Submitted:
14 February 2025
Posted:
14 February 2025
You are already at the latest version
Abstract
Keywords:
1. Introduction
2. FOWT Model and Fatigue Reliability Analysis Method
2.1. Numerical Model of FOWT
2.2. Probabilistic Modeling of Long-Term Joint Wind and Wave Loads
2.3. Fatigue Damage Location and Stress Calculation
2.4. Rainflow Counting Method
2.5. S-N Curve
2.6. Fatigue Cumulative Damage Theory
2.7. Fatigue Reliability Analysis via DPIM
3. Numerical Examples
3.1. Stochastic Response Analysis of Wind Turbines Under Combined Wind-Wave Excitation
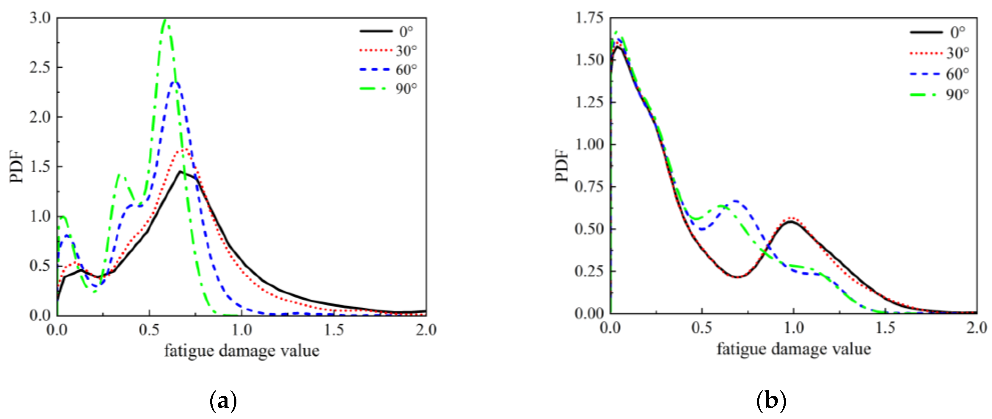
3.2. Fatigue Damage Analysis of Wind Turbines Under Combined Wind-Wave Excitation
3.3. Fatigue Reliability Analysis of Wind Turbines Under Combined Wind-Wave Excitation
4. Conclusions
Author Contributions
Funding
Institutional Review Board Statement
Informed Consent Statement
Data Availability Statement
Acknowledgments
Conflicts of Interest
References
- Fernando, P.-A.; Majid, B.; Sina, S. Wind-Turbine and Wind-Farm Flows: A Review. Bound-Lay Meteor. 2020, 174, 1–59. [Google Scholar]
- Gui, Q.; Zhang, G.Y.; Chai, Y.B.; Li, W. A finite element method with cover functions for underwater acoustic propagation problems. Ocean Eng. 2022, 243, 110174. [Google Scholar] [CrossRef]
- Toft, H.S.; Sørensen, J.D. Reliability-based design of wind turbine blades. Struct Saf. 2011, 33, 333–342. [Google Scholar] [CrossRef]
- Xu, K.; Larsen, K.; Shao, Y.L.; Zhang, M.; Gao, Z.; Moan, T. Design and comparative analysis of alternative mooring systems for floating wind turbines in shallow water with emphasis on ultimate limit state design. Ocean Eng. 2021, 219, 108377. [Google Scholar] [CrossRef]
- Colone, L.; Natarajan, A.; Dimitrov, N. Impact of turbulence induced loads and wave kinematic models on fatigue reliability estimates of offshore wind turbine monopiles. Ocean Eng. 2018, 155, 295–309. [Google Scholar] [CrossRef]
- Wilkie, D.; Galasso, C. Gaussian process regression for fatigue reliability analysis of offshore wind turbines. Struct Saf. 2021, 88, 102020. [Google Scholar] [CrossRef]
- Fu, B.; Zhao, J.B.; Li, B.Q.; Yao, J.; Teifouet, A.R.M.; Sun, L.Y.; Wang, Z.Y. Fatigue reliability analysis of wind turbine tower under random wind load. Struct Saf. 2020, 87, 101982. [Google Scholar] [CrossRef]
- Zhao, G.H.; Dong, S.; Zhao, Y.L. Fatigue reliability analysis of floating offshore wind turbines under the random environmental conditions based on surrogate model. Ocean Eng. 2024, 314, 119686. [Google Scholar] [CrossRef]
- Valdebenito, M.A.; Jensen, H.A.; Labarca, A.A. Estimation of first excursion probabilities for uncertain stochastic linear systems subject to Gaussian load. Comput Struct. 2014, 138, 36–48. [Google Scholar] [CrossRef]
- Li, J.; Chen, J.B. Stochastic Dynamics of Structures; John Wiley & Sons, Ltd: Singapore, 2009; pp. 192–195. [Google Scholar] [CrossRef]
- Melchers, R.E.; Beck, A.T. Structural reliability analysis and prediction, 2nd ed.; John Wiley & Sons: New York, USA, 2017; pp. 95–130. [Google Scholar] [CrossRef]
- Chen, G.H.; Yang, D.X. Direct probability integral method for stochastic response analysis of static and dynamic structural systems. Comput Methods Appl Mech Eng. 2019, 357, 112612. [Google Scholar] [CrossRef]
- Chen, G.H.; Yang, D.X. A unified analysis framework of static and dynamic structural reliabilities based on direct probability integral method. Mech Syst Signal Process. 2021, 158, 107783. [Google Scholar] [CrossRef]
- Meng, Z.; Zhao, J.Y.; Chen, G.H.; Yang, D.X. Hybrid uncertainty propagation and reliability analysis using direct probability integral method and exponential convex model. Reliab. Eng. Syst. Saf. 2022, 228, 108803. [Google Scholar] [CrossRef]
- Jonkman, J.M.; Butterfield, S.; Musial, W.; Scott, G. Definition of a 5-MW Reference Wind Turbine for Offshore System Development. 2009. [CrossRef]
- DNV-RP-C203: Fatigue design of offshore steel structures. 2011.
- Miner, M.A. Cumulative Damage in Fatigue. J. Appl. Mech. 1945, 12, A159–A164. [Google Scholar] [CrossRef]
- Jonkman, J.M. Definition of the Floating System for Phase IV of OC3. 2005. [CrossRef]
- Jonkman, J.M.; Buhl, J.M. FAST User's Guide. 2005. [CrossRef]
- Roald, L.; Jonkman, J.M.; Robertson, A.; Chokani, N. The Effect of Second-order Hydrodynamics on Floating Offshore Wind Turbines. Energy Procedia. 2013, 35, 253–264. [Google Scholar] [CrossRef]
- Wind energy generation systems-Part 3-2: Design requirements for floating offshore wind turbines. 2019.
- Dee, D.P.; Uppala, S.M.; Simmons, A.J.; Berrisford, P.; Poli, P. , et al. The ERA-Interim reanalysis: configuration and performance of the data assimilation system. Q. J. R. Meteorolog. Soc. 2011, 137, 553–597. [Google Scholar] [CrossRef]
- Song, Y.P.; Sun, T.; Zhang, Z.L. Fatigue reliability analysis of floating offshore wind turbines considering the uncertainty due to finite sampling of load conditions. Renew. Energy. 2023, 212, 570–588. [Google Scholar] [CrossRef]
- Kvittem, M.I.; Moan, T. Time domain analysis procedures for fatigue assessment of a semi-submersible wind turbine. Mar. struct. 2015, 40, 38–59. [Google Scholar] [CrossRef]
- Matsuichi, M.; Endo, T. Fatigue of metals subjected to varying stress. John Wiley & Sons: New York, USA, 1968.









| Parameter | Value |
| Rating | 5 MW |
| Rotor orientation, configuration | Upwind, 3 blades |
| Rotor and hub diameter, hub height | 126 m, 3 m, 90 m |
| Cut-in, rated, cut-out wind speed | 3 m/s, 11.4 m/s, 25 m/s |
| Cut-in, rated root speed | 6.9 rpm, 12.1 rpm |
| Elevation to tower base above SWL | 10 m |
| Tower base diameter, tower base thickness | 6.5 m, 0.027 m |
| Variable | Distribution type | Distribution parameters | |
|---|---|---|---|
| Truncated Weibull |
|
||
| Lognormal |
|
||
| Lognormal |
|
Disclaimer/Publisher’s Note: The statements, opinions and data contained in all publications are solely those of the individual author(s) and contributor(s) and not of MDPI and/or the editor(s). MDPI and/or the editor(s) disclaim responsibility for any injury to people or property resulting from any ideas, methods, instructions or products referred to in the content. |
© 2025 by the authors. Licensee MDPI, Basel, Switzerland. This article is an open access article distributed under the terms and conditions of the Creative Commons Attribution (CC BY) license (http://creativecommons.org/licenses/by/4.0/).