Submitted:
01 February 2025
Posted:
03 February 2025
Read the latest preprint version here
Abstract
Keywords:
1. Introduction
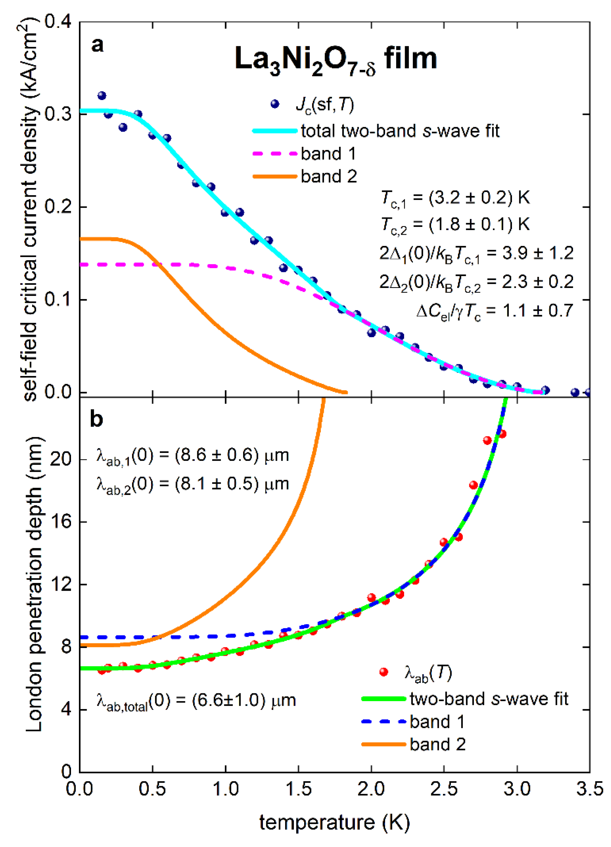
2. Fundamental Parameters for La3-xPrxNi2O7-δ (x = 0.0; 0.15; 1.0) Films
2.1. Transition Temperature and Coherence Length Definitions
2.2. London Penetration Depth and Other Fundamental Parameters
2.3. Two-Band Superconductivity
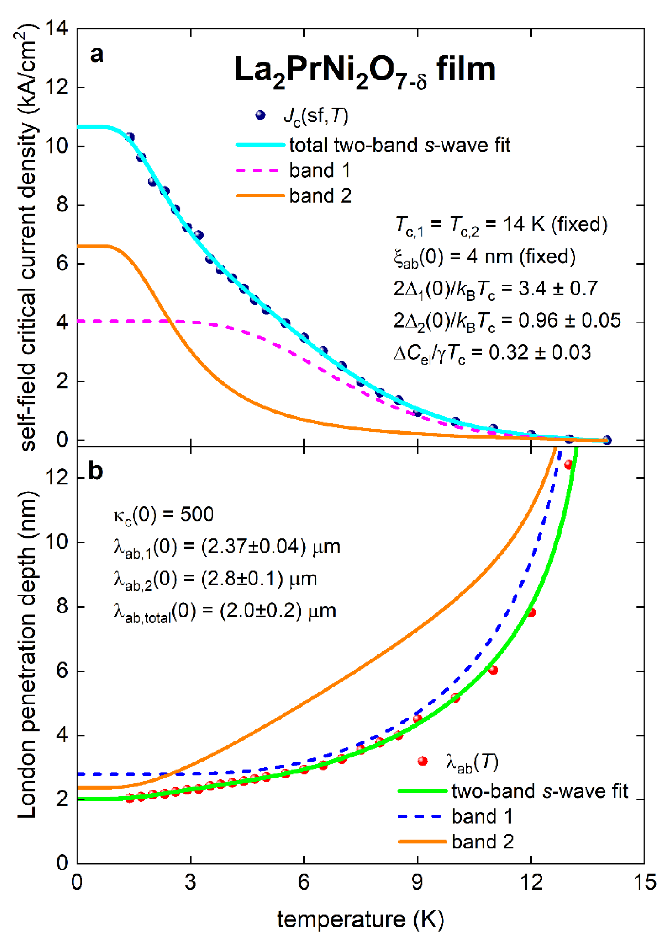
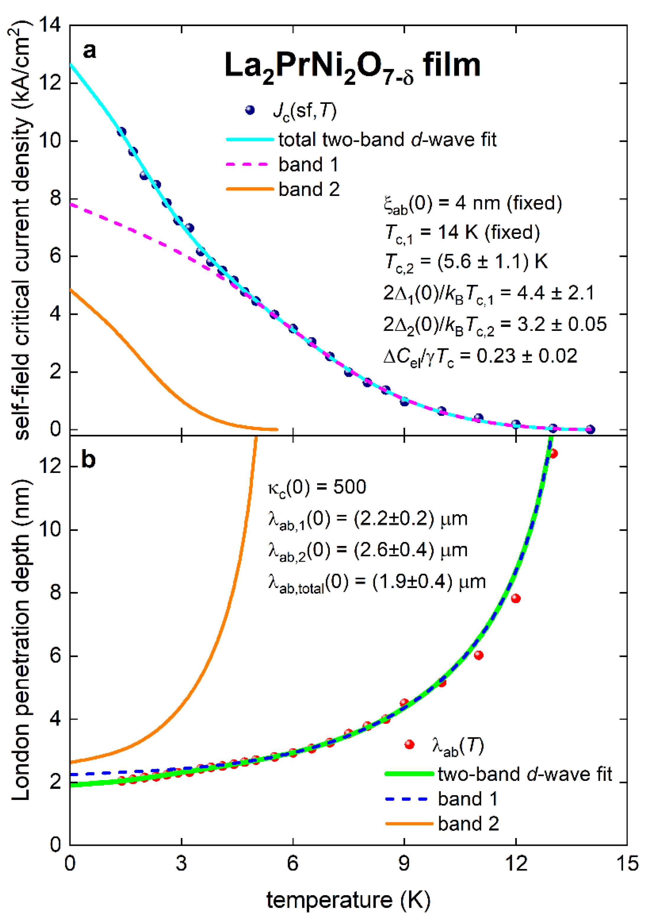
3. Fundamental Parameters in La2PrNi2O7-δ Films
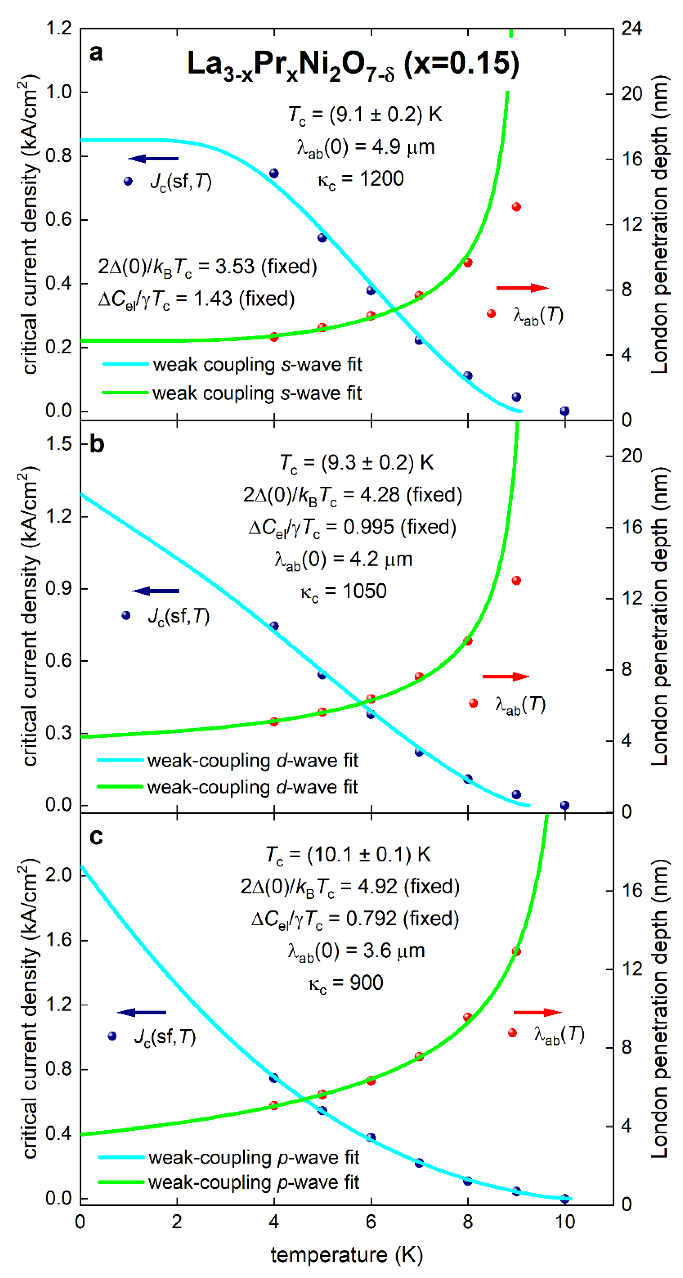
4. Fundamental Parameters in La3-xPrxNi2O7-δ (x = 0.15) Films
5. More Evidences for Multiple-Band Superconductivity in Ruddlesden–Popper Nickelates
5.1. Highly Compressed Single Crystals La3Ni2O7-δ
5.2. Highly Compressed Polycrystalline La2PrNi2O7-δ
5.3. Highly Compressed Single Crystals La4Ni3O10-δ
5.4. Ambient Pressure La3Ni2O7-δ Thin Film
5.5. Ambient Pressure La6Ni5O12 Thin Film
5.6. Highly Compressed Pr4Ni3O10 Single Crystal
6. The limitation of Tc in nickelates by thermal fluctuations
Acknowledgments
References
- Ko, E. K. et al. Signatures of ambient pressure superconductivity in thin film La3Ni2O7. Nature (2024) doi:10.1038/s41586-024-08525-3. [CrossRef]
- Zhou, G. et al. Ambient-pressure superconductivity onset above 40 K in bilayer nickelate ultrathin films. (2024).
- Liu, Y. et al. Superconductivity and normal-state transport in compressively strained La$_2$PrNi$_2$O$_7$ thin films. (2025).
- Anisimov, V. I., Bukhvalov, D. & Rice, T. M. Electronic structure of possible nickelate analogs to the cuprates. Phys Rev B 59, 7901–7906 (1999). [CrossRef]
- Li, D. et al. Superconductivity in an infinite-layer nickelate. Nature 572, 624–627 (2019). [CrossRef]
- Sun, H. et al. Signatures of superconductivity near 80 K in a nickelate under high pressure. Nature 621, 493–498 (2023). [CrossRef]
- Brisi, C., Vallino, M. & Abbattista, F. Composition and structure of two hitherto unidentified phases in the system La2O3-NiO-O. Journal of the Less Common Metals 79, 215–219 (1981).
- Ram, R. A. M., Ganapathi, L., Ganguly, P. & Rao, C. N. R. Evolution of three-dimensional character across the Lan+1NinO3n+1 homologous series with increase in n. J Solid State Chem 63, 139–147 (1986). [CrossRef]
- Sreedhar, K. et al. Low-Temperature Electronic Properties of the Lan+1NinO3n+1 (n = 2, 3, and ∞) System: Evidence for a Crossover from Fluctuating-Valence to Fermi-Liquid-like Behavior. J Solid State Chem 110, 208–215 (1994).
- Zhang, Z., Greenblatt, M. & Goodenough, J. B. Synthesis, Structure, and Properties of the Layered Perovskite La3Ni2O7-δ. J Solid State Chem 108, 402–409 (1994).
- Taniguchi, S. et al. Transport, Magnetic and Thermal Properties of La 3 Ni 2 O 7-δ. J Physical Soc Japan 64, 1644–1650 (1995).
- Wu, G., Neumeier, J. J. & Hundley, M. F. Magnetic susceptibility, heat capacity, and pressure dependence of the electrical resistivity of La3N2O7 and La4Ni3O10. Phys Rev B 63, 245120 (2001).
- Burriel, M. et al. Enhanced High-Temperature Electronic Transport Properties in Nanostructured Epitaxial Thin Films of the La n+1 Ni nO 3 n+1 Ruddlesden−Popper Series ( n = 1, 2, 3, ∞). Chemistry of Materials 19, 4056–4062 (2007).
- Helfand, E. & Werthamer, N. R. Temperature and Purity Dependence of the Superconducting Critical Field, Hc2. II. Physical Review 147, 288–294 (1966). [CrossRef]
- Werthamer, N. R., Helfand, E. & Hohenberg, P. C. Temperature and Purity Dependence of the Superconducting Critical Field, Hc2. III. Electron Spin and Spin-Orbit Effects. Physical Review 147, 295–302 (1966). [CrossRef]
- Baumgartner, T. et al. Effects of neutron irradiation on pinning force scaling in state-of-the-art Nb3Sn wires. Supercond Sci Technol 27, 015005 (2014). [CrossRef]
- Prozorov, R. & Kogan, V. G. Practically universal representation of the Helfand-Werthamer upper critical field for any transport scattering rate. Phys Rev Appl 22, 064006 (2024). [CrossRef]
- Yan, X. et al. Superconductivity in an ultrathin multilayer nickelate. Sci Adv 11, (2025). [CrossRef]
- Wang, Z.-C. et al. Superconductivity in KCa 2 Fe 4 As 4 F 2 with Separate Double Fe 2 As 2 Layers. J Am Chem Soc 138, 7856–7859 (2016).
- Honda, F. et al. Pressure-induced Structural Phase Transition and New Superconducting Phase in UTe 2. J Physical Soc Japan 92, (2023). [CrossRef]
- Wang, B. Y. et al. Effects of rare-earth magnetism on the superconducting upper critical field in infinite-layer nickelates. Sci Adv 9, (2023). [CrossRef]
- Wang, B. Y. et al. Isotropic Pauli-limited superconductivity in the infinite-layer nickelate Nd0.775Sr0.225NiO2. Nat Phys 17, 473–477 (2021). [CrossRef]
- Ji, H. et al. Rotational symmetry breaking in superconducting nickelate Nd0.8Sr0.2NiO2 films. Nat Commun 14, 7155 (2023). [CrossRef]
- Zhang, Y. et al. High-temperature superconductivity with zero resistance and strange-metal behaviour in La3Ni2O7−δ. Nat Phys (2024) doi:10.1038/s41567-024-02515-y. [CrossRef]
- Cao, Y. et al. Unconventional superconductivity in magic-angle graphene superlattices. Nature 556, 43–50 (2018). [CrossRef]
- Park, J. M. et al. Robust superconductivity in magic-angle multilayer graphene family. Nat Mater 21, 877–883 (2022). [CrossRef]
- Di Battista, G. et al. Infrared single-photon detection with superconducting magic-angle twisted bilayer graphene. Sci Adv 10, (2024).
- Lee, K. et al. Linear-in-temperature resistivity for optimally superconducting (Nd,Sr)NiO2. Nature 619, 288–292 (2023). [CrossRef]
- Osada, M. et al. A Superconducting Praseodymium Nickelate with Infinite Layer Structure. Nano Lett 20, 5735–5740 (2020). [CrossRef]
- Pan, G. A. et al. Superconductivity in a quintuple-layer square-planar nickelate. Nat Mater 21, 160–164 (2022). [CrossRef]
- Bulaevskii, L. N., Ginzburg, V. L. & Sobyanin, A. A. Macroscopic theory of superconductors with small coherence length. Physica C Supercond 152, 378–388 (1988). [CrossRef]
- Emery, V. J. & Kivelson, S. A. Importance of phase fluctuations in superconductors with small superfluid density. Nature 374, 434–437 (1995). [CrossRef]
- Talantsev, E. F., Crump, W. P., Storey, J. G. & Tallon, J. L. London penetration depth and thermal fluctuations in the sulphur hydride 203 K superconductor. Ann Phys 529, 1–5 (2017). [CrossRef]
- Andersson, M. Comment on “Superconducting state of Ca-VII below a critical temperature of 29 K at a pressure of 216 GPa”. Phys Rev B 84, 216501 (2011). [CrossRef]
- Wu, L. et al. Record-High <math display="inline"> <msub> <mi>T</mi> <mi>c</mi> </msub> </math> and Dome-Shaped Superconductivity in a Medium-Entropy Alloy TaNbHfZr under Pressure up to 160 GPa. Phys Rev Lett 132, 166002 (2024).
- Ye, G. et al. Distinct pressure evolution of superconductivity and charge density wave in kagome superconductor <math> <mrow> <msub> <mi>CsV</mi> <mn>3</mn> </msub> <msub> <mi>Sb</mi> <mn>5</mn> </msub> </mrow> </math> thin flakes. Phys Rev B 109, 054501 (2024).
- Nie, J. Y. et al. On the superconducting gap structure of the miassite Rh17S15: Nodal or nodeless? (2024).
- Chen, K. Y. et al. Double Superconducting Dome and Triple Enhancement of <math display="inline"> <msub> <mrow> <mi>T</mi> </mrow> <mrow> <mi>c</mi> </mrow> </msub> </math> in the Kagome Superconductor <math display="inline"> <mrow> <msub> <mrow> <mi>CsV</mi> </mrow> <mrow> <mn>3</mn> </mrow> </msub> <msub> <mrow> <mi>Sb</mi> </mrow> <mrow> <mn>5</mn> </mrow> </msub> </mrow> </math> under High Pressure. Phys Rev Lett 126, 247001 (2021).
- Huyan, S. et al. Suppression of metal-to-insulator transition and stabilization of superconductivity by pressure in <math> <mrow> <msub> <mi>Re</mi> <mn>3</mn> </msub> <msub> <mi>Ge</mi> <mn>7</mn> </msub> </mrow> </math>. Phys Rev B 109, 174522 (2024).
- Terashima, T. et al. Anomalous upper critical field in the quasicrystal superconductor Ta$_{1.6}$Te. (2024).
- Ruan, B.-B. et al. Superconductivity in Mo 4 Ga 20 As with endohedral gallium clusters. Journal of Physics: Condensed Matter 35, 214002 (2023).
- Zhang, C. L. et al. Superconductivity above 80 K in polyhydrides of hafnium. Materials Today Physics 27, 100826 (2022). [CrossRef]
- Wang, L. S. et al. Nodeless superconducting gap in the topological superconductor candidate <math> <mn>2</mn> <mi>M</mi> <mtext>–</mtext> <mi>WS</mi> <msub> <mrow/> <mn>2</mn> </msub> </math>. Phys Rev B 102, 024523 (2020).
- Pan, J. et al. Nodal superconductivity and superconducting dome in the layered superconductor <math> <mrow> <msub> <mi>Ta</mi> <mn>4</mn> </msub> <msub> <mi>Pd</mi> <mn>3</mn> </msub> <msub> <mi>Te</mi> <mn>16</mn> </msub> </mrow> </math>. Phys Rev B 92, 180505 (2015).
- Vedeneev, S. I., Piot, B. A., Maude, D. K. & Sadakov, A. V. Temperature dependence of the upper critical field of FeSe single crystals. Phys Rev B 87, 134512 (2013). [CrossRef]
- Yu, F. H. et al. Unusual competition of superconductivity and charge-density-wave state in a compressed topological kagome metal. Nat Commun 12, 3645 (2021). [CrossRef]
- Dong, Q. et al. Strong superconducting pairing strength and pseudogap features in a putative multiphase heavy-fermion superconductor CeRh2As2 by soft point-contact spectroscopy. (2025).
- Bärtl, F. et al. Evidence of pseudogap and absence of spin magnetism in the time-reversal-symmetry-breaking state of Ba$_{1-x}$K$_x$Fe$_2$As$_2$. (2025).
- Jangid, S. et al. Superconductivity with a high upper critical field in an equiatomic high-entropy alloy Sc–V–Ti–Hf–Nb. Appl Phys Lett 124, (2024).
- Jangid, S. et al. High critical field superconductivity in a 3d dominated lightweight equiatomic high entropy alloy. (2025).
- Sharma, S. et al. Evidence for conventional superconductivity in <math> <msub> <mi>Bi</mi> <mn>2</mn> </msub> <mi mathvariant="normal">PdPt</mi> </math> and prediction of possible topological superconductivity in disorder-free <math> <mrow> <mi>γ</mi> <mtext>−</mtext> <mi>BiPd</mi> </mrow> </math>. Phys Rev B 109, 224509 (2024).
- Landaeta, J. F. et al. Evidence for vertical line nodes in <math> <msub> <mi mathvariant="normal">Sr</mi> <mn>2</mn> </msub> <msub> <mi mathvariant="normal">RuO</mi> <mn>4</mn> </msub> </math> from nonlocal electrodynamics. Phys Rev B 110, L100503 (2024).
- Sun, Y. et al. Specific Heat and Upper Critical Field of Sc 5 Ir 4 Si 10 Superconductor. J Physical Soc Japan 82, 074713 (2013).
- Perkins, G. K. et al. Superconducting critical fields and anisotropy of a MgB2 single crystal. Supercond Sci Technol 15, 330 (2002). [CrossRef]
- Arima, H. et al. Direct Observation of Vortices and Antivortices Generation in Phase-Separated Superconductor Sn-Pb Solder. (2025).
- Landaeta, J. F. et al. Conventional type-II superconductivity in locally noncentrosymmetric <math> <msub> <mi mathvariant="normal">LaRh</mi> <mn>2</mn> </msub> <msub> <mi mathvariant="normal">As</mi> <mn>2</mn> </msub> </math> single crystals. Phys Rev B 106, 014506 (2022).
- Watanabe, Y., Miura, A., Moriyoshi, C., Yamashita, A. & Mizuguchi, Y. Observation of superconductivity and enhanced upper critical field of η-carbide-type oxide Zr4Pd2O. Sci Rep 13, 22458 (2023). [CrossRef]
- Ma, K. et al. Superconductivity with High Upper Critical Field in the Cubic Centrosymmetric η-Carbide Nb 4 Rh 2 C 1−δ. ACS Materials Au 1, 55–61 (2021).
- Michor, H. et al. Superconductivity in layered YB 2 C 2. J Phys Conf Ser 150, 052160 (2009).
- Anand, V. K. et al. Physical properties of noncentrosymmetric superconductor <math> <msub> <mrow> <mi mathvariant="normal">LaIrSi</mi> </mrow> <mn>3</mn> </msub> </math> : A <math> <mi>μ</mi> </math> SR study. Phys Rev B 90, 014513 (2014).
- Chajewski, G., Szymański, D., Daszkiewicz, M. & Kaczorowski, D. Horizontal flux growth as an efficient preparation method of CeRh 2 As 2 single crystals. Mater Horiz 11, 855–861 (2024).
- Li, L. et al. Large upper critical fields and strong coupling superconductivity in the medium-entropy alloy (Ti1/3Hf1/3Ta1/3)1-xNbx. (2025).
- Du, F. et al. Tunneling Spectroscopy at Megabar Pressures: Determination of the Superconducting Gap in Sulfur. Phys Rev Lett 133, 036002 (2024). [CrossRef]
- Takahashi, H. et al. Superconductivity in a ferroelectric-like topological semimetal SrAuBi. NPJ Quantum Mater 8, 77 (2023). [CrossRef]
- Sundar, S., Chattopadhyay, M. K., Chandra, L. S. S., Rawat, R. & Roy, S. B. Vortex–glass transformation within the surface superconducting state of β-phase Mo(1-x)Rex alloys. Supercond Sci Technol 30, 025003 (2017).
- Liu, Y. et al. Superconductivity under pressure in a chromium-based kagome metal. Nature 632, 1032–1037 (2024). [CrossRef]
- Zeng, S. W. et al. Observation of perfect diamagnetism and interfacial effect on the electronic structures in infinite layer Nd0.8Sr0.2NiO2 superconductors. Nat Commun 13, 743 (2022). [CrossRef]
- Wang, J. et al. Superconductivity in an Orbital-Reoriented SnAs Square Lattice: A Case Study of Li 0.6 Sn 2 As 2 and NaSnAs. Angewandte Chemie International Edition 62, (2023).
- Zhou, N. et al. Disorder-robust high-field superconducting phase of FeSe single crystals. Phys Rev B 104, L140504 (2021). [CrossRef]
- Chow, L. E. et al. Pauli-limit violation in lanthanide infinite-layer nickelate superconductors. (2022).
- Lee, Y. et al. Synthesis of superconducting freestanding infinite-layer nickelate heterostructures on the millimetre scale. Nature Synthesis (2025) doi:10.1038/s44160-024-00714-2. [CrossRef]
- Ekin, J. W. Experimental Techniques for Low-Temperature Measurements. (Oxford University Press, Oxford, UK, 2006).
- Talantsev, E. F. & Tallon, J. L. Universal self-field critical current for thin-film superconductors. Nat Commun 6, 7820 (2015). [CrossRef]
- Crump, W. P. & Talantsev, E. F. Software for fitting self-field critical current data. Preprint at (2016).
- Gross-Alltag, F., Chandrasekhar, B. S., Einzel, D., Hirschfeld, P. J. & Andres, K. London field penetration in heavy fermion superconductors. Zeitschrift f�r Physik B Condensed Matter 82, 243–255 (1991). [CrossRef]
- Gross, F. et al. Anomalous temperature dependence of the magnetic field penetration depth in superconducting UBe13. Zeitschrift f�r Physik B Condensed Matter 64, 175–188 (1986). [CrossRef]
- Talantsev, E., Crump, W. P. & Tallon, J. L. Thermodynamic Parameters of Single- or Multi-Band Superconductors Derived from Self-Field Critical Currents. Ann Phys 529, 1–18 (2017).
- Talantsev, E. F., Crump, W. P. & Tallon, J. L. Universal scaling of the self-field critical current in superconductors: from sub-nanometre to millimetre size. Sci Rep 7, 10010 (2017). [CrossRef]
- Prohammer, M. & Carbotte, J. P. London penetration depth of d -wave superconductors. Phys Rev B 43, 5370–5374 (1991).
- Talantsev, E. F. et al. p-wave superconductivity in iron-based superconductors. Sci Rep 9, 14245 (2019). [CrossRef]
- Won, H. & Maki, K. d -wave superconductor as a model of high- <math display="inline"> <mrow> <msub> <mrow> <mi mathvariant="italic">T</mi> </mrow> <mrow> <mi mathvariant="italic">c</mi> </mrow> </msub> </mrow> </math> superconductors. Phys Rev B 49, 1397–1402 (1994).
- Bardeen, J., Cooper, L. N. & Schrieffer, J. R. Theory of Superconductivity. Physical Review 108, 1175–1204 (1957).
- Talantsev, E. F. et al. On the origin of critical temperature enhancement in atomically thin superconductors. 2d Mater 4, (2017). [CrossRef]
- Carrington, A. & Manzano, F. Magnetic penetration depth of MgB2. Physica C Supercond 385, 205–214 (2003). [CrossRef]
- Canfield, P. C., Bud’ko, S. L. & Finnemore, D. K. An overview of the basic physical properties of MgB2. Physica C Supercond 385, 1–7 (2003). [CrossRef]
- Buzea, C. & Yamashita, T. Review of the superconducting properties of MgB 2. Supercond Sci Technol 14, R115–R146 (2001).
- Talantsev, E. F. Solving mystery with the Meissner state in La3Ni2O7-δ. Superconductivity: Fundamental and Applied Research 65–76 (2024) doi:10.62539/2949-5644-2024-0-3-65-76. [CrossRef]
- Talantsev, E. F., Mataira, R. C. & Crump, W. P. Classifying superconductivity in Moiré graphene superlattices. Sci Rep 10, 212 (2020). [CrossRef]
- Talantsev. Classifying Induced Superconductivity in Atomically Thin Dirac-Cone Materials. Condens Matter 4, 83 (2019).
- Gumeniuk, R., Levytskyi, V., Kundys, B. & Leithe-Jasper, A. Yb3Rh4Sn13: Two-gap superconductor with a complex Fermi surface. Phys Rev B 108, 214515 (2023).
- Wimbush, S. C. & Strickland, N. M. A Public Database of High-Temperature Superconductor Critical Current Data. IEEE Transactions on Applied Superconductivity 27, 1–5 (2017). [CrossRef]
- Lao, M. et al. High current variable temperature electrical characterization system for superconducting wires and tapes with continuous sample rotation in a split coil magnet. Review of Scientific Instruments 90, (2019). [CrossRef]
- Devitre, A. R. et al. A facility for cryogenic ion irradiation and in situ characterization of rare-earth barium copper oxide superconducting tapes. Review of Scientific Instruments 95, (2024). [CrossRef]
- Zhang, D. et al. Achieving superconductivity in infinite-layer nickelate thin films by aluminum sputtering deposition. (2024).
- Li, J. et al. Pressure-driven right-triangle shape superconductivity in bilayer nickelate La$_3$Ni$_2$O$_7$. (2024).
- Wang, N. et al. Bulk high-temperature superconductivity in pressurized tetragonal La2PrNi2O7. Nature 634, 579–584 (2024). [CrossRef]
- Zhu, Y. et al. Superconductivity in pressurized trilayer La4Ni3O10−δ single crystals. Nature 631, 531–536 (2024).
- Yan, X. et al. Superconductivity in an ultrathin multilayer nickelate. Sci Adv 11, (2025). [CrossRef]
- Chen, X. et al. Non-bulk Superconductivity in Pr$_4$Ni$_3$O$_{10}$ Single Crystals Under Pressure. (2024).
- Zhang, E. et al. Bulk superconductivity in pressurized trilayer nickelate Pr4Ni3O10 single crystals. (2025).
- Storey, J. G. Incoherent superconductivity well above ${T}_{{\rm{c}}}$ in high-${T}_{{\rm{c}}}$ cuprates—harmonizing the spectroscopic and thermodynamic data. New J Phys 19, 073026 (2017).
- Tallon, J. L., Storey, J. G. & Loram, J. W. Fluctuations and critical temperature reduction in cuprate superconductors. Phys Rev B 83, 092502 (2011). [CrossRef]
- Stewart, G. R. Superconductivity in iron compounds. Rev Mod Phys 83, 1589–1652 (2011). [CrossRef]
- Chiao, M. Are we there yet? Nat Phys 3, 148–150 (2007).
- Drozdov, A. P., Eremets, M. I., Troyan, I. A., Ksenofontov, V. & Shylin, S. I. Conventional superconductivity at 203 kelvin at high pressures in the sulfur hydride system. Nature 525, 73–76 (2015). [CrossRef]
- Drozdov, A. P. et al. Superconductivity at 250 K in lanthanum hydride under high pressures. Nature 569, 528–531 (2019). [CrossRef]
- Kong, P. et al. Superconductivity up to 243 K in the yttrium-hydrogen system under high pressure. Nat Commun 12, 5075 (2021). [CrossRef]
- Somayazulu, M. et al. Evidence for Superconductivity above 260 K in Lanthanum Superhydride at Megabar Pressures. Phys Rev Lett 122, 027001 (2019). [CrossRef]
- Bhattacharyya, P. et al. Imaging the Meissner effect in hydride superconductors using quantum sensors. Nature 627, 73–79 (2024). [CrossRef]
- Troyan, I. A. et al. Anomalous High-Temperature Superconductivity in YH6. Advanced Materials 33, 2006832 (2021).
- Semenok, D. Computational design of new superconducting materials and their targeted experimental synthesis. PhD Thesis; Skolkovo Institute of Science and Technology (2023) doi:10.13140/RG.2.2.28212.12161. [CrossRef]
- Minkov, V. S., Ksenofontov, V., Bud’ko, S. L., Talantsev, E. F. & Eremets, M. I. Magnetic flux trapping in hydrogen-rich high-temperature superconductors. Nat Phys 19, 1293–1300 (2023). [CrossRef]
- Minkov, V. S. et al. Revaluation of the lower critical field in superconducting H$_3$S and LaH$_{10}$ (Nature Comm. 13, 3194, 2022). (2024).
- Minkov, V. S. et al. Magnetic field screening in hydrogen-rich high-temperature superconductors. Nat Commun 13, 3194 (2022). [CrossRef]
- Tallon, J. L. & Talantsev, E. F. Compressed H3S, superfluid density and the quest for room-temperature superconductivity. J Supercond Nov Magn 31, 619–624 (2018). [CrossRef]















Disclaimer/Publisher’s Note: The statements, opinions and data contained in all publications are solely those of the individual author(s) and contributor(s) and not of MDPI and/or the editor(s). MDPI and/or the editor(s) disclaim responsibility for any injury to people or property resulting from any ideas, methods, instructions or products referred to in the content. |
© 2025 by the authors. Licensee MDPI, Basel, Switzerland. This article is an open access article distributed under the terms and conditions of the Creative Commons Attribution (CC BY) license (http://creativecommons.org/licenses/by/4.0/).
