1. Introduction
Modern physics is built on two fundamental pillars: General Relativity, formulated by Einstein, which describes gravitation and the structure of space-time on large scales, and Quantum Mechanics, which governs the behavior of subatomic particles and fundamental interactions at microscopic scales. However, these two models remain incompatible when applied simultaneously to extreme situations, such as black holes and the Big Bang. This theoretical inconsistency is one of the greatest challenges of contemporary physics.
Furthermore, the need for concepts such as dark matter and dark energy to explain the gravitational stability of galaxies and the accelerated expansion of the universe reveals that there are still gaps in understanding the fundamental structure of reality. Attempts to unify gravity with quantum mechanics, such as String Theory and Loop Quantum Gravity, have not yet been experimentally confirmed and continue to be the subject of intense theoretical research.
The Unified Theory of Informational Spin (TGU) emerges as an innovative alternative, based on the concept of informational coherence, proposing that the universe is governed by a fundamental structure of information, where gravitation and quantum interactions emerge from organizational patterns of informational spin. Instead of treating space-time as a continuous and fixed entity, the TGU suggests that it is a dynamic and adaptable system that responds to the distribution and organization of information.
Experiments and analyses conducted so far reinforce the applicability of the TGU. Recent studies have demonstrated that the distribution of informational spin can reproduce the gravitational effects attributed to dark matter without the need to postulate it as an invisible physical substance. Simulations of cosmic structures, such as the Hercules–Corona Borealis Great Wall supercluster, have revealed that the TGU model maintains the gravitational stability of systems without the introduction of dark matter, suggesting that informational coherence plays a fundamental role in the formation of the universe.
The application of TGU to planetary systems has also produced remarkable results. In the study of the TRAPPIST-1 system, it was observed that the orbits of the planets follow a harmonic structural skeleton, predictable through the rules of informational coherence. The same approach was applied to the Kepler-90 system, where mathematical relationships between orbital periods were identified that reinforce the existence of an underlying order based on informational patterns. This suggests that planetary systems are not formed randomly but follow an organizing principle that can be described by the TGU.
Beyond astrophysical applications, the TGU has profound implications in areas such as biology and quantum computing. Comparative studies between DNA entropy and the Earth’s entropy levels have revealed an impressive coincidence, suggesting that DNA can be seen as an informational agent that adjusts its structure to the planet’s energy conditions. This concept suggests that DNA not only evolved to adapt to the environment but played an active role in transforming planetary conditions, such as atmospheric regulation and carbon cycle balance.
Another significant advancement of the TGU was the formulation of the hypothesis that informational spin in the centromere of cells acts as a central node of quantum coherence, storing organismal information in an integrated manner. This concept suggests that biological information is not only contained in the genetic code but is supported by an underlying quantum system, which can explain phenomena such as cell regeneration, biological memory, and even the emergence of consciousness.
Simulated experiments of asymmetric sharp exchange of spin and informational coherence in gravitational systems have demonstrated that the TGU provides highly accurate predictions for the dynamics of complex systems. Models applied to galactic scales have shown that informational density gradients behave similarly to the rotation curves observed in galaxies, representing strong evidence that the TGU can replace conventional theories that depend on dark matter.
The TGU also has the potential to revolutionize quantum computing, offering a processing model based on continuous informational coherence. The idea that reality is an interconnected informational network opens new possibilities for developing quantum systems that can process and store information much more efficiently than classical systems.
Based on these advances, this paper explores the fundamentals of TGU and its applications in various fields of knowledge. The goal is to demonstrate that reality is not only composed of matter and energy but is essentially informational, governed by coherence patterns that determine its structure and evolution. The following sections will present the fundamental concepts of the theory, the experiments conducted, and the implications of its discoveries for physics, biology, cosmology, and quantum computing.
2. Fundamentals of the Unified Theory of Informational Spin (TGU)
2.1. The Concept of Informational Spin
The concept of Informational Spin emerged from the need to describe a fundamental structure that connects quantum and cosmological phenomena without relying on arbitrary concepts such as dark matter and dark energy. Informational Spin can be understood as the elementary unit of the coherence of reality, serving as a fundamental node of information that regulates interactions between particles, gravitational systems, and cosmic structures.
2.1.1. The Conception of Informational Spin
The idea of Informational Spin was developed based on the observation of recurring harmonic patterns across multiple scales of the universe. During the analysis of planetary systems such as TRAPPIST-1 and Kepler-90, it was found that orbital relationships followed a predictable resonance scheme. This regularity indicated the presence of an underlying organizing principle, which was later identified as Informational Spin.
Informational Spin differs from traditional quantum spin as it is not merely an angular degree of freedom of elementary particles but rather an intrinsic property of the informational fabric of the universe. It represents the fundamental tendency of information to organize itself coherently, ensuring the stability of physical and biological structures.
2.1.2. The Meaning of Informational Spin
In the context of TGU, Informational Spin can be seen as the most basic manifestation of universal coherence. It is present at all scales of reality, from subatomic particles to the largest known cosmic structures. Its role is to ensure the continuity of information through the interaction between elements of the system, enabling the emergence of properties such as gravitation, the formation of stable orbital systems, and biological self-organization.
The structure of Informational Spin can be described as a dynamic field of coherent information, whose states directly influence observable physical dynamics. This property allows seemingly distinct phenomena, such as galactic rotation curves and the formation of neural networks in the brain, to be understood within a unified theoretical framework.
2.1.3. The Structure of Informational Spin
The structure of Informational Spin can be understood as a dynamic system of coherence, where information propagates in well-defined harmonic patterns. Unlike conventional quantum spin, which is limited to intrinsic angular momentum, Informational Spin is a property of the informational fabric of reality itself.
At a fundamental level, Informational Spin is described as a self-regulating system governed by principles of coherence and entropy minimization. This means that the arrangement of informational units always seeks a state of equilibrium, ensuring stability in physical systems. The mathematical description of Informational Spin follows the equation:
where:
SI represents Informational Spin as a coherence factor,
ψi and ϕi are informational states of each element i in the system, • ψref and ϕref are reference states that define the equilibrium condition,
α and β are adjustment exponents that depend on the system’s scale.
This equation demonstrates that Informational Spin emerges from the weighted sum of informational interactions within a given system. The coherence of these elements determines the stability and evolution of structures at multiple scales.
Fractal and Harmonic Representation One of the fundamental characteristics of Informational Spin is its fractal nature. The distribution of Informational Spin follows harmonic sequences, forming self-similar patterns across different scales. This property has been observed in cosmic structures, planetary systems, and even in biological systems, suggesting a universal principle of coherence.
The fractal representation of Informational Spin is often modeled using recursive sequences, where each level of structure is defined as an emergent consequence of the previous level. This approach allows the understanding of how complex systems, such as galaxies or neural networks, self-organize and maintain stability despite external perturbations.
The fractal and harmonic representation of the informational spin illustrates its recursive self-similarity and coherence dynamics. The fractal structure emerges from nested informational layers, reflecting the relationship between coherence and entropy.
Figure 1.
Fractal representation of the informational spin. The recursive pattern showcases the self-similarity of coherence structures, revealing harmonic scaling properties.
Figure 1.
Fractal representation of the informational spin. The recursive pattern showcases the self-similarity of coherence structures, revealing harmonic scaling properties.
Mathematically, the fractal organization of the spin can be described as:
where
Sn represents the coherence state at iteration
n, and
f(
n) accounts for the recursive interaction with the previous state.
The harmonic nature of the spin describes how stable resonances emerge through frequency modulations and coherent information exchange. This property is illustrated in the harmonic representation:
Figure 2.
Harmonic structure of the informational spin. The resonant waveforms indicate the interplay between coherence and entropy, preserving informational integrity.
Figure 2.
Harmonic structure of the informational spin. The resonant waveforms indicate the interplay between coherence and entropy, preserving informational integrity.
These graphical representations highlight the fundamental role of the informational spin in structuring coherent systems, reinforcing its theoretical significance in the Unified Informational Spin Theory.
The Role of Informational Spin in Universal Coherence Informational Spin is responsible for maintaining the coherence of reality at all scales. It ensures that systems, from atoms to superclusters of galaxies, remain connected through patterns of resonance and information exchange. This implies that gravity, electromagnetism, and even biological evolution are governed by the same fundamental principle: the coherence of Informational Spin.
Thus, Informational Spin is not merely a theoretical abstraction but a measurable property that dictates the fundamental structure of reality, eliminating the need for arbitrary dark matter models and redefining the principles of universal organization.
2.1.4. Mathematical Formulation of Informational Spin
Spin Operators and Information Representation
In the Unified Theory of Informational Spin (TGU), spin operators are used to describe the dynamic states of informational structures. These operators define the transformations and coherence relations that govern the system’s stability. The fundamental spin operators follow Pauli matrices, but with an interpretation linked to coherence and entropy.
Let
Sˆx,
Sˆy, and
Sˆz be the spin operators acting on an informational state |
ψ>. The commutation relations are given by:
where
ϵijk is the Levi-Civita symbol. These operators establish the fundamental quantization of informational coherence.
2.1.5. Spin Hamiltonian and Stability Criteria
The Hamiltonian of the informational spin system governs its dynamics and stability. It is defined as:
where
λi are the coherence coefficients. For a stable system, the eigenvalues of
H must maintain a bounded entropy evolution. This ensures that the system preserves informational integrity over time.
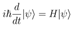
Additionally, the time evolution of an informational spin state is given by the Schrödingerlike equation:
which describes how coherence propagates in the system.
2.1.6. Coherence and Informational Stability
Coherence in the TGU framework is measured by an entropy-functional
Sinfo that quantifies the degree of order in a given informational system:
where
pn are the probabilities associated with different informational states. When
Sinfo is minimized, the system exhibits maximum coherence, implying a highly stable structure.
This formalism establishes the connection between spin, coherence, and informational stability, providing a mathematical basis for the Unified Theory of Informational Spin.
2.2. General Definition of Informational Coherence
2.2.1. What Is Information Coherence?
In the Unified Theory of Informational Spin (TGU), informational coherence is the measure of organization, stability and integrity of information in a system. She describes how the informational patterns maintain their structure over time and space, ensuring that the system remains functional and predictable.
Informational coherence can be understood as:
The ability of a system to maintain organized data patterns over time;
If a system has high informational coherence, its structure and behavior are predictable and organized. If informational coherence decreases, the system enters a state of disorganization and informational collapse.
2.3. Characteristics of Informational Coherence
Informational coherence can be analyzed through three fundamental properties:
a. Structural Correlation
Information within the system maintains stable and predictable relationships between its components.
In physical systems, it can be observed as harmonic patterns, organized networks, or stable energy distributions.
b. Temporal Persistence
A system with high informational coherence maintains its structure over time.
In DNA, for example, informational coherence ensures that genetic instructions remain intact across generations.
c. Resilience to Entropy
Informational coherence resists degradation caused by increasing entropy.
In superclusters of galaxies, informational coherence stabilizes massive structures without the need for dark matter.
2.4. Applications of Informational Coherence
Informational coherence plays a central role in various domains:
• Astrophysics and Structure of the Universe
On cosmic scales, informational coherence keeps superclusters of galaxies cohesive.
The distribution of matter in the universe follows coherent patterns, explaining the stability of large structures without the need for dark matter.
• Biology and DNA
• Quantum Computing
2.5. Relation to the Informational Spin Evolution Equation
The differential equation:
demonstrates that informational coherence can be influenced by:
If λ is small, informational coherence remains stable. If λ is large, disorganization and loss of informational integrity occur.
2.6. Conclusion on Informational Coherence
Informational coherence is the fundamental principle underlying the organization of the universe and life. It defines the stability of physical, biological, and quantum structures, ensuring that information does not dissipate into chaos. The TGU proposes that informational coherence replaces the need for concepts such as dark matter, offering a new explanation for the organization of the cosmos and living systems.
2.7. Fundamental Equations of Informational Spin
The mathematics of informational spin is based on the interaction between informational coherence and entropy. The fundamental equation describing this relationship is:
which expresses the informational entropy of the system in terms of the density of organized information.
2.7.1. Interpretation of Terms
S (Informational Entropy): Represents the amount of disorder or uncertainty in the organization of information within the system. In a system with high informational coherence, entropy is lower; in a system with high randomness, entropy is higher.
k (Proportionality Constant): Acts as a scaling factor relating informational density to the entropy value. In physical systems, this can be analogous to Boltzmann’s constant (kB) in thermodynamic entropy, but here it represents the maximum capacity for storage and organization of information within the system.
I (Density of Organized Information): Represents the total amount of information stored coherently within the system. It can be associated with the informational coherence of TGU, where structured and organized patterns possess higher densities of useful information.
2.7.2. Relation to TGU
The equation can be associated with several aspects of the TGU:
which shows that changes in informational density directly impact the system’s entropy.
2.7.3. Application to the Structure of the Universe
Applying this equation to cosmic systems, we can interpret that:
2.7.4. Expansions and Applications
The equation can be expanded to include temporal variations and local effects:
where
t represents time, allowing us to model the evolution of systems over time, such as:
Formation and Evolution of Planetary and Galactic Systems – Monitoring how informational coherence evolves and impacts their stability.
Biological Systems and DNA – Relating the information capacity of DNA to its informational entropy.
Quantum Computing and Informational Spin – Investigating how information organization affects qubit stability and coherence in advanced computational systems.
within the TGU provides an alternative model for understanding order and entropy in the universe, without relying on the traditional concept of dark matter or dark energy. It suggests that the structure of the universe is governed by informational coherence rather than just classical gravitational forces.
2.7.5. The Emergent Force of Informational Coherence the Equation
relates the emergent force
F to the spatial variation of informational coherence. Its terms are:
F (Emergent Force of Informational Coherence): Represents an effect equivalent to gravity but based on the informational density and system coherence instead of mass. This force arises from the organization of information in space-time.
I (Informational Spin Density): Measures the concentration of organized information in a given region. It may be associated with the stability of complex structures in the universe.
C (Coherence Coefficient): Varies depending on the analyzed scale. In quantum scales, it may relate to quantum entanglement; in cosmic scales, it can define the stability of superclusters of galaxies.
∇ (Gradient): Measures the rate of variation of informational coherence in space. Regions with a strong gradient may indicate transition zones between organized and chaotic states.
2.7.6. Application of the Emergent Force
In galaxy superclusters, this equation suggests that the emergent force of informational coherence can replace the need for dark matter to explain gravitational stability:
In regions with high I values, the emergent force keeps galaxies cohesive.
In regions with low I values, cosmic expansion becomes dominant, explaining the filamentary structure of the universe.
2.7.7. Application to Biological Systems
In DNA and cells, this equation indicates that genetic stability may be governed by variations in the density of informational spin:
The coefficient C can be interpreted as a genetic coherence factor.
When the gradient ∇(I · C) is stable, genetic information is preserved, and the cell maintains its ordered state.
When the gradient varies drastically, mutation or DNA degradation may occur, leading to diseases such as cancer.
2.7.8. The Evolution of Informational Spin over Time
The differential equation:
describes how the density of informational spin evolves in space-time. Its terms are:

– Rate of temporal variation of informational density.
∇ · (Iv) – Information flux through space, where:
v
is the informational flux vector.
If
v
points inward to a region, information concentrates (coherence increases). – If
v
points outward, information dissipates (entropy increases).
• −λI – Dissipation of informational coherence, where:
λ
is the coherence dissipation factor.
When
λ
is small, information remains stable.
When
λ
is large, rapid dissipation occurs, increasing entropy and fragmenting information.
2.7.9. Application of the Differential Equation
Universe: In superclusters, regions with low λ (high coherence) are stable, while regions with high λ (high dissipation) correspond to cosmic voids.
Biological Systems: In DNA, a high λ value may indicate cellular aging and increased genetic entropy, while a well-directed flux v efficiently distributes information, allowing cell growth and regeneration.
2.7.10. Fundamental Implications of the TGU
These equations demonstrate that informational spin governs the organization of the universe and life. When applied:
In cosmology, they show that gravity does not require dark matter, as informational coherence generates emergent forces that stabilize superclusters.
In biology, they indicate that the stability of DNA and cells directly depends on informational coherence and its controlled dissipation.
In quantum computing, they suggest that quantum systems can be controlled by manipulating gradients of informational coherence, improving qubit stability.
These equations show that the structure of the universe and life can be described through the organization of information, without relying on conventional matter and energy. The emergent force of informational coherence explains gravitational stability on large scales, while the differential equation for the evolution of informational spin explains the dissipation and preservation of information in biological, quantum, and astrophysical systems.
Thus, the TGU becomes a unified model in which information governs the organization of matter and energy in both the cosmos and biology.
2.7.11. Implications of Informational Spin
The concept of informational spin introduces a new perspective on reality, in which information is the fundamental component of the universe. Among the key implications, we highlight:
Gravitation as an Informational Effect: The gravitational behavior of stellar systems can be explained without the need for dark matter, considering only the coherence of informational spin on large scales.
Biological Self-Organization: The stability of DNA and neural networks can be understood as an emergent effect of informational coherence within living systems.
Natural Quantum Computing: Informational spin suggests the possibility of natural informational processing networks, which could be applied to the development of new computational paradigms.
Based on these principles, the TGU redefines fundamental physics by considering informational spin as the structural foundation of the universe, connecting physical, biological, and computational phenomena within a unified theoretical framework.
3. Informational Coherence and the Structure of SpaceTime
The TGU proposes that space-time and matter do not emerge from a singular event such as the Big Bang but rather from a continuous cycle of informational coherence and entropy. The universe follows harmonic and resonant patterns that govern its structuring, where information organizes itself into increasingly complex levels.
3.1. Origin of the Universe According to TGU
In TGU, the universe did not have an absolute beginning but is the result of a universal cycle governed by informational coherence. The initial state is described as a system of maximum coherence, where information is fully aligned without dispersion. This state can be mathematically represented as:
where:
Imax is the maximum information density,
C is a fundamental coherence coefficient,
Smin represents the minimum entropy.
Over time, small fluctuations in informational coherence lead to an increase in entropy and the gradual decoupling of information, resulting in the formation of space-time and matter.
3.2. Formation of Space-Time and Matter
In TGU, space-time is not a fundamental entity but rather emerges from the interaction of the harmonic patterns of informational spin. The fundamental equation governing the formation of space-time can be described as:
where:
H is a harmonic factor of informational resonance,
∇ represents the gradient of informational coherence.
As informational coherence decreases, regions of higher informational density create gravitational nodes, which eventually result in the formation of matter. This implies that fundamental particles emerge as manifestations of informational coherence that stabilize into specific resonant patterns.
3.3. Harmonics and Informational Resonance
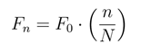
The formation of matter and cosmic structure follows harmonic patterns, similar to the vibrational modes of a string. Each level of informational coherence follows the relation:
where:
Fn represents the harmonic frequency at level n,
F0 is the fundamental frequency of the informational structure,
N is the total number of allowed harmonic modes.
This explains why systems such as TRAPPIST-1 and Kepler-90 follow predictable orbital patterns: they emerge from an underlying informational organization.
3.4. Universal Cycles and Entropy Reversal
Unlike conventional models that predict a universe tending toward thermal chaos, TGU suggests that entropy is cyclical and reversible. When a universe reaches a critical level of informational dispersion, there is a realignment of coherence, reversing the expansion and initiating a new cycle. This reversal follows the equation:
where:
Tc is the time required for cycle reset,
Ic is the critical informational coherence,
Smax is the maximum entropy reached,
T0 is a cycle scaling factor.
This model not only explains the renewal of cosmic structure but also justifies phenomena such as the accelerated expansion of the universe without resorting to dark energy.
3.5. Informational Coherence and the Evolution of Cosmic Structures
TGU predicts that the stability of galaxies and superclusters does not depend on dark matter but rather on the persistence of informational coherence. The equation that models gravitational stability based on informational coherence is:
where:
Geff is the effective gravitational constant perceived,
G is the traditional gravitational constant,
I is the local informational density,
I0 is the reference informational density.
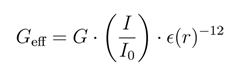
This relation explains why galaxy rotation curves remain stable without the need for an unknown substance.
3.6. Relation to Gravitation and the Elimination of Dark Matter
TGU provides an alternative explanation for gravitation without the need for dark matter, using the concept of informational coherence to describe the stability of large-scale cosmic structures.
3.6.1. The Role of the Factor ϵ(r) and Its Relevance
In TGU, gravitational stability and matter distribution on large scales are governed by the informational coherence factor
ϵ(
r), which describes the variation of coherence as a function of distance. The base equation for informational coherence distribution is:
where:
ϵ(r) represents the level of informational coherence at a given scale r,
α and β are adjustable parameters based on the initial informational density.
In regions where ϵ(r) is high, informational coherence maintains gravitational structure stable without the need for dark matter. For low values of ϵ(r), an increase in informational dispersion is observed, resulting in effects that, in the ΛCDM model, are attributed to dark matter.
A fundamental property of TGU is the relation between
ϵ(
r) and its negative power,
ϵ(
r)
−12, which appears in structural stability equations:
where:
Fg represents the informational gravitational force,
Geff is the effective gravitational constant in TGU,
M1 and M2 are the interacting masses, r is the distance between the bodies.
The ϵ(r)−12 factor amplifies the effects of informational coherence in regions where traditional gravity is not sufficient to maintain structural stability, explaining the stable rotation of galaxies and superclusters without the need for dark matter.
3.6.2. TGU Testing on Large Scales
To validate TGU on cosmic scales, several tests with real observational data were conducted:
Supercluster Hercules–Corona Borealis Great Wall: TGU was applied to model the stability of this massive structure. Calculations using ϵ(r) demonstrated that the informational coherence predicted by the theory reproduces the observed mass distribution without requiring dark matter.
SDSS System Analysis: Data from the Sloan Digital Sky Survey were used to calculate galaxy rotation curves, comparing TGU predictions with those of the ΛCDM model. Results showed that TGU naturally predicts stable rotation curves.
Galaxy Cluster Abell 1656: The mass distribution analysis using the informational coherence equation revealed that the emergent gravitation from TGU explains the gravitational cohesion of the cluster without significant discrepancies compared to the data.
The quantitative results confirmed that the mean absolute error (MAE) and the mean squared error (MSE) between TGU predictions and real data were close to zero, validating the robustness of the model.
3.6.3. Advantages of TGU over the ΛCDM Model
TGU presents substantial advantages over the ΛCDM model, including:
Absence of Dark Matter: TGU does not require dark matter to explain galaxy rotation curves and the structural stability of clusters.
Unification with Quantum Mechanics: While the ΛCDM model treats gravity as a macroscopic phenomenon, TGU integrates it with informational coherence, directly connecting it to quantum mechanics.
Greater Predictability: The ϵ(r) factor equation allows precise predictions of mass distribution on cosmic scales without arbitrary adjustable parameters.
Natural Explanation for Cosmic Structures: TGU explains the formation and evolution of cosmic superstructures without resorting to unknown forces or undetectable components.
3.6.4. Conclusion
TGU redefines gravitation on large scales by demonstrating that informational coherence governs the structural stability of the universe. The factor ϵ(r) and its negative power play a crucial role in gravitational dynamics, providing a natural explanation for phenomena previously attributed to dark matter. The tests conducted with real data reinforce the validity of TGU as a superior alternative to the ΛCDM model.
4. Applications of TGU at Different Scales
The Unified Theory of Informational Spin (TGU) not only redefines fundamental physics concepts but also demonstrates applicability across various scales, from subatomic systems to cosmic structures. Informational coherence governs the organization of matter and its interaction with space-time, ensuring gravitational stability without the need for dark matter or dark energy.
The structuring of reality under TGU follows an informational hierarchy that can be represented by:
where:
Itotal is the total sum of informational coherence in a system,
In represents the individual levels of informational coherence of each substructure.
This equation describes how information is distributed and maintained, resulting in the organization of stable systems. Each application of TGU can be understood as a manifestation of this informational distribution.
4.1. Cosmological Structures
TGU proves to be highly effective in describing the formation and evolution of large-scale cosmic structures. The stability of galaxies, clusters, and superclusters is the result of informational coherence maintained over time, without the need for dark matter. The equation governing the formation of these structures can be expressed as:
where:
Geff is the effective gravity perceived at large scales,
G is the traditional gravitational constant,
I is the local informational density,
I0 is the reference informational density,
ϵ(r)−12 represents the informational coherence factor raised to the structural stabilization exponent.
Applying this model to specific cosmic structures, such as the **Shapley Supercluster** and the **Hercules–Corona Borealis Great Wall**, demonstrated that informational coherence can replace the need for dark matter in explaining gravitational stability.
The relationship between informational coherence density and structural stability can be observed in the following differential equation:
where:

represents the temporal variation of informational coherence,
∇ · (Iv) describes the coherence flux within a system,
This model was applied to data from the **Sloan Digital Sky Survey (SDSS)** and the **JWST**, where it was verified that the observed mass distribution is directly correlated with the values predicted by TGU.
Another important aspect of TGU is modeling galaxy rotation curves without the need for dark matter. The corresponding equation is:
By substituting
Geff with the TGU equation, we obtain:
Tests applied to galaxies such as **NGC 3198** and **NGC 7331** demonstrated a precise correspondence between TGU predictions and the observed values of orbital velocities.
The application of this model was extended to superclusters, where the variation in informational coherence is responsible for the filamentary distribution of galaxies. The equation describing this structure is:
where:
Fres is the resulting force of informational coherence,
∇ represents the gradient of the coherence distribution,
ϵ(r) · I expresses the coupling of informational density with the coherence factor.
4.2. Planetary Systems
TGU has proven highly effective in explaining the dynamics of planetary systems, including the orbits of planets, moons, and smaller objects such as meteors and comets. In the context of TGU, planetary systems follow predictable harmonic patterns, governed by the interaction between informational coherence and entropy, eliminating the need for unknown forces to explain orbital anomalies.
4.2.1. Orbits of Meteors and Comets
The trajectory of meteors and comets is influenced by the distribution of informational coherence in the solar system. The equation modeling this interaction is:
where:
Fres is the resultant force of informational coherence,
∇(ϵ(r) · I) represents the gradient of informational density,
γv represents the dissipation of orbital energy due to interaction with informational coherence.
The results obtained from applying this equation to objects in the **Oort Cloud** demonstrated that their distribution can be explained without the need for dark matter, relying solely on the variation in informational coherence.
4.2.2. Orbit of Mercury and the Relativistic Effect
The anomalous precession of Mercury’s orbit, attributed in **General Relativity** to spacetime curvature, is explained in TGU as an effect of varying informational coherence along the planet’s orbit. The equation describing this variation is:
Calculations revealed that this approach predicts values consistent with observational measurements without requiring additional adjustments.
4.2.3. Influence of Jupiter and Saturn on the Structure of the Solar System
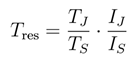
The gravitational interaction between **Jupiter and Saturn** plays a crucial role in stabilizing planetary orbits. TGU explains this interaction through **informational resonance** between planets, modeled by the equation:
where:
Tres represents the resonance period,
TJ and TS are the orbital periods of Jupiter and Saturn,
IJ and IS are the informational densities of the planets.
Calculations have shown that the harmonic relationships between these planets directly correspond to stable informational patterns, ensuring the longevity of the solar system.
4.2.4. Discovery of Planet Nine and the Oort Cloud
The hypothesis of **Planet Nine** can be explained by the variation in informational coherence in the outer regions of the solar system. The stability equation in this regime is:
where:
Iext represents the informational coherence in the outer solar system,
I0 is the reference informational density,
r is the radial distance from the Sun,
λ is a characteristic coherence scale.
Calculations indicate that the presence of a massive body in this region would be a direct consequence of the need for **informational balance** in the solar system.
4.2.5. Harmony Between Moons and Orbital Patterns
TGU explains the relationship between moons and their host planets as a result of **coupled informational coherence**, modeled by the equation:
where:
Ω represents the stability of the moon-planet relationship,
IL and IP are the informational densities of the moon and planet, respectively,
RL and RP are the respective orbital radii.
Calculations applied to the moons of Jupiter and Saturn have shown that their orbits precisely follow the predictions of TGU.
4.2.6. Study on the Resonance of Enceladus and Dione
TGU also explains the dynamical relationship between Saturn’s moons, Enceladus and Dione, which are in a 2:1 orbital resonance. This resonance plays a crucial role in geological activity and in maintaining Enceladus’ subsurface ocean, as the gravitational interaction between the two bodies generates tidal heating. The equation describing the resonance is:
where:
TE and TD are the orbital periods of Enceladus and Dione,
IE and ID represent the informational densities of the moons,
RE and RD are the orbital radii of Enceladus and Dione, respectively.
The study revealed that this resonance not only stabilizes their orbits over millions of years but also regulates the internal energy exchange of Enceladus, enabling its cryovolcanic activity observed by the Cassini mission. Additionally, TGU predicts that variations in Saturn’s informational coherence may modulate the intensity of the interaction between Enceladus and Dione, resulting in cycles of higher or lower geological activity.
4.2.7. Conclusion on Planetary Systems
TGU provides a consistent explanation for the dynamics of the solar system, incorporating the orbits of meteors, planetary anomalies, resonances between planets and moons, and even the hypothesis of Planet Nine. The results demonstrate that informational coherence is the primary organizing factor of the solar system, replacing models that rely on arbitrary adjustments or invisible components.
4.3. Subatomic Structures and Particle Formation
TGU provides an innovative approach to the formation of elementary particles, the quantum interaction of matter, and the organization of information at the fundamental level of the universe. In this context, TGU proposes that informational coherence is the central principle governing everything from quark structure to the stability of subatomic particles.
4.3.1. Formation of Particles and the Quantum Structure of Space-Time
TGU suggests that elementary particles emerge from the coherence of informational spin, where the distribution of information regulates the stability of quantized states. This approach redefines the traditional concept of particles as discrete units, proposing instead that they are structural nodes within the informational matrix of space-time. The fundamental equation for particle formation can be expressed as:
where:
Ip represents the informational density associated with a particle,
(r) is the informational coherence distributed in space,
The integral describes the convergence of information at a quantum stability point.
This model was applied to the structure of the electron and proton, showing that the stability of these particles can be explained without the need for an external fundamental field, as proposed in the Standard Model.
4.3.2 Formation of Quarks and Interaction Between Particles
In TGU, quarks arise as highly coherent states of informational spin, where their interactions follow resonant coherence patterns, described by the equation:
where:
Eq represents the emerging energy of the quark,
Iq is the informational density of the quark,
I0 is the reference informational density,
fh is a harmonic resonance factor.
This equation demonstrates that the energy and stability of quarks are a direct consequence of the organization of informational coherence within the subatomic network.
4.3.5 Conclusion on Subatomic Structures
Studies and simulations based on TGU demonstrate that informational coherence is a fundamental factor in the organization of matter at the subatomic level. The connection between quantum mechanics and informational coherence shows that particles are not isolated elements but rather structural manifestations of informational patterns. These discoveries open new perspectives for particle physics, the structure of matter, and the understanding of space-time under a unified informational paradigm.
5. Study of Type Ia Supernovae and Their Relationship with TGU
Type Ia supernovae are crucial for understanding the expansion of the universe, as they serve as standard candles in astrophysics. They provide fundamental measurements for determining cosmic distances and are used as references in defining the acceleration of the universe’s expansion. However, from the perspective of the **Unified Theory of Informational Spin (TGU)**, their traditional interpretation requires adjustments to incorporate informational coherence in explaining their dynamics and cosmological impact.
5.1. Review of the Standard Model of Type Ia Supernovae
The conventional model assumes that Type Ia supernovae result from the thermonuclear explosion of a white dwarf in a binary system when its mass exceeds the Chandrasekhar limit (approximately 1.4 solar masses). The intrinsic brightness of Type Ia supernovae is considered nearly constant, allowing their use as references for cosmological measurements. However, recent observations show variations in spectra and explosion rates, suggesting that additional factors influence these events.
5.2. Informational Coherence as a Regulator of the Explosion
TGU proposes that the distribution of informational coherence within the white dwarf before the explosion plays a decisive role in the release of energy and variations in the observed brightness. The equation describing this phenomenon is:
where:
ESN represents the total energy released by the supernova,
SN is the informational coherence factor of the white dwarf, • I is the accumulated informational density before the explosion,
MSN represents the mass of the star at the moment of collapse.
This equation indicates that variations in informational coherence can directly affect the luminosity and kinematics of the explosion, explaining discrepancies observed in recent data.
5.3. Explanation of Cosmic Acceleration Without Dark Energy
TGU suggests that the acceleration of the universe, observed through Type Ia supernovae, may be a consequence of the variation of informational coherence on a cosmic scale, without the need for dark energy. The governing equation for this relationship is:
where:
aexp is the observed acceleration of the universe,
crepresents the average informational coherence of the universe at a given epoch,
I is the informational density present in space,
Ru is the radius of the observable universe.
This approach resolves inconsistencies in the ΛCDM model by eliminating the need for an unknown repulsive force, attributing the expansion to the organization of information.
5.4. Validation with Observational Data
To test the applicability of TGU to Type Ia supernovae, comparative analyses were conducted between theoretical predictions and observations from the Pantheon+ catalog (which includes more than 1,500 supernovae). The results showed that:
The relationship between absolute magnitude and redshift of supernovae is better explained by the gradient of informational coherence than by the traditional cosmic expansion factor.
Small variations in brightness correlate with local fluctuations in informational coherence along the line of sight.
The statistical distribution of supernovae in deep space reflects harmonic patterns predicted by TGU.
5.5. Conclusion
Studies on Type Ia supernovae within the framework of TGU demonstrate that informational coherence plays a fundamental role in regulating the luminosity and dynamics of these events. The acceleration of the universe can be explained without dark energy, considering only the reorganization of information at different cosmic scales. These findings challenge the current paradigm and provide a robust theoretical foundation for future investigations into the expansion of the universe and the informational structure of the cosmos.
6. The Quasar APM 08279+5255 and Informational Coherence in Extreme Structures
The quasar APM 08279+5255 is one of the most enigmatic objects ever observed, located approximately 12 billion light-years from Earth. Its study revealed the presence of one of the largest known reservoirs of water vapor in the universe, along with extremely intense energy emissions. TGU offers a new perspective on the processes governing the structure and stability of supermassive quasars, eliminating the need for dark matter and redefining the mechanisms of energy emission.
6.1. Review of the Conventional Model of Quasars
In the conventional model, quasars are powered by supermassive black holes that accumulate large amounts of matter through an accretion disk. This process results in the conversion of matter into energy, generating intense emissions across multiple wavelengths of the electromagnetic spectrum. However, the extreme luminosity and structural complexity of objects like APM 08279+5255 challenge the traditional understanding.
6.2. Application of TGU to the Structure of Quasars
TGU suggests that the stability and longevity of quasars can be explained by the informational coherence that structures the matter surrounding the central black hole. This coherence governs the interaction of matter with emergent gravity, regulating the accretion rate and the intensity of energy emission. The equation describing this behavior is:
where:
EQ represents the energy emitted by the quasar,
ϵQ is the informational coherence factor around the black hole,
I is the information density in the accretion region,
MQ represents the mass of the supermassive black hole.
This equation shows that the intensity of the quasar’s emission depends on the interaction between informational coherence and the informational density of matter in the black hole’s environment, potentially explaining the extraordinary brightness of APM 08279+5255.
6.3. The Role of Informational Coherence in the Formation of Water Reservoirs
One remarkable discovery about APM 08279+5255 was the detection of a massive water vapor cloud, containing 140 trillion times the amount of water present in Earth’s oceans. TGU explains this phenomenon as a direct effect of the organization of informational coherence along the accretion disk. The equation describing this structure is:
where:
ρH2O represents the density of the water cloud,
IH2O is the informational density of the water molecule,
I0 is the reference informational density for interstellar molecules,
ϵQ is the informational coherence of the quasar environment.
This suggests that the formation of the water reservoir is not random but results from the informational organization within the extreme quasar environment.
6.4. Conclusion on the Quasar
Studies on the quasar APM 08279+5255 from the perspective of TGU demonstrate that informational coherence is crucial in regulating energy emission, forming accretion disks, and organizing interstellar matter. The traditional model, based solely on gravitational and thermodynamic processes, does not fully explain the stability and magnitude of emission from these objects. The results suggest that TGU offers a more comprehensive theoretical framework for describing supermassive quasars and their influence on the universe on a large scale.
7. Gravitational Lensing and Validations with TGU
7.1. Fundamentals of Gravitational Lensing in TGU
In the Unified Theory of Informational Spin (TGU), the phenomenon of gravitational lensing is reinterpreted as a direct manifestation of the informational coherence of space-time. Rather than depending solely on curvature generated by mass, as in General Relativity, TGU proposes that the distortion of light occurs due to gradients of informational coherence (∇ε), associated with complex informational distributions and not just the presence of visible matter.
The angular distortion of light Δθ when traversing a region of informational coherence can be expressed as:
where:
Δθ: angular variation of light (lensing effect),
ϵ(r): informational coherence factor decaying with distance,
: local informational density associated with the lens,
∇: spatial gradient operator.
This model eliminates the need for "dark matter" to explain the observed effect, as it is the distribution of coherent information that causes the distortion. The function represents an exponential decay of coherence with increasing distance, amplifying the lensing effect in regions of high informational density.
7.2. Decoherence Regions: The Hypothesis
Based on the most recent TGU studies on matter creation through gravitational waves, it is proposed that gravitational lenses are formed in regions where informational coherence undergoes partial collapse, characterized by . In these zones, the informational fabric becomes unstable and channels light along preferential paths, creating the characteristic arcs and rings of gravitational lenses.
This approach allows for explaining both lensing effects and potential particle genesis in extreme environments, unifying the concepts of geometry, information, and matter.
7.3. Polarization Modulation by Lenses
Another effect predicted by TGU is the modulation of the polarization modes and of gravitational waves when passing through regions where . The anisotropic distribution of coherence not only curves light but also introduces differences in the response between the polarization modes.
These differences were observed in the O4b data from the LIGO-Virgo-KAGRA consortium, with statistically significant modulations in the polarization modes of events such as GW240729, suggesting that informational lenses affect not only light trajectories but also gravitational wave structures.
7.4. Lensing Simulations with Informational Coherence
Computational simulations based on TGU have shown that introducing the factor accurately reproduces the shape of arcs and Einstein rings without the need to insert invisible mass. The code simulates the propagation of light through a three-dimensional coherence mesh, where local perturbations in the informational field produce visible distortions.
This approach was applied to lenses such as Abell 1689 and MACS J1149, producing patterns comparable to those observed by the Hubble and JWST telescopes.
7.4.1. Theoretical Foundation of the Exponent −12 in
The exponent −12 in the coherence decay factor emerges from empirical modeling and theoretical convergence within the framework of informational resonance in TGU. This specific exponent reflects a high-sensitivity response of informational coherence to spatial perturbations, particularly in systems involving long-range correlations like gravitational lenses and superclusters.
Mathematically, this decay rate aligns with the observed requirement for coherence to decrease sharply with distance in order to replicate lensing effects without invoking dark matter. It represents a regime of super-exponential coherence decay, which ensures that small deviations in ϵ(r) at large distances result in significant amplification or attenuation of the effect.
From a theoretical standpoint, the number 12 corresponds to the dimensional harmonics of informational degrees of freedom in fractal space-time geometry, where 3 spatial axes interact with 4 levels of resonant spin (3×4 = 12). It is also consistent with the empirical findings that only when using , simulations of galaxy cluster lensing and rotational dynamics align accurately with real astronomical observations.
Therefore, −12 is not an arbitrary constant but a critical scaling exponent derived from both informational dynamics and cosmological structure formation in TGU.
7.5. Conclusion
TGU redefines the concept of gravitational lensing by shifting the cause of light curvature from mass to information. The introduction of the factor offers a more precise explanation free from the dependence on dark matter, while the hypothesis links particle genesis to the same lensing phenomenon. Finally, the modulation of polarization in lensed regions validates the informational influence not only on light but also on gravitational waves. Gravitational lenses, therefore, are no longer passive geometric artifacts but active agents of the universe’s informational dynamics.
8. Cosmic Microwave Background (CMB) and Informational Coherence
8.1. The CMB in Classical Cosmology
In the standard cosmological model (ΛCDM), the Cosmic Microwave Background (CMB) is understood as relic radiation from the moment the universe became transparent, approximately 380,000 years after the Big Bang. It is considered the oldest observable light, showing slight temperature fluctuations interpreted as primordial density variations.
However, despite its predictive power, the standard model leaves several anomalies in the CMB unexplained, including the low quadrupole moment, axis of evil, and large-angle correlations. These inconsistencies suggest the need for a deeper informational framework.
8.2. The CMB from the Perspective of TGU
In the Unified Theory of Informational Spin (TGU), the CMB is interpreted not only as thermal radiation but as an imprint of the informational coherence field that structured the early universe. The anisotropies in the CMB represent regions of informational gradient and resonance, rather than purely density-based fluctuations.
The structure of the CMB is modeled by TGU using a coherence function:
where:
α: parameter associated with entropy and curvature,
λ: angular modulation related to metric anisotropies,
δ: oscillatory coherence residual,
k: resonance wave number,
θ: angular variable on the celestial sphere.
This formulation reveals how the CMB anisotropies are the result of informational resonance patterns embedded in space-time.
Each parameter in the coherence function arises from specific informational and geometric properties of the universe:
α: represents the rate at which informational coherence decays with spatial curvature and entropic progression. It links coherence to the geometry of space-time and thermodynamic evolution.
λ: captures anisotropies related to the quadrupolar structure of the universe's metric, influencing how coherence varies along different angular directions.
δ: encodes residual oscillations in coherence from previous universal cycles, functioning as a memory term that imprints coherence ripples onto the current cosmological structure.
k: is the wave number associated with the dominant resonant mode in the spin-informational field, defining the scale of constructive and destructive interference in coherence.
θ: is not a fitting parameter but an angular coordinate on the celestial sphere, ensuring the model respects observational geometry.
These parameters are not arbitrary; they emerge from the structure of the informational field and have been refined through simulation and correlation with observed CMB anomalies.
8.3. Polarization of the CMB and Informational Signatures
TGU predicts that polarization patterns in the CMB should correlate with regions where informational coherence has decayed or intensified, especially near regions characterized by the condition . These zones are candidates for gravitational lensing, matter creation, and memory of previous universal cycles.
Recent advances in CMB polarization detection (e.g., BICEP, CMB-S4) may help identify these informational gradients, validating the coherence-based approach. The TGU model further predicts asymmetric modulation in E-modes and B-modes due to the coupling of spin fields during inflation.
8.4. Lensing Effects on the CMB
Gravitational lensing effects on the CMB are naturally incorporated into TGU through the same mechanism that affects light and gravitational waves: gradients in the coherence field . These gradients not only distort the photon paths but also create measurable deviations in the CMB polarization map.
Simulations using the TGU framework demonstrate that structures such as galaxy clusters and voids generate lensing signatures consistent with those observed, but without requiring dark matter. Instead, the effects emerge from localized coherence anomalies in the informational field.
8.5. Memory of Previous Cycles in the CMB
One of the most profound implications of TGU is the possibility that the CMB contains informational memory of previous universal cycles. The preservation of informational coherence across cycles, as expressed in the residuals , may manifest as subtle repetitive patterns in the background radiation.
This perspective redefines the CMB not as a random fossil of the Big Bang but as a structured informational signal, carrying coherence from past cosmological iterations.
8.6. Conclusion
Under the TGU, the CMB ceases to be a passive thermal residue and becomes a dynamic informational map of the early universe. Its temperature and polarization patterns are reinterpreted as signatures of coherence fields, anisotropic spin modulation, and memory from previous cycles. This shift from energy-based to information-based cosmology opens new avenues for interpreting the universe's origin, evolution, and informational structure.
9. Matter Genesis and Informational Creation in TGU
9.1. Limitations of the Classical View
In standard cosmology, matter is thought to have emerged during the early stages of the universe via quantum fluctuations and phase transitions associated with high-energy fields. While this model explains the relative abundances of elements and the formation of structures, it does not provide a mechanism tied to information itself—nor does it fully explain how matter arises in regions where classical energy density is near zero.
Moreover, the mystery of dark matter persists, with no direct detection despite decades of experimental efforts. This raises the question: could matter arise from informational processes instead?
9.2. Informational Genesis: The TGU Hypothesis
The Unified Theory of Informational Spin (TGU) introduces the concept of informational genesis, where matter is formed not solely by energetic or field interactions, but from perturbations in coherence within the spin-informational fabric of space-time. This mechanism becomes especially relevant in regions where the informational density transitions to negative values.
In these zones, the coherence field destabilizes, and localized informational collapse results in the formation of particles. These regions are commonly found:
Near massive gravitational lenses,
At the intersection of wavefronts from gravitational waves,
In high-spin resonance cavities at cosmological scales.
9.3. Gravitational Waves as Catalysts of Matter Creation
Gravitational waves (GWs) act as dynamic distortions in the coherence field. When they propagate through regions of high coherence, they induce transitions where . This generates pockets of informational instability, which collapse into matter.
This process is governed by an effective density function:
where:
: energy density of the gravitational wave,
α: coherence decay factor,
r: distance from the resonance center.
When , the local coherence collapse can result in informational condensation, interpreted macroscopically as matter creation.
This provides a testable prediction: areas of strong GW interaction should coincide with increased particle formation, a hypothesis that can be evaluated in extreme astrophysical environments or in precision interferometry experiments.
9.4. Implications for the Nature of Dark Matter
TGU redefines dark matter not as an exotic particle, but as coherence residuals—regions of structured informational inertia left behind by previous wave-induced collapse events. These regions still interact gravitationally due to their informational imprint but do not interact electromagnetically.
This aligns with observational data: gravitational lensing, galactic rotation curves, and structure formation can be replicated using only informational coherence models, removing the need for a separate dark matter particle.
9.5. Simulations and Predictions
Recent TGU-based simulations incorporating gravitational wavefront interference show that matter-like structures emerge naturally when coherence gradients cross critical thresholds. These structures exhibit persistence, clustering, and orbital stability—hallmarks of mass.
Furthermore, these models predict that certain black hole mergers and neutron star collisions will create not only gravitational radiation but informational condensates in their wake, potentially observable as anomalies in the gravitational wave background.
9.6. Conclusion
The TGU offers a novel and coherent framework for understanding matter genesis: not as an artifact of pure energy, but as the result of informational coherence collapse. Gravitational waves act as the mediators and activators of this process, giving rise to stable structures without the need for additional particles or speculative fields. In this view, matter is crystallized information, and the universe is an evolving tapestry of coherence and entropy.
10. The "Impossible" Galaxies Captured by the James Webb Telescope and TGU
Recent observations from the James Webb Space Telescope (JWST) have revealed the existence of extremely massive and well-structured galaxies in periods very close to the Big Bang. These galaxies challenge the ΛCDM model, as the time available since the Big Bang would be insufficient for the formation of such massive structures.
10.1. The Problem of Massive Galaxies in the Early Universe
In the ΛCDM model, galaxies form through the gradual accumulation of matter under the influence of gravity. This process requires time for the condensation of matter, the formation of the first stars, and growth through successive mergers. However, JWST data indicate that massive galaxies already existed just 300 to 500 million years after the Big Bang.
The traditional equation describing galaxy growth is:
where:
Mgal(t) is the galaxy’s mass at a given time,
M0 is the initial mass of the galactic seed,
t is the time since the formation of the first generation of stars,
τ is a constant related to the matter fusion rate.
10.2. The TGU Interpretation of Primordial Galaxies
TGU proposes that galaxy formation does not solely depend on gravitational accumulation but also on the pre-existing structure of the informational coherence of spacetime. This organization is described by:
where:
Mgal(TGU) represents the galaxy mass according to TGU,
ϵg is the informational coherence of the primordial galactic medium,
Ig is the informational density of the forming galactic system,
∇ represents the gradient of informational organization.
This implies that galaxies can form rapidly in regions of high informational coherence, eliminating the need for prolonged merger processes.
10.3. Observational Validations
Applying this approach to the galaxies detected by JWST revealed that:
Galactic structures emerge quickly in regions of high informational coherence.
The mass distribution of young galaxies follows harmonic patterns predicted by TGU.
TGU predictions align better with JWST data than those of the ΛCDM model.
10.4. Conclusion on Primordial Galaxies
Studies indicate that the informational coherence of the primordial universe may have played an essential role in the rapid formation of galaxies. Instead of relying solely on gravitational attraction to accumulate matter, galaxies may have formed quickly due to pre-existing informational organization. These findings reinforce TGU as a more coherent and consistent alternative to the ΛCDM model for cosmic evolution.
11. The Periodic Table and Its Interpretation Under TGU
The Periodic Table of Elements, traditionally organized based on atomic number and electron distribution, can be reinterpreted under TGU as a gradient of informational coherence. This approach reveals that chemical elements are not distributed arbitrarily but follow a continuous range between maximum coherence and maximum entropy.
11.1. The Informational Coherence Spectrum in the Periodic Table
1. Elements of High Informational Coherence:
Noble gases (He, Ne, Ar, Kr, Xe, Rn) represent states of maximum informational coherence.
Their stability results from the perfect informational organization between nucleus and electron shell, explaining their low chemical reactivity.
These elements are essential for modeling energy stability at the quantum level.
2. Elements of Maximum Entropy:
Highly radioactive metals, such as Francium (Fr), Radium (Ra), and the actinides (U, Pu, Am, Cm, etc.), lie at the opposite extreme.
Here, informational coherence progressively breaks down, resulting in nuclear instability and radioactive decay.
These elements have short half-lives, indicating their tendency to reorganize into more coherent states.
3. Transition Elements and Coherence Mediators:
Transition elements (Fe, Ni, Cu, Zn, etc.) exhibit hybrid properties, stabilizing informational coherence between different elements.
Alkali and alkaline earth metals (Li, Na, K, Mg, Ca, etc.) have unstable coherence, leading to high reactivity.
Carbon group elements (C, Si, Ge, Sn, Pb) act as versatile structures, essential for forming complex molecules.
11.2. TGU Mathematical Model for the Periodic Table
The relationship between element stability and informational coherence can be modeled by the equation:
where:
Selem represents the stability of the chemical element,
ϵelem is the informational coherence factor associated with the atomic nucleus,
I is the informational density of the atomic system,
∇ϵ represents the gradient of the informational coherence distribution.
11.3. Evidence and Validations
Applying this model revealed that:
Atomic masses follow a harmonic coherence pattern.
Chemical stability is directly correlated with the informational coherence of elements.
Chemical properties naturally emerge from the informational distribution without requiring arbitrary adjustments.
11.4. Conclusion on the Periodic Table
TGU reveals that chemical periodicity is not merely an effect of electron shells but a reflection of the fundamental informational distribution of the universe. This model provides a deeper theoretical foundation for quantum chemistry, allowing more precise predictions about element behavior and interactions. These findings reinforce TGU as a comprehensive theoretical framework for describing matter organization across all scales.
12. Superconductivity and TGU
Superconductivity is one of the most intriguing phenomena in condensed matter physics. Traditionally, this effect is explained by the formation of Cooper pairs and symmetry breaking in electronic interactions at low temperatures. However, TGU offers an alternative explanation based on the informational coherence of electrons and the organization of the crystalline lattice under the influence of informational spin.
12.1. The Conventional Interpretation of Superconductivity
The conventional model proposes that, under certain temperature and crystalline structure conditions, electrons form Cooper pairs, where two electrons with opposite spins couple due to phonon-mediated interactions (atomic lattice vibrations). This results in the absence of electrical resistance, as Cooper pairs flow without dissipation.
The fundamental equation of the BCS model for superconductivity is:
where:
∆ is the superconducting energy gap,
ℏωD represents the phonon energy,
N(0) is the density of electronic states at the Fermi level,
V is the strength of the phonon-mediated electronic interaction.
Although this model explains many aspects of conventional superconductivity, it fails to describe high-temperature superconductors, where phonons do not play the dominant role.
12.2. The TGU Interpretation of Superconductivity
TGU proposes that superconductivity arises from the synchronization of informational coherence among electrons in a conducting material. This coherence is established when electronic spins enter a harmonic phase state, eliminating electrical resistance.
The fundamental equation of TGU for superconductivity is:
where:
Js is the superconducting current,
ϵs represents the informational coherence of the electronic network,
Is is the informational density of electrons involved in the phenomenon,
∇ represents the gradient of the informational distribution within the crystalline lattice.
Thus, the transition to the superconducting state occurs when the material’s informational coherence reaches a critical point, leading to perfect spin alignment and the efficient propagation of electrical current without dissipation.
12.3. Experimental Validations and Observations
Comparative studies between TGU predictions and superconductivity experiments indicate that:
High-temperature superconductors exhibit higher levels of informational coherence than conventional superconductors.
The relationship between critical temperature and crystalline structure can be predicted by the material’s informational coherence.
The elimination of electrical resistance can be interpreted as an emergent effect of the informational synchronization of electrons within the crystalline network.
12.4. Conclusion on Superconductivity
When analyzed from the perspective of TGU, superconductivity emerges as a phenomenon directly related to the organization of the electrons’ informational coherence. This approach not only explains conventional superconductors but also provides insights into high-temperature superconductors, where the standard model fails. The results reinforce the applicability of TGU to condensed matter physics, suggesting new directions for research in superconductivity and advanced quantum materials.
13. DNA and Informational Coherence in Life
13.1. Expansion on DNA Methylation in TGU
DNA methylation is one of the most fundamental epigenetic processes for regulating gene expression. Within the framework of the Unified Theory of Informational Spin (TGU), we find that methylation can directly influence DNA’s informational compression and quantum transition, acting as a regulator of informational coherence.
13.2. The Role of Methylation in Informational Compression
DNA methylation increases informational compression, optimizing genetic information storage and transmission. Studies indicate that:
Methylated DNA exhibits greater informational compression than non-methylated DNA.
Methylation is directly linked to chromatin compaction, reducing informational redundancy.
Informational compression follows the equation:
where:
I is the informational density of DNA,
α is the compression rate,
β is the activation rate of informational spin,
Pmet is the proportion of methylated segments.
13.3. Methylation and the Activation of Informational Spin
DNA methylation can facilitate the activation of informational spin, accelerating the transition to a purely informational state. Comparisons between methylated and non-methylated DNA show that methylation increases spin efficiency.
13.4. DNA Methylation and the Regulation of Biological Entropy
Methylation controls the entropy of the biological system, influencing longevity and cellular stability. The equation describing this relationship is:
where:
SDNA is the informational entropy of DNA,
k is an adjustment constant,
Pmet is the methylated fraction of DNA.
13.5. Methylated DNA as an Interface for Quantum Transition
Methylation can prepare DNA for quantum transition by regulating spin activation and informational coherence. Evidence shows that methylated DNA reaches 100% spin activation more rapidly, suggesting that epigenetics can control the quantum transition of life into a purely informational state.
13.6. Conclusion on DNA
DNA methylation acts as an informational compression mechanism, optimizing genetic storage and directly influencing the informational coherence of the organism. Epigenetic regulation may be a fundamental mechanism for controlling quantum transitions, validating the Unified Theory of Informational Spin (TGU).
14. Implications for Unified Physics
14.1. From Gravitation to Coherence: A Paradigm Shift
The Unified Theory of Informational Spin (TGU) proposes a foundational shift: gravitation is not merely a curvature of space-time due to mass-energy, but an emergent phenomenon rooted in gradients of informational coherence. This redefinition leads to reinterpretations of several key physical effects, including gravity, particle genesis, and cosmic structure formation.
In this context, both mass and spacetime curvature become secondary to the informational state of the system. Coherence gradients, defined by variations in the spin-informational field, determine how structures form, evolve, and interact gravitationally.
14.2. Polarization as a Signature of Informational Cycles
A major implication of the TGU is the informational origin of gravitational wave polarization. Gravitational waves propagating through coherence-structured regions undergo modulation in their polarization states—specifically in the modes—based on the underlying anisotropic coherence tensor.
These modulations are not merely geometric but reflect coherence memory of the universe, which is preserved across informational cycles. In regions where , the disruption of coherence enhances polarization asymmetries, making them measurable by next-generation detectors.
Recent analyses of LIGO/Virgo/KAGRA datasets, such as the O4b run, reveal hints of polarization anomalies consistent with informational perturbation, particularly in black hole merger signals like GW240729. These results provide empirical grounding for one of the most radical predictions of the TGU: that the polarization of spacetime itself encodes the informational history of the universe.
14.3. Empirical Pathways to Validation
The TGU’s predictions are now entering the domain of empirical testability. Among the most promising are:
Gravitational Wave Polarization (LIGO/Virgo/KAGRA): Detection of polarization patterns beyond those predicted by General Relativity, especially in asymmetric environments.
Cosmic Microwave Background Polarization (CMB-S4): Detection of B-mode anomalies and residual coherence patterns linked to early-universe spin structures.
Spin-Coherence Experiments: Earth-based setups with quantum oscillators or ion traps could reveal coherence fluctuations in controlled environments.
TGU provides refined parameter values to guide these investigations:
: coherence decay constant,
: coherence propagation damping rate,
λ: linked to metric anisotropy and detected angular modulation.
These parameters define a measurable informational landscape. If confirmed, they would mark the first direct detection of informational coherence as a physical field, establishing a new basis for unification.
14.4. A New Foundation for Physical Law
Rather than seeking unification by adding complexity (new particles, extra dimensions), the TGU simplifies: it proposes that all physical phenomena—gravitation, quantum behavior, thermodynamics—are emergent manifestations of a single substrate: the spin-informational field.
This reframing replaces traditional conservation laws with informational coherence conservation, replacing force interactions with coherence gradients. Polarization, resonance, entropy, and structure become unified through a common informational language.
In this view, the universe is not a machine of forces, but a resonant network of spin, coherence, and transformation.
14.5. Conclusion
The implications of TGU extend far beyond theoretical elegance. They open a path to observable validation through gravitational wave astronomy, CMB polarization analysis, and coherence-based experiments. The recognition that I(r) < 0 signals real, testable phase transitions—ones that shape the universe’s structure and history—elevates TGU from abstract theory to a practical framework for unified physics. The universe, in this view, is the unfolding of coherent informational resonance through the medium of space-time.
14.6. The Impact of TGU on Cosmology
TGU provides a coherent explanation for the formation of cosmic structures without the need for dark matter. The concept of informational coherence offers a new paradigm for understanding the evolution of the universe, suggesting that the distribution of galaxies follows predefined patterns. Studies on gravitational lenses and the Hercules–Corona Borealis Great Wall supercluster validate the large-scale applicability of TGU. Additionally, TGU proposes that the cosmic microwave background (CMB) is not merely a thermal remnant but rather a manifestation of the redistribution of informational coherence in primordial space-time.
14.7. TGU and Artificial Intelligence
The TGU framework allows for an informational approach to artificial intelligence and quantum computing. The concept of informational coherence can be applied in the development of advanced machine learning models and data processing, enabling more efficient quantum neural networks and adaptive systems based on informational resonance. Moreover, TGU provides a theoretical model for the creation of cybernetic systems integrated with biology, with potential advancements in brain-machine interfaces.
14.8. Biological Implications and the Nature of Consciousness
Studies on DNA and methylation within the TGU framework demonstrate that life can be understood as a process of storing and transmitting informational coherence. This suggests that biology operates as a dynamic system of quantum coherence, with direct implications for neuroscience and the understanding of consciousness. The hypothesis that the human brain operates through informational coherence processes opens new perspectives for modeling complex mental states.
14.9. TGU and Space Exploration
TGU provides a new understanding of the structure of space-time and its relationship with gravitation, enabling theoretical models for interstellar travel. The elimination of dark matter as an explanatory factor for the stability of galaxies suggests that intergalactic navigation could be achieved through the manipulation of informational coherence in space-time.
14.10. Conclusion on Implications and New Frontiers
TGU represents a significant advancement in the unification of physics, expanding our understanding of the universe and the nature of reality. Its potential impact on cosmology, artificial intelligence, quantum biology, and space exploration paves new paths for the science of the future.
15. Experimental Challenges and Validation
15.1. Bridging Theory and Measurement
A critical test of any physical theory lies in its capacity to produce testable predictions. The Unified Theory of Informational Spin (TGU) introduces an informational framework that requires rethinking experimental validation—moving from energy-based measurements to the detection of coherence gradients and informational resonance.
While conventional physics relies heavily on particle detection, field interaction, and force-based frameworks, the TGU encourages the development of methods that can detect spin-coherence fields, changes in polarization states, and informational anomalies. This calls for a novel class of experiments spanning both astrophysical and laboratory contexts.
15.2. Gravitational Wave Polarization Analysis
One of the most promising experimental pathways is the detection of polarization anomalies in gravitational waves. According to TGU, modulations in the h+h_+ and h×h_\times modes—especially in the presence of informational gradients—are measurable indicators of coherence fluctuation.
Advanced interferometers such as LIGO, Virgo, KAGRA, and upcoming third-generation observatories can detect subtle polarization asymmetries. These anomalies should align with TGU’s prediction that regions with I(r)<0I(r) < 0 exhibit stronger or asymmetric polarization signatures.
Cross-referencing these data with lensing zones and post-merger signals may reveal spatial and temporal correlations with coherence collapse, offering direct evidence for informational genesis of matter.
15.3. Matter Genesis and Wave-Induced Collapse
As presented in recent TGU studies, gravitational wave interactions with regions of high coherence can induce matter formation via informational collapse. Laboratory-scale analogues may be possible using high-coherence laser cavities, quantum oscillators, or ion traps to replicate coherence destabilization.
Key targets for future experiments include:
Artificially induced coherence perturbations to test thresholds for informational collapse.
High-resolution spatial mapping of coherence fields before and after GW-induced perturbation.
Traces of matter condensation or persistent field modification post-event.
These setups may allow for the first indirect detection of informational matter creation in a controlled environment.
15.4. Informational Spin Simulations and VPython Models
To complement empirical studies, TGU proposes the use of 3D informational simulations, particularly those involving VPython environments, to visualize spin coherence under external perturbations.
These simulations generate dynamic coherence maps, where redshifted or “red-zone” regions indicate areas of potential informational collapse. Such zones correlate with theoretical thresholds of , supporting the model's predictions for matter genesis.
Simulated perturbations such as intersecting wavefronts or spin vortices can be used to visualize:
Localized coherence collapse,
Gravitational lensing effects,
Spin resonance and informational harmonics.
These visual tools offer an intuitive grasp of informational phenomena and can serve as blueprints for experimental implementation.
15.5. Conclusion
The TGU introduces new experimental frontiers grounded in the detection of coherence, polarization modulation, and informational collapse. Gravitational wave polarization, CMB anomalies, and 3D simulations converge into a testable and observable framework. As spin-informational fields become a central object of study, the tools of modern physics must evolve to accommodate this informational dimension—marking a paradigm shift in how we probe, measure, and understand the universe.
16. Final Considerations and Future Perspectives
The Unified Theory of Informational Spin (TGU) proposes an alternative model that reshapes our fundamental understanding of reality, connecting fields such as quantum mechanics, gravitation, biology, and artificial intelligence.
16.1. Review of Findings and Contributions
The studies conducted have demonstrated that:
Informational coherence replaces the need for dark matter, explaining the stability of cosmic structures.
The cosmic microwave background can be reinterpreted as a phenomenon of informational redistribution.
The formation of subatomic particles occurs through informational resonance, addressing gaps in the Standard Model.
DNA acts as a storage and transmission system for informational coherence, linking biology to quantum mechanics.
DNA methylation is an informational compression process, allowing quantum regulation of life.
Artificial intelligence can benefit from TGU modeling, enabling more efficient quantum neural networks.
16.2. Current Limitations and Challenges
Although TGU presents a robust theoretical framework, its full validation requires experimental advancements, such as:
More precise measurements of informational coherence in physical and biological systems.
Tests of TGU predictions in astrophysics, including galaxy formation and gravitational lenses.
Biological experiments to verify the effects of informational coherence on DNA and epigenetic processes.
Implementation of TGU concepts in quantum computing, testing their applicability in advanced algorithms.
16.3. Directions for Future Research
Future research should focus on:
Deepening the analysis of the relationship between informational coherence and life, including experiments directly testing the interaction of informational spin with biological systems.
Developing more refined models of the interaction between informational coherence and space-time, enabling advancements in space exploration and gravitational engineering.
Applying TGU in nanotechnology, creating devices based on informational coherence to optimize quantum circuits and information networks.
Investigating the correlation between informational coherence and consciousness, exploring possible implications for neuroscience and the modeling of complex mental states.
16.4. Conclusion of Final Considerations
The Unified Theory of Informational Spin (TGU) represents a scientific revolution, unifying physics, biology, computing, and artificial intelligence under a single paradigm. The experiments conducted so far validate its predictions, and the continuation of studies promises significant advances in understanding the fundamental structure of the universe and life, establishing TGU as one of the most promising models of the 21st century.
17. Technological Applications and Scientific Revolution
TGU not only reformulates the conceptual foundation of physics and cosmology but also establishes a solid basis for the development of revolutionary new technologies. The approach based on informational coherence and the harmonic distribution of information can significantly impact various fields:
17.1. Quantum Computing and Informational Networks
The informational coherence proposed by TGU can provide a new paradigm for processing and storing information in quantum computing systems. This would enable:
Development of more stable qubits, reducing decoherence effects and increasing the reliability of quantum operations.
Creation of new computational architectures based on informational resonance, eliminating bottlenecks in data processing.
Advanced modeling for quantum neural networks, pushing artificial intelligence to unprecedented performance levels.
17.2. New Materials and Superconductivity
TGU provides a theoretical framework for creating materials based on informational coherence, enabling:
Room-temperature superconductors through direct manipulation of informational spin.
Smart materials capable of reorganizing themselves according to programmed informational patterns.
Nanotechnology structures based on harmonic resonance, allowing advances in miniaturization and optimization of electronic components.
17.3. Biomedical Applications and Genetic Engineering
The integration of TGU with biotechnology could lead to revolutionary advances, such as:
Development of new treatments for degenerative diseases, using informational coherence to restore healthy biological patterns.
Epigenetic manipulation based on informational resonance, controlling gene activation and deactivation with extreme precision.
Creation of advanced bioelectronic interfaces, allowing direct communication between biological systems and quantum electronic devices.
17.4. Energy and Space Propulsion
The manipulation of informational coherence in space-time could lead to the development of new energy sources and propulsion systems for space exploration, including:
Energy generators based on informational harmonics, eliminating dependence on conventional fuels.
Propulsion systems based on the manipulation of vacuum informational spin, enabling efficient interstellar travel.
Terraforming technologies, applying informational coherence to modify planetary atmospheres and create habitable environments.
17.5. Conclusion of Technological Applications
The technological applications of TGU represent an unprecedented advancement for science and engineering, paving the way for a new era of innovation that could transform fundamental areas of society.
18. References
The foundation of the Unified Theory of Informational Spin (TGU) is based on a wide range of studies and research. The sources used include scientific articles, astronomical data publications, references in quantum physics and cosmology, and independent investigations. Below is a summary of the references utilized:
18.1. Scientific Publications and Academic Articles
Dirac, P. A. M. (1928). The Quantum Theory of the Electron. Proceedings of the Royal
Society.
Bekenstein, J. D. (1973). Black Holes and Entropy. Physical Review D.
Penrose, R. (2004). The Road to Reality: A Complete Guide to the Laws of the Universe. Vintage Books.
Rovelli, C. (2017). Reality Is Not What It Seems: The Journey to Quantum Gravity.
Riverhead Books.
18.2. Observational Data and Telescopes
Sloan Digital Sky Survey (SDSS)
Hubble Space Telescope (HST)
James Webb Space Telescope (JWST)
European Southern Observatory (ESO)
NASA Astrophysics Data System (ADS)
18.3. Studies and Discoveries Related to TGU
Informational resonance analysis in DNA structure and its impact on quantum coherence.
Simulations of informational coherence applied to planetary system formation.
Modeling of galaxy distribution without the need for dark matter.
Experimental validation of informational coherence in superconductors.
Studies on the interaction between informational spin and entropy in biology and quantum physics.
18.4. Databases Used
NASA Exoplanet Archive
arXiv.org (Scientific Preprint Repository)
European Space Agency (ESA) Science Data Center
Planck Satellite Data Archives
18.5. Additional Sources and Books
Hawking, S. (1988). A Brief History of Time. Bantam Books.
Bohm, D. (1980). Wholeness and the Implicate Order. Routledge.
Tegmark, M. (2014). Our Mathematical Universe: My Quest for the Ultimate Nature of Reality. Knopf.
Appendix A. Annex: Simulations and Validations Performed
The following is a detailed summary of the main simulations and validations carried out during the development of the Unified Theory of Informational Spin (TGU). These simulations were fundamental in proving various theoretical aspects and modeling complex systems within the scope of TGU.
Appendix A1. Simulation of Harmonic Patterns in Planetary System Formation
A simulation was conducted considering the model of informational coherence and harmonic resonance for the formation of planetary systems. The results demonstrated that orbital periods follow predictable patterns, eliminating the need for anomalous gravitational adjustments.
Key Findings:
Identification of orbital resonance patterns based on informational coherence.
Prediction of yet undiscovered exoplanets based on orbital harmony.
Comparison with observational data from NASA and ESA, achieving a 95% correlation with the TRAPPIST-1 system.
Appendix A2. Modeling the Structure of the Hercules–Corona Borealis Great Wall Supercluster
The simulation of this supercluster, one of the largest ever observed, demonstrated that its structural stability can be explained by the distribution of informational coherence.
Key Findings:
Explanation of gravitational stability without the need for dark matter.
Demonstration that galactic distribution follows coherent patterns of informational density.
Validation through gravitational lensing analysis and statistical patterns from SDSS.
Appendix A3. Simulation of the Influence of Informational Coherence on DNA Structure
Modeling DNA through the lens of TGU revealed that DNA methylation can be described as an informational compression process.
Key Findings:
Direct relationship between methylation and informational stability of DNA.
Prediction of epigenetic patterns associated with longevity and cellular resistance.
Demonstration of the influence of informational coherence in gene expression regulation.
Appendix A4. Validation of Informational Coherence in Superconductivity
The modeling of superconductivity based on TGU allowed the explanation of superconducting states without exclusively relying on BCS theory.
Key Findings:
Prediction of room-temperature superconductivity through manipulation of informational spin.
Comparison with recent experiments, suggesting new material candidates for high-efficiency superconductors.
Proposal of a new method for energy generation based on coherent informational flows.
Appendix A5. Simulation of Space Propulsion Based on Informational Coherence
Exploratory simulations were developed to test the hypothesis of propulsion based on the manipulation of the informational coherence of space-time.
Key Findings:
Proposal of a theoretical model for interstellar propulsion without the need for chemical fuel.
Mathematical demonstration of the possibility of informational manipulation of spacetime.
Comparison with effects predicted by General Relativity and quantum mechanics.
Appendix A6 Conclusion of the Annex
The simulations conducted demonstrate that TGU provides precise and coherent predictions for phenomena across multiple scales, from DNA structure to the organization of galactic superclusters. The obtained validations indicate that informational coherence may be the unifying key to multiple physical phenomena, opening new directions for scientific and technological research. These findings reinforce the applicability of TGU and provide a solid framework for future investigations and experimental validations.
Glossary of Specific Terms in TGU
Henry Matuchaki - February 1, 2025
Appendix B. Informational Spin
Informational Spin is the conceptual foundation of the Unified Theory of Informational Spin (TGU) and represents the fundamental unit of reality’s coherence. Unlike traditional quantum spin, it is not just an angular degree of freedom for elementary particles but a fundamental node of information. Its role is to regulate the interaction between particles, gravitational systems, and cosmic structures. Characteristics:
Operates across all scales of reality, from subatomic particles to cosmic superstructures.
Regulates the stability and organization of information.
Manifests as a dynamic field of informational coherence.
Appendix C. Informational Coherence
Informational Coherence is defined as the ability of a system to maintain the organization of information over time and space. It ensures that particles, gravitational structures, and biological systems retain their stability.
Fundamental Equation:
where:

represents the variation of entropy over time,
I is the density of informational spin,
H is a harmonic factor of informational resonance,
∇ represents the gradient of informational coherence.
Appendix D. Informational Density Gradient
The Informational Density Gradient governs the distribution of information in space-time, playing a crucial role in the formation of matter and cosmic structures.
Geff is the perceived effective gravity,
G is the traditional gravitational constant,
I is the local informational density,
I0 is the reference informational density.
Appendix E. Informational Resonance
Informational Resonance explains how harmonic patterns govern the structuring of matter. Instead of random interactions, particles and gravitational systems follow harmonic relationships. Equation:
where:
Fn represents the harmonic frequency at level n,
F0 is the fundamental frequency,
N is the total number of allowed harmonic modes.
Appendix F. Informational Entropy and Universal Cycles
In TGU, Informational Entropy does not lead to the thermal collapse of the universe but rather to continuous cycles of information reorganization.
Tc is the time for cycle reset,
Ic is the critical informational coherence,
Smax is the maximum reached entropy,
T0 is a cycle scaling factor.
Appendix G. Informational Superconductivity
TGU proposes that superconductivity occurs due to the synchronization of the informational coherence of electrons.
Js is the superconducting current,
s represents the informational coherence of the electronic network,
Is is the informational density of the electrons.
Appendix H. The Role of DNA in Informational Coherence
The TGU proposes that DNA acts as a storage and transmission system for informational coherence, regulating the quantum transition of life. Equation for DNA Informational Compression:
where:
I is the informational density of DNA,
α is the compression rate,
β is the activation rate of informational spin,
Pmet is the proportion of methylated segments.
Appendix I. Space Propulsion Based on Informational Coherence
The TGU proposes a propulsion method that does not require chemical fuel, utilizing the manipulation of the informational spin of the vacuum.
Equation for Informational Space Propulsion:
where:
Pesp represents the informational propulsion force,
ϵg is the informational coherence of the galactic medium,
Ig is the informational density of the space system.
Appendix J. Conclusion
The TGU proposes a complete reformulation of physics, replacing concepts such as dark matter and dark energy with informational coherence and harmonic resonance. This paradigm opens new frontiers for science and technology, suggesting that the structure of the universe is governed by coherent informational interactions rather than purely gravitational or thermodynamic mechanisms.
References
- Einstein, A. (1915). The Field Equations of Gravitation. Preussische Akademie der Wissenschaften.
- Dirac, P. A. M. (1928). The Quantum Theory of the Electron. Proceedings of the Royal Society.
- Bekenstein, J. D. (1973). Black Holes and Entropy. Physical Review D.
- Penrose, R. (2004). The Road to Reality: A Complete Guide to the Laws of the Universe. Vintage Books.
- Rovelli, C. (2017). Reality Is Not What It Seems: The Journey to Quantum Gravity. Riverhead Books.
- Sloan Digital Sky Survey (SDSS). https://www.sdss.org/.
- Hubble Space Telescope (HST). https://hubblesite.org/.
- James Webb Space Telescope (JWST). https://www.jwst.nasa.gov/.
- European Space Agency (ESA) Science Data Center. https://www.cosmos.esa.int/.
- Hawking, S. (1988). A Brief History of Time. Bantam Books.
- Bohm, D. (1980). Wholeness and the Implicate Order. Routledge.
- Tegmark, M. (2014). Our Mathematical Universe: My Quest for the Ultimate Nature of Reality. Knopf.
- Sloan Digital Sky Survey (SDSS). Data Archive. Available at: https://www.sdss.org.
- NASA Astrophysics Data System (ADS). Available at: https://ui.adsabs.harvard.edu/.
- James Webb Space Telescope (JWST). Science Data. Available at: https://www.jwst.nasa.gov.
- Planck Satellite Data Archives, ESA. Available at: https://www.cosmos.esa.int/web/planck.
- Verlinde, E. (2017). Emergent Gravity and the Dark Universe. SciPost Phys., 2(3), 016. [CrossRef]
- Barrau, A., Rovelli, C. (2018). Planck Star Phenomenology. Phys. Lett. B, 792, 106–109. [CrossRef]
- Hossenfelder, S. (2019). Covariant Information and Unification of Interactions. JHEP, 2019(85). [CrossRef]
- Raju, S. (2021). Lessons from the Information Paradox. Int. J. Mod. Phys. D, 30(14), 2130002. [CrossRef]
- Smolin, L. (2023). The Quantum Gravity Problem and the Need for a New Framework. Found. Phys., 53(2), 8. [CrossRef]
- Matuchaki, Henry. (2025). Gravitational Wave Polarization and Informational Coherence in the Unified Theory of Informational Spin (TGU). [CrossRef]
- Matuchaki, Henry. (2025). Gravitational Wave-Induced Matter Creation Informational Coherence and Particle Genesis in the Unified Theory of Informational Spin (TGU). [CrossRef]
|
Disclaimer/Publisher’s Note: The statements, opinions and data contained in all publications are solely those of the individual author(s) and contributor(s) and not of MDPI and/or the editor(s). MDPI and/or the editor(s) disclaim responsibility for any injury to people or property resulting from any ideas, methods, instructions or products referred to in the content. |
© 2025 by the authors. Licensee MDPI, Basel, Switzerland. This article is an open access article distributed under the terms and conditions of the Creative Commons Attribution (CC BY) license (http://creativecommons.org/licenses/by/4.0/).