105×105 105 Plywood 15 Plywood 9 Waterproof sheet -
Waterproof sheet - Stud: 30×105 105 Joist: 45×105 105 Joist: 30×105 105 Cedar board 15
Post: 105×105 105 Gypsum board 12.5 Glass wool 105 Beam: 105×300 300 Rafter: 45×45 45
Glass wool 65 Joist: 105×105 105 Joist: 45×30 30 Glass wool 150
Airtight sheet - Cedar board 9 Joist: 45×30 30
Batten: 30×45 30 Gypsum board 9.5
Cedar board 12
Table 2. Cont.
CLT Concrete slab 150 Wooden cladding 18 CLT 90 Wooden Flooring 15 Wooden Flooring 15 Roof tile 18
Concrete footing 610 Batten: 30×30 20 Plywood 15 Plywood 9 Waterproof sheet -
Waterproof sheet - Joist: 45×75 75 Joist: 45×45 45 Cedar board 15
Glass wool 40 Glass wool 75 CLT 105 Rafter: 45×45 45
CLT 105 CLT 105 Glass wool 140
CLT 90
MH Concrete slab 150 Wooden cladding 18 Post: 105×105 105 Wooden Flooring 15 Wooden Flooring 15 Roof tile 18
Concrete footing 610 Batten: 60×90 60 Massive Holz 90 Plywood 15 Plywood 9 Waterproof sheet -
Waterproof sheet - Joist: 45×105 105 Joist: 30×105 105 Cedar board 15
Glass wool 50 Glass wool 105 Beam: 105×300 300 Rafter: 45×45 45
Massive Holz 105 Joist: 45×30 30 Glass wool 150
Cedar board 9 Joist: 45×30 30
Gypsum board 9.5
RC Concrete slab 200 Concrete 150 Gypsum board 12.5 Wooden Flooring 15 Wooden Flooring 12 Waterproof sheet -
EPS 100 EPS 50 Batten: 30×45 30 Plywood 15 Plywood 12 Mortar 50
Concrete footing 750 Batten: 30×45 30 Concrete 120 Joist: 45×45 45 Joist: 45×75 75 Concrete 150
Plywood 12 Batten: 30×45 30 Concrete 150 EPS 150
Cedar board 12 Gypsum board 12.5 Joist: 45×45 45 Joist: 45×45 45
Plywood 12 Plywood 9
Gypsum board 9.5 Gypsum board 9.5
Steel Concrete slab 120 ALC panel 50 Gypsum board 15 Wooden Flooring 15 Oak Flooring 15 Waterproof sheet -
Concrete footing 480 C-60×30×1.6 60 C-75×45×2.3 75 Plywood 15 Plywood 12 Mortar 20
Waterproof sheet - Gypsum board 15 EPS 100 Joist: 60×45 45 Concrete 150
EPS 50 Joist: 60×60 60 Joist: 90×90 90 Deck plate -
C-38×15×1.6 15 Joist: 90×90 90 ALC panel 120 EPS 150
Plywood 9 H-400×200×8×13 400 □-50×50×1.6 50
Cedar board 12 □-50×50×1.6 50 Plywood 9
Plywood 9 Gypsum board 9.5
Gypsum board 9.5
Table 3. The assessment results of the reference building according as the five alternative frame materials: categorized by the building elements (Functional unit is gross floor area).
Table 3. The assessment results of the reference building according as the five alternative frame materials: categorized by the building elements (Functional unit is gross floor area).
GHG EE-R EE-NR RU-R RU-NR
Frame Element kgCO2eq % MJ % MJ % kg % kg %
P&B Foundation
+ Ground floor
80 55 73 45 650 42 20 21 374 86
P&B Exterior wall 8 5 12 8 102 7 23 25 3 1
Interior wall 16 11 16 10 243 16 6 6 21 5
Intermediate floor 8 5 16 10 114 7 23 24 0 0
Roof 26 18 34 21 318 21 19 20 37 9
Window/Door 8 6 12 7 113 7 3 3 1 0
Total 146 163 1,540 94 435
CLT Foundation
+ Ground floor
93 45 110 28 820 34 38 19 380 91
Exterior wall 31 15 86 22 443 19 57 28 2 0
Interior wall 26 13 78 20 377 16 45 22 0 0
Intermediate floor 16 8 42 11 231 10 27 14 0 0
Roof 32 15 60 15 406 17 31 15 34 8
Window/Door 8 4 12 3 113 5 3 1 1 0
Total 206 388 2,391 202 417
MH Foundation
+ Ground floor
82 53 76 39 659 40 19 11 380 91
Exterior wall 25 16 41 21 332 20 71 40 0 0
Interior wall 7 4 17 9 92 6 42 24 0 0
Intermediate floor 8 5 16 8 114 7 23 13 0 0
Roof 26 17 34 17 318 20 19 11 37 9
Window/Door 8 5 12 6 113 7 3 2 1 0
Total 156 196 1,628 176 419
RC Foundation
+ Ground floor
94 21 77 22 795 22 14 14 474 22
Exterior wall 82 19 56 16 637 17 24 24 465 22
Interior wall 78 18 63 18 595 16 25 25 373 18
Intermediate floor 80 18 74 21 680 19 23 23 365 17
Roof 97 22 73 21 842 23 13 13 431 20
Window/Door 7 2 10 3 96 3 3 2 1 0
Total 438 353 3,645 102 2,109
Steel Foundation
+ Ground floor
75 19 71 17 693 14 14 30 424 51
Exterior wall 76 20 110 26 1,110 23 9 20 63 8
Interior wall 36 9 32 7 523 11 0 0 24 3
Intermediate floor 85 22 120 28 1,080 22 14 29 70 8
Roof 110 28 82 19 1,329 27 7 15 252 30
Window/Door 8 2 11 3 108 2 3 5 1 0
Total 390 426 4,843 46 835
ODP AP CS EC MC
Frame Element kgCFC11eq % kgSO2eq % kgCO2eq % MJ % JPY %
P&B Foundation
+ Ground floor
2.8.E-06 21 4.0.E-02 47 -25 16 -212 16 12,868 29
Exterior wall 6.7.E-07 5 4.5.E-03 5 -43 27 -340 26 12,566 28
Interior wall 2.8.E-06 21 1.3.E-02 15 -11 7 -93 7 1,529 3
Intermediate floor 7.9.E-07 6 3.7.E-03 4 -42 26 -345 26 5,888 13
Roof 2.4.E-06 18 1.6.E-02 19 -33 21 -282 21 9,787 22
Window/Door 4.0.E-06 30 8.0.E-03 9 -6 3 -48 4 1,867 4
Total 1.4.E-05 8.6.E-02 -160 -1,320 44,505
CLT Foundation
+ Ground floor
3.3.E-06 24 4.8.E-02 39 -63 17 -517 17 17,932 23
Exterior wall 1.8.E-06 13 2.0.E-02 16 -111 29 -878 29 22,139 28
Interior wall 1.3.E-06 9 1.7.E-02 14 -88 23 -707 23 13,506 17
Intermediate floor 1.1.E-06 8 9.6.E-03 8 -53 14 -426 14 8,841 11
Roof 2.3.E-06 17 2.0.E-02 16 -58 15 -473 16 14,071 18
Window/Door 4.0.E-06 29 8.0.E-03 7 -6 1 -48 2 1,867 2
Total 1.4.E-05 1.2.E-01 -379 -3,048 78,356
MH Foundation
+ Ground floor
2.8.E-06 26 4.1.E-02 41 -25 8 -212 8 12,147 24
Exterior wall 4.9.E-07 5 2.6.E-02 26 -128 41 -1,163 43 15,198 30
Interior wall 2.0.E-07 2 3.4.E-03 3 -76 25 -653 24 5,454 11
Intermediate floor 7.9.E-07 7 3.7.E-03 4 -42 13 -345 13 5,888 12
Roof 2.4.E-06 23 1.6.E-02 17 -33 11 -282 10 9,787 19
Window/Door 4.0.E-06 37 8.0.E-03 8 -6 2 -48 2 1,867 4
Total 1.1.E-05 9.8.E-02 -311 -2,703 50,342
RC Foundation
+ Ground floor
2.8.E-06 14 4.9.E-02 20 -14 20 -115 25 12,985 20
Exterior wall 2.3.E-06 11 4.3.E-02 18 -24 33 -80 17 12,728 19
Interior wall 5.1.E-06 26 4.8.E-02 20 0 0 -2 0 12,372 19
Intermediate floor 3.1.E-06 16 4.2.E-02 17 -22 31 -174 37 14,326 22
Roof 3.2.E-06 16 5.2.E-02 22 -7 9 -56 12 11,811 18
Window/Door 3.5.E-06 17 6.8.E-03 3 -5 6 -39 8 1,578 2
Total 2.0.E-05 2.4.E-01 -71 -467 65,801
Steel Foundation
+ Ground floor
2.5.E-06 13 3.8.E-02 18 -21 30 -171 30 10,216 19
Exterior wall 3.0.E-06 15 4.4.E-02 21 -16 23 -124 22 15,191 28
Interior wall 3.3.E-06 16 2.3.E-02 11 0 0 0 0 2,173 4
Intermediate floor 3.3.E-06 17 4.2.E-02 20 -25 35 -202 35 14,793 27
Roof 3.7.E-06 19 5.9.E-02 27 -4 6 -35 6 9,990 19
Window/Door 4.1.E-06 21 7.9.E-03 4 -5 7 -39 7 1,578 3
Total 2.0.E-05 2.1.E-01 -70 -571 53,942
Table 4. The assessment results of the reference building according as the five alternative frame materials: categorized by the materials (Functional unit is gross floor area).
Table 4. The assessment results of the reference building according as the five alternative frame materials: categorized by the materials (Functional unit is gross floor area).
GHG EE-R EE-NR ODP AP
Frame Element kgCO2eq % MJ % MJ % kgCFC11eq % kgSO2eq %
P&B Concrete 57 39 32 20 389 25 8.7.E-07 6 3.0.E-02 35
Steel 28 19 43 26 258 17 1.2.E-06 9 1.3.E-02 16
Wood 32 22 58 36 451 29 3.6.E-06 27 1.7.E-02 19
Glass 4 3 5 3 51 3 2.9.E-06 22 4.6.E-03 5
Plastics 1 1 0 0 33 2 1.4.E-07 1 1.4.E-03 2
Gypsum 18 12 17 10 281 18 3.4.E-06 25 1.5.E-02 18
Mineral fiber 6 4 7 4 78 5 1.3.E-06 10 4.6.E-03 5
Total 146 163 1,540 1.4.E-05 8.6.E-02
Table 4. Cont.
CLT Concrete 57 28 32 8 392 16 8.7.E-07 6 3.0.E-02 25
Steel 30 15 47 12 275 12 1.3.E-06 9 1.4.E-02 12
Wood 110 53 297 77 1,585 66 7.4.E-06 54 6.9.E-02 56
Glass 4 2 5 1 51 2 2.9.E-06 21 4.6.E-03 4
Plastics 1 0 0 0 22 1 9.8.E-08 1 9.6.E-04 1
Gypsum 0 0 0 0 0 0 0 0 0 0
Mineral fiber 5 2 6 2 65 3 1.1.E-06 8 3.9.E-03 3
Total 206 388 2,391 1.4.E-05 1.2.E-01
MH Concrete 57 37 32 16 392 24 8.7.E-07 8 3.0.E-02 31
Steel 30 19 47 24 275 17 1.3.E-06 12 1.4.E-02 14
Wood 57 36 104 53 786 48 4.0.E-06 38 4.3.E-02 43
Glass 4 3 5 3 51 3 2.9.E-06 27 4.6.E-03 5
Plastics 1 0 0 0 20 1 8.8.E-08 1 8.7.E-04 1
Gypsum 3 2 3 2 51 3 6.2.E-07 6 2.8.E-03 3
Mineral fiber 4 2 5 2 52 3 8.7.E-07 8 3.1.E-03 3
Total 156 196 1,628 1.1.E-05 9.8.E-02
RC Concrete 245 56 79 22 1,386 38 1.0.E-06 5 1.2.E-01 51
Steel 116 26 181 51 1,113 31 5.4.E-06 27 6.2.E-02 26
Wood 45 10 68 19 693 19 6.9.E-06 35 2.6.E-02 11
Glass 4 1 5 1 45 1 2.6.E-06 13 4.0.E-03 2
Plastics 11 2 3 1 304 8 6.1.E-07 3 1.1.E-02 5
Gypsum 18 4 17 5 104 3 3.4.E-06 17 1.5.E-02 6
Mineral fiber 0 0 0 0 0 0 0 0 0 0
Total 438 353 3,645 2.0.E-05 2.4.E-01
Steel Concrete 111 29 153 36 833 17 1.4.E-06 7 5.4.E-02 25
Steel 211 54 203 48 2,697 56 6.1.E-06 31 1.0.E-01 48
Wood 23 6 38 9 362 7 3.5.E-06 18 1.3.E-02 6
Glass 5 1 6 1 57 1 3.2.E-06 16 5.0.E-03 2
Plastics 19 5 7 2 566 12 1.6.E-06 8 2.2.E-02 10
Gypsum 21 5 20 5 328 7 4.0.E-06 20 1.8.E-02 8
Mineral fiber 0 0 0 0 0 0 0 0 0 0
Total 390 426 4,843 2.0.E-05 2.1.E-01
Disclaimer/Publisher’s Note: The statements, opinions and data contained in all publications are solely those of the individual author(s) and contributor(s) and not of MDPI and/or the editor(s). MDPI and/or the editor(s) disclaim responsibility for any injury to people or property resulting from any ideas, methods, instructions or products referred to in the content.
Copyright: This open access article is published under a Creative Commons CC BY 4.0 license, which permit the free download, distribution, and reuse, provided that the author and preprint are cited in any reuse.
Prerpints.org logo

Preprints.org is a free preprint server supported by MDPI in Basel, Switzerland.

Subscribe

Disclaimer

Terms of Use

Privacy Policy

Privacy Settings

© 2026 MDPI (Basel, Switzerland) unless otherwise stated