1. Introduction
We’re going to do a summary of the paper [
2] focused to the relationship among Lense Thirring (LT) effect and Gravity applied to small rotating objects. If more detailed info is needed, I refer to such paper. [
2]
Objects with angular momentum (rotation) are known to exhibit an effect called Lense-Thirring (LT) precession whereby locally inertial frames are dragged along the rotating spacetime.
Such effect has been usually associated to celestial bodies, and especially studied in the case of black holes and neutron stars, but it’s showed at [
2] that Lense Thirring precession can be also very relevant for small objects under some specific conditions exposed in the associated paper. The influence of Lense-Thirring in such objects allows to create concavities and convexities in space-time around them.
As consequence, the gravity effect over them can be counteracted (or reinforced), experimenting effects equivalents to partial gravity, zero gravity and even anti-gravity. Different objects in morphology and density (homogeneus) are studied as examples using some simplifications but the method could be widely extended to anyone. Kerr spacetime metric is applied. Some limitations of Kerr metric are also exposed. A set of graphics showing the relevance of LT effect in function of morphology, colatitude, size, number of rpm and even kind of material are created. Finally an analysis of the results obtained is done. As consequence of them, it’s proven that LT effect should be also taken on account to be applied not only to small objects but to new space crafts designs.
This study applies the same concepts involved in the Special Zero Gravity Theory [
1] but counteracting in this case the gravity with the consequences of applying Lense-Thirring instead simply spin.
I refer to the bibliography mentioned in [
2] for a more detailed development of the formulas used here, since I consider unnecessary to repeat fully documented previous reasonings.
Earlier analyses of the Lense Thirring (LT) effect [
2] assume slowly rotating and weakly gravitational effect.
As result, the simplified formula for LT precession in the “weak gravity” field for celestial bodies is reached:

where G is the Universal Constant, M the mass, ω the rotation speed, R the radius, c the light speed and Ɵ the latitude (in our case reduced to the equator, therefore Ɵ =0).
But this simplified expression in the “weak-gravity field” is not valid for our case, because although our objects of study create a very tiny newtonian gravity effect around them, they have a high rotation speed when compared with their mass, therefore weak-field should not be applied by default. We must apply strong-field instead. We’re also going to find out such need later from a mathematical side.
For using LT in a generic way for any kind of object with any rotation speed, we’re going to use Kerr metric (although our rotating object is not in vacuum, but this fact has hardly any influence over the precession rate).
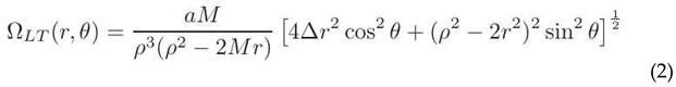
LT precession rate in Kerr spacetime & Boyer-Lindquist coordinates can be expressed as:

where a is the Kerr Parameter,

J is the angular momentum, M the mass and c the speed of light, but usually is simplified (when applied to black holes, neutron stars … ) using c=1.
But in our case, focused to the study over small rotating objects, we must consider the real value of c.
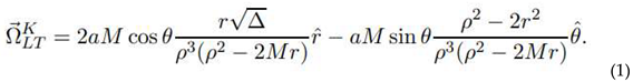
The module/magnitude of the vector (1) is our first goal. It is:

where a=J/M (known as Kerr parameter, the angular momentum per unit mass), and ϴ the collatitude, being

This is the LT precession rate in a generic way, where no weak gravity presumption has been done.
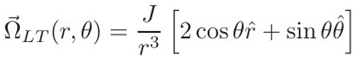
In the case that r >> a (r >> M) → the Kerr metric is almost reduced to Schwarzschild metric (

, a=0). In fact the equation (1) would be reduced to the weak-field:

We’re going to use the weak field **only** when the general way can’t be used due to the presence of the singularity represented by a negative value of Δ (discriminant).
I insist again in the fact that we’re going to use the a Kerr parameter in its generic form, not in its simplified form (c=1).
In our particular case, the Kerr parameter is relatively high, because J=I.ω where I is the moment of inertia and ω the angular speed and we’re managing large angular speeds and small masses. Therefore we’re going to use weak-field only when strictly necessary.
We’re going to focus calculations in Equator (for spherical objects) although the precession effect changes slightly from Equator to Poles, as it’s studied in detail in [
2].
2. Scope of Application to Rotating Objects
To apply LT effect to any rotating object, we base our work on the same premise applied to Zero Gravity effect [
1]: the concavity produced by a celestial body over any object can be counteracted by the convexity in spacetime produced by the object speed, lineal or angular . Then we’re going to consider that Gravity can be also counteracted by the spacetime convexity created by LT effect (when the object spins counter-clockwise) or generated/reinforced by the spacetime concavity created by LT effect (when the objects spins clockwise).
I would like to remark that the sign of Δ (discriminant) parameter (3) deeply determines the range of application of the formula (1) for not-weak fields. That is, when M*r > (r2+a2) then Δ < 0 . This scenario is more suitable for low values of a and for denser materials. In such cases we’re going to apply weak-field solution.
In fact an strict application of such range (Δ > 0 ) would limit the application of Kerr formulas to an specific and bounded interval of rotation speeds.
From the obtained results (exposed in [
2]) a close relation (especially for light materials) can be found among the range of rotation speed needed for applying Zero Gravity effect [
1] (ZG) and the range of rotation speed needed for applying LT effect.
Applying simultaneously both effects (ZG and LT), space crafts based on both technologies could achieve partial zero gravity, total zero gravity and anti gravity effects of different magnitudes.
3. Results Analysis
Relevant conclussions can be extracted from the results reached in [
2]:
- 1)
-
LT precession rate effect can be very relevant for small objects with high speed of rotation and therefore it should be taken on account to be applied for future space crafts. E.g. For a disk of steel (solid) of 20 m. diameter and 2 m. of height, with a rotation speed of 2000 rpm (33.33 Hz.), that is, 210 rad/s=12032 degrees/sec., the precession rate is 52 degrees/sec., 0,4% of the rotation speed.
We can observe that order of magnitude is very relevant and, as consequence, the according impact over the space-time around the object. Therefore a partial zero gravity effect is reached for counter-clockwise rotations and a partial increase of gravity is reached for clockwise rotations.
- 2)
The precession rate for the same rotation speed, diameter and kind of material is larger for solid materials than hollow ones.
- 3)
The precession rate for the same rotation speed and diameter increases with the density of the material.
- 4)
The precesion rate decreases from Poles to Equator.
- 5)
The precession rate increases from the center (0) to radius.
- 6)
The greater the moment of inertia, the greater the precession.
- 7)
For the same radius, the precession rate reached by an sphere is notably greater that the reached by a disk.
- 8)
The results show the values of the module of the LT precession vector, but not the vector components and therefore its direction. In any case, the vector will be oriented towards convexity of space-time for counter-clockwise spins, therefore counteracting the gravitational effect (decreasing the piece weight) and towards the concavity of space-time for clockwise spins (increasing the piece weight).
4. Influence of Precession Rate over Gravity
I miss some studies about new advanced metrics along last decades. Such lack of research in this field lead us to very limited options when studying environments of a minimum of complexity. Most of current metrics have a lot of limitations and in fact they’re applied only in vacuum. But we have currently very powerful tools (computing, AI) to solve any complex system of differential equations regardless their degree.
It’s a pity that nobody has cared yet about getting metrics involving two or more bodies at least. They could be very useful in every way, including a right space-time interpretation of the great information coming from JWST and Hubble. My view is relying always everything in classic Gravity when we have a theory so powerful (Relativity) is a huge error.
This case is a good example of the previously exposed: we’re not applying Kerr metrics to a black hole or a neutron star. We’re applying it to a simple spinning body but that can’t be considered in vacuum, because it’s subject in this case to Earth Gravity.
Therefore the following study about the influence of the precession rate over Gravity is limited and we must assume some error margin.
We’re going to apply the following limitations:
- 1)
Kerr metric is going to be used:

Taking into account the symbols values as explained previously in (3)
- 2)
The object will have spheric geometry. We’ll apply colatitude ϴ = 0 because of the second term

relationing disappears (=0).
- 3)
We’ll suppose a relationship among dt
2 and Gravity close to linearity just as it’s explained in [
1].
With such suppositions, the time component of the tensor is reduced to
In our case

Therefore the time component for a=0 (spinning=0, J=0) reduces the previous expression to
Schwarzschild metric:

, that is,
This leads us to that the square of the time difference simplified to this case among an object spinning around one of its symmetry axis attributable to frame precession and the same object in rest state would be:
ΔTs
2=

that
can be expressed for a more intuitive interpretation as

As can be observed, the Kerr parameter a influences directly over the difference of times.
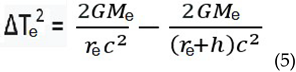
On the other hand, the object is subject to a gravitational field (Earth in our case).
Therefore there’re a difference of times ΔTe (by Gravity) in function of altitude [
1], that can be expressed (being in this case Me the mass of the Earth, re the Earth radius and h the altitude) like:

The difference of times by precession/LT effect (ΔTs) will add to the difference of times by Gravity (ΔTe) if the object is rotating clockwise (increasing the “weight” of the object) and it will substract from ΔTe if the object is rotating counter clockwise (decreasing the “weight” of the object). In such case, equalizing ΔTs= ΔTe and simplifying the resulting equation we could know the value of
a needed for reaching an state of Zero Gravity at altitude h:
From this equation we can calculate easily the value of
a for getting a “Zero Gravity” effect (
az):
From (7) we can calculate the value of the rotation speed (J=Iω=aMc → ω=aMc/I) for any object of mass M and moment of inertia I for reaching a full Zero Gravity effect and the value of such rotation speed for increasing/decreasing (in function of the direction of rotation) the partial gravity effect over an object.
We also could extrapolate Zero Gravity partial effects from (6) for specific a values.
I insist once more that this is a simplified way. Therefore the results obtained are only an approximation. We should create (and obviously use) more advanced metrics for getting an exact solution.
5. Application to New Space Crafts
The associated technology will allow to build spacecrafts which take advantage of ZG and LT effect.
Combining ZG (Zero Gravity) effect [
1] and LT effect [
2], spacecrafts could increase/decrease the gravity effect (they could even create an antigravity effect or “negative gravity”). LT effect will become more relevant than ZG effect usually at higher altitudes (> 10 Km.) and less relevant than ZG effect to lower altitudes (< 10 Km.), because the influence of the altitude in the case over the LT effect is lower than the influence over ZG effect.
Therefore, we could build spacecrafts which combine ZG+LT effect to get the best of both worlds in order to travel taking advantage of warping the space-time around the spacecraft. In order to difference the ZG effect produced by speed and the ZG effect produced by LT effect, we’re going to call the global ZG effect “Theory of General Zero Gravity” and the specific effect due to speed “Theory of Special Zero Gravity”. We will go into more detail about it later.
From the previous result analysis , we can infer that the more efficient designs for getting the best of both effects for space crafts should be based on solid (or semisolid) spheres and disks. They also predictably would be the simplest to design.
It’s not a goal of this paper to detail the possible designs of the new spacecrafts, but there’s an important fact to take on account: From both points of view (theoretical and practical), ZG and their associated experiments have showed that concavities in space-time produced by Gravity can be not only counteracted until they’re flatten but to the point of creating convexities. Therefore spacecrafts could consist of an spinning body (external rotating semi solid sphere or disk) and an internal hollow operative body. The spinning body would create an anti-gravitatory effect around it which would be enough to counteract its owning gravity + operative body gravity.
COROLLARY.- There is a renewed interest in the old warp drive dream Project.
But there was a huge problem since its formulation long time ago in order to put it to work: There would be needed to find some kind of “antigravitatory material” to create (in our own words, not in theirs) a convexity effect over space-time.
But we have good news for these projects: There’s not need at all to find such material that very likely does not exist. A LT effect can be reached by rotation (counter-clockwise) instead.
In summary, ZG+LT effects could allow theoretically to build a warp drive spacecraft. But there will be other ways to do it as I’ll explain at the end of this paper.
In any case my view is we should learn to walk before to run: spacecrafts based on ZG+LT effect at first, then Warp Drive spacecrafts based on high rotation speeds clockwise and counter-clockwise.
6. Conclusions
A General Zero Gravity Theory
The Special Zero Gravity Theory [
1] shows that gravitational potential energy can be counteracted by kinetic energy (coming from translation and/or rotation). This should be the first focus of our attention in order for finding a generalization.
Zero Gravity effect (partial or full) reached by speed is according to the principle of conservation of energy: It’s a conversion of gravitational potential energy in kinetic energy, or, under the opposite view, a conversion of kinetic energy in anti-gravitational energy, that is, the energy needed to flat the space-time around an object (located in an specific space-time point) subjected to the gravity created by other object.
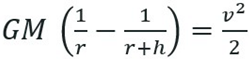
Although someone could think intuitively that the more close to the Earth surface (sea level), the more speed we should need to counteract the Gravity, we deduced the following formula in [
1]:

which shows that the speed needed to reach a Zero Gravity effect is lower the closer we’re to sea level. Why?... Because the potential gravitatory energy to counteract is greater as the altitude increases.
We also could say from the above formula that it expresses the work (kinetic energy) that is needed for keeping in balance an unit of mass to an altitude h. But the speed vector is not necessary that has an associated specific direction (as long as it meets the conditions indicated in [
1]).
Our study about the influence of Lense-Thirring effect over rotating objects [
2] showed that although the conventional gravity produced by small objects has hardly some influence over large objects, the Lense-Thirring effect created as consequence of their spin can really counteract the gravitatory potential field around them. The impact of such effect in function of speeds, shapes, densities … was widely studied in the paper [
2] so it has no sense that we repeat them here. The important fact is that we started from the same premise than the Special Zero Gravity paper, that is, that the gravity over the small object can be counteracted (or reforced depending of the direction of rotation) by the Lense-Thirring effect instead of doing it by speed.
In other words, we show theoretically and experimentally that gravitational potential energy can be also counteracted by shearing energy, understanding it as shear energy produced by a Lense-Thirring effect over space-time.
That is, we’re counteracting gravitational potential energy with shearing energy in this case.
Therefore we can deduce a conclusion although it is pretty different from the current conventional physical perception of the Gravity: Gravity (or for being more exact, gravitational potential energy) can be considered for all purposes an energy. It is the energy needed by the matter to reach a state of balance in space-time and stored like a potential energy. Such energy can be counteracted (or reinforced!...) by any kind of energy that is able to interact with the space-time. Such currently known kind of energy is kinetic in one way or another. In fact we could consider that every energy (no potential) can be expressed in one way or another as kinetic energy.
Therefore my view is this should open the door to interact in a close future with Gravity through other kind of energies, not only pure kinetic or shearing.
There have been two reasons for calling this deduction “General Zero Gravity Theory”:
- 1)
In honor to the great Albert Einstein, because this Theory was really written between lines of his General Relativity Theory. In fact he could be considered the grandfather of my Theory.
- 2)
Because Zero Gravity can be achieved not only by speed, but by other kind of energies. I’ve exposed some of them here but I’m sure we could find others that are able to do the same work in a close future.
Light and Gravity
Based on what was stated before, we can find here the explanation for the real relationship between Light and Gravity: Light counteracts the Gravity effect (gravitational potential energy) due to its own energy in shape of electromagnetic radiation (which also can be considered ultimately kinetic energy). The light loses energy as it travels through intense gravitational fields, but it does not loose speed. As light loses energy along its way due to the gravitational fields, its tendency towards the red spectrum increases (redshift).
Therefore we could deduce the global value of the gravitational fields crossed by light along its path measuring its total energy loss. That is, we could calculate an equivalent gravitational field that was able to produce the same global effect.
What’s more: the light bending+redshift can also give us an approximation not only of the equivalent gravitational field but the equivalent surface in space-time followed by Light through its geodesics lines.
Following the thread of the explanation, we could be able theoretically to use also electromagnetic energy for counteracting gravity.
6. Discussion
General Zero Gravity Theory is an extension of Special Zero Gravity Theory [
1] showing that Gravity can be counteracted (and in some cases, reinforced) by very different kind of energies.
It should open a golden door to a new technology (or technologies) that we allow us to build very advanced space-crafts in a close future.
Space-crafts that should be able to navigate through space-time in in ways hitherto unimaginable, where ships based on Special Zero Gravity Theory would be a first step (ships like “UFOs made on Earth”), and likely Warp-Drive based ships could be a second step.
And it’s very likely that as we advance in this technology, new types of ships will come. They will improve any of those imagined in our science fiction movies (including our admired Star Trek Enterprise) by sure.
If we want to explore the Universe (and even searching by an habitable planet) without to be limited by so little distances, we should create “relativistic” spacecrafts very different to our current conventional “newtonian” rockets.
References
- Special Zero Gravity Theory, F. s: Cuesta Gutierrez, (January 2024). [CrossRef]
- Lense-Thirring effect applied to small rotating objects, F. Lense-Thirring effect applied to small rotating objects, F. (December 2024). [CrossRef]
|
Disclaimer/Publisher’s Note: The statements, opinions and data contained in all publications are solely those of the individual author(s) and contributor(s) and not of MDPI and/or the editor(s). MDPI and/or the editor(s) disclaim responsibility for any injury to people or property resulting from any ideas, methods, instructions or products referred to in the content. |
© 2025 by the authors. Licensee MDPI, Basel, Switzerland. This article is an open access article distributed under the terms and conditions of the Creative Commons Attribution (CC BY) license (http://creativecommons.org/licenses/by/4.0/).