Submitted:
07 May 2025
Posted:
08 May 2025
You are already at the latest version
Abstract
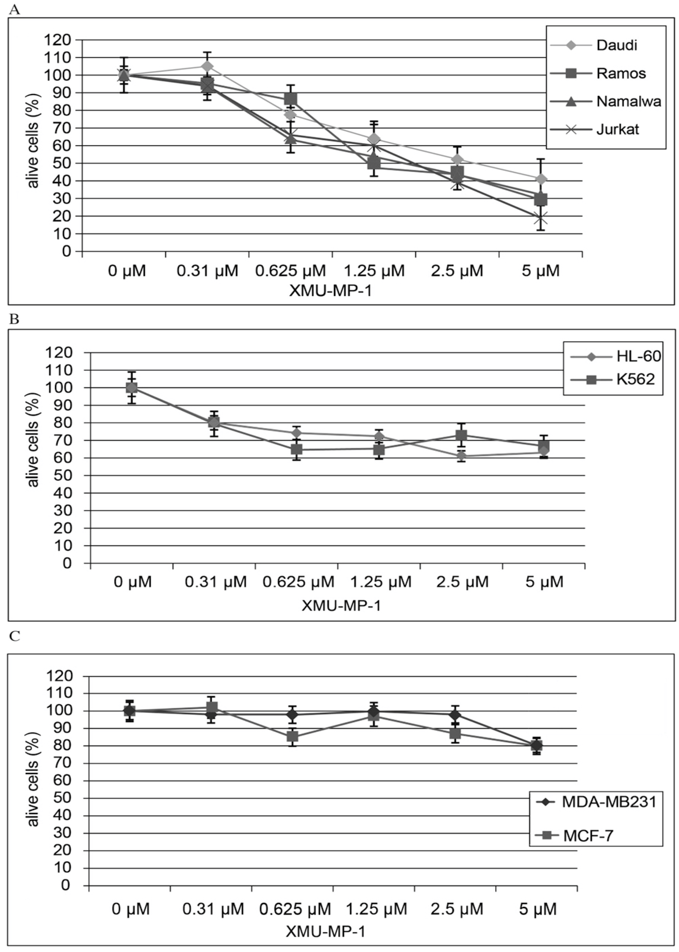
Background/Objectives: Currently, there is limited knowledge about the molecular mechanisms of the "non-canonical" Hippo signaling pathway in hematopoietic tumor cells. We have shown that targeting the MST1/2 kinases, which are key molecules in this signaling pathway, may be an effective approach to treating hematologic tumors. Methods: Cell growth assays, caspase assays, Western blot hybridizations, flow cytometry, and whole transcriptome analyses. These methods allowed us to better understand the molecular pathways at play. Results: Our results showed that XMU-MP-1, an inhibitor of MST1/2 kinase, specifically reduces the viability of hematopoietic cancer cells but not epithelial cells. It effectively inhibits the growth of B- and T-cell tumors by blocking cell cycle progression mainly during the G2/M phase, inducing apoptosis and autophagy. Under XMU-MP-1 treatment, caspase 3/7 activity increases and the level of cleaved PARP protein increases. The protein level of LC3-II also increases, while the level of p62 decreases. These changes are associated with apoptosis and autophagy, respectively. RNA-Seq analysis demonstrated that XMU-MP-1 suppresses the expression of cell cycle regulators, such as E2F and cell division cycle genes CDC6,7,20,25,45; cyclins A2,B1,B2; cyclin dependent kinases. At the same time, it increases the expression of genes involved in apoptosis, autophagy, and necroptosis. Additionally, XMU-MP-1 enhances the effects of doxorubicin, making it a potential candidate for combination therapy in cancer treatment. Conclusions: Combinations of growth assays, caspase assays, Western blotting, and RNA-seq have shown that the dramatic reduction in the number of hematopoietic tumor cells after treatment with XMU-MP-1 is due to both cytostatic and cytotoxic effects. The use of MST1/2 kinase inhibitors could be highly promising for complex therapies of hematological tumors.
Keywords:
1. Introduction
2. Results
2.1. Hippo Pathway Inhibitor XMU-MP-1 Suppresses the Growth of B and T Tumor Cells
2.2. XMU-MP-1 Induces Apoptosis in Hematopoietic Tumor Cells
2.3. XMU-MP-1 Increases the Sensitivity of Tumor Cells to Doxorubicin
2.4. RNA-Seq
2.5. Functional Enrichment Analysis of DEGs
3. Discussion
4. Conclusions
5. Materials and Methods
5.1. Cell Lines
5.2. Cell Proliferation Assay
5.3. Bioluminescence Caspase 3/7 Assay
5.4. Determination of Cell Cycle by Flow Cytometry
5.5. Antibodies and Western blot Analysis
5.6. Sequencing Library Preparation
5.7. NGS Sequencing and Data Processing
5.8. Functional Enrichment Analysis of DEGs
5.9. Statistics
5.10. Accession Number
Supplementary Materials
Author Contributions
Funding
Institutional Review Board Statement
Informed Consent Statement
Data Availability Statement
Acknowledgments
Conflicts of Interest
References
- Meng, Z.; Moroishi, T.; Mottier-Pavie, V.; Plouffe, S.W.; Hansen, C.G.; Hong, A.W.; Park, H.W.; Mo, J.S.; Lu, W.; Lu, S.; et al. MAP4K family kinases act in parallel to MST1/2 to activate LATS1/2 in the Hippo pathway. Nat Commun 2015, 6, 8357. [CrossRef]
- Zheng, Y.; Pan, D. The Hippo Signaling Pathway in Development and Disease. Dev Cell 2019, 50, 264–282. [CrossRef]
- Fu, M.; Hu, Y.; Lan, T.; Guan, K.L.; Luo, T.; Luo, M. The Hippo signalling pathway and its implications in human health and diseases. Signal Transduct Target Ther 2022, 7, 376. [CrossRef]
- Boggiano, J.C.; Vanderzalm, P.J.; Fehon, R.G. Tao-1 phosphorylates Hippo/MST kinases to regulate the Hippo-Salvador-Warts tumor suppressor pathway. Dev Cell 2011, 21, 888–895. [CrossRef]
- Praskova, M.; Khoklatchev, A.; Ortiz-Vega, S.; Avruch, J. Regulation of the MST1 kinase by autophosphorylation, by the growth inhibitory proteins, RASSF1 and NORE1, and by Ras. Biochem J 2004, 381, 453–462. [CrossRef]
- Glantschnig, H.; Rodan, G.A.; Reszka, A.A. Mapping of MST1 kinase sites of phosphorylation. Activation and autophosphorylation. J Biol Chem 2002, 277, 42987–42996. [CrossRef]
- Poon, C.L.; Lin, J.I.; Zhang, X.; Harvey, K.F. The sterile 20-like kinase Tao-1 controls tissue growth by regulating the Salvador-Warts-Hippo pathway. Dev Cell 2011, 21, 896–906. [CrossRef]
- Hergovich, A.; Schmitz, D.; Hemmings, B.A. The human tumour suppressor LATS1 is activated by human MOB1 at the membrane. Biochem Biophys Res Commun 2006, 345, 50–58. [CrossRef]
- Yin, F.; Yu, J.; Zheng, Y.; Chen, Q.; Zhang, N.; Pan, D. Spatial organization of Hippo signaling at the plasma membrane mediated by the tumor suppressor Merlin/NF2. Cell 2013, 154, 1342–1355. [CrossRef]
- Zhao, B.; Li, L.; Lei, Q.; Guan, K.L. The Hippo-YAP pathway in organ size control and tumorigenesis: an updated version. Genes Dev 2010, 24, 862–874. [CrossRef]
- Li, Z.; Zhao, B.; Wang, P.; Chen, F.; Dong, Z.; Yang, H.; Guan, K.L.; Xu, Y. Structural insights into the YAP and TEAD complex. Genes Dev 2010, 24, 235–240. [CrossRef]
- Hansen, C.G.; Moroishi, T.; Guan, K.L. YAP and TAZ: a nexus for Hippo signaling and beyond. Trends Cell Biol 2015, 25, 499–513. [CrossRef]
- Li, F.L.; Guan, K.L. The two sides of Hippo pathway in cancer. Semin Cancer Biol 2022, 85, 33–42. [CrossRef]
- Liu, H.; Du, S.; Lei, T.; Wang, H.; He, X.; Tong, R.; Wang, Y. Multifaceted regulation and functions of YAP/TAZ in tumors. Oncol Rep 2018, 40, 16–28. [CrossRef]
- Zanconato, F.; Cordenonsi, M.; Piccolo, S. YAP/TAZ at the Roots of Cancer. Cancer Cell 2016, 29, 783–803. [CrossRef]
- Baroja, I.; Kyriakidis, N.C.; Halder, G.; Moya, I.M. Expected and unexpected effects after systemic inhibition of Hippo transcriptional output in cancer. Nat Commun. 2024, 15, 2700. [CrossRef]
- Sezutsu, H.; Itoh, M.; Tohda, S. Effects of YAP Inhibitors and Activators on the Growth of Leukemia Cells. Anticancer research 2025, 45, 977–987. [CrossRef]
- Cottini, F.; Hideshima, T.; Xu, C.; Sattler, M.; Dori, M.; Agnelli, L.; ten Hacken, E.; Bertilaccio, M.T.; Antonini, E.; Neri, A.; et al. Rescue of Hippo coactivator YAP1 triggers DNA damage-induced apoptosis in hematological cancers. Nat Med 2014, 20, 599–606. [CrossRef]
- Fan, F.; He, Z.; Kong, L.L.; Chen, Q.; Yuan, Q.; Zhang, S.; Ye, J.; Liu, H.; Sun, X.; Geng, J.; et al. Pharmacological targeting of kinases MST1 and MST2 augments tissue repair and regeneration. Sci Transl Med 2016, 8, 352ra108. [CrossRef]
- Zhou, X.; Wang, H.; Li, D.; Song, N.; Yang, F.; Xu, W. MST1/2 inhibitor XMU-MP-1 alleviates the injury induced by ionizing radiation in haematopoietic and intestinal system. J Cell Mol Med 2022, 26, 1621–1628. [CrossRef]
- Preprints.org. [CrossRef]
- Egorshina, A.Y.; Zamaraev, A.V.; Kaminskyy, V.O.; Radygina, T.V.; Zhivotovsky, B.; Kopeina, G.S. Necroptosis as a Novel Facet of Mitotic Catastrophe. Int J Mol Sci 2022, 23, 3733. [CrossRef]
- Cheng, J.; Jing, Y.; Kang, D.; Yang, L.; Li, J.; Yu, Z.; Peng, Z.; Li, X.; Wei, Y.; Gong, Q.; et al. The Role of Mst1 in Lymphocyte Homeostasis and Function. Front Immunol 2018, 9, 149. [CrossRef]
- Tang, D.; Xu, H.; Du, X. The role of non-canonical Hippo pathway in regulating immune homeostasis. Eur J Med Res 2023, 28, 498. [CrossRef]
- Kim, I.; Park, T.; Noh, J.Y.; Kim, W. Emerging role of Hippo pathway in the regulation of hematopoiesis. BMB Rep 2023, 56, 417–425. [CrossRef]
- Sazonova, E.V.; Petrichuk, S.V.; Kopeina, G.S.; Zhivotovsky, B. A link between mitotic defects and mitotic catastrophe: detection and cell fate. Biol Direct 2021, 16, 25. [CrossRef]
- Liang, X.H.; Jackson, S.; Seaman, M.; Brown, K.; Kempkes, B.; Hibshoosh, H.; Levine, B. Induction of autophagy and inhibition of tumorigenesis by beclin 1. Nature 1999, 402, 672–6. [CrossRef]
- Yue, Z.; Jin, S.; Yang, C.; Levine, A.J.; Heintz, N. Beclin 1, an autophagy gene essential for early embryonic development, is a haploinsufficient tumor suppressor. Proc Natl Acad Sci U S A 2003, 100, 15077–15082. [CrossRef]
- Wang, W.; Sun, H.; Che, Y.; Jiang, X. Rasfonin promotes autophagy and apoptosis via upregulation of reactive oxygen species (ROS)/JNK pathway. Mycology 2016, 7, 64–73. [CrossRef]
- Goussetis, D.J.; Altman, J.K.; Glaser, H.; McNeer, J.L.; Tallman MS, Platanias LC. Autophagy is a critical mechanism for the induction of the antileukemic effects of arsenic trioxide. J Biol Chem 2010, 285, 29989–29997. [CrossRef]
- Crazzolara, R.; Bradstock, K.F.; Bendall, L.J. RAD001 (Everolimus) induces autophagy in acute lymphoblastic leukemia. Autophagy 2009, 5, 727–728. [CrossRef]
- Crazzolara, R.; Cisterne, A.; Thien, M.; Hewson, J.; Baraz, R.; Bradstock, K.F.; Bendall, L.J. Potentiating effects of RAD001 (Everolimus) on vincristine therapy in childhood acute lymphoblastic leukemia. Blood 2009, 113, 3297–3306. [CrossRef]
- Puissant, A.; Robert, G.; Fenouille, N.; Luciano, F.; Cassuto, J.P.; Raynaud, S.; Auberger, P. Resveratrol promotes autophagic cell death in chronic myelogenous leukemia cells via JNK-mediated p62/SQSTM1 expression and AMPK activation. Cancer Res 2010, 70, 1042–1052. [CrossRef]
- Fu, Z.; Deng, B.; Liao, Y.; Shan, L.; Yin, F.; Wang, Z.; Zeng, H.; Zuo, D.; Hua, Y.; Cai, Z. The anti-tumor effect of shikonin on osteosarcoma by inducing RIP1 and RIP3 dependent necroptosis. BMC Cancer 2013, 13, 580. [CrossRef]
- Han, Q.; Ma, Y.; Wang, H.; Dai, Y.; Chen, C.; Liu, Y.; Jing, L.; Sun, X. Resibufogenin suppresses colorectal cancer growth and metastasis through RIP3-mediated necroptosis. J Transl Med 2018, 16, 201. [CrossRef]
- Patent CN114366750B. Application of XMU-MP-1 in preparation of medicine for preventing and/or treating immune thrombocytopenia ITP. Publication 2022-11-25.
- Stepchenko, A.G.; Ilyin, Y.V.; Georgieva, S.G.; Pankratova, E.V. Inhibition of MST1/2 Kinases of the Hippo Signaling Pathway Enhances Antitumor Chemotherapy in Hematological Cancers. Dokl Biol Sci 2025, 520, 60–63. [CrossRef]







Disclaimer/Publisher’s Note: The statements, opinions and data contained in all publications are solely those of the individual author(s) and contributor(s) and not of MDPI and/or the editor(s). MDPI and/or the editor(s) disclaim responsibility for any injury to people or property resulting from any ideas, methods, instructions or products referred to in the content. |
© 2025 by the authors. Licensee MDPI, Basel, Switzerland. This article is an open access article distributed under the terms and conditions of the Creative Commons Attribution (CC BY) license (http://creativecommons.org/licenses/by/4.0/).