Submitted:
11 February 2025
Posted:
12 February 2025
You are already at the latest version
Abstract
Keywords:
1. Introduction
- Technical assistance strategies
- Behavioural barriers
- Financial schemes
- Economic and social barriers
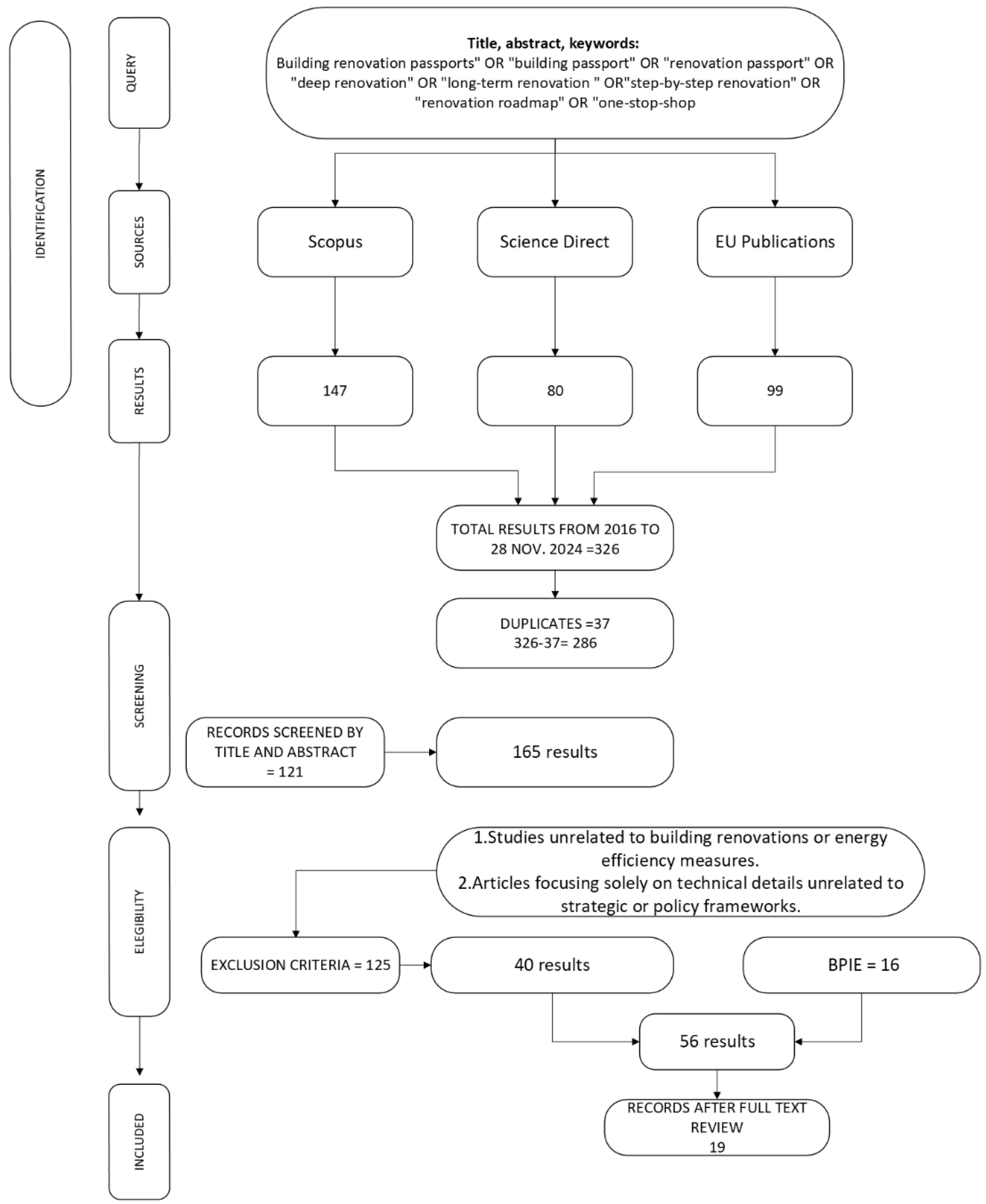
2. Methodology
- Research addressing building renovation plans or strategies, particularly those focused on energy-efficient renovations;
- Studies exploring technical assistance, financial schemes, economic and behavioural barriers, or social impacts of long-term efficient renovations;
- Studies, reports, or policies relevant to the European Union with building renovation frameworks.
- Studies unrelated to building renovations or energy efficiency measures;
- Articles focusing solely on technical details unrelated to strategic or policy frameworks.
3. Results and Discussion
3.1. Technical Assistance Strategies
3.2. Behavioural Barriers
3.3. Financial Mechanisms
3.4. Economic and Social Challenges
4. Policies and Practical Recommendations
5. Conclusions
Funding
Conflicts of Interest
Abbreviations
| BIM | Building Information Modelling |
| BPIE | Buildings Performance Institute Europe |
| DBL | Digital Building Logbook |
| EC | European Commission |
| EE | Energy Efficiency |
| EED | Energy Efficiency Directive |
| EPBD | Energy Performance of Buildings Directive |
| EPC | Energy Performance Certificate |
| ESCO | Energy Service Company |
| EU | European Union |
| GHG | Greenhouse Gases |
| IAQ | Indoor Air Quality |
| IEA | International Energy Agency |
| IEQ | Indoor Environmental Quality |
| IPCC | Intergovernmental Panel on Climate Change |
| LCA | Life Cycle Assessment |
| NZEB | Nearly Zero-Energy Buildings |
| OSS | One-stop-shops |
| PACE | Property Assessed Clean Energy |
| RED | Renewable Energy Directive |
| RP | Renovation Passport |
| SME | Small Medium-sized Enterprises |
| SRI | Smart Readiness Indicator |
| UN | United Nations |
| UNFCC | United Nations Framework Convention on Climate Change |
| ZEB | Zero Energy Building |
References
- J. Cifuentes-Faura, 'European Union policies and their role in combating climate change over the years', Air Qual Atmos Health, vol. 15, no. 8, pp. 1333–1340, Aug. 2022. [CrossRef]
- S. Chatterjee, B. Kiss, D. Ürge-Vorsatz, and S. Teske, 'Decarbonisation Pathways for Buildings', 2022, pp. 161–185. [CrossRef]
- U. N. Environment, 'Global Status Report for Buildings and Construction | UNEP - UN Environment Programme'. Accessed: Sep. 21, 2024. [Online]. Available: https://www.unep.org/resources/report/global-status-report-buildings-and-construction.
- S. Oberthür and C. Dupont, 'The European Union's international climate leadership: towards a grand climate strategy?', Journal of European Public Policy, vol. 28, no. 7, pp. 1095–1114, Jul. 2021. [CrossRef]
- G. Claeys, S. Tagliapietra, and G. Zachmann, 'How to make the European Green Deal work', Bruegel | The Brussels-based economic think tank. Accessed: Sep. 30, 2024. [Online]. Available: https://www.bruegel.org/policy-brief/how-make-european-green-deal-work.
- A. Haines and P. Scheelbeek, 'European Green Deal: a major opportunity for health improvement', The Lancet, vol. 395, no. 10233, pp. 1327–1329, Apr. 2020. [CrossRef]
- 'EU Buildings Climate Tracker 3rd edition > BPIE - Buildings Performance Institute Europe', BPIE - Buildings Performance Institute Europe. Accessed: Jan. 27, 2025. [Online]. Available: https://www.bpie.eu/publication/eu-buildings-climate-tracker-3rd-edition/.
- S. Gokarakonda and E. Bankert, 'Accelerating deep renovation in the EU with renovation passports', BPIE- iBRoad2EPC, Jun. 2024. Accessed: Oct. 14, 2024. [Online]. Available: https://www.bpie.eu/publication/accelerating-deep-renovation-eu-renovation-passports/.
- B. Mainali, K. Mahapatra, and G. Pardalis, 'Strategies for deep renovation market of detached houses', Renewable and Sustainable Energy Reviews, vol. 138, p. 110659, Mar. 2021. [CrossRef]
- J. P. Gouveia, L. Aelenei, D. Aelenei, R. Ourives, and S. Bessa, 'Improving the Energy Performance of Public Buildings in the Mediterranean Climate via a Decision Support Tool', Energies, vol. 17, no. 5, Art. no. 5, Jan. 2024. [CrossRef]
- M. M. Sequeira and J. P. Gouveia, 'A Sequential Multi-Staged Approach for Developing Digital One-Stop Shops to Support Energy Renovations of Residential Buildings', Energies, vol. 15, no. 15, p. 5389, Jul. 2022. [CrossRef]
- S. Ebrahimigharehbaghi, Q. K. Qian, F. M. Meijer, and H. J. Visscher, 'Unravelling Dutch homeowners' behaviour towards energy efficiency renovations: What drives and hinders their decision-making?', Energy Policy, vol. 129, pp. 546–561, Jun. 2019. [CrossRef]
- D. Streimikiene and T. Balezentis, 'Willingness to Pay for Renovation of Multi-Flat Buildings and to Share the Costs of Renovation', Energies, vol. 13, no. 11, Art. no. 11, Jan. 2020. [CrossRef]
- P. Bertoldi, M. Economidou, V. Palermo, and B. Kiss, 'How to finance the renovation of residential buildings: Innovative financing instruments', presented at the Eceee Summer Study Proceedings, 2019, pp. 1315–1324. [Online]. Available: https://www.scopus.com/inward/record.uri?eid=2-s2.0-85085165927&partnerID=40&md5=c9371ae6c4294d2d2f14e9febffab9ee.
- 'Economic benefits – Multiple Benefits of Energy Efficiency – Analysis', IEA. Accessed: Oct. 04, 2024. [Online]. Available: https://www.iea.org/reports/multiple-benefits-of-energy-efficiency/economic-benefits-2.
- 'Renovation process challenges and barriers: addressing the communication and coordination bottlenecks in the zero-energy building renovation workflow in European residential buildings'. Accessed: Dec. 21, 2024. [Online]. Available: https://www.tandfonline.com/doi/epdf/10.1080/00038628.2023.2214520?needAccess=true.
- P. Bertoldi, B. Boza-Kiss, N. Della Valle, and M. Economidou, 'The role of one-stop shops in energy renovation - a comparative analysis of OSSs cases in Europe', Energy and Buildings, vol. 250, p. 111273, Nov. 2021. [CrossRef]
- M. Grecchi, M. Rivaillant, M. Maria Sesana, and G. Salvalai, 'From the energy performance certificate to the building renovation passport', Rivista Tema, vol. 05, no. 02, Oct. 2021. [CrossRef]
- M. Fabbri, M. D. Groote, and O. Rapf, 'Building renovation passports: Customised roadmaps towards deep renovation and better homes', 2016. Accessed: Nov. 08, 2023. [Online]. Available: https://www.semanticscholar.org/paper/Building-renovation-passports%3A-Customised-roadmaps-Fabbri-Groote/9e2eadc644b36fb129173385b7540cfff5185a76.
- M. Fabbri, 'Understanding building renovation passports: customised solutions to boost deep renovation and increase comfort in a decarbonised Europe'. Accessed: Nov. 16, 2023. [Online]. Available: https://www.eceee.org/library/conference_proceedings/eceee_Summer_Studies/2017/6-buildings-policies-directives-and-programmes/understanding-building-renovation-passports-customised-solutions-to-boost-deep-renovation-and-increase-comfort-in-a-decarbonised-europe/.
- 'EPBD 2024/1275'. Accessed: Dec. 09, 2024. [Online]. Available: https://eur-lex.europa.eu/eli/dir/2024/1275/oj.
- Vivian Dorizas, Zsolt Toth, and Jonathan Volt, 'How Energy Performance Certificates (EPCs) can be upgraded with Building Renovation Passport (BRP) elements', IBRoad2EPC, Nov. 2022. Accessed: Oct. 18, 2024. [Online]. Available: https://ec.europa.eu/research/participants/documents/downloadPublic?documentIds=080166e5f9f91073&appId=PPGMS.
- 'Energy Efficiency Passport (P2E) – The Shift Project'. Accessed: Jan. 26, 2025. [Online]. Available: https://theshiftproject.org/experience-p2e/.
- ‘Opengela | Regeneración Urbana en Euskadi’, Opengela. Accessed: Jan. 26, 2025. [Online]. Available: https://opengela.eus/what-is-opengela-2.
- M. M. Sesana, G. Salvalai, D. Brutti, C. Mandin, and W. Wei, 'ALDREN: A methodological framework to support decision-making and investments in deep energy renovation of non-residential buildings', Buildings, vol. 11, no. 1, pp. 1–20, 2021. [CrossRef]
- P. Mellwig et al., 'iBRoad2EPC - Upgrading EPCs to support Europe's climate ambitions', presented at the Eceee Summer Study Proceedings, 2022, pp. 875–883. [Online]. Available: https://www.scopus.com/inward/record.uri?eid=2-s2.0-85178564668&partnerID=40&md5=62a02ce508b24a6ca224c172aeb93ffb.
- ‘iBRoad2EPC’, Horizon 2020 iBRoad2EPC project. Accessed: Dec. 04, 2023. [Online]. Available: https://ibroad2epc.eu/our-work/.
- M. M. Sesana, 'Building Renovation Passport for Non-Residential Buildings: the ALDREN Experience', 2020. Accessed: Nov. 08, 2023. [Online]. Available: https://www.semanticscholar.org/paper/Building-Renovation-Passport-for-Non-Residential-Sesana/a1a864d67f08ac90d93604953307e91e3ca8b7b3.
- 'Publications', Fedarene. Accessed: Jan. 26, 2025. [Online]. Available: https://fedarene.org/publications/.
- R. Collombet, and R. Hartwig Peillon, ‘EPBD 2024- Implementation Guide’, Efficient Buildings Europe, Oct. 2024.
- 'Mapping Policy Needs for Effective 2024 EPBD Implementation > BPIE - Buildings Performance Institute Europe', BPIE - Buildings Performance Institute Europe. Accessed: Jan. 11, 2025. [Online]. Available: https://www.bpie.eu/publication/mapping-policy-needs-for-effective-2024-epbd-implementation/.
- Mariangiola Fabbri, Jonathan Volt, and Maarten de Groote, ‘The Concept of the Individual Building Renovation Roadmap – iBRoad Project’, Feb. 2018. Accessed: Nov. 18, 2023. [Online]. Available: https://ibroad-project.eu/news/the-concept-of-the-individual-building-renovation-roadmap/.
- M. Page et al., 'PRISMA 2020 explanation and elaboration: Updated guidance and exemplars for reporting systematic reviews', BMJ, vol. 372, p. n160, Mar. 2021. [CrossRef]
- N. Mpouzianas et al., 'Building renovation Roadmapping: an automated methodology framework for energy efficiency improvement and sustainable renovation planning', International Journal of Sustainable Energy, vol. 43, no. 1, 2024. [CrossRef]
- 'Implementing Renovation Passports: Policy needs, status quo and best practices > BPIE - Buildings Performance Institute Europe', BPIE - Buildings Performance Institute Europe. Accessed: Jan. 04, 2025. [Online]. Available: https://www.bpie.eu/publication/implementing-renovation-passports-policy-needs-status-quo-and-best-practices/.
- M. Buchholz and T. Lützkendorf, 'European building passports: developments, challenges and future roles', Buildings and Cities, vol. 4, no. 1, pp. 902–919, Oct. 2023. [CrossRef]
- M. Hill and A. Duffy, 'A Digital Support Platform for Community Energy: One-Stop-Shop Architecture, Development and Evaluation', Energies, vol. 15, no. 13, 2022. [CrossRef]
- Joint Research Centre (European Commission), T. Serrenho, J. Stromback, P. Bertoldi, and Streng. E, Smart financing for smart buildings: virtual one stop shops and IT tools. Publications Office of the European Union, 2021. Accessed: Dec. 30, 2024. [Online]. Available: https://data.europa.eu/doi/10.2760/410729.
- F. Réfabert, K. Mahapatra, B. Mainali, and J.-C. Hourcade, 'How to boost one-stop-shops for integrated home energy renovation in the EU?', presented at the Eceee Summer Study Proceedings, 2021, pp. 827–835. [Online]. Available: https://www.scopus.com/inward/record.uri?eid=2-s2.0-85178666190&partnerID=40&md5=33cf81ffe9ea8a9e4db7321f6947fb74.
- M. Malinovec Puček, A. Khoja, E. Bazzan, and P. Gyuris, 'A Data Structure for Digital Building Logbooks: Achieving Energy Efficiency, Sustainability, and Smartness in Buildings across the EU', Buildings, vol. 13, no. 4, p. 1082, Apr. 2023. [CrossRef]
- M. Miezis, K. Zvaigznitis, N. Stancioff, and L. Soeftestad, 'Climate change and buildings energy efficiency - The key role of residents', Environmental and Climate Technologies, vol. 17, no. 1, pp. 30–43, 2016. [CrossRef]
- M. M. Sequeira, J. P. Gouveia, and J. Joanaz de Melo, 'Can local organizations act as middle actors in energy support? Exploring their functions, motivations, challenges, and needs', Energy Efficiency, vol. 17, no. 7, 2024. [CrossRef]
- 'Attractive, Acceptable and Affordable deep Renovation by a consumers orientated and performance evidence based approach | TripleA-reno Project | Results | H2020', CORDIS | European Commission. Accessed: Jan. 05, 2025. [Online]. Available: https://cordis.europa.eu/project/id/784972/results.
- 'Unlocking the potential of community-driven models to drive residential renovation:Insights from six case studies > BPIE - Buildings Performance Institute Europe', BPIE - Buildings Performance Institute Europe. Accessed: Jan. 26, 2025. [Online]. Available: https://www.bpie.eu/publication/unlocking-the-potential-of-community-driven-models-to-drive-residential-renovationinsights-from-six-case-studies/.
- J. P. Gouveia, Miguel Mendes, Miguel Sequeira, and Pedro Palma, 'A New Way to Mitigate Energy Poverty: Lessons from the Transition Point "One-Stop Shop" Pilot', Fundação Calouste Gulbenkian, 2024.
- G. Conforto and M. Hummel, 'Financing energy efficiency in buildings: an overview of current and upcoming European funding programmes', presented at the Eceee Summer Study Proceedings, 2022, pp. 297–306. [Online]. Available: https://www.scopus.com/inward/record.uri?eid=2-s2.0-85178638227&partnerID=40&md5=357cc0e90b596693d0344568e539f3db.
- P. Bertoldi, M. Economidou, V. Palermo, B. Boza-Kiss, and V. Todeschi, 'How to finance energy renovation of residential buildings: Review of current and emerging financing instruments in the EU', WIREs Energy and Environment, vol. 10, Jun. 2020. [CrossRef]
- P. Bertoldi, M. Economidou, V. Palermo, B. Boza-Kiss, and V. Todeschi, 'How to finance energy renovation of residential buildings: Review of current and emerging financing instruments in the EU', WIREs Energy & Environment, vol. 10, no. 1, p. e384, Jan. 2021. [CrossRef]
- I.E. N. Maia, D. Harringer, and L. Kranzl, 'Household budget restrictions as reason for staged retrofits: A case study in Spain', Energy Policy, vol. 188, 2024. [CrossRef]
- M. Economidou, N. Della Valle, G. Melica, O. Valentini, and P. Bertoldi, Financing energy renovations at local and regional levels: European status and good practices. 2021. [CrossRef]
- N. Della Valle, C. D'Arcangelo, and M. Faillo, 'Promoting pro-environmental choices while addressing energy poverty', Energy Policy, vol. 186, p. 113967, Mar. 2024. [CrossRef]
- Directorate-General for Energy, 'Clean energy for all europeans', European Commission, Luxembourg, Mar. 2019.
- B. Mainali, K. Mahapatra, and G. Pardalis, 'Strategies for deep renovation market of detached houses', Renewable and Sustainable Energy Reviews, vol. 138, p. 110659, Mar. 2021. [CrossRef]
- N. DellaValle and V. Czako, 'Empowering energy citizenship among the energy poor', Energy Research & Social Science, vol. 89, p. 102654, Jul. 2022. [CrossRef]
- M. M. Sequeira, J. P. Gouveia, and J. J. de Melo, '(Dis)comfortably numb in energy transitions: Gauging residential hard-to-reach energy users in the European Union', Energy Research & Social Science, vol. 115, p. 103612, Sep. 2024. [CrossRef]
- 'Individual refurbishment roadmaps for residential buildings provide many lessons to the multi-family apartment sector > BPIE - Buildings Performance Institute Europe', BPIE - Buildings Performance Institute Europe. Accessed: Jan. 21, 2025. [Online]. Available: https://www.bpie.eu/publication/individual-refurbishment-roadmaps-for-residential-buildings-provide-many-lessons-to-the-multi-family-apartment-sector/.




| Energy Efficiency Benefits | |
| Financial | Energy costs savings Reduced maintenance costs Increase the value of the property |
| Technical | Improve energy performance Reduce carbon emissions Improve indoor air quality |
| Economic | Energy demand savings Market development Jobs creation |
| Social | Reduction of energy poverty Improve health and quality of life Improve comfort Jobs creation |
| Energy Efficiency Barriers | |
| Financial | High investment costs Cost-effectiveness Lack of funding Lack of information on energy consumption |
| Technical | Knowledge of the energy-efficient measures Complexity of the energy renovations Order of the implementation of measures Require professional assistance Mistrust on experts Market lack of knowledge |
| Economic | Expected energy savings Accessible incentives Long payback period High upfront costs Need for loan Split incentives |
| Behavioural | Personal beliefs Awareness of the benefits Anticipated inconvenience of construction works Other priorities |
| EPBD (EU) 2024/1275- Article 2- Definitions | |
| Deep Renovation | means a renovation which is in line with the 'energy efficiency first' principle, which focuses on essential building elements and which transforms a building or building unit: (a) before the 1st of January 2030, into a nearly zero-energy building (b) from the 1st of January 2030 into a zero-emission building |
| Staged Deep Renovation | means a deep renovation carried out in a maximum number of steps, recorded in a renovation passport |
| Renovation Passport | means a tailored roadmap for the deep renovation of a specific building in a maximum number of steps that will significantly improve its energy performance |
| Energy Performance Certificate | means a certificate, recognised by a Member State or by a legal person designated by it, which indicates the energy performance of a building or building unit, calculated in accordance with a methodology adopted pursuant to Article 4 |
| Building Renovation Passport | Characteristics | Intents | Country |
| Woningpas[20] | Renovation advice and EPC+ | Long-term efficiency objective | Belgium-Flandres |
| Passeport Efficacité Énergétique [23] | A web platform that connects owners, auditors and renovation professionals |
Promotes opportunities for energy renovation during routine building maintenance |
France |
| Individueller Sanierungsfahrplan [20] | A user-friendly tool that includes short and long-term measures and ways to avoid lock-in effects |
Turn renovation into an opportunity to improve homes | Germany |
| Opengela[24] | Home renovation service | Provide advice and support to the community through the whole process of renovation |
Basque Country |
| ALDREN- BRP (for non-residential buildings) [25] |
ALDREN BuildLog (current state of the building) + ALDREN RenoMap (technical/economic information of future steps) |
Proposed structure for RP for non-residential buildings |
EU |
| iBRoad2EPC [26] | A ready-to-use flexible, adaptable, modular, and expandable RP model designed to be integrated into EPC schemes |
A modular approach suitable for adoption by national markets | Bulgaria, Greece, Poland, Portugal, Romania and Spain |
| Policy Recommendations For Developing Renovation Passport Schemes |
| 1. Guidance on defining the renovation passport and its intended outcomes |
| Mandatory national RP schemes |
| Tailored RPs scheme |
| 2. Develop communication and awareness campaigns around renovation passports |
| Communication campaigns around RP |
| Promote their understanding, visibility and use among stakeholders |
| Guidance on how to integrate renovation passports with other policy instruments |
| Coordination with other tools EPCs, DBLs and OSS |
| 3. Guidance on developing tailored financing mechanisms |
| Ensure the affordability of RP |
| Design financial tools |
| Promote cooperation with the private sector to develop and enhance financial products |
| 4. Guidance on enhancing competencies and skills |
| Training stakeholders (public authorities, EPC auditors, and construction professionals) |
| Affordable software tools to calculate the required indicators |
| Develop training and courses on the technical specifications of renovation works |
|
5. Capacity-building for construction professionals to effectively use renovation passport recommendations |
| 6. Guidance in establishing monitoring and evaluation mechanisms |
| Establish key performance indicators to monitor the role and performance of renovation passports |
| FinancialSchemes for Building Renovation | |
| Green Loans | Loans with preferential terms designed to finance energy efficiency or renewable energy upgrades |
| On-Bill Financing/Repayment | Renovation costs are financed through the utility provider and repaid via utility bills, often offset by energy savings |
| Energy Efficiency as a Service (EEaaS) | Service providers install and maintain energy-saving equipment, charging clients based on achieved savings without upfront costs |
| Property Assessed Clean Energy (PACE) Financing |
Energy upgrades are funded via property tax assessments, with repayment tied to the property rather than the owner |
| Green Leasing | A leasing agreement for energy-efficient equipment or systems, with costs spread over the lease term |
| Grants and Subsidies | Non-repayable funds or partial funding for energy-efficient upgrades, often provided by governments or institutions |
| Tax Incentives and Rebates | Financial relief through tax credits or rebates for implementing energy efficiency measures |
| Revolving Loan Funds (RLFs) | Funds that provide low- or no-interest loans for energy efficiency projects, with repayments replenishing the fund for future projects |
| Third-Party Ownership Models | A third party finances, owns, and operates energy-efficient systems while clients benefit from savings, often used in cooperatives or energy communities |
| Energy Performance Contracting (EPC) | An ESCO manages the entire renovation process and guarantees energy savings, tying payment to achieved results |
| Energy-Efficient/Improvement Mortgages | Mortgage products offering better terms to borrowers investing in energy-efficient property upgrades |
| Financial Mechanisms | Description | Benefits | Challenges |
| Green Loans | Low-interest loans for energy renovations |
Low-cost borrowing | Requires credit approval |
| On-Bill Financing | Energy savings pay for renovations via utility bill |
No upfront costs | Limited availability |
| PACE (Property-Assessed CE) | Tied to property taxes, financing major upgrades |
No credit score needed |
Dependent on legislation |
| Energy Performance Contracting | Third-party finances based on guaranteed savings |
Risk transfer to investors |
Complex contract structure |
| Country | RP Implementation Status | Financial Support Available | Policy Framework | Challenges |
| Germany | Pilot Programs Ongoing | Green Loans, Grants | EPBD Aligned | High Initial Costs |
| France | Established RP Framework | Tax Credits, PACE | National Strategy | Homeowner Awareness |
| Netherlands | Widely Implemented | EPC-Linked Incentives | Strong Integration | Limited Digital Adoption |
| Directive/Policy | Key Requirements for RPs | Implementation Deadline | Countries Affected |
| EPBD 2024 | Mandatory RP for major renovations | 2025 | EU Member States |
| Renovation Wave Strategy | Targets doubling annual renovation rate | 2030 | EU-wide |
| National Energy & Climate Plans | Country-specific RP incentives | Varies | Individual Nations |
Disclaimer/Publisher’s Note: The statements, opinions and data contained in all publications are solely those of the individual author(s) and contributor(s) and not of MDPI and/or the editor(s). MDPI and/or the editor(s) disclaim responsibility for any injury to people or property resulting from any ideas, methods, instructions or products referred to in the content. |
© 2025 by the authors. Licensee MDPI, Basel, Switzerland. This article is an open access article distributed under the terms and conditions of the Creative Commons Attribution (CC BY) license (http://creativecommons.org/licenses/by/4.0/).
