Preprint
Article

This version is not peer-reviewed.

Isolation and Identification of Two Prometryn-Degrading Strains and Pan-Genome Comparative Genomic Analysis

Submitted:

10 January 2025

Posted:

11 January 2025

You are already at the latest version

Abstract

The efficient degradation of residues of prometryn is essential as it is widely used to control weeds in wheat fields, but its residues in the soil may lead to a decrease in soil fertility and even affect the growth of subsequent crops. In this experiment, we isolated T6-2 and T7-2 strains, and analyzed the morphological, physiological and biochemical characteristics and 16S rRNA homology of T6-2 and T7-2, and investigated the effects of different pH, inoculum and incubation time on the growth and degradation rate of the strains. The physiological and biochemical characteristics and 16S rRNA homology were used to identify strain T6-2 as Bacillus subtilis subsp. Subtilis and strain T7-2 as Brevundimonas diminuta, with registration numbers MW349862 and MW350067, respectively. The strains T6-2 and T7-2 were annotated by GO, KEGG, COG and CAZyme databases respectively, and predicted to have genes related to herbicide degradation, and the genomic covariance analysis was used to determine the common and unique genes of strains T6-2 and T7-2. This study provides technical support for the remediation of contaminated soil and lays the foundation for research on microbial degradation and bioremediation of contaminated soil.

Keywords: 
;  ;  ;  

Introduction

Wheat occupies approximately 218.5 × 106 ha of the world’s arable land and makes an important contribution to the world’s agricultural economy, but with decreasing arable land, sustainable production of wheat is essential to meet global food security [1,2,3,4]. Weed infestation at all stages of wheat is a major obstacle and threat to global wheat production, with prometryn being a common herbicide used in wheat fields and a powerful tool in dealing with resistant weeds [5,6]. Prometryn (4,6-bis(isopropyl amino)-2-methylthio-1,3,5-triazine) is an herbicide developed by a Swiss company in 1959 and belongs to the triazine group of herbicides and its chemical structure is shown in Figure S1 [7,8,9].
It is a selective systemic conductive herbicide that can be conducted from the roots or stems to the green leaves and exerts its pharmaceutical effects by affecting mitochondrial respiration while the plant is photosynthesising, and is highly effective in controlling various weeds such as digitaria sanguinalis, cowweed and purslane [10]. Because of its low sorption in soil, its medium and long half-life in soil, prometryn may lead to surface water, groundwater and soil contamination, prometryn is capable of affecting early aquatic animal development and is also classified as an endocrine disruptor in the EU [11,12,13,14,15]. The application of prometryn in farmland will remain on the surface of crops, soil and water.
Prometryn will undergo photolysis under the sun. However, under natural conditions, its photolysis rate is extremely slow. At present, there are studies on the heterogeneous photocatalytic degradation of prometryn using titanium dioxide as the photocatalyst. At the same time, hydrogen peroxide and heterogeneous catalyst (Fe/TIO-P25) are used together with titanium dioxide to degrade prometryn, However, due to the high cost and limited conditions of photochemical degradation, there are few practical applications of photodegradation in the remediation of herbicide contaminated soil [16]. Microorganisms play a key role in the biodegradation of chemical herbicides. In recent decades, the research on the mechanism of herbicide catabolism by microorganisms has attracted increasing interest[17,18,19,20]. Microbial degradation is one of the best ways to degrade herbicides because of its low cost and excellent results [21,22,23,24]. Among the herbicide-degrading strains studied at present, most of the isolates are bacterial species, which are easier to cultivate and faster to reproduce. Therefore, bacterial degradation of herbicides has a broad application prospect[25,26,27,28,29,30,31,32,33]. The main purpose of this study is to domesticate and isolate strains that grow with prometryn as the only carbon and nitrogen source from different soils, study the optimal growth conditions of their highly efficient degrading strains, verify the degrading ability of the degrading strains through the bioassay test of sensitive crop seeds in subsequent crops, and explain the action mechanism of the highly efficient degrading strains through the high-throughput sequencing of the strains, in order to provide strain resources and technical support for the remediation of prometryn contaminated soil, It lays a foundation for the research of microbial degradation and bioremediation of contaminated soil.

Materials AND METHODS

Soil samples. The soil samples for the test were taken from Dujia Town, Wuchang City, Harbin City, Heilongjiang University Test Field, Hulan District, Harbin City, and Gaoguan Village, Chenhu Town, Boxing County, Binzhou City. The five-point sampling method is adopted for soil samples. 0-10cm soil samples are collected and fully ground through 2 mm sieve. The main field soil samples are paddy field, corn field, wheat field, potato field and cotton field. Dujia Town, Wuchang City, Harbin is located at 127.2 ° E, 44.8 ° N, with rainfall of 569.1 mm/year. The soil sample is black soil; The experimental field of Heilongjiang University in Hulan District, Harbin is located at 126.6 ° E, 45.9 ° N, with rainfall of 569.1 mm/year, and the soil sample is black soil; Gaoguan Village, Chenhu Town, Boxing County, Binzhou City is located at 118.1 °E, 37.2 °N, with precipitation of 564.8 mm/year. The soil sample is cinnamon.
Medium formula. (1)Minimal Salt Medium(MSM): K2HPO4 1.79 g, KH2PO4 0.45 g, MgSO4·7H2O 0.2 g , NaCl 0.4 g, Distilled water 1000 mL, pH7.0, Solid medium: add agar powder1.5%-2.0%. (2) Luria-Bertani (LB) Medium: Tryptone 10.0 g, Yeast Extract Powder 5.0 g, NaCl 10.0 g, Distilled water 1000 mL, pH7.0, 121 ℃ autoclave for 15min. (3) Nutrient Broth (NB) Medium: Peptone10.0 g, Meat extracts3.0 g, NaCl 5.0 g, Distilled water 1000 mL, pH7.2-7.4.
Enrichment, acclimation, isolation and purification of prometryn degrading strains. The herbicide-degrading strain was domesticated using a shake flask enrichment culture method. 5 g of soil sample, 25 mL of MSM and an appropriate amount of herbicide were added to a 50 mL triangular flask to reach a concentration of 200 mg/L of pendimethalin in the triangular flask, incubated in a constant temperature shaker at 30 ℃, 180 r/min, and 2.5 mL of the culture was inoculated into a new MSM every 5 d, and simultaneously increase the herbicide content in the medium by 200 mg/L each time until the concentration of herbicide in the medium reached 1000 mg/L. The enriched cultures were diluted in a gradient with sterile water (10-1, 10-2, 10-3, 10-4, 10-5, 10-6, 10-7, 10-8) and applied to the MSM added to prometryn, respectively. The purified strains were added to a shaking bed containing 1 mL of LB medium and incubated for 3 d at 30°C in a constant temperature incubator. When the OD value reached 1.0, the strains were centrifuged at 5000 r/min for 5 min, the supernatant was discarded, and 70% glycerol was added and mixed by aspiration.
Determination of growth curve of prometryn degrading strains. 20 μL of the suspension was added to 180 μL of MSM (25 mg/L, 50 mg/L and 75 mg/L of prometryn) and LB liquid medium, and four replicates were tested every 12 h. The strains were tested with Bioscreen until 72 h and growth curves were plotted.
Determination of the addition recovery and degradation rate of prometryn degrading strain. Pre-treatment of the obtained samples was performed as follows: 1 mL of culture medium, 0.25 g of NaCl, 5 mL of CH2Cl2 were added to 10 mL centrifuge tubes and shaken for 1 min on a Vortex; the upper layer was removed and placed in a new 10 mL centrifuge tube, 1 mL of CH2Cl2 was added and shaken for 1 min on a Vortex, the lower organic phase was placed in the first corresponding tube and the second centrifuge tube Add 1 mL of CH2Cl2 and shake for 1 min, place the organic phase in the first tube; add 0.2 g of anhydrous Na2SO4 to the combined first tubes and shake, place the upper layer in a 10 mL volumetric flask and place in a 50 °C water bath, evaporate the CH2Cl2; fix the volume to 10 mL with chromatographic grade methanol, shake with ultrasound for 30 min and finally pass through a 0.45 µm organic filter. The product was then passed through a 0.45 µm organic filter membrane into a 2 mL centrifuge tube and stored at 4°C in a refrigerator. It was subjected to High Performance Liquid Chromatography (HPLC). The mother liquor was diluted to 12.5 mg/L, 7.5 mg/L, 5 mg/L, 2.5 mg/L and 1 mg/L and analyzed by HPLC according to the chromatographic conditions and the standard curve was plotted.
The degradation rate of the highly efficient degrading bacterial strains was determined as follows: 5 mL of MSM added with herbicides (25 mg/L, 50 mg/L, 75 mg/L) and 50 μL of bacterial suspension were added to the test tubes, marked at the liquid level before shaking, and incubated in a constant temperature shaker at 30°C, 200 r/min for 5 days. A blank control group of CG was left to incubate with the treated group and the liquid level was made up according to the records before taking the samples. The culture solution taken out was extracted and subjected to high performance liquid chromatography to determine its degradation capacity. The spiked recovery and degradation rates are calculated by using the spiked recovery and degradation rate formulae.
Spiked recovery (%) = (measured concentration/spiked concentration) x 100%
Degradation rate (%) = [1-(measured treatment concentration/measured control concentration)] x 100%
Identification of prometryn degrading strains.The strains were Gram stained and then characterized using light microscopy, with reference to the three-step Gram staining method. LB ager medium was prepared and the purified strains were individually diluted and coated on the medium and incubated for 72h in a constant temperature incubator at 30°C. The resulting single colonies were observed for their size, edge, transparency, color and shape characteristics.
Identification was carried out using Single Box Biochemical Identification Tube(Huan Kai Microbial). Purified strains were inoculated in Nutrient Broth medium and incubated at 37°C for 18-24 h. 50 μL of broth culture was aspirated and added to penicillin vial and incubated at 35-37°C in an incubator, where the physiological and biochemical characteristics were identified with reference to the Bergey’s Manual of Systematic Bacteriology (9th edition) and the Manual of Identification of Common Bacteria.
The bacterial genomic DNA was extracted. The 16S rRNA PCR primers were 27F and 1492R, with the sequences 5’ - AGTTTGATCMTGGCTCAG - 3’ and 5’ - GGTTACCTTGTTACGACTT - 3’, respectively. 16S rRNA PCR reaction system was Template 0.5 μL, 10×Buffer (with Mg2+) 2.5 μL, dNTP (2.5 mM) 1 μL, Taq enzyme 0.2 μL, F (10 μM) 0.5 μL, R (10 μM) 0.5 μL, and double distilled water to 25 μL. The cycling conditions were pre-denaturation 94°C for 5 min, denaturation 94°C for 1 min, annealing 56°C for 1 min, annealing cycle 35 times and extension 72°C for 1 min. The PCR products were detected by 1% agarose gel electrophoresis. The DNA bands required for PCR electrophoresis were purified. The sequences were analysed and the purified products were sent to Sangon Biotech (Shanghai) Co., Ltd. for gene sequence determination. The sequences were aligned on the ribosomal database http://rdp.cme.msu.edu/index.jsp and submitted to NCBI to obtain an accession number. A Phylogenetic tree was constructed based on neighbor-joining methods using MEGA X (version X, USA).
Determination of growth characteristics of prometryn degrading strains. The purified single colonies were picked and inoculated into tubes containing 5 mL of LB liquid medium, shaken at 30°C, 160 r/min, incubated for 12 h, activated, 100 μL of the activated strain was taken and placed in a 96-well plate to measure OD600, sampled according to the OD600 value and placed in a 1.5 mL medium centrifuge tube at 5000 r/min, centrifuged for 5 min, the supernatant was discarded, added Add sterile 0.9% saline, shake with votex for 1 min, centrifuge again, discard supernatant, add sterile 0.9% saline and adjust OD600=1.0 to make bacterial suspension.
Take 1%, 5% and 10% bacterial suspensions respectively and add them to the 75 mg/L MSM added with prometryn. Repeat for three times. Set a control group that does not add a strain, and detect every 12 hours. Use Bioscreen to detect to 72 h, draw the strain growth curve, and study the influence of different inoculation amount on the growth characteristics of highly efficient degrading strains.
Take 10% of the bacterial suspension and add it to the MSM added with prometryn with pH=6.0, 7.0 and 8.0, which contains 75 mg/L, respectively. Repeat for three times. Set a control group that does not add a strain, and detect it every 12 h. Use Bioscreen to detect it to 72 h, draw the strain growth curve, and study the influence of different pH values on the growth characteristics of prometryn degrading strains.
Take 10% of the bacterial suspension and add it to MSM added with prometryn containing 75 mg/L respectively. Repeat for three times. Set one non added strain as the control group, and detect once every 12 hours. Use Bioscreen to detect for 72 h. Use HPLC to determine the residue, calculate the degradation rate, draw the strain growth curve and degradation curve, and study the influence of different culture time on the growth characteristics of prometryn degradation strains.
Determination of degradation ability of prometryn degrading strains by bioassay. The seeds were surface sterilised by soaking the seeds in 75% ethanol for 2 min, pouring out the 75% ethanol and rinsing with sterile water, pouring out the sterile water and soaking in 3% sodium hypochlorite solution for 20 minutes, pouring out the sodium hypochlorite solution and rinsing the seeds repeatedly with sterile water until the smell of sodium hypochlorite disappeared. The sterilised seeds were soaked in warm water at 30°C for 12 hours.
The sensitive concentration screening test method is as follows: first, prepare MSM added with prometryn with gradient concentration (5, 25, 50, 75, 100 mg/L), cut the sterile gauze into suitable size and place it in the sterilization plate, add 40 mL of culture solution to each plate, and then put 40 seeds into each plate evenly, each treatment is repeated for three times, and set sterile water as the blank control, place it in the 25°C light incubator for 6 days, and pay attention to supplementing the same amount of water every day, Observe and record the germination rate, bud length, root length and other indicators, and make statistical analysis to determine the more sensitive concentration of seeds.
The bioassay method of strain degradation capacity is as follows: the strain with high degradation rate is inserted into the MSM added with prometryn with sensitive concentration, shaken at 30°C, and applied to the seeds of sensitive crops according to the above method. This is the treatment group. In addition, the sterile water applied to the seeds of sensitive crops is the blank group. The MSM added with prometryn without bacteria is the control group. After each batch of treated seeds grows for 6 d, the germination rate bud length and root length.
Pan-genome sequencing of prometryn degrading strains. The whole genome of the isolated strain was extracted using a Genomic DNA purification Kit (Promega, Fitchburg, WI, USA), DNA purity and integrity were analyzed by agarose gel electrophoresis and DNA concentration was quantified. Each sample contained 1 μg of fragmented DNA randomly punched into 300 bp samples using a covaris ultrasound crusher. Complete libraries were prepared by end-repair, A-tail addition, sequencing ligation, purification and PCR amplification. After constructing the library, initial quantification is performed, followed by accurate quantification of the effective concentration of the library to ensure the quality of the library. After identification of the libraries, the whole genomes of strains T6-2 and T7-2 were sequenced according to the effective concentrations and the amount of target data required. Scaffolds larger than 500 bp were selected for subsequent analysis. Prediction of genome composition. We used four databases to predict gene function, they were GO, KEGG, COG, CAZymes.
Genomic colinearity analysis of prometryn degrading strains. Covariance analysis can reveal conserved core genes and also help explain differences in traits due to chromosomal variation. In this study, protein sequences and corresponding CDS sequences were screened against publicly available data from the Joint Genomics Institute (JGI) database and the Genome database of the National Center for Biotechnology Information (NCBI), and co-linear regions of efficiently degrading strains were searched for based on MCScanX-transposed.
Statistical analysis. Qubit 2.0 was used for initial quantification and Real-time Quantitative PCR method for accurate quantification of the effective concentration of the library to ensure the quality of the library. Sequencing was performed using the Illumina-HiSeq platform. Assembly into numerous scaffolds was performed using SPAdes (v3.13.0) software. Follow-up analyses were performed with scaffolds. Statistical analysis was performed using SPSS 20.0 statistical software, using Ducan’s multiple polar difference test, significance level by LSD chi-square test, three biological replicates for all experiments, significance level p<0.05, analysis comparing differences between treatments and control blanks, looking for correlation with the addition of microbial degrading bacteria.

Results

Enrichment, acclimation, isolation and purification of prometryn degrading strains. A preliminary screening of strains with hyaline rings was carried out by enrichment culture in MSM spiked with prometryn, further purified on LB solid medium and 19 bacterial strains capable of degrading prometryn were domesticated and isolated from test soil samples grown on rice, maize, wheat, potato and cotton in Heilongjiang and Shandong provinces. Six strains of degrading bacteria were further screened: T4-1, T5-3, T6-1, T6-2, T7-2 and T7-3. (Table S1)
Growth curve of prometryn degrading strain. The bioscreen growth curve analyzer was used to determine the effect of herbicides with different initial concentrations on the growth of the strain, and the concentration with a better growth trend in the MSM added with herbicides was selected for subsequent experiments. 72 h growth curve of prometryn degrading bacteria strain (Figure 1), in which strain T4-1 and strain T7-3 have a growth trend when prometryn initial concentration is 25 mg/L, and strain T5-3, T6-1, T6-2, and T7-2 have a growth trend when prometryn initial concentration is 75 mg/L.
Addition recovery rate and degradation rate of prometryn degrading strain. The standard curve for the herbicide quasi-quantitative was plotted as shown in Figure 3. The linear regression equation was : y = 208073x + 97277 with the correlation coefficient: R2 = 0.9999. (Figure S2) 86.43%-114.45% of the recoveries were obtained for all strains at 15, 25, 50, 75 and 100 (mg/L), which proved that the above herbicide extraction and high performance liquid chromatography assay method was feasible. (Table 1)
The high performance liquid chromatography was used to determine the degradation ability of the degradation bacteria to prometryn in the MSM, and the strains with high degradation effect were screened for subsequent experiments (Figure 2). Among them, the strains T6-2 and T7-2 had good degradation effects on prometryn with initial concentrations of 75 mg/L and 50 mg/L within 5 days, and the degradation rates were 78.68% and 65.95%, respectively.
Figure 2. Degradation rate of prometryn degrading strain. CG is the control group.
Figure 2. Degradation rate of prometryn degrading strain. CG is the control group.
Preprints 145792 g002
Identification of prometryn degrading strains.The colony morphology of strain T6-2, as shown in Figure S3, observe the colony morphology of strain T6-2 on LB medium, the colony is very large, slightly yellow, rough and irregular surface, with many folds, opaque, Gram stain is purple, the shape is short and thick rod-shaped bacteria, judge the strain is Gram-positive bacteria.
The colony morphology of strain T7-2, as shown in Figure S3, observe the colony morphology of strain T7-2 on LB medium, the colony is white, round, smooth at the edge, raised in the middle, opaque, Gram stain is red, the shape is short rod-shaped bacteria, judge the strain as Gram-negative bacteria.
The results of the physiological and biochemical responses of the prometryn degrading strains are shown in Table S2 and the results of the tests were essentially the same when compared with Hidetsugu Higashi’s Manual for the Identification of Common Bacteria and Bergey’s Manual of Systematic Bacteriology (9th edition). Strain T6-2 was positive for xylose, sorbitol, sided marigold alcohol, urea yophilized, cottonseed sugar, ornithine decarboxylase, lysine decarboxylase, semi-solid agar, and triose iron agar, and negative for citrate, phenylalanine, peptone water, glucose phosphate peptone water, and hydrogen sulphide; strain T7-2 was positive for ornithine decarboxylase, lysine decarboxylase, hydrogen sulphide, and semi-solid agar, and positive for xylose, sorbitol, Lateral marigold alcohol, urea yophilized, citrate, phenylalanine, cottonseed sugar, peptone water, glucose phosphate peptone water, triose iron agar negative.
The amplified product of the 16S rRNA from the efficiently degraded strain was subjected to 1 % agarose gel electrophoresis as shown in Figure S4, with a gene fragment size of approximately 1400 bp.The comparison results of strain T6-2 on NCBI Blast showed that the 16S rRNA sequence of strain T6-2 had high homology with Bacillus subtilis. Combined with the morphological and biochemical identification results, the strain was identified as Bacillus subtilis subsp Subtilis, submit it to Genbank to obtain the login number MW349862, and build a phylogenetic tree (Figure S5 A).The comparison results of strain T7-2 on NCBI Blast showed that the 16S rRNA sequence of strain T7-2 was highly homologous with Brevundimonas. Combined with the morphological and biochemical identification results, the strain was identified as Brevundimonas diminuta, and submitted to Genbank to obtain the registration number of MW350067 to construct a phylogenetic tree (Figure S5 B).
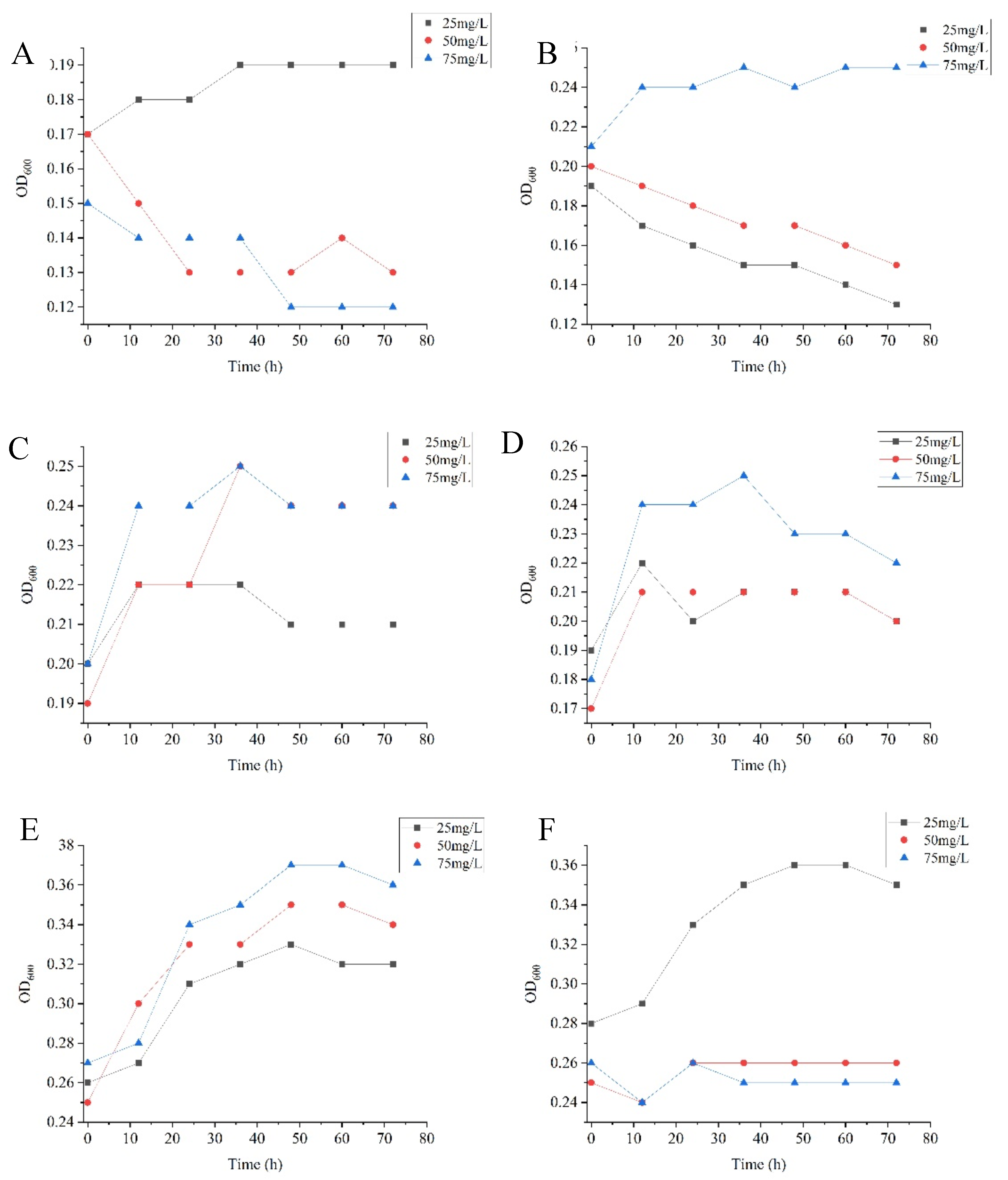
Growth characteristics of prometryn degrading strains. The growth test results of prometryn degrading bacteria strains with different pH values and inoculations are shown in Figure 3. The optimum pH values of strain T6-2 and strain T7-2 are 7 and 8 respectively; The optimum inoculation amount of strain T6-2 was 5%, and that of strain T7-2 was 10%. The determination results of culture time on the growth and degradation ability of prometryn degrading bacteria strain are shown in Figure 3. The logarithmic growth period of strain T6-2 is 12-48 h when it is cultured on the MSM added with prometryn, with its absorbance value of 0.32. The concentration of strain T6-2 decreases from 75 mg/L to 22.03 mg/L in 72 h, and the degradation rate reaches 70.63%; The logarithmic growth period of strain T7-2 was 36-60h when it was MSM added with prometryn, and its absorbance value was 0.37. The concentration of strain T7-2 decreased from 50 mg/L to 13.48 mg/L in 72h, and the degradation rate reached 73.03%.
Figure 3. Determination of the growth of prometryn degrading bacteria strains at different pH values, inoculation amount and incubation time. A and B represent the growth determination of strains T6-2 and T7-2 at different pH; C and D represent the growth determination of strains T6-2 and T7-2 with different inoculums; E and F represent the growth determination of strains T6-2 and T7-2 at different culture time.
Figure 3. Determination of the growth of prometryn degrading bacteria strains at different pH values, inoculation amount and incubation time. A and B represent the growth determination of strains T6-2 and T7-2 at different pH; C and D represent the growth determination of strains T6-2 and T7-2 with different inoculums; E and F represent the growth determination of strains T6-2 and T7-2 at different culture time.
Preprints 145792 g003
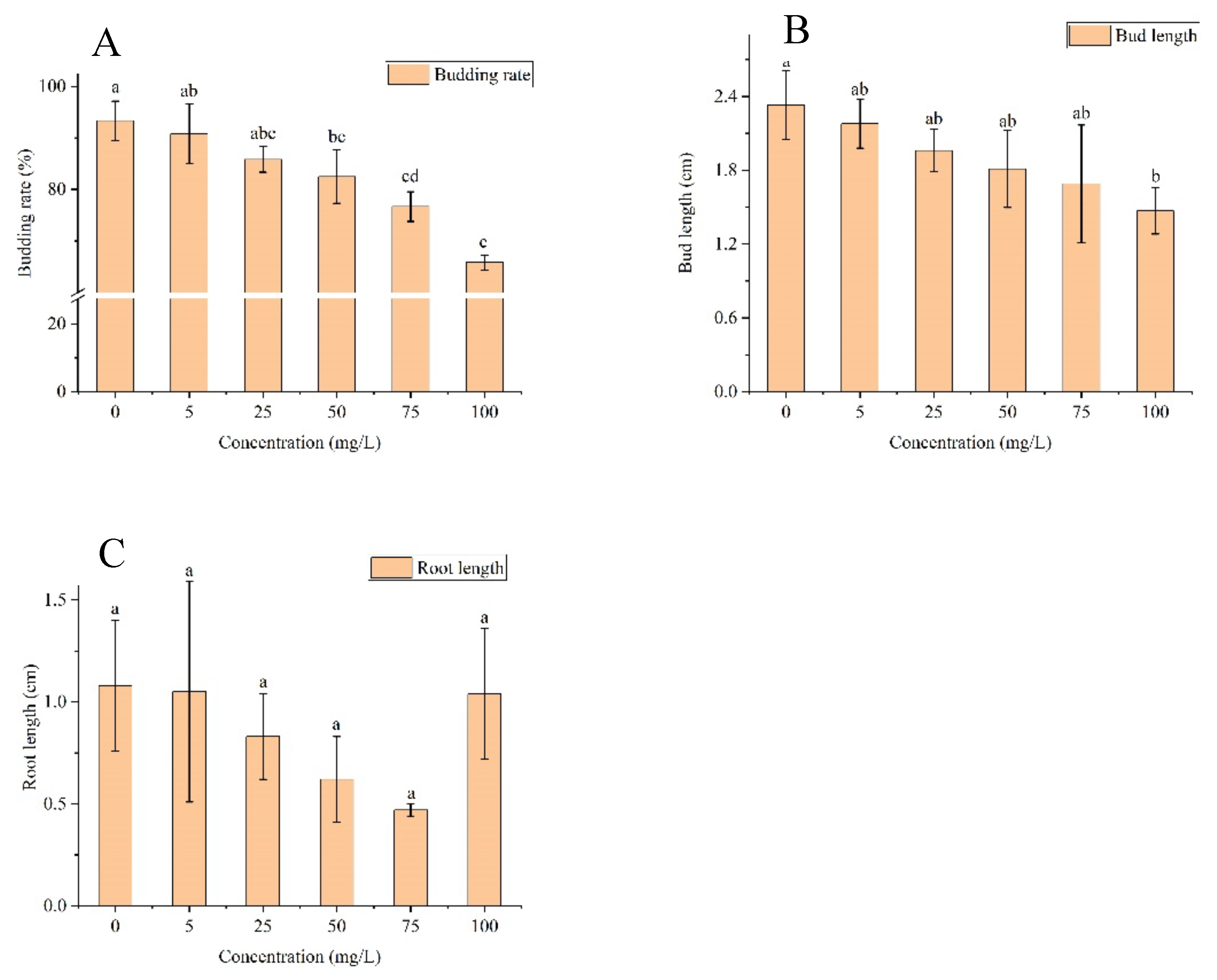
Study on the degradability of prometryn degrading strains. The results of the sensitive concentration tests on the effect of paraquat on maize seed germination are shown in Figure 4. The concentration at which the germination rate, shoot length and root length of the seeds were selected to be significantly different for subsequent experiments was 100 mg/L. The sensitive concentration at which the effect of paraquat on maize seed germination rate and shoot length was significantly different at the (p<0.05) level compared to the no-herbicide added group.
With the addition of degrading strains, the germination of corn seeds was repaired. In the initial concentration of prometryn 100 mg/L, the germination rate, bud length and root length of the control group were significantly lower than those of the blank group. After the treatment of degrading strains T6-2 and T7-2, the germination rate and root length of corn seeds treated with T6-2 and T7-2 were significantly higher than those of the control group; Compared with the control group, the bud length of T6-2 treatment and T7-2 treatment increased by 7.28% and 13.25% respectively. (Figure 5)(Table 3)
Pan-genome sequencing of prometryn degrading strains. According to the previous results, it is proved that strains T6-2 and T7-2 have degradation effects on prometryn. In order to study their degradation genes, the pan-genome sequencing of T6-2 and T7-2 was carried out. A 300 bp library was constructed for each strain, sequenced on the Illumina sequencing platform and quality controlled using Trimmomatic (v0.36) software. 3.5×106 raw sequences were obtained for strain T6-2 and 3.4*106 raw sequences for strain T7-2.
The COG database can be divided into a total of 25 categories according to function, with 9160 genes annotated into COGs for strain T6-2, 823 genes (8.98%) for G: Carbohydrate transport and metabolism, and 823 genes (8.98%) for E: Amino acid transport and metabolism had 850 genes or 9.28%, and K: Transcription had 813 genes or 8.88%. Strain T7-2 had 7445 genes annotated into the COG, 702 genes (9.43%) in R: general function prediction only, 646 genes (8.68%) in E: amino acid transport and metabolism and 640 genes (8.60%) in K: transcription.
The GO database has three major classification statistics (Figure 6). The strain T6-2 genes were classified into 40 functions, of which 10826 gene orders belonged to biological processes, 1863 to cellular components and 9126 to molecular functions. The genes involved in biological processes were the most numerous, with metabolic process accounting for 15.46%, carbohydrate utilization for 16.78%, localization for 5.18%, biological regulation for 3.78% and regulation of biological process accounted for 3.71%; membranes accounted for 6.59%, protein-containing complex accounted for 1.10%, organelle accounted for 0.81%; catalytic activity accounted for 15.74%, binding accounted for 10.99%, 3.40% for transporter activity and 1.65% for transcription regulator activity. The strain T7-2 genes were divided into 36 functions, of which 7559 gene orders belonged to biological processes, 1252 gene orders belonged to cellular components and 5346 gene orders belonged to molecular functions. The genes involved in biological processes were the most numerous, with metabolic process accounting for 17.61%, cellular process for 18.05%, regulation of biological process for 3.89%, localization for 4.85% and biological regulation for 3.99%. extracellular region was 0.08%, membrane was 6.69%, protein-containing complex was 1.09% and organelle was 0.98%; catalytic activity was 3.22% and the percentage of binding was 12.84%, transporter activity was 3.40%, structural molecule activity was 0.83% and transcription regulator activity was 163%.
Statistics on the nu mber of annotated genes in the KEGG database (Figure 7) showed that the highest number of genes for metabolism-related pathways and the lowest number for organismal systems. Strain T6-2 had 158 metabolic pathways with 6345 annotated genes, 320 genes for amino acid metabolism (11.35%), 713 genes for global and general overview maps (11.24%), 368 genes for cofactor and vitamin metabolism (5.98%) and 1001 genes for KEGG annotated carbohydrate metabolism (15.78%), mainly involved in pyruvate metabolism (106 genes, ko00620), glycolysis/gluconeogenesis (98 genes, ko00010) and amino- and nucleotide sugar metabolism (98 genes, ko00520). Strain T7-2 had 144 metabolic pathways with 4908 annotated genes, 610 genes for amino acid metabolism (12.43%), 318 genes for energy metabolism (6.48%), 303 genes for cofactor and vitamin metabolism (6.07%) and 636 genes for carbohydrate metabolism (12.96%) in KEGG annotated metabolism, mainly involved in pyruvate metabolism (90 genes, ko00620), glycolysis/gluconeogenesis (78 genes, ko00010) and propionate metabolism (78 genes, ko00640).
The annotated profile of carbohydrate-active enzyme genes was obtained by annotating the whole genome protein sequence with CAZyme and statistically (Figure 8) shown. Strain T6-2 yielded 366 carbohydrate-related enzymes, of which 37% were glycoside hydrolases (GHs), 24% were glycosyltransferases (GTs), 18% were carbohydrate-binding enzymes (CBMs) and 14% were carbohydrate esterases (CEs). Strain T7-2 obtained 207 carbohydrate-related enzymes, of which 17% were glycoside hydrolases, 21% were glycosyltransferases, 18% were carbohydrate-binding enzymes and 33% were carbohydrate esterases.
The current key enzymes regarding the metabolism of herbicides by degrading bacteria contain hydrolases, dehydrogenases, decarboxylases, oxidoreductases, esterases, cytochrome P450 and others. In this study, genome-wide analysis of strains T6-2 and T7-2 was carried out, and gene function annotation was performed through KEGG, GO, COG, CAZymes and other databases. Based on these annotations this study screened for relevant degradation enzymes.
The degradation genes identified in strain T6-2 were aceE, aceF,pdhC, pdhD and DLD, por, YciA, alkB, atzE, feaB, ribA, oll, cypD-E , bioI. The degradation genes found in strain T7-2 were korA, aceE, aceF and pdhC, pdhD and DLD, alkB, BCG9842-B4061, BenA, pcaH, atzB, cypD-E, antA and est.
Genomic ollinearity analysis of prometryn degrading strains. Covariance is the presence of a degree of linear correlation between the independent variables that can have an impact on the variables’ contribution to the model. That is, if there is covariance between two variables, the effect of one of the variables will be relatively weaker while the effect of the other will be relatively stronger after the interactions have been calculated. Analysis of covariance allows analysis of regions of covariance and non-covariance between different versions of the genome. In this study, the regions of covariance of T6-2, T7-2. Strains T6-2 and T7-2 contain 5500 and 7709 unique genes respectively, with 3543 genes in common, and it is speculated that there are 3543 genes that can degrade prometryn. (Figure 9)

Discussion

Identification of prometryn degrading strains. The environmental and safety problems caused by the long-term residue of prometryn in the soil have attracted more and more attention [34,35,36]. However, most of the studies on prometryn remain in the study of its residue, and there are few reports on the study of degradation. Liu et al. [37] fixed the cells of degradation strain JW-1 in polyvinyl alcohol sodium alginate microspheres to degrade prometryn; Tian et al. [38] used ozone oxidation to degrade prometryn in Ruditapes philippinarum; At present, there are limited reports on the microbial degradation of prometryn, and the types of bacteria studied are also limited. Liang et al. [39] isolated a bacterium capable of degrading prometryn from soil samples, named DY-1. Strain DY-1 was identified as Pseudomonas sp., which can use prometryn as the only carbon source to grow, and reduce prometryn at 50 mg/L within 48 hours. Liu et al. [40] domesticated and separated a strain of Luecoactor JW-1 from the pesticide wastewater treatment plant, and the degradation rate of prometryn 50 mg/L could reach 99% within 12 hours at pH=7.5, temperature of 30 °C. In this study, Bacillus subtilis subsp. Subtilis and Brevundimonas diminuta were selected from the soil contaminated by prometryn for a long time.There are few reports on the degradation of prometryn by Bacillus subtilis subsp. Subtilis and Brevundimonas diminuta, so this may be one of the innovation points of this experiment.
Growth characteristics of prometryn degrading strains. The degradation rate of strain T6-2 to prometryn with initial concentration of 75 mg/L reached 70.63% within pH=7, 72 h, and that of strain T7-2 to prometryn with initial concentration of 50 mg/L reached 73.03% within pH=8, 72 h. The degradation rate of prometryn is higher than or close to the strains isolated in this study. The reason for this difference may be that the types of strains are different, and the experimental control conditions are different. The degradation mechanism of prometryn needs to be further studied.
Pan-genome and collinearity analysis of prometryn degrading strains. In general, enzymes in the catabolic pathway of triazine herbicides are complex [41]. Cyanuric acid is a metabolic intermediate of triazine herbicides, which is then metabolized to ammonia and carbon dioxide through three hydrolases (AtzD, AtzE-G or AtzE and AtzF) [42]. In this study, it was found that strain T6-2 and T7-2 contained atzE (biuret hydrolase) and atzB (hydroxydechlorinated atrazine ethylamine hydrolase) respectively through gene function annotation, which suggested that the degradation of strain T6-2 and T7-2 might be related to these two key enzymes. Through gene collinearity analysis, it was proved that the strains T6-2 and T7-2 contained 5500 and 7709 specific genes respectively, with a total of 3543 genes. It was speculated that the genes capable of degrading prometryn were in the total of 3543.

Conclusions

In this experiment, strains T6-2 and T7-2, identified as Bacillus subtilis subsp. subtilis and Brevundimonas diminuta, respectively, with sequence numbers MW349862 and MW350067 on the Genbank, were domesticated and isolated from donor soil samples from Heilongjiang and Shandong provinces, using parathion as the sole source of carbon and nitrogen. The optimum growth conditions for T6-2 were pH 7 and 5% inoculum, while the optimum growth conditions for T7-2 were pH 8 and 10% inoculum. 70.63%-73.03% degradation was achieved from 0-72 h. The results of seed germination tests on sensitive crops showed that the germination rate, shoot length and root length of seed germination were in line with the linear regression equation for herbicide concentration, and that the higher the concentration of dicamba, the lower the seed germination rate and the shorter the shoot and root length. The genes related to herbicide degradation predicted by strain T6-2 include aceE, aceF , pdhC, pdhD , DLD, por, YciA, alkB, atzE, feaB, ribA, codA, cypD-E, bioI. The genes related to herbicide degradation predicted by strain T7-2 include korA, aceE, aceF, pdhC, pdhD, DLD, alkB, BCG9842-B4061, BenA, pcaH, atzB, cypD-E, antA, est. Strains T6-2 and T7-2 predicted that the common degradation factors were aceE, aceF, pdhC, pdhD, DLD, alkB, cypD-E. Through gene collinearity analysis, it was proved that the strains T6-2 and T7-2 contained 5500 and 7709 specific genes respectively, and there were 3543 common genes. This study will verify the expression of specific genes and common genes in the future and conduct in-depth analysis. The purpose of this study is to provide microbial resources and technical support for the remediation of herbicide contaminated soil, and provide theoretical basis for the study of microbial degradation and bioremediation of contaminated soil.

Supplementary Materials

The following supporting information can be downloaded at the website of this paper posted on Preprints.org. Figure S1: Chemical structure formula of prometryn. Figure S2: Standard curve of herbicide standard. Figure S3: Morphological identification of prometryn degrading bacteria. A and B are colony morphology of strain T6-2 and T7-2 under optical microscope respectively; C. D is the gram staining results of strain T6-2 and T7-2 respectively. Figure S4: Agarose electrophoresis detection of 16S rRNA of prometryn degrading strain. M:Marker DL2000;1 and 2 are PCR products of strains T6-2 and T7-2 16S respectively. Figure S5: Phylogenetic dendrogram of T6-2 and T7-2 strains based on the 16S rRNA fragments. Number represents credibility. Table S1: Number of prometryn degrading strain, sampling location and crop variety. Table S2: Physiological and biochemical response characteristics of prometryn degrading strains.

Author Contributions

Conceptualization, C.L. and F.Y.; Methodology , C.L. and F.Y.; Software, M.Y. and Z.G.; Validation, M.Y., Z.G. and H.F.; Formal analysis, C.L ., M.Y. and C.S.; Investigation C.L., M.Y, H.F. and Z.Z.; Resources, C.L. and C.S.; Data curation, M.Y. and C.L.; Writing—Original draft preparation, C.S.; Writing—Review and editing, C.L.; Visualization, M.Y., Z.G..; Supervision, C.L., F.Y. and H.F.; Project administration, C.L. and F.Y.; Funding acquisition, C.L. All authors have read and agreed to the published version of the manuscript.

Funding

This research was supported by Heilongjiang Provincial Natural Science Foundation of China (grant number LH2022C074) and Heilongjiang Provincial Basic Research Projects for Higher Education Institutions (grant number 2022-KYYWF-1079).

Conflicts of Interest

The authors declare no conflict of interest.

References

  1. Karine C, John RP, Pierre M. Contribution of Crop Models to Adaptation in Wheat. Trends Plant Sci. 2017, 22, 472–490. [Google Scholar]
  2. Shahzad M, Jabran K, Hussain M. The impact of different weed management strategies on weed flora of wheat-based cropping systems. PLoS One. 2021, 16, e0247137. [Google Scholar] [CrossRef]
  3. Sridevi N, Mithila J, Dallas P. Herbicide resistance: Development of wheat production systems and current status of resistant weeds in wheat cropping systems. Crop J. 2019, 7, 750–760. [Google Scholar]
  4. Miransari M, Smith D. Sustainable wheat ( Triticum aestivum L.) production in saline fields: a review. Crit Rev Biotechnol. 2019, 39, 999–1014. [Google Scholar] [CrossRef] [PubMed]
  5. Zhang TY, Xu B, Wang AQ. Degradation kinetics of organic chloramines and formation of disinfection by-products during chlorination of creatinine. Chemosphere. 2018, 195, 673–682. [Google Scholar] [CrossRef] [PubMed]
  6. Liu JW, Pan DD, Wu XW. Enhanced degradation of prometryn and other s-triazine herbicides in pure cultures and wastewater by polyvinyl alcohol-sodium alginate immobilized Leucobacter sp. JW-1. Sci Total Environ. 2018, 615, 78–86. [Google Scholar]
  7. Laurence HH, Christos, Gougoulias, Irene B, Kevin A, Thomas RGO. 2020. Evaluation of the Rhizosphere Contribution to the Environmental Fate of the Herbicide Prometryn. ENVIRON TOXICOL CHEM. 39:450-457.
  8. Pérez-Bárcena JF, Ahuatzi-Chacón D, Castillo-Martínez KL, Ruiz-Ordaz N, Galíndez-Mayer J, Juárez-Ramírez Cleotilde, Ramos-Monroy Oswaldo. 2014. Effect of herbicide adjuvants on the biodegradation rate of the methylthiotriazine herbicide prometryn. Biodegradation. 25: 405-15.
  9. Zhang RR, Gan XT, Xu JJ. Ultrasensitive electrochemiluminescence sensor based on perovskite quantum dots coated with molecularly imprinted polymer for prometryn determination. Food Chem. 2021, 370, 131353. [Google Scholar] [CrossRef]
  10. Wang ZY, Sun XJ, Ru SG, Wang J, Xiong JQ, Yang LQ, Hao LP, Zhang J, Zhang XN.2022. Effects of co-exposure of the triazine herbicides atrazine, prometryn and terbutryn on Phaeodactylum tricornutum photosynthesis and nutritional value. Sci Total Environ. 807: 150609.
  11. Yang Y, Li SN, Wang ZQ, Ren YY, Mu YC, Zhang X, Van DBPJ, Sun HW, Song Y, Cheng B. 2022. Acute toxicity, bioaccumulation and elimination of prometryn in tilapia (Oreochromis niloticus). Chemosphere. 300:134565.
  12. Zeng FS, Wu L, Ren X. . Effects of chronic prometryn exposure on antioxidative status, intestinal morphology, and microbiota in sea cucumber (Apostichopus japonicus). Comp Biochem Physiol C Toxicol Pharmacol. 2021, 250, 109187. [Google Scholar] [CrossRef] [PubMed]
  13. Min NY, Park H, Hong T, An G, Song G, Lim W. 2023. Developmental toxicity of prometryn induces mitochondrial dysfunction, oxidative stress, and failure of organogenesis in zebrafish (Danio rerio). J Hazard Mater. 443: 130202.
  14. Zhou JH, Hu F, Jiao JG, Liu MQ, Li HX. 2012. Effects of bacterial-feeding nematodes and prometryn-degrading bacteria on the dissipation of prometryn in contaminated soil. J Soil sediment. 12: 576-585.
  15. Yang LQ, Li HM, Zhang YY, Jiao NZ. 2019. Environmental risk assessment of triazine herbicides in the Bohai Sea and the Yellow Sea and their toxicity to phytoplankton at environmental concentrations. Environ Int. 133: 105175.
  16. Evgenidou E, Bizani E, Christophoridis C, Fytianos K. 2007. Heterogeneous photocatalytic degradation of prometryn in aqueous solutions under UV-Vis irradiation. Chemosphere. 68: 1877-1882.
  17. Chen YS, Chen WJ, Huang YH, Li JY, Zhong JF, Zhang WP, Zou Y, Mishra S, Bhatt P, Chen SH. 2022. Insights into the microbial degradation and resistance mechanisms of glyphosate. Environ. Res. 215:114153.
  18. Zhou J, Liu K, Xin FX, Ma JF, Xu N, Zhang WM, Fang Y, Jiang M, Dong WL. 2018. Recent insights into the microbial catabolism of aryloxyphenoxy-propionate herbicides: microbial resources, metabolic pathways and catabolic enzymes. World. J. Microb. Biot. 34:117.
  19. Huang X, He J, Yan X, Hong X, Chen K, He Q, Zhang L, Liu XW, Chuang SC, Li S P, Jiang JD. 2017. Microbial catabolism of chemical herbicides: Microbial resources, metabolic pathways and catabolic genes. Pest. Biochem. Physiol. 143:272-297.
  20. Singh B, Singh K. 2014. Microbial degradation of herbicides. Crit. Rev. Microbiol. 42:1-17.
  21. Hatch KM, Lerch RN, Kremer RJ, Willett CD, Roberts CA, Goyne KW. 2022. Evaluating phytochemical and microbial contributions to atrazine degradation. J Environ Manage. 321:115840.
  22. Wang A, Fu WN, Feng Y, Liu ZM, Song DH. 2022. Synergetic effects of microbial-phytoremediation reshape microbial communities and improve degradation of petroleum contaminants. J Hazard Mater. 429: 128396.
  23. Fuchs G, Boll M, Heider J. 2011. Microbial degradation of aromatic compounds - from one strategy to four. Nat Rev Microbiol. 9: 803-16.
  24. Ma JP, Wang Z, Lu P. Biodegradation of the sulfonylurea herbicide chlorimuron-ethyl by the strain Pseudomonas sp. LW3. FEMS Microbiol Lett. 2009, 296, 203–9. [Google Scholar] [PubMed]
  25. Wang N X, Tang Q, Ai GM, Wang YN, Wang BJ, Zhao ZP, Liu SJ. 2012. Biodegradation of tribenuron methyl that is mediated by microbial acidohydrolysis at cell-soil interface. Chemosphere. 86: 1098-105.
  26. Yang TT, Zhang HW, Wang J, Li XY, Li X, Su ZC. 2021. High bioremediation potential of strain Chenggangzhangella methanolivorans CHL1 for soil polluted with metsulfuron-methyl or tribenuron-methyl in a pot experiment. Environ Sci Pollut Res Int. 28: 4731-4738.
  27. Ma QY, Han XY, Song JL, Wang J, Li QQ, Parales RE, Li L, Ruan ZY. 2023. Characterization of a new chlorimuron-ethyl-degrading strain Cedecea sp. LAM2020 and biodegradation pathway revealed by multiomics analysis. J Hazard Mater. 443: 130197.
  28. Chen J, Yang SQ, Zhang K, Chen W, Mo Y, Li Lin. 2022. Biochemical pathways and associated microbial process of di-2-ethyl hexyl phthalate (DEHP) enhanced degradation by the immobilization technique in sequencing batch reactor. Environ Technol. 43: 2899-2908.
  29. Zang H, Wang H, Miao L, Cheng Y, Zhang YT, Liu Y, Sun SS, Wang Y, Li CY. 2020. Carboxylesterase, a de-esterification enzyme, catalyzes the degradation of chlorimuron-ethyl in Rhodococcus erythropolis D310-1. J Hazard Mater. 387: 121684.
  30. Zhang SS, Zhang C, Sun FJ, Zhang ZY, Zhang XJ, Pan HY, Sun P, Zhang H. 2020. Glutathione-S-transferase (GST) catalyzes the degradation of Chlorimuron-ethyl by Klebsiella jilinsis 2N3. Sci Total Environ. 729: 139075.
  31. Li X, Lu CM, Dai YM, Yu ZX, Gu W, Li TT, Li XY, Li X, Wang XJ, Su ZC, Xu M K, Zhang HW. 2022. Characterizing the Microbial Consortium L1 Capable of Efficiently Degrading Chlorimuron-Ethyl via Metagenome Combining 16S rDNA Sequencing. Front Microbiol. 13: 912312.
  32. Zang HL, Yu Q, Lv TY. Insights into the degradation of chlorimuron-ethyl by Stenotrophomonas maltophilia D310-3. Chemosphere. 2016, 144, 176–84. [Google Scholar] [CrossRef] [PubMed]
  33. Wang J, Li XY, Li X, Wang HH, Su ZC, Wang XZ, Zhang HW. 2018. Dynamic changes in microbial communities during the bioremediation of herbicide (chlorimuron-ethyl and atrazine) contaminated soils by combined degrading bacteria. PLoS One. 13: e019475.
  34. Zhou J, Jia R, Brown RW, Yang YD, Zeng ZH, Jones DL, Zang HD. 2023. The long-term uncertainty of biodegradable mulch film residues and associated microplastics pollution on plant-soil health. J Hazard Mater. 442:130055.
  35. Ren HY, Kong FY, Zhao L, Ren NQ, Ma J, Nan J, Liu BF. 2019. Enhanced co-production of biohydrogen and algal lipids from agricultural biomass residues in long-term operation. Bioresour Technol. 289: 121774.
  36. Wang XJ, Clayton RB, Jeff AB, Tang CX. 2017. Long-term stabilization of crop residues and soil organic carbon affected by residue quality and initial soil pH. Sci Total Environ. 587-588, 502-509.
  37. Liu JW, Pan DD, Wu XW. Enhanced degradation of prometryn and other s-triazine herbicides in pure cultures and wastewater by polyvinyl alcohol-sodium alginate immobilized Leucobacter sp. JW-1. Sci Total Environ. 2018, 615, 78. [Google Scholar]
  38. Tian YY, Liu MX, Sang YX, Kang CY, Wang XH. 2020. Degradation of prometryn in Ruditapes philippinarum using ozonation: Influencing factors, degradation mechanism, pathway and toxicity assessment. Chemosphere. 248: 126018.
  39. Liang D, Ding M, Xiao CY, Shen Y W, Wang YY, Li HT, Liu RM, Gao JG. 2021. Isolation and Identification of Pseudomonas sp. Strain DY-1 from Agricultural Soil and Its Degradation Effect on Prometryn. Curr Microbiol. 78: 1-11.
  40. Liu JW, Hua RM, Lv P, Tang J, Wang Y, Cao HQ, Wu XW, Li QX. 2017. Novel hydrolytic de-methylthiolation of the s-triazine herbicide prometryn by Leucobacter sp. JW-1. Sci Total Environ. 579: 115-123.
  41. Esquirol L, Peat TS, Sugrue E, Balotra S, Rottet S, Warden AC, Wilding M, Hartley C J, Jackson CJ, Newman J, Scott C. 2020. Bacterial catabolism of s-triazine herbicides: biochemistry, evolution and application. Advances in microbial physiology. 76(prepublish): 129-186.
  42. Esquirol L, Peat TS, Wilding M. An unexpected vestigial protein complex reveals the evolutionary origins of an s -triazine catabolic enzyme. J Biol Chem. 2018, 293, 7880–7891. [Google Scholar] [CrossRef] [PubMed]
Figure 1. Determination of growth curve of prometryn degrading strain in different concentration prometryn medium A, B, C, D, E, F are strains T4-1, T5-3, T6-1, T6-2, T7-2, T7-3 respectively.
Figure 1. Determination of growth curve of prometryn degrading strain in different concentration prometryn medium A, B, C, D, E, F are strains T4-1, T5-3, T6-1, T6-2, T7-2, T7-3 respectively.
Preprints 145792 g001
Figure 4. Results of bioassays on the sensitivity of maize seed of subsequent crops to paraquat. A, B and C represent budding rate, bud length and root length respectively. Duncan method was used for significance analysis. Different letters in each column indicate a significant difference, which is at a significant level of 0.05.
Figure 4. Results of bioassays on the sensitivity of maize seed of subsequent crops to paraquat. A, B and C represent budding rate, bud length and root length respectively. Duncan method was used for significance analysis. Different letters in each column indicate a significant difference, which is at a significant level of 0.05.
Preprints 145792 g004
Figure 5. Linear regression equation of concentration for the effect of herbicides on the seed germination of subsequent sensitive crops. A and B are the effects of prometryn on the germination rate, bud length and root length of maize seeds.
Figure 5. Linear regression equation of concentration for the effect of herbicides on the seed germination of subsequent sensitive crops. A and B are the effects of prometryn on the germination rate, bud length and root length of maize seeds.
Preprints 145792 g005
Figure 6. Classification of GO function annotation of strains. A and B are the classification of GO function annotation of strains T6-2 and T7-2 respectively.
Figure 6. Classification of GO function annotation of strains. A and B are the classification of GO function annotation of strains T6-2 and T7-2 respectively.
Preprints 145792 g006
Figure 7. Classification of KEGG functional annotation. A and B are the classification of KEGG functional annotation of strains T6-2 and T7-2 respectively.
Figure 7. Classification of KEGG functional annotation. A and B are the classification of KEGG functional annotation of strains T6-2 and T7-2 respectively.
Preprints 145792 g007
Figure 8. Classification of CAZymes functional annotation of strains. A and B are the classification of CAZymes functional annotation of strains T6-2 and T7-2 respectively.
Figure 8. Classification of CAZymes functional annotation of strains. A and B are the classification of CAZymes functional annotation of strains T6-2 and T7-2 respectively.
Preprints 145792 g008
Figure 9. Genomic colinearity analysis of strain T6-2 and T7-2. A is the Venn map of common unique genes; B is the colinearity analysis diagram of strains T6-2 and T7-2.
Figure 9. Genomic colinearity analysis of strain T6-2 and T7-2. A is the Venn map of common unique genes; B is the colinearity analysis diagram of strains T6-2 and T7-2.
Preprints 145792 g009
Table 1. Prometryn recovery rate.
Table 1. Prometryn recovery rate.
Herbicide name Amount added(mg/L) Add recovery(%)
Prometryn 15 86.43
25 99.13
50 114.45
75 94.11
100 98.30
Table 3. Seed germination test results of prometryn after strain treatment. Duncan method was used for significance analysis. Different letters in each column indicate a significant difference, which is at a significant level of 0.05.
Table 3. Seed germination test results of prometryn after strain treatment. Duncan method was used for significance analysis. Different letters in each column indicate a significant difference, which is at a significant level of 0.05.
Corn seeds treated with strains
Budding rate(%) Bud length (cm) Root length (cm)
Blank group 93.33±0.01 a 2.33±0.28 a 1.08±0.32 a
Control group 69.17±0.03 b 1.51±0.49 b 0.32±0.03 b
T6-2
T7-2
79.18±0.04c 1.62±0.37 b 0.62±0.08 a
78.33±0.04 d 1.71±0.34 cb 0.79±0.38 a
Disclaimer/Publisher’s Note: The statements, opinions and data contained in all publications are solely those of the individual author(s) and contributor(s) and not of MDPI and/or the editor(s). MDPI and/or the editor(s) disclaim responsibility for any injury to people or property resulting from any ideas, methods, instructions or products referred to in the content.
Copyright: This open access article is published under a Creative Commons CC BY 4.0 license, which permit the free download, distribution, and reuse, provided that the author and preprint are cited in any reuse.
Prerpints.org logo

Preprints.org is a free preprint server supported by MDPI in Basel, Switzerland.

Subscribe

Disclaimer

Terms of Use

Privacy Policy

Privacy Settings

© 2026 MDPI (Basel, Switzerland) unless otherwise stated