Preprint
Article

This version is not peer-reviewed.

Existence and Uniqueness of the Viscous Burgers’ Equation with the p-Laplace Operator

Submitted:

05 February 2025

Posted:

06 February 2025

You are already at the latest version

Abstract
In this paper, we investigate the existence and uniqueness of solutions for the viscous Burgers’ equation for the isothermal flow of power-law non-Newtonian fluids $$\rho (\partial_t u + u \partial_x u)=\mu \partial_x \left(\left|\partial_x u \right|^{p-2} \partial_x u\right),$$ augmented with the initial condition $u(0, x)=u_0$, $0<x<L$ and the boundary condition $u(t, 0)=u(t, L)=0$, where $\rho$ is the density, $\mu$ the viscosity, $u$ the velocity of the fluid and $p$, $1<p<2$, $L, T>0$. Moreover, numerical solutions to the problem are constructed by applying the high-level modeling and simulation package COMSOL Multiphysics at small and large Reynold's numbers.
Keywords: 
;  ;  ;  ;  ;  ;  

1. Introduction

The Burgers’ equation, first introduced by J.M. Burgers, is a fundamental model for various physical processes, including shock wave propagation and turbulence [1]. Originally formulated for Newtonian fluids, the Burgers’ equation has been extensively analyzed; however, its generalization to non-Newtonian fluids—specifically those described by the power-law model—has received comparatively less attention for the case when 1 < p < 2 [2]. We employ a particular case of the generalized Burgers’ equation formulated by Wei and Jordan [3], which was used to analyze acoustic propagation in power-law fluids. Traveling wave solutions of this equation were derived by Wei and Borden [4].
This paper’s main focus is to investigate the existence and uniqueness of weak solutions to the generalized viscous Burgers’ equation. The study is framed within the context of Sobolev spaces, which provide a robust mathematical environment for addressing weak solutions and ensuring appropriate regularity conditions [5].
Establishing the existence of weak solutions to nonlinear partial differential equations (PDEs) like the generalized Burgers’ equation has been well-studied in the context of Newtonian fluids [6,7]. However, extending these results to the power-law non-Newtonian fluids involves additional complexities due to the nonlinearity introduced by the fluid’s viscosity [8]. The unique solutions for the generalized Burgers’ equation based on power-law fluids remain largely unexplored for the case when p 2 , creating a gap in the current literature that this paper aims to address.
Wei and Jordan [3] established the following Burgers’ equation
ρ ( t u + u x u ) = P x + x μ B + 4 3 μ k x u m 1 x u
as a model to study acoustic traveling waves in Power-law fluids with
m = p 1 , 0 < m < 1 is the power-law index.
In this paper, we study the well-posedness and numerical solutions of a special case of the above equation with initial and boundary conditions
ρ ( t u + u x u ) = μ x x u p 2 x u , u ( 0 , x ) = u 0 ( x ) , x [ 0 , L ] , u ( t , 0 ) = u ( t , L ) = 0 , t [ 0 , T ] .
By using the dimensionless variables x * = 1 L x , u * = 1 u 0 u , t * = u 0 L t , to the last equation, we obtain the following problem, in which x * , u * , t * are still denoted by x, u, t
t u + u x u = 1 R e x x u p 2 x u , u ( 0 , x ) = u 0 ( x ) , x [ 0 , 1 ] , u ( t , 0 ) = u ( t , 1 ) = 0 , t [ 0 , T ]
with 1 < p < 2 and m = p 1 . In equation (1), R e stands for the Reynolds number, a dimensionless quantity determining the flow behavior based on the balance of inertial and viscous forces. The Reynolds number for power-law fluids is given by
R e = ρ L p 1 μ u 0 p 3 ,
where L and u 0 represent the characteristic length and velocity, respectively (see, for example, [9]). The Reynolds number significantly influences the stability of the flow and the type of flow regime observed. Our numerical simulations demonstrate this. When in case p = 2 , equation (1) becomes a well-known Burgers’ equation for a Newtonian fluid
t u + u x u = 1 R e x 2 u , u ( 0 , x ) = u 0 ( x ) , x [ 0 , 1 ] , u ( t , 0 ) = u ( t , 1 ) = 0 , t [ 0 , T ] .
The well-posedness of the viscous Burgers’ equation for Newtonian fluid has been studied intensively in the literature (see, for example, [6,10,11]). To our knowledge, the well-posedness of the problem (1) has not been studied before. In our work, we prove the result concerning the existence, uniqueness, and regularity of a solution to the Burgers equation with p-Laplasian right-hand side (1).
Multiplying the equation of (1) by a test function w W 0 1 , p ( 0 , 1 ) , and integrating by parts from 0 to 1, we convert the initial boundary value problem (1) to the following integral equation
0 1 t u w d x + 0 1 u x u w d x + 1 R e 0 1 x u p 2 x u x w d x = 0
for all w W 0 1 , p ( 0 , 1 ) , t ( 0 , T ) and 1 < p < 2 .
Definition 1.1. 
For 1 < p < 2 , a function u L 2 0 , T ; W 0 1 , p ( 0 , 1 ) , for which t u L 2 0 , T ; L 2 ( 0 , 1 ) is said to be a weak solution of problem (1) if it satisfies equation (2) for each w W 0 1 , p ( 0 , 1 ) and a.e. t ( 0 , T ) and u ( 0 , x ) = u 0 for all x ( 0 , 1 ) .
Now, we present the main result of the work.
Theorem 1.2. 
Let u 0 W 0 1 , p ( 0 , 1 ) . Then there exists a unique solution u L 2 0 , T ; W 0 1 , p ( 0 , 1 ) of (1) such that t u L 2 0 , T ; L 2 ( 0 , 1 ) , in the sense of Definition 1.1.
In Section 2, we state some preliminary information needed to study the well-posedness of the problem (1), formulated in the weak form (2). Section 3 consists of two subSection 3.1 and Section 3.2. We obtain the existence result in Section 3.1 and establish the uniqueness of the solution in Section 3.2. Moreover, in Section 4, we construct the numerical solutions for the various values of the Reynolds number R e , by using the COMSOL PDE solver with some numerical manipulations to avoid singularity in p u at points where x u = 0 .

2. Preliminary

We present well-known facts that we will use to prove Theorem 1.2. The Gronwall’s inequality, some Sobolev inequalities, and the monotonicity of the p-Laplacian operator defined by p u = x x u p 2 x u are required to establish the main result.
Recall that L p ( 0 , 1 ) and W k , p ( 0 , 1 ) are the standard spaces of Lebesgue and Sobolev, respectively, for 1 < p < and k Z . For any Banach space X, we define L p ( 0 , T ; X ) to be the space of measurable functions u : ( 0 , T ) X such that
u L p ( 0 , T ; X ) = 0 T u X p d t 1 / p <
for 1 < p < and u L ( 0 , T ; X ) = ess sup 0 < t < T u X < if p = . L p ( 0 , T ; X ) is a Banach space [12].
Proposition 2.1 
(The differential form of Gronwall’s inequality [13]).
(i)
Let η ( · ) be a nonnegative, absolutely continuous function on [ 0 , T ] , which satisfies for a.e. t the differential inequality
η ( t ) ϕ ( t ) η ( t ) + ψ ( t ) ,
where ϕ ( t ) and ψ ( t ) are nonnegative, summable functions on [ 0 , T ] . Then
η ( t ) e 0 t ϕ ( s ) d s η ( 0 ) + 0 t ψ ( s ) d s
for all 0 t T .
(ii)
In particular, if
η ϕ η on [ 0 , T ] and η ( 0 ) = 0
then
η 0 on [ 0 , T ] .
Proposition 2.2 (Poincaré’s inequality
[13]). Assume U is a bounded, open subset of R n . Suppose u W 0 1 , p ( U ) for some 1 p < n . Then we have the estimate
u L q ( U ) C D u L p ( U )
for each q [ 1 , n p n p ] , the constant C depending only on p , q , n and U.
In particular, for all 1 p ,
u L p ( U ) C D u L p ( U ) .
Next, we recall the Bounded Convergence Theorem.
Proposition 2.3 
([14]). If f is a Lebesgue measurable function defined on a closed, bounded interval [a,b], with its L p norm for 1 < p < defined by
f p = a b | f ( x ) | p d x 1 / p
and L norm
f = ess . sup . { | f ( x ) | : a x b } .
If f 1 , f 2 , f 3 , is a sequence of measurable functions and M is a positive constant such that
f n M n = 1 , 2 ,
and lim n f n ( x ) = f ( x ) a.e. x [ a , b ] then
lim n f n f p = 0
for any p satisfying 0 < p < .
Now, we state the well-known Theorem.
Proposition 2.4 
([15]). The space L 2 ( 0 , T ; W 0 1 , p ( 0 , 1 ) ) is complete and separable if 1 < p < .
Proposition 2.5 (Jensen’s inequality)
[16] Let ( Ω , Λ , μ ) be a measure space with 0 < μ ( Ω ) < and let ϕ : I R be a convex function defined on an open interval I in R if f : Ω I is such that f , ϕ f L ( Ω , Λ , μ ) , then
ϕ 1 μ ( Ω ) Ω f d μ 1 μ ( Ω ) Ω ϕ ( f ) d μ .
Proposition 2.6 
([17]). If a sequence f n of continuous functions f n : A R converges uniformly on A R to f : A R , then f is continuous on A.

3. Existence and Uniqueness

3.1. Existence

In this subsection, we will prove the existence of solutions to the integral equation (2).
Firstly, we choose the basis e i j N L 2 ( 0 , 1 ) defined as a subset of the eigenfunction of the Laplacian for the Dirichlet problem.
x 2 e j = λ j e j , j N , e j = 0 , x { 0 , 1 } ,
where
e j = 2 sin j π x , λ j = ( j π ) 2
for j N .
Since e j j N is an orthonormal basis in L 2 ( 0 , 1 ) , then e j j N is also an orthonormal basis in W 0 1 , p ( 0 , 1 ) . Then for f L 2 ( 0 , 1 ) we can write
f = j = 1 c j ( t ) e j ,
with c j ( t ) = 0 1 f e j 2 d x 1 / 2 < , j = 1 , 2 , and the series c j 1 is converges in L 2 ( 0 , 1 ) .
Hence, the approximate solution u n ( t , x ) can be represented as follows
u n ( t , x ) = j = 1 n c j ( t ) e j ,
u n ( 0 ) = u 0 n = j = 1 n c j ( 0 ) e j .
Moreover, we suppose that u n ( t , x ) satisfy the following approximating problem
0 1 t u n e j d x + 0 1 u n x u n e j d x + 1 R e 0 1 x u p 2 x u x e j d x = 0 ,
u n ( 0 ) = u 0 n
for all j = 1 , , n , t [ 0 , T ] .
Remark 3.1. 
The coefficients c j ( 0 ) can be chosen such that lim n u 0 n = u ( 0 ) in W 0 1 , p ( 0 , 1 ) .
Furthermore, we prove the lemma concerning the solution of approximate problem (8).
Lemma 3.2. 
There exists a positive constant C 0 > 0 independent on n, that satisfies the following inequality
u n L 2 ( 0 , 1 ) 2 + 2 R e 0 t x u n L p ( 0 , 1 ) p d τ C 0
for all t [ 0 , T ] .
Proof. 
Taking e j : = u n and substituting into equation (8), we obtain
0 1 u n t u n d x + 0 1 u n 2 x u n d x + 1 R e 0 1 x u n p d x = 0 .
The first term of (9) can be written as follows
0 1 u n t u n d x = 1 2 d d t 0 1 u n 2 d x = 1 2 d d t u n L 2 ( 0 , 1 ) 2 .
Computing the second integral of (9) by the initial condition in (8) leads us to
0 1 u n 2 x u n d x = 0 1 x u n 3 d x = u n 3 0 1 = 0 .
By substituting the integrals (10) and (11) into (9), then integrating the equation (9) from 0 to t with respect to τ , we have
u n L 2 ( 0 , 1 ) 2 + 2 Re 0 t x u n L p ( 0 , 1 ) p d τ = u n 0 L 2 ( 0 , 1 ) 2 .
Application of inequality (3) to the left-hand side of (12) leads us to the assertion of the lemma. The proof of the lemma is complete. □
Lemma 3.3. 
There exists at least one solution of the approximating problem (8) such that u n L 2 ( 0 , T ; W 0 1 , p ( 0 , 1 ) ) .
Proof. 
It is obvious that
0 1 e i , e j d x = δ i j = 0 , i j 1 , i = j .
We note that
x u n x m 2 u n x = u n x m 1 2 u n x 2 + ( m 1 ) u n x m 2 2 u n x 2 u n x = m u n x m 1 2 u n x 2 .
Now, we represent the approximate equation (8) in the following form
0 1 u n t e j d x = 0 1 u n u n e j d x 1 R e 0 1 x u n x m 1 u n x e j d x
for j = 1 , , n .
The substitution (14) into (15) gives
0 1 u n t e j d x = 0 1 u n u n e j d x m R e 0 1 u n x m 1 u n x e j d x
for j = 1 , , n . We find the derivative of (6) with respect to t, then by (13), the integral on the left-hand side of (16) can be written as below
0 1 u n t e j d x = 0 1 i = 1 n c ˙ i ( t ) e i e j d x = c ˙ j ( t ) , j = 1 , , n .
First integral on the right-hand side of (16), we rewrite as follows
0 1 u n u n x e j d x = 0 1 i = 1 n c i ( t ) e i i = 1 n c i ( t ) e i e j d x = 0 1 i = 1 n c i ( t ) e i c j ( t ) d x = i = 1 n c i ( t ) 0 1 e i d x c j ( t )
for j = 1 , , n . Here i = 1 n c i ( t ) 0 1 e i d x is bounded on [ 0 , T ] , since
0 1 e i d x = a i , i = 1 , , n
with a i < constant numbers (see (5)).
Equation in (4) implies that
2 u n x 2 = i = 1 n λ i c i ( t ) e i .
By equation (20), we transform the second integral on the right-hand side of (16) in the following way
m R e 0 1 u n x m 1 2 u n x 2 e j d x = m λ j c j ( t ) R e 0 1 i = 1 n c i ( t ) e i m 1 d x
for j = 1 , , n .
Thus, substitutions (17), (18), and (21) into (16) lead us to the following homogeneous ordinary system of equations with respect to t
c ˙ j ( t ) = i = 1 n c i ( t ) 0 1 e i d x m λ j R e 0 1 i = 1 n c i ( t ) e i m 1 d x c j ( t )
for j = 1 , , n .
Furthermore, we introduce the following notations
c ( t ) = c 1 ( t ) c 2 ( t ) c n ( t ) , a = a 1 a 2 a n , λ = λ 1 λ 2 λ n
with a i ( i = 1 , , n ) from (19).
Therefore, by using our notations, the homogeneous system of ODE (22) can be written as follows
c ˙ = ( a · c ) c m R e 0 1 | e · c | m 1 λ c d x .
Here λ c is the Hadamard product of two vectors specified by the following formula
λ c = λ 1 λ 2 λ n c 1 c 2 c n = λ 1 c 1 λ 2 c 2 λ n c n .
Now we denote the right-hand side of(23) by F
F ( c ( t ) ) = ( a · c ) c m R e 0 1 | e · c | m 1 λ c d x .
The first term on the right-hand side of (24) is the linear. The second term on the right-hand side of (24) is a homogeneous system of ODE.
Now we denote the second term of (24) by F ˜ .
F ( c ) = ( a · c ) c m R e 0 1 ( e · c ) m 1 ( λ c ) d x , for e · c > 0 , ( a · c ) c m R e 0 1 ( e · c ) m 1 ( λ c ) d x for e · c < 0 .
So, equation (23) can be rewritten as the homogeneous system of equations
c ˙ j ( t ) = F j c j ( t ) , j = 1 , , n .
We show that
F ( c ) = F 1 c 1 F 1 c 2 F 1 c n F 2 c 1 F 2 c 2 F 2 c n F n c 1 F n c 2 F n c n
is bounded and continuous.
If e · c > 0 , then
F i c j = a j c i + ( a · c ) · δ i j m R e 0 1 ( m 1 ) e · c p 2 e j λ i c i + | e · c | p 1 λ i δ i j d x .
Notice that
a j c i + ( a · c ) δ i j + m R e 0 1 | e · c | p 1 λ i δ i j d x
is bounded and continuous in c .
We only consider to prove that
0 1 | e · c | p 2 e j λ i c i d x = λ i 0 1 | e · c | p 2 e j c i d x
is bounded and continuous at one point where e · c = 0 . So, each integrand | e · c | p 2 | λ i e i c j | of the following integrals
0 1 e c p 2 λ 1 e 1 c 1 λ 1 e n c 1 λ n e 1 c n λ n e n c n d x
is bounded, if c 0 . By Lemma 3.2, we have
u n L 2 2 = u n , u n = i = 1 n c i e i , i = 1 n c i e i = i = 1 n c i 2 = c R n 2 .
Equation (12) implies that c R n 2 c ( 0 ) 2 . Hence, c is bounded in R n . Then there exists sequence { c k ( t ) } 1 that converges to c ( t ) in R n for 0 < t < . Moreover, this sequence { c ˙ k ( t ) } 1 satisfies the estimates
c ˙ k ( a · c ) c + m R e 0 1 | e · c | m 1 λ c d x .
Consequently, there exist functions c ( t ) , c ˙ ( t ) such that lim n c k ( t ) = c ( t ) and lim n c ˙ k ( t ) = c ˙ ( t ) . Functions c k ( t ) , c ˙ k ( t ) are continuous and uniformly converge to c ( t ) , c ˙ ( t ) in R n for all 0 t < + . Then by the Proposition 2.6 on continuity of the sum of uniformly convergent series, functions c ( t ) , c ˙ ( t ) in R n are also continuous in R n for all 0 t < + . Thus, c ( t ) C [ 0 , + ) ; R n and c ˙ ( t ) C [ 0 , + ) ; R n .
Therefore, a system of equations (26) satisfies the condition of the existence of the homogeneous system of ODE. The right-hand side of equations (26) F j c j ( t ) is continuous for all j = 1 , , n on the bounded domain [ 0 , T ] . Consequently, there exists a unique solution
c ( t ) = c 1 ( t ) , c 2 ( t ) , , c n ( t )
of equation (26) on [ 0 , T ] that satisfies the initial condition c = c ( 0 ) or c ( 0 ) = c 1 ( 0 ) , c 2 ( 0 ) , , c n ( 0 ) for t = 0 .
The proof of the lemma is complete. □
We are now ready to prove the following lemma.
Lemma 3.4. 
There exists a weak solution of the equation (2) such that u L 2 ( 0 , T ; W 0 1 , p ( 0 , 1 ) ) .
Proof. 
Thus, by Lemma 3.3 there exists a weak solution u n of the approximating problem (8) in L 2 ( 0 , T ; W 0 1 , p ( 0 , 1 ) ) . Moreover, by Lemma 3.2 the sequence of functions u n n = 1 and t u n n = 1 are bounded in L 2 ( 0 , T ; W 0 1 , p ( 0 , 1 ) ) . Therefore, by Proposition 2.4, the sequence u n n = 1 has a subsequence that converges to some u L 2 ( 0 , T ; W 0 1 , p ( 0 , 1 ) ) . We denote this subsequence still by u n n = 1 , we obtain
lim n 0 T u n ( t ) u ( t ) 1 , p d t = 0 ,
which implies
lim n u n ( t ) u ( t ) L , p d t = 0
for a.e. t.
Since L 2 ( 0 , T ; W 0 1 , p ( 0 , 1 ) ) is complete space, then any { u n } n = 1 L 2 ( 0 , T ; W 0 1 , p ( 0 , 1 ) ) has a limit such that u L 2 ( 0 , T ; W 0 1 , p ( 0 , 1 ) ) . Since { u n } n = 1 L 2 ( 0 , T ; W 0 1 , p ( 0 , 1 ) ) , hence { x u n } n = 1 L 2 ( 0 , T ; L p ( 0 , 1 ) ) . Therefore lim n x u n = x u . □

4. Uniqueness

In the following lemma, we establish some auxiliary statements that we apply in the proof of Lemma 3.6.
Lemma 3.5. 
Let u W 0 1 , p ( 0 , 1 ) . Then there exists the positive number C 1 < such that C 1 = max x [ 0 , 1 ] x u .
Proof. 
Since u W 0 1 , p ( 0 , 1 ) , then the Embedding theorem
W 0 1 , p ( 0 , 1 ) C 1 [ 0 , 1 ]
implies that x u is continuous on [ 0 , 1 ] . Hence, by the Extreme Value theorem, if a function is continuous on a closed interval, it attains its maximum and minimum values on this interval. Consequently, there exists the positive number C 1 such that C 1 = max x [ 0 , 1 ] x u . □
Now we prove the uniqueness result.
Lemma 3.6. 
If C 1 < , the integral equation (2) has a unique weak solution.
Proof. 
Assume that there exist two solutions of equation (2), u 1 ( x , t ) and u 2 ( x , t ) . Taking w : = u ^ in the equation (2) and denoting by u ^ = u 1 u 2 , we obtain
0 1 u ^ t u ^ d x + 0 1 u 1 x u 1 u 2 x u 2 u ^ d x + 1 Re 0 1 x u 1 p 2 x u 1 x u 2 p 2 x u 2 ) u ^ d x = 0
with 1 < p < 2 .
The first integral on the left-hand side of (30) can be written as (10)
0 1 u ^ t u ^ d x = 1 2 d d t u ^ L 2 ( 0 , 1 ) .
We note that
( u 1 u 2 ) ( x u 1 x u 2 ) = u 1 x u 1 u 2 x u 1 u 1 x u 2 + u 2 x u 2 .
Therefore,
u 1 x u 1 u 2 x u 2 = u 1 u 2 x u 1 x u 2 + u 2 x u 1 u 2 + u 1 u 2 x u 2 = u ^ x u ^ + u 2 x u ^ + u ^ x u 2 .
Hence, the second integral of (30) can be represented in the following way
0 1 u 1 x u 1 u 2 x u 2 u ^ d x = 0 1 u ^ 2 x u ^ d x + 0 1 u 2 u ^ x u ^ d x + 0 1 u ^ 2 x u 2 d x .
By (11), the first term on the right-hand side of equation (32) equals zero.
By invoking Lemma 3.5, we bound the third integral on the right-hand side of (32)
| 0 1 u ^ 2 x u 2 d x | max x [ 0 , 1 ] x u 2 0 1 u ^ 2 d x = C 1 u ^ L 2 ( 0 , 1 ) 2 ,
where C 1 = max x [ 0 , 1 ] x u 2 .
Integrating by parts the second term on the right-hand side of equation (32), we have the same estimate as (33),
0 1 u 2 u ^ x u ^ d x = 1 2 0 1 u ^ 2 x u 2 d x C 1 2 u ^ L 2 ( 0 , 1 ) 2 .
So, we have the following estimate
0 1 u 1 x u 1 u 2 x u 2 u ^ d x 3 2 C 1 u ^ L 2 ( 0 , 1 ) 2
for the second integral of (30).
Furthermore, we bound the third term on the left-hand side of (30). Therefore, we apply the following inequality [18]
( p 1 ) | b a | 2 | b | p 2 b | a | p 2 a , b a
for b a > 0 , a , b R n and 1 < p < 2 , to the last term of the equation (30)
0 1 x u ^ 2 u ^ x d x 0 1 x u 1 p 2 x u 1 x u 2 p 2 x u 2 u ^ x d x .
The left-hand side of (35) can be written as follows
0 1 x u ^ 2 x u ^ d x = 0 1 x u ^ 3 d x = x u L 3 ( 0 , 1 ) 3 .
By Jensen’s inequality, we bound the norm in the last equation from below
x u L 2 ( 0 , 1 ) = 0 1 x u ^ 2 d x 1 2 = 0 1 x u ^ 3 · 2 3 d x 2 3 · 1 2 3 2 0 1 x u ^ 3 · 2 3 · 3 2 d x 1 3 x u L 3 ( 0 , 1 ) .
The last inequality and the inequality (35) implies that
x u L 2 ( 0 , 1 ) 3 0 1 x u 1 p 2 x u 1 x u 2 p 2 x u 2 u ^ x d x .
By combining inequalities (36), (34) and (31), the equation (30) implies that
d d t u ^ L 2 ( 0 , 1 ) 2 + 2 R e x u ^ L 2 ( 0 , 1 ) 3 3 C 1 u ^ L 2 ( 0 , 1 ) 2 .
Using Poincare’s inequality (2.2) to the last inequality leads us
d d t u ^ L 2 ( 0 , 1 ) 2 + 2 Re u ^ L 2 ( 0 , 1 ) 3 3 C 1 u ^ L 2 ( 0 , 1 ) 2 .
Combining the similar terms in the last inequality, we conclude that there exists a non-negative constant K such that
d d t u ^ L 2 ( 0 , 1 ) 2 K u ^ L 2 ( 0 , 1 ) 2
with K = 3 C 1 + 2 R e u ^ L 2 ( 0 , 1 ) .
To the inequality (37) using Gronwall’s Inequality that stated in Proposition 2.1, we have that u ^ = 0 . Thus, the solution of the problem (9) is unique. The proof of the lemma is complete. □

4. Numerical Part

In this section, we first create a data set by solving numerically the Reynolds number with prescribed Power-law rheology parameters. The corresponding parameters and values for the Reynolds number are listed in Table 1. Problem (1) is solved using the finite element software COMSOL Multiphysics 6.0. To apply the software COMSOL, the equation in (1) has been written in a standard form for the solver
e a 2 u t 2 + d a u t + · ( c u α u + γ ) + β · u + a u = f ,
where = x and u = u ( t , x ) . We construct the numerical solutions of problem (1) taking coefficients e a = 0 , d a = 1 , a = 0 , f = 0 , α = 0 , γ = 0 , β = u and c = 1 R e ( | u | ) m 1 in the last equation. The Dirichlet boundary condition is applied on both ends of the computational domain.
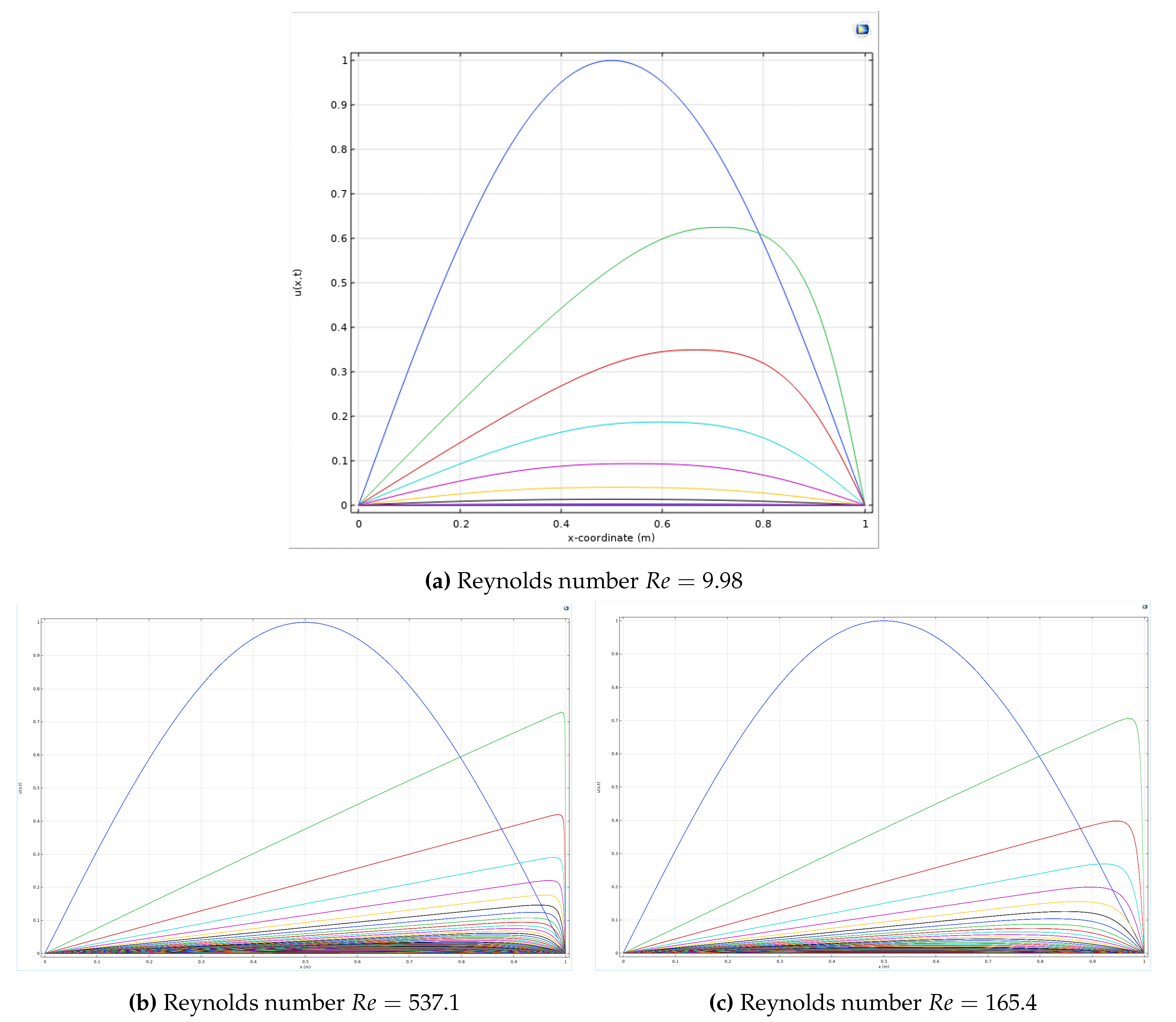
Figure 1 shows the simulated solutions obtained for the Burgers’ Equation based on a Power-law model with three different Reynolds numbers. In each case, the velocity profile has been shown for several instances of time. It can be observed that within a finite time T, the solution u and its derivative u x are bounded in [ 0 , 1 ] , as predicted by our theoretical results.

5. Conclusions

This work proves the existence and uniqueness of weak solutions of the viscous Burgers equation for the isothermal flow of power-law non-Newtonian fluids with initial and boundary conditions. A numerical experiment on COMSOL Multiphysics was conducted, confirming the theoretical part.

Acknowledgments

The first and third authors are supported by the Ministry of Science and Higher Education of the Republic of Kazakhstan Grant No. AP23489433.

References

  1. Burgers, J.M. A Mathematical Model Illustrating the Theory of Turbulence. Adv. Appl. Mech.. 1948, 1, 171–199. [Google Scholar]
  2. Bird, R.B.; Armstrong, R.C.; Hassager, O. Dynamics of Polymeric Liquids, Volume 1: Fluid Mechanics; Wiley: New York, 1987. [Google Scholar]
  3. Wei, D.; Jordan, P.M. A note on acoustic propagation in power-law fluids: Compact kinks, mild discontinuities, and a connection to finite-scale theory. Int. J. Nonlin. Mech. 2013, 48, 72–77. [Google Scholar] [CrossRef]
  4. Wei, D.; Borden, H. Traveling Wave Solutions of Burgers’ Equation for Power-law Non-Newtonian flows. Appl. Math. E-Notes. 2011, 11, 133–138. [Google Scholar]
  5. Adams, R.A.; Fournier, J.J.F. Sobolev Spaces, 2nd ed.; Academic Press: The Netherlands, 2003. [Google Scholar]
  6. Hopf, E. The partial differential equation ut+uux=μuxx. Commun. Pure Appl. Math. 1950, 3, 201–230. [Google Scholar] [CrossRef]
  7. Kruzhkov, S.N. First Order Quasilinear Equations in Several Variables. Math. USSR-Sb 1970, 10, 217–243. [Google Scholar] [CrossRef]
  8. Lions, J.L. Quelques Méthodes de Résolution des Problèmes aux Limites Non Linéaires; Dunod: Paris, 1969. [Google Scholar]
  9. Wei, D. Existence and uniqueness of solutions to the stationary power-law Navier-Stokes problem in bounded convex domains. Proceedings of Dyn. Syst. Appl. 2001, 3, 611–618. [Google Scholar]
  10. Cole, J.D. On a quasi-linear parabolic equation occurring in aerodynamics. Q. Appl. Math. 1951, 9, 225–236. [Google Scholar] [CrossRef]
  11. Temam, R. Navier-Stokes Equations: Theory and Numerical Analysis; Elsevier Science Publishers B.V.: Amsterdam, 1984. [Google Scholar]
  12. Benia, Y.; Sadallah, B. Existence of solutions to Burgers equations in domains that can be transformed into rectangles. Electr. J. Differ. Equ. 2016, 157, 1–13. [Google Scholar]
  13. Evans, L.C. Partial Differential Equations, 2nd ed.; American Mathematical Society: Providence, RI, 1998. [Google Scholar]
  14. Wade, W.R. The Bounded Convergence Theorem. Am. Math. Mon. 1974, 81, 387–389. [Google Scholar] [CrossRef]
  15. Lions, P.L. The concentration-compactness principle in the calculus of variations. The locally compact case, part 1. Ann. Inst. Henri Poincare (C) Anal. Non Lineaire 1984, 1, 109–145. [Google Scholar] [CrossRef]
  16. Dragomir, S.S.; Adil Khan M; Abathun A. Refinement of the Jensen integral inequality. Open Math. 2016, 14, 221–228. [Google Scholar] [CrossRef]
  17. Hunter, J.K. An Introduction to Real Analysis. https://www.collegesidekick.com/study-docs/3018040 (accessed 2014).
  18. Lindqvist, P. Notes on the Stationary p-Laplace Equation, 1st ed.; SpringerBriefs in Mathematics: Switzerland, 2019. [Google Scholar]
Figure 1. Velocity components for the flow of Power-law fluid.
Figure 1. Velocity components for the flow of Power-law fluid.
Preprints 148419 g001
Table 1. Parameter values for Power-law fluids.
Table 1. Parameter values for Power-law fluids.
Parameters Case 1 Case 2 Case 3
ρ ( k g / m 3 ) 1000 1100 1200
u ( m / s ) 0.10 10.0 2.00
L ( m ) 0.05 0.05 0.10
n 0.70 0.70 0.80
K ( P a · s n ) 1.00 2.00 2.00
γ ( s 1 ) 1000 200 500
R e 9.98 537.1 165.4
Disclaimer/Publisher’s Note: The statements, opinions and data contained in all publications are solely those of the individual author(s) and contributor(s) and not of MDPI and/or the editor(s). MDPI and/or the editor(s) disclaim responsibility for any injury to people or property resulting from any ideas, methods, instructions or products referred to in the content.
Copyright: This open access article is published under a Creative Commons CC BY 4.0 license, which permit the free download, distribution, and reuse, provided that the author and preprint are cited in any reuse.
Prerpints.org logo

Preprints.org is a free preprint server supported by MDPI in Basel, Switzerland.

Subscribe

Disclaimer

Terms of Use

Privacy Policy

Privacy Settings

© 2026 MDPI (Basel, Switzerland) unless otherwise stated