Submitted:
08 February 2025
Posted:
10 February 2025
You are already at the latest version
Abstract

Keywords:
1. Introduction
2. Experimental Section
2.1. Chemicals
2.2. Electrode Preparation and Characterization
2.3. Electrochemical Degradation Experiments
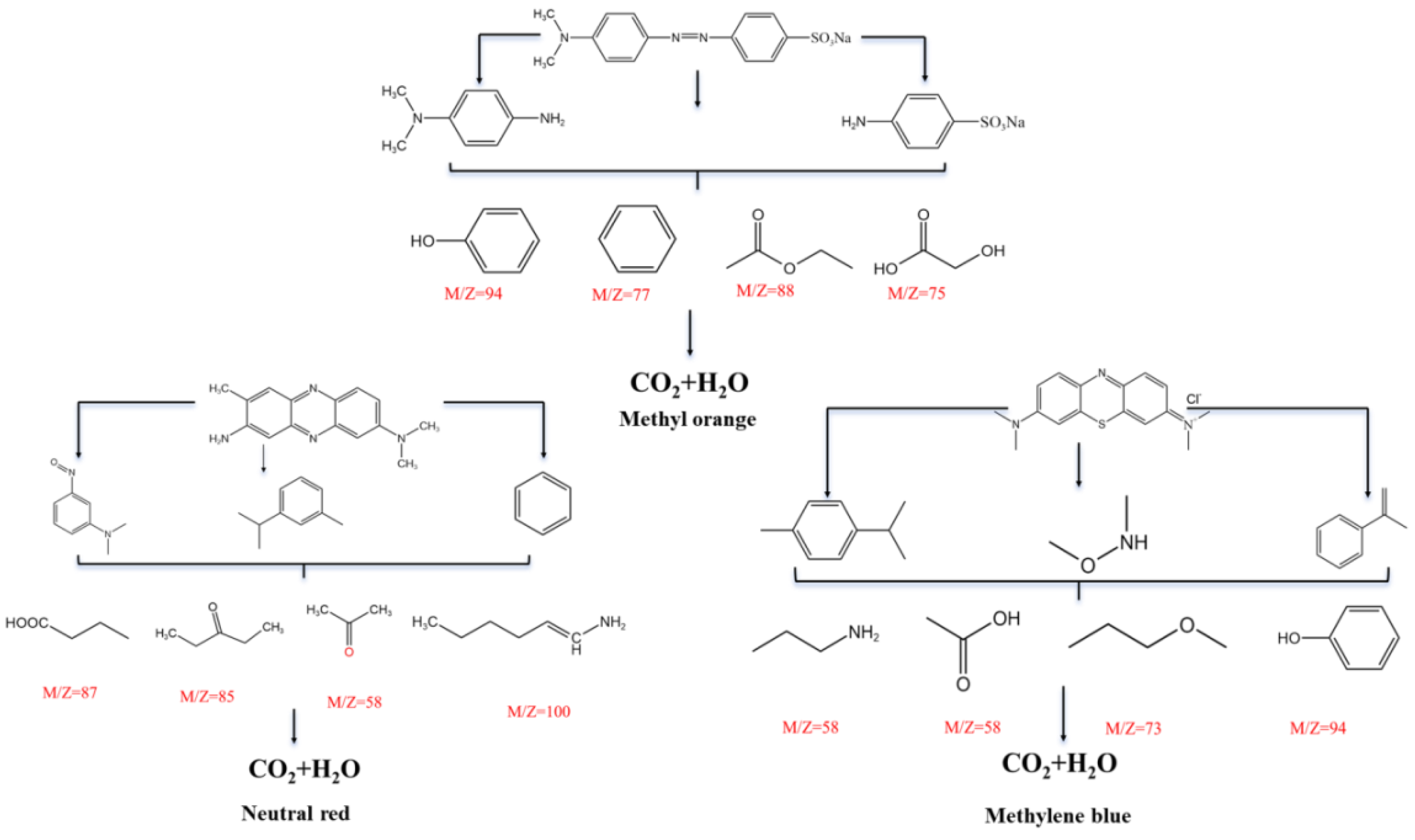
2.4. Analysis of the Degradation Products with GC-MS
3. Results and Discussions
3.1. The Crystal Structure and Surface Morphology of the Ti/SnO2-Sb2O5/Ce-PbO2 Electrodes
3.2. Electrochemical Properties of the Ti/SnO2-Sb2O5/Ce-PbO2 Electrode
3.3. Electrochemical Degradation of Different High Concentration Organic Dyes
3.4. Effect of pH on the Degradation Efficiency of Different Organic Dyes
3.5. Analyzation of the Degraded Product During Electro-Catalytic Degradation
3.6. Accelerated Lifetime Tests
4. Conclusions
Author Contributions
Acknowledgments
Conflicts of interest
References
- X. Chang, S. S. Thind, M. Tian, M. M. Hossain and A. Chen, Electrochimica Acta, 2015, 173, 728-735.
- W. Subramonian, T. Y. Wu and S.-P. Chai, Journal of Alloys and Compounds, 2017, 695, 496-507.
- J.-J. Lu, Y.-H. Gu, Y. Chen, X. Yan, Y.-J. Guo and W.-Z. Lang, Separation and Purification Technology, 2019, 210, 737-745.
- J. Wu, Y. Liu, X. Yang, J. Wang and J. Yang, Chinese Chemical Letters, 2021, 32, 2503-2508.
- P. Wang, H. Tang, Y. Ao, C. Wang, J. Hou, J. Qian and Y. Li, Journal of Alloys and Compounds, 2016, 688, 1-7.
- C. Belda Marín, C. Egles, J. Landoulsi and E. Guénin, 2022, 12, 9152.
- S. R. Hormozi Jangi, H. Khoshalhan Davoudli, Y. Delshad, M. R. Hormozi Jangi and A. R. Hormozi Jangi, Surfaces and Interfaces, 2020, 21, 100771.
- J. Y. Zheng, J. He, C. B. Han, G. Huang, B. C. Sun, W. K. Zhao, Y. Wang, L. Sun, J. Si and H. Yan, International Journal of Biological Macromolecules, 2023, 237, 124152.
- A. Molla and J. H. Youk, Dyes and Pigments, 2022, 202, 110237.
- Z. Deng, S. Xu, C. Liu, X. Zhang, M. Li and Z. Zhao, Nano Research, 2024, 17, 949-959.
- H. W. Lim, D. K. Cho, J. H. Park, S. G. Ji, Y. J. Ahn, J. Y. Kim and C. W. Lee, ACS Catalysis, 2021, 11, 12423-12432.
- V. Krstić and B. Pešovski, Hydrometallurgy, 2019, 185, 71-75.
- I. M. D. Gonzaga, A. R. Dória, R. S. S. Castro, M. R. R. Souza, M. A. Rodrigo, K. I. B. Eguiluz and G. R. Salazar-Banda, Electrochimica Acta, 2022, 426, 140782.
- H. Lv, S. Wang, J. Li, C. Shao, W. Zhou, X. Shen, M. Xue and C. Zhang, Applied Surface Science, 2020, 514, 145943.
- X. Sui, X. Duan, F. Xu and L. Chang, Journal of the Taiwan Institute of Chemical Engineers, 2019, 100, 74-84.
- L. Wu, C. Zhang, Y. Sun, Y. Wang, B. Lian, Y. Chen, Y. Tu and T. D. Waite, Chemical Engineering Journal, 2022, 450, 138188.
- H. Bian, Y. Tian, C. Lee, M.-F. Yuen, W. Zhang and Y. Y. Li, ACS Applied Materials & Interfaces, 2016, 8, 28862-28871.
- Y. Fan, H. Li, X. He, Y. Huang, C. Sun, T. Zhu, H. Liu, E. Huangzhang, F. Sun and J. Nan, ACS Applied Energy Materials, 2022, 5, 10034-10044.
- D. Lakshmi, M. I. Diana, S. Jayapandi, P. C. Selvin and P. Balraju, Journal of Materials Science, 2023, 58, 15471-15484.
- C. Tang, Z. Liu, D. Cui, L. Yu, J. Xue and X. Yin, Electrochimica Acta, 2021, 399, 139398.
- W. Tan, A. R. Bowring, A. S. Babadi, A. C. Meng, R. Tang-Kong, M. D. McGehee and P. C. McIntyre, 2020, 7, 1902054.
- I. Kurisawa, M. Shiomi, S. Ohsumi, M. Iwata and M. Tsubota, Journal of Power Sources, 2001, 95, 125-129.
- F. A. Rodríguez, E. P. Rivero and I. González, MethodsX, 2018, 5, 1613-1617.
- H. Ma, X. Wang, Y. Fu, Y. Zhang, C. Ma, X. Dong and Z. Yu, Journal of Solid State Electrochemistry, 2019, 23, 1767-1777.
- J.-H. Lee, J. W. Kim, H.-Y. Kang, S. C. Kim, S. S. Han, K. H. Oh, S.-H. Lee and Y.-C. Joo, Journal of Materials Chemistry A, 2015, 3, 12982-12991.
- H. Beitollahi, H. Mahmoudi-Moghaddam, S. Tajik and S. Jahani, Microchemical Journal, 2019, 147, 590-597.
- M. A. Al-Ghouti, M. A. M. Khraisheh, S. J. Allen and M. N. Ahmad, Journal of Environmental Management, 2003, 69, 229-238.
- Z. Yang, Y. Zhang, W. Zhu, X. Zan, L. Zhang and Y. Liu, Chemosphere, 2020, 255, 126963.
- L. Yang, M. Sheng, H. Zhao, M. Qian, X. Chen, Y. Zhuo and G. Cao, Science of The Total Environment, 2019, 678, 821-829.
- L. Li, Z. Huang, X. Fan, Z. Zhang, R. Dou, S. Wen, Y. Chen, Y. Chen and Y. Hu, Electrochimica Acta, 2017, 231, 354-362.
- Z. Sun, Y. Ni, Y. Wu, W. Yue, G. Zhang and J. Bai, Environmental Science and Pollution Research, 2023, 30, 6262-6274.
- Y.-H. Cui, Y.-J. Feng and Z.-Q. Liu, Electrochimica Acta, 2009, 54, 4903-4909.
- Q. Wang, S. Tu, W. Wang, W. Chen, X. Duan and L. Chang, Colloids and Surfaces A: Physicochemical and Engineering Aspects, 2021, 628, 127244.
- H. Wang, Z. Li, F. Zhang, Y. Wang, X. Zhang, J. Wang and X. He, Separation and Purification Technology, 2021, 266, 118600.
- C. Wang, Y. Yu, L. Yin, J. Niu and L.-A. Hou, Chemosphere, 2016, 163, 584-591.
- M. Zheng, J. Ni, F. Liang, M.-C. Wang and X. Zhao, Journal of Alloys and Compounds, 2016, 663, 371-378.
- C. Wang, J. Niu, L. Yin, J. Huang and L.-A. Hou, Chemical Engineering Journal, 2018, 346, 662-671.
- X. Duan, Q. Wang, S. Tu, W. Wang, X. Sui and L. Chang, Separation and Purification Technology, 2022, 282, 120003.
- S. Schlichter, K. Sapag, M. Dennehy and M. Alvarez, Journal of Environmental Chemical Engineering, 2017, 5, 5207-5214.
- Z. Ma, C. Liu, C. Srinivasakannan, L. Li and Y. Wang, Arabian Journal of Chemistry, 2023, 16, 104767.
- P. Haouzi, M. McCann, N. Tubbs, A. Judenherc-Haouzi, J. Cheung and F. Bouillaud, Toxicological Sciences, 2019, 170, 82-94.
- R. Berenguer, J. M. Sieben, C. Quijada and E. Morallón, ACS Applied Materials & Interfaces, 2014, 6, 22778-22789.












| Process | MO | MB | ND |
|---|---|---|---|
| Kinetic equations (t: min) |
y=0.72303x+0.20081 | y=0.04813x+0.49558 | y=0.82199x+0.3882 |
| Kinetic constant (t: min-1) |
0.73023 | 0.04813 | 0.82199 |
| Pearson's r | 0.9904 | 0.97607 | 0.98093 |
| Adj. R-Square | 0.97453 | 0.94799 | 0.94963 |
| sample | Methyl orange | Neutral red | Methylene blue |
|---|---|---|---|
| Intial solution | 320.6 | 315.5 | 346.7 |
| After degradation | 33.8 | 27.8 | 36.4 |
| Efficiency % | 89.5 % | 91.2% | 89.6% |
| sample | Methyl orange | Neutral red | Methylene blue |
|---|---|---|---|
| Intial solution | 1615 | 2210 | 11320 |
| After degradation | 45 | 40 | 320 |
| Efficiency % | 97.2% | 98.2% | 97.2% |
| Electrodes | Object pollutants | Initial concentration (mg L-1) |
Degradation time (min) |
Current Density (mA cm-2) |
Removal efficiency of TOC (%) | Removal efficiency of COD (%) | References |
|---|---|---|---|---|---|---|---|
| Ti/TiO2-NTA/La-PbO2 | MO | 50 | 240 | 20 | 70.2 | ─ |
Environ. Sci. Pollut. 2022, 131, 19197-19202 |
| 2D PbO2 | MO | 100 | 100 | 50 | 90.7 | ─ | Int. J. Electrochem. Sci. 2019, 14, 7790 – 7810 |
| Composite biochar | MO | 50 | 200 | 50 | 94.9 | ─ |
J. Environ. Manage 2022, 304, 116445 |
| PbO2-ZrO2 | MB | 30 | 120 | 50 | 100 | ─ |
J. Hazard. Mater. 2021, 118, 2024619118 |
| Ni0.6Co0.4-oxide | MB | 50 | 60 | 20 | 100 | 100 |
Catalysts 2021,11(7), 793 |
| Graphite | ND | 40 | 120 | 200 | 86.0 | ─ |
Electrocatalysis 2021,12(7),579 |
| PbO2/α-Al2O3 | ND | 125 | 60 | ─ | 82.9 |
Sep. Purif. Technol. 2019, 227,115684 |
|
| Ti/SnO2-Sb2O5/Ce-PbO2 | MO/MB/ND | 50-1000 | 30 | 25 | >90 | >97 | (This Work) |
Disclaimer/Publisher’s Note: The statements, opinions and data contained in all publications are solely those of the individual author(s) and contributor(s) and not of MDPI and/or the editor(s). MDPI and/or the editor(s) disclaim responsibility for any injury to people or property resulting from any ideas, methods, instructions or products referred to in the content. |
© 2025 by the authors. Licensee MDPI, Basel, Switzerland. This article is an open access article distributed under the terms and conditions of the Creative Commons Attribution (CC BY) license (http://creativecommons.org/licenses/by/4.0/).