Submitted:
05 February 2025
Posted:
06 February 2025
You are already at the latest version
Abstract
Keywords:
1. Introduction
2. Materials and Methods
2.1. Plant Material
2.2. Field Experimental Design
2.3. Investigation of Agronomic Traits at the Seedling Stage
2.4. Agronomic Trait Survey at Heading Stage
2.5. CASLs Propagation
2.5. Yield Trait Survey
2.6. Spike Trait Survey
| Level | Awn Length and Position |
|---|---|
| No Awn | Completely without awns or awns are extremely short. |
| Top Awn | Awns present at the top of the spike, with a length of <5mm, no awns at the lower part of the spike. |
| Curved Awn | The base of the awn is swollen and curved. |
| Short Awn | Awns present both at the top and bottom of the spike, with a length <40mm. |
| Long Awn | Awn length >40mm. |
| Trait | Phenotype Description |
|---|---|
| Spindle-shaped | The ear is pointed at both ends, with the middle slightly larger. |
| Oval-shaped | The middle is wide, with both ends slightly smaller, resembling an ellipse. |
| Rectangular-shaped | The ear is relatively short, and the shape is consistent in the upper, middle, and lower parts, appearing column-like. |
| Club-shaped | The ear is smaller at the bottom and larger at the top, with tightly clustered spikelets at the upper part, resembling a big head. |
| Conical-shaped (Pagoda-shaped) | The ear is larger at the bottom and smaller at the top, resembling a cone. |
3. Results
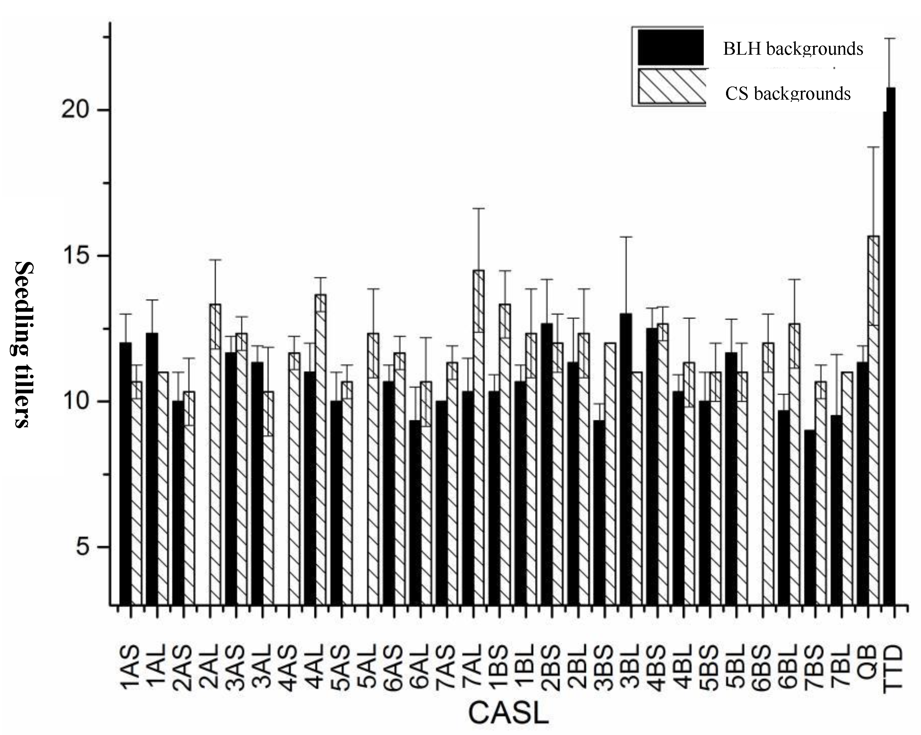
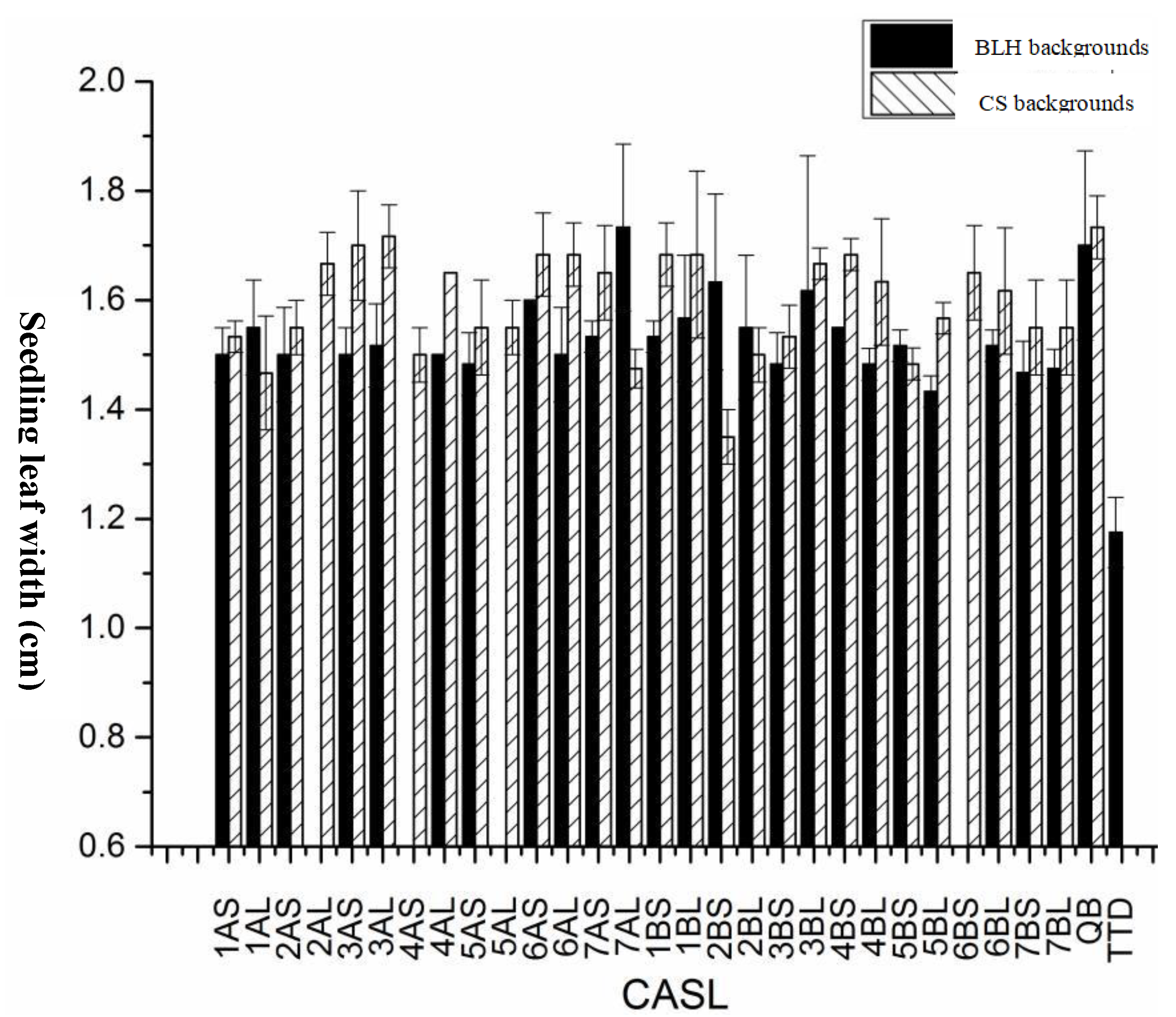
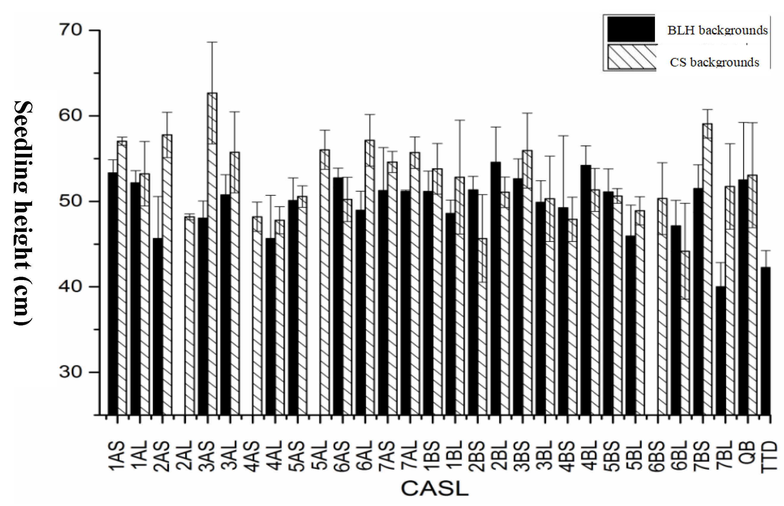
3.1. Statistical Analysis of Agronomic Traits During the Seedling Stage



3.2. Agronomic Trait Statistical Analysis at Heading Stage
| CASL | Mean/day | significant | SD |
|---|---|---|---|
| 2BS | 137.4 | A | 1.4 |
| 4AL | 134.8 | B | 2.3 |
| 6BL | 123.4 | C | 0.5 |
| 6BS | 122.6 | CD | 0.5 |
| 5BS | 121.8 | CDE | 1.7 |
| 7BL | 121.5 | CDE | 1.5 |
| 5BL | 121.4 | CDEF | 1.1 |
| 3BL | 121.3 | CDEF | 1.8 |
| 4AS | 121.3 | CDEF | 1.8 |
| 6AS | 121 | CDEF | 0.8 |
| CS | 120.6 | CDEF | 1.4 |
| 1AL | 120.8 | CDEF | 1.0 |
| 1AS | 120.6 | CDEF | 0.9 |
| 5AL | 120.6 | CDEF | 0.9 |
| 2AL | 120.6 | CDEF | 1.9 |
| 7AL | 120.4 | CDEF | 0.6 |
| 4BS | 119.8 | CDEFG | 1.4 |
| 1BS | 119.7 | CDEFG | 2.7 |
| 7AS | 119.4 | CDEFG | 1.5 |
| 1BL | 119 | CDEFG | 1.6 |
| 2BL | 118.8 | CDEFG | 1.0 |
| 5AS | 118.6 | CDEFG | 0.9 |
| 2AS | 118.4 | DEFG | 2.7 |
| 6AL | 118.2 | EFG | 1.2 |
| 4BL | 117.8 | EFG | 1.8 |
| 3BS | 117.6 | FG | 1.1 |
| 3AS | 116.4 | G | 1.0 |
| 7BS | 114.7 | G | 1.3 |
| 3AL | 111.3 | G | 1.4 |


3.3. Investigation and Data Analysis of Grain Traits
| CASL | Grayscale Value | CASL | R Value | CASL | G Value | CASL | B Value |
|---|---|---|---|---|---|---|---|
| 4AL | 142.28±2.73 a | 2BS | 180.8±4.24 A | 4AL | 138.78±3.96 A | 2BL | 82.9±6.93 A |
| 2BS | 141.08±1.61 ab | 4AS | 179.37±8.16 AB | 2BS | 137.98±0.35 A | 2AL | 79.62±2.11 AB |
| 2BL | 140.75±2.07 abc | 2BL | 177.75±3.44 ABC | 2BL | 135.07±3.94 AB | 5BL | 78.37±1.1 ABC |
| 2AL | 139.72±0.68 abcd | 1AL | 176.92±0.79 ABCD | 2AL | 133.8±0.48 ABC | 1BS | 78.12±4.77 ABC |
| 1AL | 138.73±2.87 abcde | 2AL | 175.9±3.38 ABCDE | 1AL | 132.38±3.61 ABCD | 4AL | 77.88±4.54 ABCD |
| 5BL | 136.97±1.46 abcdef | 1BS | 172.58±0.8 ABCDEF | 3AS | 131.63±3.46 BCDE | CS | 77.87±2.92 ABCD |
| 3AS | 136.83±3.6 abcdef | 3AS | 172.35±5.03 ABCDEF | 5BL | 131.48±1.23 BCDEF | 6BS | 77.13±4.92 ABCDE |
| 6BS | 136.07±1.84 bcdefg | 5BL | 171.77±2.2 BCDEF | CS | 131.33±2.16 BCDEF | 2BS | 76.22±4.53 ABCDE |
| 1AS | 135.8±2.16 bcdefgh | 2AS | 171.75±2.39 BCDEF | 6BS | 130.75±4.29 BCDEFG | 5AL | 75.53±6.76 ABCDE |
| CS | 135.4±2.43 cdefgh | 1BL | 171.7±0.88 BCDEF | 1AS | 130.72±2.96 BCDEFG | 4AS | 75.5±2.05 ABCDE |
| 1BS | 135.38±2.27 cdefghi | 1AS | 171.47±0.78 BCDEF | 3AL | 130.12±0.42 BCDEFGH | 1AL | 75.47±5.39 ABCDE |
| 4AS | 135.28±0.9 cdefghi | 4BS | 171.42±3.05 BCDEF | 4AS | 130.08±1.63 BCDEFGH | 7BL | 75.05±1.48 ABCDE |
| 7AS | 135.17±0.28 cdefghi | 6BS | 170.7±2.59 BCDEF | 7AS | 130.02±0.46 BCDEFGH | 3AS | 74.9±1.73 ABCDE |
| 3AL | 134.65±0.73 defghi | 3BS | 170.58±6.72 BCDEF | 1BS | 128.4±2.42 CDEFGH | 3AL | 73.93±2.28 ABCDE |
| 4BS | 133.32±1.58 efghi | 7BS | 170.5±1.98 BCDEF | 3BL | 127.17±3.05 CDEFGH | 7AS | 73.38±4.87 ABCDE |
| 3BL | 133.22±2.24 efghi | 7AS | 170.32±1.43 BCDEF | 5AL | 126.93±0.96 CDEFGH | 1AS | 73±3.55 ABCDE |
| 5AL | 132.95±0.51 fghi | 3BL | 169.65±0.59 CDEF | 4BS | 126.92±1.34 CDEFGH | 3BL | 72.88±3.01 ABCDE |
| 3BS | 132.38±1.31 fghi | 6AS | 169.28±0.46 CDEF | 6BL | 125.62±4.2 DEFGH | 4BL | 72.82±3.27 ABCDE |
| 2AS | 132.25±2.69 fghi | 6BL | 168.72±6.18 CDEF | 3BS | 125.6±4.73 DEFGH | 6AL | 72.72±1.99 ABCDE |
| 1BL | 131.72±1.01 fghi | 3AL | 168.37±2.49 DEF | 2AS | 125.48±3.08 DEFGH | 3BS | 70.8±5.55 BCDE |
| 6BL | 131.7±2.79 fghi | 5AL | 168.22±2.05 DEF | 6AS | 125.35±2.43 DEFGH | 6BL | 70.55±4.67 BCDE |
| 6AS | 131.45±2.3 fghi | 4AL | 167.78±3.19 DEF | 6AL | 125.1±3.89 EFGH | 4BS | 70.33±1.38 BCDE |
| 6AL | 131.33±3.58 fghi | 5AS | 167.78±3.19 DEF | 7BL | 124.69±2.67 EFGH | 5BS | 69.97±2.55 BCDE |
| 7BS | 131.08±0.44 fghi | 6AL | 167.47±3.74 EF | 5AS | 124.5±3.56 EFGH | 1BL | 69.38±2.42 BCDE |
| 7BL | 130.83±2.77 ghi | CS | 167.12±4.74 EF | 5BS | 124.33±4 FGH | 7AL | 69.17±5.59 BCDE |
| 5AS | 130.37±2.51 ghi | 5BS | 166.68±1.97 EF | 1BL | 124.3±0.94 FGH | 6AS | 67.97±6.75 CDE |
| 5BS | 130.33±2.13 ghi | 4BL | 166.63±3.04 EF | 7BS | 124.3±0.79 FGH | 2AS | 67.62±2.34 CDE |
| 4BL | 130.07±2.57 hi | 7BL | 165.77±3.71 F | 7AL | 123.77±1.03 GH | 5AS | 67±6.22 DE |
| 7AL | 129.53±0.34 i | 7AL | 165.68±4.31 F | 4BL | 123.35±2.19 H | 7BS | 66.83±3.73 E |
| CASL | Length/mm | CASL | Width/mm | CASL | Thickness/mm | CASL | Projected Area /mm2 | CASL | TGW |
|---|---|---|---|---|---|---|---|---|---|
| 6AS | 8.34±0.16 a | 2AS | 3.73±0.01 a | 4BL | 2.82±0.08 a | 2AS | 23.41±0.1 a | 7AL | 35.48±1.16 a |
| 2AS | 8.34±0.21 a | 1BL | 3.7±0.1 ab | 3BL | 2.78±0.19 ab | 1BL | 22.65±0.65 ab | 7AS | 34.89±1.01 a |
| 4BL | 8.28±0.07 ab | 3BS | 3.67±0 abc | 2BL | 2.75±0.07 abc | 6AS | 22.27±0.38 bc | 4BS | 32.99±1.36 ab |
| 1BL | 8.14±0.13 abc | 7AL | 3.66±0.07 abc | 7AS | 2.74±0.09 abc | 7AL | 22.04±0.81 bcd | 6AL | 32.65±0.79 abc |
| 7AL | 8.03±0.1 abcd | 3AS | 3.66±0.04 abc | 4AS | 2.7±0.13 bc | 4BL | 21.96±0.99 bcd | 6AS | 32.56±1.47 abc |
| 5AS | 7.91±0.16 abcde | 5AS | 3.65±0 abcd | 7BS | 2.7±0.05 bc | 5AS | 21.74±0.59 bcde | 1BL | 32.54±0.98 abc |
| 3AS | 7.82±0.14 bcde | 2AL | 3.64±0.01 abcd | 2AS | 2.65±0.05 cd | 3AS | 21.56±0.56 cdef | 7BL | 32.3±1.15 abcd |
| 5AL | 7.82±0.25 bcdef | 5BS | 3.63±0.01 abcd | 3AS | 2.65±0.12 cd | 7BL | 21.56±0.26 cdef | 2AS | 32.29±1.49 abcd |
| 2BS | 7.81±0.06 bcdef | 4BS | 3.63±0.07 abcd | 7AL | 2.65±0.02 cd | 2AL | 21.51±0.42 cdefg | 1AL | 32.28±1.36 abcd |
| 7AS | 7.8±0.22 bcdef | 4BL | 3.62±0.11 abcde | 3AL | 2.64±0 cde | 3BS | 21.32±0.16 cdefg | 3AL | 32.25±1.51 abcd |
| 6AL | 7.7±0.15 cdef | 1AL | 3.61±0.01 abcde | 5AS | 2.64±0.03 cde | 5BS | 21.27±0.17 cdefg | 3AS | 31.97±1.91 abcde |
| 3AL | 7.68±0.15 cdef | 7BS | 3.59±0.02 abcde | 3BS | 2.57±0 def | 3AL | 21.1±0.54 defg | 5BS | 31.78±1.38 abcde |
| 7BL | 7.68±0.42 cdef | 3AL | 3.57±0.09 abcde | 2BS | 2.56±0.04 defg | 7AS | 21.09±0.34 defg | 4BL | 31.61±1.57 abcde |
| 3BS | 7.66±0.16 cdef | 6AS | 3.57±0.02 abcde | CS | 2.55±0.04 defg | 5AL | 21.07±0.72 defg | 5AS | 31.56±1.67 abcde |
| 4BS | 7.64±0.22 cdef | 7BL | 3.57±0.05 abcde | 1BL | 2.55±0.02 defg | 4BS | 21.06±0.38 defg | 3BL | 31.44±1.19 abcde |
| 2AL | 7.62±0.26 cdef | 2BL | 3.56±0.09 abcde | 5AL | 2.55±0.03 defg | 2BS | 20.74±0.17 efg | CS | 31.28±1.13 bcde |
| 5BL | 7.62±0.26 cdef | 5BL | 3.54±0.03 abcdef | 7BL | 2.54±0.02 defgh | 7BS | 20.65±0.42 efg | 4AS | 30.95±1.6 bcde |
| 1BS | 7.61±0.21 cdef | 5AL | 3.53±0.04 abcdef | 6BL | 2.53±0.07 defgh | 5BL | 20.63±0.3 fg | 1AS | 30.78±1.13 cde |
| 1AL | 7.61±0 cdef | 7AS | 3.53±0.02 abcdef | 6AL | 2.53±0.01 defgh | 6AL | 20.46±0.61 gh | 1BS | 30.76±2.02 cde |
| 1AS | 7.59±0.06 def | 6AS | 3.52±0.04 bcdef | 5BL | 2.52±0.01 efgh | 1AL | 20.42±0.36 gh | 5AL | 30.45±1.15 cdef |
| 5BS | 7.59±0.27 def | CS | 3.47±0.02 cdefg | 6BS | 2.51±0.01 fgh | CS | 20.42±0.27 gh | 7BS | 30.29±1.37 cdef |
| 6BL | 7.58±0.26 def | 1BS | 3.47±0.07 cdefg | 2AL | 2.48±0.02 fghi | 1BS | 19.54±1.11 hi | 3BS | 30.23±1.37 cdef |
| CS | 7.52±0.11 defg | 4AS | 3.46±0.04 cdefg | 5BS | 2.47±0.03 fghi | 4AS | 19.47±1.17 hi | 2BS | 29.22±0.95 cdef |
| 4AS | 7.42±0.22 efgh | 2BS | 3.45±0.13 defg | 1AL | 2.46±0.05 fghi | 4AL | 18.96±0.8 ij | 2BL | 29.22±0.79 cdef |
| 4AL | 7.28±0.34 fgh | 3BL | 3.42±0.09 efg | 4BS | 2.45±0.05 fghi | 2BL | 18.95±0.73 ij | 5BL | 29.18±1 cdef |
| 7BS | 7.08±0.76 ghi | 4AL | 3.34±0 fgh | 1BS | 2.45±0.07 ghi | 3BL | 18.87±0.34 ij | 6BL | 28.83±1.81 def |
| 3BL | 6.96±0.59 hij | 1AS | 3.28±0 gh | 1AS | 2.43±0.04 hi | 1AS | 18.19±0.31 jk | 2AL | 28.65±0.96 ef |
| 6BS | 6.74±0.67 ij | 6BS | 3.17±0.06 h | 6AS | 2.39±0.04 i | 6BS | 17.73±0.1 kl | 6BS | 27.05±1.15 f |
| 2BL | 6.57±0.67 j | 6BL | 2.98±0.03 i | 4AL | 2.12±0.02 j | 6BL | 17.2±0.14 l | 4AL | 26.63±1.66 f |
| CASLs | Heading Period | R Value | G Value | B Value | Grayscale Value | Width/mm | Length/mm | Average Grain Thickness | Projected Area/mm2 | TGW |
|---|---|---|---|---|---|---|---|---|---|---|
| Heading Period | 1 | |||||||||
| R Value | 0.555** | 1 | ||||||||
| G Value | 0.467* | 0.779** | 1 | |||||||
| B Value | 0.288 | 0.493** | 0.791** | 1 | ||||||
| Grayscale Value | 0.509** | 0.878** | 0.980** | 0.784** | 1 | |||||
| Width/mm | -0.353 | 0.023 | -0.276 | -0.344 | -0.207 | 1 | ||||
| Length/mm | -0.142 | -0.279 | -0.492** | -0.578** | -0.472** | 0.539** | 1 | |||
| Average Grain Thickness | -0.505** | -0.335 | -0.324 | -0.14 | -0.329 | 0.235 | 0.07 | 1 | ||
| Projected Area/mm2 | -0.291 | -0.116 | -0.404* | -0.505** | -0.353 | 0.895** | 0.839** | 0.192 | 1 | |
| TGW | -0.479** | -0.535** | -0.541** | -0.509** | -0.578** | 0.476** | 0.549** | 0.383* | 0.572** | 1 |
3.4. Statistical Analysis of Spike Traits
3.5. Statistical Analysis of Other Field Agronomic Traits
| CASL | Spike Length(cm) | CASL | Spikelet Number | CASL | Number of Effective Tillers | CASL | Grain Number Per Panicle |
|---|---|---|---|---|---|---|---|
| 6AS | 8.04±0.41 a | 6BL | 22.16±0.89 a | 5AL | 17.00±1.73 a | 7AL | 51.18±5.18 a |
| 5AL | 8.68±1.56 ab | 4BS | 21.83±1.6 ab | 2BL | 16.33±1.53 a | 3AS | 49.77±4.05 ab |
| 4AL | 8.04±0.38 abc | 4AS | 20.86±0.93 abc | 3BS | 15.33±0.58 ab | 2AS | 47.12±3.64 abc |
| 4BS | 7.77±0.79 abcd | 5BL | 20.52±1.29 abc | 7AS | 15.00±2.58 abc | 5BL | 46.07±4.67 abcd |
| 2AS | 8.03±0.31 bcd | 7BS | 20.48±2.01 abc | 5BL | 14.33±2.21 bcd | 1BS | 45.8±5.53 abcd |
| 3AS | 7.77±0.34 bcd | 1BL | 19.72±2.21 abcd | 1BS | 14.00±1.36 bcd | 3BL | 45.73±2.69 abcd |
| 3BL | 8.02±0.61 bcd | CS | 19.49±1.07 bcde | 2AS | 13.67±2.08 bcd | 1BL | 45.13±5.74 abcd |
| 7AL | 7.91±0.48 bcd | 3BS | 19.43±1.3 bcde | 7AL | 13.67±2.69 bcd | 6BL | 44.54±1.47 abcd |
| 4AS | 7.49±0.02 bcde | 5AL | 19.39±1.97 bcde | 3AS | 13.33±2.52 bcd | 3AL | 43.11±3.29 abcde |
| 3AL | 7.43±0.05 bcde | 7AL | 19.38±1.37 bcde | 3AL | 13.33±2.52 bcd | 7BS | 42.98±1.75 abcde |
| 6AL | 7.62±0.29 bcde | 7BL | 19.09±0.66 cdef | 4AL | 13.33±2.52 bcd | 4BS | 42.81±1.11 abcde |
| 1BL | 7.62±0.37 bcde | 5AS | 18.95±2.05 cdef | 4BS | 13.33±1.08 bcd | 6AL | 42.03±3.21 bcdef |
| 5AS | 7.45±0.1 bcde | 6BS | 18.84±0.99 cdefg | 6BS | 13.33±0.58 bcd | 7BL | 41.47±1.93 bcdef |
| 5BL | 7.7±0.28 cdef | 1BS | 18.83±1 cdefg | 5AS | 12.33±1.53 bcde | 5AL | 41.43±5.63 bcdef |
| 4BL | 7.22±0.19 cdef | 4AL | 18.82±0.49 cdefg | 1BL | 12.00±1.61 bcde | 5BS | 40.74±3.88 cdefg |
| 1AL | 6.71±0.26 cdef | 6AS | 18.61±2.76 cdefg | 3BL | 12.00±1 bcde | 4AL | 40.49±5.93 cdefg |
| 1BS | 7.42±0.55 cdef | 7AS | 18.51±1.86 cdefg | 4BL | 12.00±1.61 bcde | CS | 39.42±2.86 cdefg |
| 7BL | 6.91±0.7 cdef | 2BL | 17.75±1.41 defgh | 6AS | 11.67±2.06 bcde | 2AL | 38.58±2.73 cdefgh |
| CS | 7.03±0.6 cdef | 5BS | 17.62±2.04 defgh | 7BS | 11.67±1.53 bcde | 2BL | 38.48±3.84 cdefgh |
| 7AS | 7.06±0.38 cdef | 2AS | 17.36±1.01 defgh | 6AL | 11.33±0.58 bcde | 4BL | 38.46±2.63 cdefgh |
| 3BS | 6.62±0.43 cdef | 6AL | 17.26±1.13 defgh | CS | 11.00±1.00 bcde | 6BS | 37.55±3.65 cdefgh |
| 7BS | 6.7±0.55 cdef | 3BL | 17.19±0.44 defgh | 2AL | 10.67±1.79 bcdef | 6AS | 36.36±3.6 defgh |
| 6BL | 7.02±0.16 cdef | 4BL | 17.11±1.08 defgh | 2BS | 10.00±1.00 cdef | 7AS | 36.3±4.86 defgh |
| 1AS | 6.57±0.14 cdef | 1AL | 17.08±0.63 defgh | 7BL | 10.00±1.04 cdef | 2BS | 34.29±3.28 efgh |
| 2BL | 6.62±0.76 def | 3AL | 16.78±0.54 efgh | 4AS | 9.67±1.43 cdef | 4AS | 33.97±2.19 efgh |
| 5BS | 6.87±0.32 def | 3AS | 16.7±1.74 efgh | 5BS | 9.00±0.73 def | 1AL | 32.81±2.76 fgh |
| 2BS | 6.74±0.35 def | 2BS | 16.37±1.03 fgh | 6BL | 9.00±1.65 efg | 5AS | 31.28±3.04 gh |
| 6BS | 6.38±0.03 ef | 1AS | 16.2±0.9 gh | 1AL | 6.33±1.53 fg | 1AS | 30.57±2.41 h |
| 2AL | 6.04±0.38 f | 2AL | 15.71±1.52 h | 1AS | 6.00±1.00 g | 3BS | 30.13±2.75 h |
| CASL | Spike Length | Effective Grains | Effective Tiller | Spikelet Number | TGW |
|---|---|---|---|---|---|
| SpikeLength | 1 | ||||
| EffectiveGrains | 0.54** | 1 | |||
| EffectiveTiller | 0.41* | 0.33* | 1 | ||
| Spikelet Number | 0.23 | 0.17 | 0.19 | 1 | |
| TGW | 0.23 | 0.21 | 0.00 | -0.03 | 1 |
| BLH background | CS background | ||||||
|---|---|---|---|---|---|---|---|
| CASL | Plant Height(cm) | Panicle Type | Type of Spike Awn | CASL | Plant Height(cm) | Panicle Type | Type of Spike Awn |
| 5BS | 91.92±2.44A | Elliptic-type | Long awn | 2BS | 136.19±3.81A | Elliptic-type | No awn |
| 7AL | 91.74±2.83A | Elliptic-type | Long awn | 4AL | 126.52±3.48B | Elliptic-type | Base short awn Top long awn |
| 1AL | 91.10±2.03AB | Elliptic-type | Long awn | 7AL | 124.47±3.53BC | Elliptic-type | No awn |
| 5BL | 90.89±2.50AB | Elliptic-type | Long awn | 1BL | 122.67±4.33BCD | Elliptic-type | No awn |
| 1BS | 90.87±2.55AB | Elliptic-type | Long awn | 4BL | 122.98±4.02BCD | Elliptic-type | No awn |
| 6AS | 90.70±2.93AB | Elliptic-type | Long awn | 1AS | 122.08±4.92BCD | Rectangle | No awn |
| 1AS | 89.73±2.86AB | Elliptic-type | Long awn | 1AL | 121.53±3.47BCD | Clavate-type | No awn |
| 7AS | 89.73±2.86AB | Elliptic-type | Long awn | 1BS | 121.37±3.63BCD | Elliptic-type | No awn |
| 2AS | 87.93±2.4BC | Elliptic-type | Long awn | 4AS | 120.13±3.87BCDE | Elliptic-type | Base short awn Top long awn |
| 2BS | 87.87±2.55BC | Elliptic-type | Long awn | 3AS | 117.62±5.38BCDEF | Rectangle | No awn |
| BLH | 86.26±1.67CD | Elliptic-type | Long awn | 7BS | 117.02±2.98CDEFG | Elliptic-type | No awn |
| 3AL | 86.07±2.1CD | Elliptic-type | Long awn | 6AS | 116.01±3.99CDEFG | Elliptic-type | No awn |
| 2BL | 85.74±2.84CD | Elliptic-type | Long awn | 5AS | 115.24±4.76CDEFG | Elliptic-type | No awn |
| 3BL | 84.52±3.33CDE | Elliptic-type | Long awn | 7BL | 114.04±3.96DEFG | Elliptic-type | No awn |
| 3AS | 84.13±1.95DE | Elliptic-type | Long awn | 5AL | 113.82±4.18DEFG | cone model | No awn |
| 5AS | 84.02±2.2DE | Elliptic-type | Long awn | 6BS | 113.13±3.87DEFGH | Elliptic-type | Base short awn Top long awn |
| 3BS | 83.96±2.33DE | Elliptic-type | Long awn | CS | 112.61±2.39EFGHI | Elliptic-type | No awn |
| 4BL | 83.87±2.54DE | Elliptic-type | Long awn | 2AS | 111.97±3.03EFGHI | Elliptic-type | No awn |
| 4BS | 82.12±1.98EF | Elliptic-type | Long awn | 4BS | 111.82±3.18EFGHI | Elliptic-type | No awn |
| 4AL | 81.92±2.42EF | Elliptic-type | Long awn | 5BL | 110.59±4.41EFGHI | Elliptic-type | No awn |
| 7BS | 81.71±2.9EF | Elliptic-type | Long awn | 6AL | 109.83±5.17EFGHI | Elliptic-type | No awn |
| 6BL | 80.26±1.67FG | Elliptic-type | Long awn | 3AL | 109.16±5.84EFGHI | Elliptic-type | No awn |
| 6AL | 80.02±2.2FG | Elliptic-type | Long awn | 6BL | 109.25±3.75FGHI | Elliptic-type | Base short awn Top long awn |
| 1BL | 78.03±2.18G | Elliptic-type | Long awn | 3BS | 108.46±4.54FGHI | Rectangle | No awn |
| 7BL | 76.87±2.55G | Elliptic-type | Long awn | 5BS | 108.74±3.26GHI | Elliptic-type | No awn |
| TTD | 73.46±1.54H | Spindle-type | Long awn | 3BL | 105.08±2.92HI | Elliptic-type | No awn |
| 7AS | 103.69±3.31I | Elliptic-type | No awn | ||||
| 2AL | 102.99±4.01I | Clavate-type | No awn | ||||
| 2BL | 101.37±3.63I | Elliptic-type | No awn | ||||
| TTD | 73.46±1.54J | Spindle-type | Long awn | ||||


4. Discussion
4.1. The Utilization of Wild Emmer Wheat in Breeding
4.2. The important Agronomic Traits and Their Controlling Candidate Chromosomal Regions Analyses in CASLs
4.3. CASLs Offer a Powerful Tool for Dissecting the Genetic Control of These Complex Traits and Understanding Their Interactions
Funding
Data Availability Statement
Acknowledgments
Conflicts of Interest
References
- Kumar, A.; Mantovani, E.; Simsek, S.; Jain, S.; Elias, E.; Mergoum, M. Genome wide genetic dissection of wheat quality and yield related traits and their relationship with grain shape and size traits in an elite × non-adapted bread wheat cross. PloS one 2019, 14, e0221826. [Google Scholar] [CrossRef] [PubMed]
- Yuli, J.; Tiantian, G.; Hong, L.; Diaoguo, A. Research progress on the wheat powdery mildew resistance gene Pm2. Chinese Journal of Eco-Agriculture 2022, 30, 779–786. [Google Scholar]
- Ye, X.; Lin, Z.; Wang, K.; Tang, H.; Han, Z. Annual progress on new gene characterization and novel technology development for wheat genetic improvement in 2023. Science & Technology Review 2024, 42, 174–187. [Google Scholar]
- Millet, E.; Rong, J.; Qualset, C.; McGuire, P.; Bernard, M.; Sourdille, P.; Feldman, M. Production of wild emmer recombinant substitution lines in a modern common wheat cultivar and their exploitation for wheat improvement. Euphytica 2013, 190, 1–17. [Google Scholar] [CrossRef]
- Feldman, M. Historical aspects and significance of the discovery of wild wheats. Stadler Symposium 1977, 9, 121–146. [Google Scholar]
- Feldman, M.; Sears, E. The wild gene resources of wheat. Sci Am 1981, 244, 102–112. [Google Scholar] [CrossRef]
- Feldman, M.; Millet, E. (1995).Methodologies for identification, allocation and transfer of quantitative genes from wild emmer into cultivated wheat. In: Proceedings of the 8th International Wheat Genetics Symposium, Beijing, China, pp. 19–27.
- Millet, E.; Rong, J.; Qualset, C.; McGuire, P.; Bernard, M.; Sourdille, P.; Feldman, M. Production of chromosome-arm substitution lines of wild emmer in common wheat. Euphytica 2012, 190, 1–17. [Google Scholar] [CrossRef]
- Millet, E. , Rong, J. , Qualset, C., Mcguire, P., Bernard, M., Sourdille, P.; Feldman, M. Grain yield and grain protein percentage of common wheat lines with wild emmer chromo some-arm substitutions. Euphytica 2014, 195, 69–81. [Google Scholar]
- Orlovskaya, O.; Leonova, I.; Solovey, L.; Dubovets, N. Molecular cytological analysis of alien introgressions in common wheat lines created by crossing of Triticum aestivum with T. dicoccoides and T. dicoccum..Vavilovskii zhurnal genetiki i selektsii 2023, 553–564. [Google Scholar]
- Almadi, H.; Nazarian, F. The inheritance and chromosomal location of morphological traits in wildwheat, Triticum turgidum L. ssp.dicoccoides, Euphytica 2007, 158, 103–108. [Google Scholar]
- Zheng, Q.; Zhao, L.; Li, B.; Li, H.; Wan, J.; Zhang, X. Wheat wide hybridization and chromosome engineering breeding in China. Hereditas(Beijing) 2025, 1–13. [Google Scholar]
- Xie, W.; Nevo, E. Wild emmer: Genetic resources, gene mapping and potential for wheat improvement. Euphytica 2008, 164, 603–614. [Google Scholar] [CrossRef]
- Simmonds, J.; Fish, L.; Leverington-Waite, M.; Wang, Y.; Howell, P.; Snape, J. Mapping of a gene (Vir) for a non-glaucous, viridescent phenotype in bread wheat derived from Triticum dicoccoides, and its association with yield variation. Euphytica 2008, 159, 333–341. [Google Scholar] [CrossRef]
- Joppa, L.; Cantrell, R. Chromosome location of genes for grain protein content of wildtetraploid wheat. Crop Sci 1990, 30, 1059–1064. [Google Scholar] [CrossRef]
- Kumar, N.; Kulwal, P.; Balyan, H.; Gupta, P. QTL mapping for yield and yield contributing traits in two mapping populations of bread wheat. Mol. Breed 2007, 19, 163–177. [Google Scholar] [CrossRef]
- Feldman, M.; Millet, E.; Abbo, S. (1994).Exploitation of wild emmer wheat to increase yield and protein content in durum and common wheat. In: Proceedings of the EUCARPIA meeting of the Genetic Resources Section, March 15–18, 1994 Clermont-Ferrand, France.
- Zhou, W.; Jiang, Y.; Zhang, W.; Xu, G.; Rong, J. Characterization of Large Chromosome Segment Introgressions from Triticum turgidum subsp. dicoccoides into Bread Wheat with Simple Sequence Repeat Markers.Crop Science 2013, 53, 1555–1565. [Google Scholar]
- Zhao, Y.; Miao, Y.; Cao, Y.; Rong, J. Investigation on the Seed Germination and Seedling Growth of Chromosome Arm Substitution Lines of Triticum dicoccoidesin the Background of T. aestivum. Journal of Triticeae Crops 2017, 37, 287–294. [Google Scholar]
- Merchuk-Ovnat, L.; Fahima, T.; Ephrath, J.; Krugman, T.; Saranga, Y. Ancestral QTL alleles from wild emmer wheat enhance root development under drought in modern wheat. Frontiers in Plant Science 2017, 8. [Google Scholar] [CrossRef]
- Kunert, A.; Naz, A.; Dedeck, O.; Pillen, K.; Leon, J. AB-QTL, analysis imn winter wheat: I. Synthetichexaploid wheat (7. tugidum ssp, dicoccoides X T. tauschii ) as a source of favourable alleles for millingand baking quality traits. Theoretical and Applied Genetics 2007, 115, 683–695. [Google Scholar]
- Naz, A.; Kunert, A.; Lind, V.; Pillen, K.; Leon, J. AB-QTL, analysis in winter wheat: Il. Genetic analysisof seedling and field resistance against leafrust in a wheat advanced backcross, population. Theoretical andApplied Genetics 2008, 116, 1095–1104. [Google Scholar]
- Blanco, A.; Gadaleta, A.; Cenci, A.; Carluccio, A.; Abdelbacki, A.; Simeone, R. Molecular mapping of the novel powdery mildew resistance gene Pm36 introgressed from Triticum turgidumvar. dicoccoides in durum wheat. Theoretical and Applied Genetics 2008, 117, 135–142. [Google Scholar] [CrossRef] [PubMed]
- Fu, D.; Uauy, C.; Distelfeld, A.; Blechl, A.; Epstein, L.; Chen, X.; Dubcovsky, J. A kinase-start gene confers temperaturedependent resistance to wheat stripe rust. Science 2009, 323, 1357–1360. [Google Scholar] [CrossRef] [PubMed]
- Klymiuk, V.; Yaniv, E.; Huang, L.; Raats, D.; Fatiukha, A.; Chen, S.; Fahima, T. Cloning of the wheat Yr15 resistance gene sheds light on the plant tandem kinase-pseudokinase family. Nature Communications 2018, 9. [Google Scholar] [CrossRef] [PubMed]
- Qie, Y.; Liu, Y.; Wang, M.; Li, X.; See, D.; An, D.; Chen, X. Development, validation, and re-selection of wheat Lines with pyramided genes Yr64 and Yr15 linked on the short arm of chromosome 1B for resistance to stripe rust. Plant Disease 2019, 103, 51–58. [Google Scholar] [CrossRef] [PubMed]
- Yaniv, E.; Raats, D.; Ronin, Y.; Korol, A.; Grama, A.; Bariana, H.; Fahima, T. Evaluation of marker-assisted selection for the stripe rust resistance gene Yr15, introgressed from wild emmer wheat. Molecular Breeding 2015, 35. [Google Scholar] [CrossRef] [PubMed]
- Uauy, C.; Distelfeld, A.; Fahima, T.; Blechl, A.; Dubcovsky, J. A NAC gene regulating senescence improves grain protein, zinc, and iron content in wheat. Science 2006, 314, 1298–1301. [Google Scholar] [CrossRef] [PubMed]
- Khan, M.; Anwar, S.; Khan, M. Genetic variability for seedling traits in wheat (Triticum aestivum L. ) under moisture stress conditions. Asian J Plant Sci. 2002, 1, 588–590. [Google Scholar] [CrossRef]
- Salih, A. .SNP markers for seedling traits revealed by association analysis andgenetic variation in durum wheat accessions (Triticum turgidum L. ssp. durum Desf)].Huazhong Agricultural University 2016 Doctoral Dissertation.
- Meles, B.; Genetic, V. Correlation and path analysis of yield and grain quality traits in bread wheat (Tritium aestivum L. ) genotypes at Axum, Northern Ethiopia.Journal of Plant Breeding and Crop Science 2017, 9, 175–185. [Google Scholar]
- Bavec, M.; Bavec, F.; Varga, B.; Kovacˇevic´, V. Relationships among yield, it’s quality and yield components in winter wheat (Triticum aestivum L. ) cultivars affected by seeding rates. Die Bodenkultur 2002, 53, 143–151. [Google Scholar]
- Botwright, T.; Condon, A.; Rebetzke, G.; Richards, R. Field evaluation of early vigour for genetic improvement of grain yield in wheat. Aust J Agric Res. 2022, 53, 1137–1145. [Google Scholar] [CrossRef]
- Gegas, V.; Nazari, A.; Griffiths, S.; Simmonds, J.; Fish, L.; Orford, S.; Sayers, L.; Doonan, J.; Snape, J. A genetic framework for grain size and shape variation in wheat. Plant Cell 2010, 22, 1046–1056. [Google Scholar] [CrossRef] [PubMed]
- Farahani, H.; Moaveni, P.; Maroufi, K. Effect of seed size on seedling production in wheat (Triticum aestivum L. ). Adv. Environ. Biol. 2011, 5, 1711–1715. [Google Scholar]
- Russo, M.; Ficco, D.; Laido, G.; Marone, D.; Papa, R.; Blanco, A.; Gadaleta, A.; Vita, P.; Mastrangelo, A. A dense durum wheat ×T. dicoccum linkage map based on SNP markers for the study of seed morphology. Mol Breed 2014, 34, 1579–1597. [Google Scholar]
- Kumar, A.; Mantovani, E.; Seetan, R.; Soltani, A.; Echeverry-Solarte, M.; Jain, S.; Simsek, S.; Doehlert, D.; Alamri, M.; Elias, E. Dissection of Genetic Factors underlying Wheat Kernel Shape and Size in an Elite × Nonadapted Cross using a High Density SNP Linkage Map. The Plant Genome 2016, 9. [Google Scholar] [CrossRef] [PubMed]
- Feng, F.; Han, Y.; Wang, S.; Yin, S.; Peng, Z.; Min, Z.; Gao, W.; Wen, X.; Qin, X.; Siddique, K. The Effect of Grain Position on Genetic Improvement of Grain Number and Thousand Grain Weight in Winter Wheat in North China. Frontiers in Plant Science 2018, 9, 129. [Google Scholar] [CrossRef] [PubMed]
- Guy, G.; Idan, A.; Aviad, P.; Zimran, G.; Peleg, Z. GNI-A1 mediates trade-off between grain number and grain weight in tetraploid wheat. TAG. Theoretical and applied genetics. Theoretische und angewandte Genetik 2019, 132, 2353–2365. [Google Scholar]
- Slafer, G.; Calderini, D.; Miralles, G. (1996). Yield components and compensation in wheat: opportunities for future increasing yield potential. In: Reynolds MP, Rajaram S(eds) Increasing yield potential in wheat: breaking the barriers. Proc. Workshop held in CIMMYT, Ciudad Obrego´n, Sonora, Mexico, CIMMYT, p101-133.
- Wu, Q.; Chen, Y.; Zhou, S.; Fu, L.; Chen, J.; Xiao, Y.; Zhang, D.; Ouyang, S.; Zhao, X.; Cui, Y. High-Density Genetic Linkage Map Construction and QTL Mapping of Grain Shape and Size in the Wheat Population Yanda1817×Beinong6. PLoS One 2015, 10, e0118144. [Google Scholar] [CrossRef]
- Xu, Y. (2020).Response of seedling biomass and agronomictraitsin maturity stage of wheat tonitrogen, phosphorus and potassium deficiency and it’s genetican alysis[D].Tai’an Shandong:Shandong Agriculture University.
- Sun, N.; Zhou, Q.; Zhi, L.; Qiao, P.; Mou, L.; Ni, S. &Chen, L. Identification of Drought Resistance at Seedling Stage and Correlation Analysisbetween Drought Resistance Indexes and lmportant Agronomic Characters of 240 Wheat Materials.Acta Agriculturae Boreali- occidentalis Sinica 2022, 147-156.
- Jiang, Y.; Schmidt, R.; Zhao, Y. , & Reif, J. A quantitative genetic framework highlights the role of epistatic effects for grain-yield heterosis in bread wheat. Nature Genetics 2017, 49, 1741–1746. [Google Scholar] [CrossRef]
Disclaimer/Publisher’s Note: The statements, opinions and data contained in all publications are solely those of the individual author(s) and contributor(s) and not of MDPI and/or the editor(s). MDPI and/or the editor(s) disclaim responsibility for any injury to people or property resulting from any ideas, methods, instructions or products referred to in the content. |
© 2025 by the authors. Licensee MDPI, Basel, Switzerland. This article is an open access article distributed under the terms and conditions of the Creative Commons Attribution (CC BY) license (https://creativecommons.org/licenses/by/4.0/).