Submitted:
24 December 2024
Posted:
25 December 2024
You are already at the latest version
Abstract
Keywords:
1. Introduction
2. Brief Review of Literature on SS316LN, Material Plasticity and Damage Models
3. Material Used in This Work and Other Experimental Details
4. Conventional Procedure and a New Algorithm for Evaluation of Parameters of Temperature and Strain-Rate-Dependent Material Constitutive Models
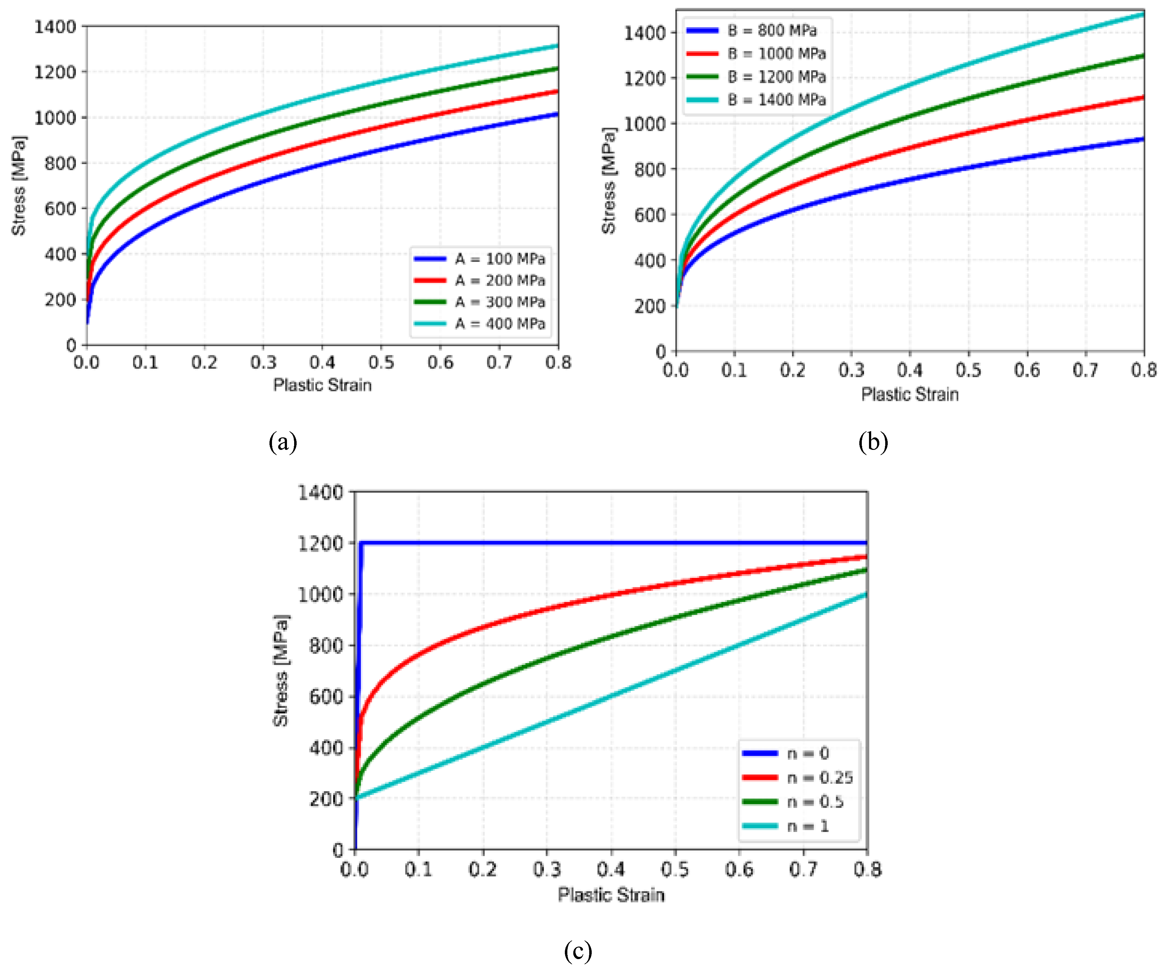
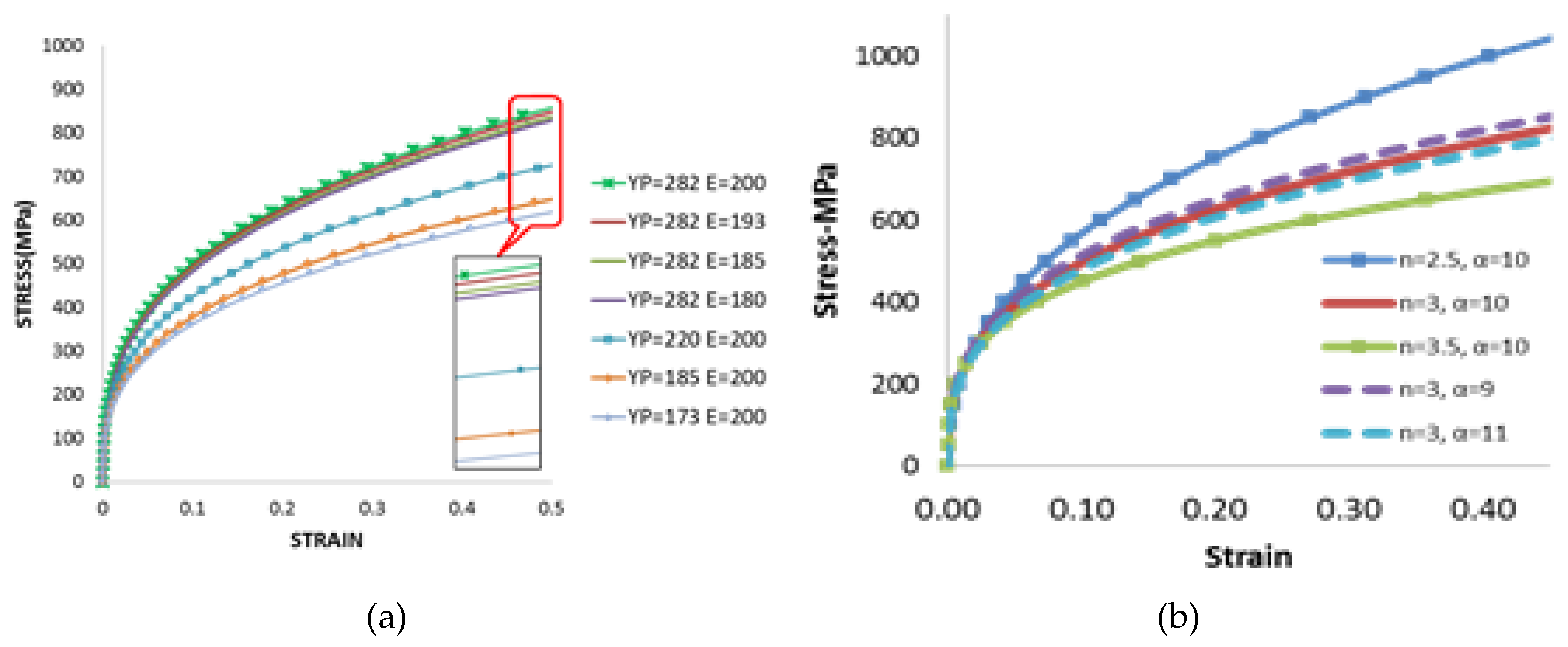
5. A new optimization technique for evaluation of plastic hardening parameters of Ramberg-Osgood model
6. A New Procedure for Evaluation of Damage Parameters of Johnson-Cook Model
7. Discussion
7. Summary and Conclusions
- The conventional procedure for paramter estimation provides inaccurate results, which is due to presence of large scatter in data (especially for parameter ‘m’) and inaccurate estimation of damage initiation strain as a function of temperature for the parameter d5.
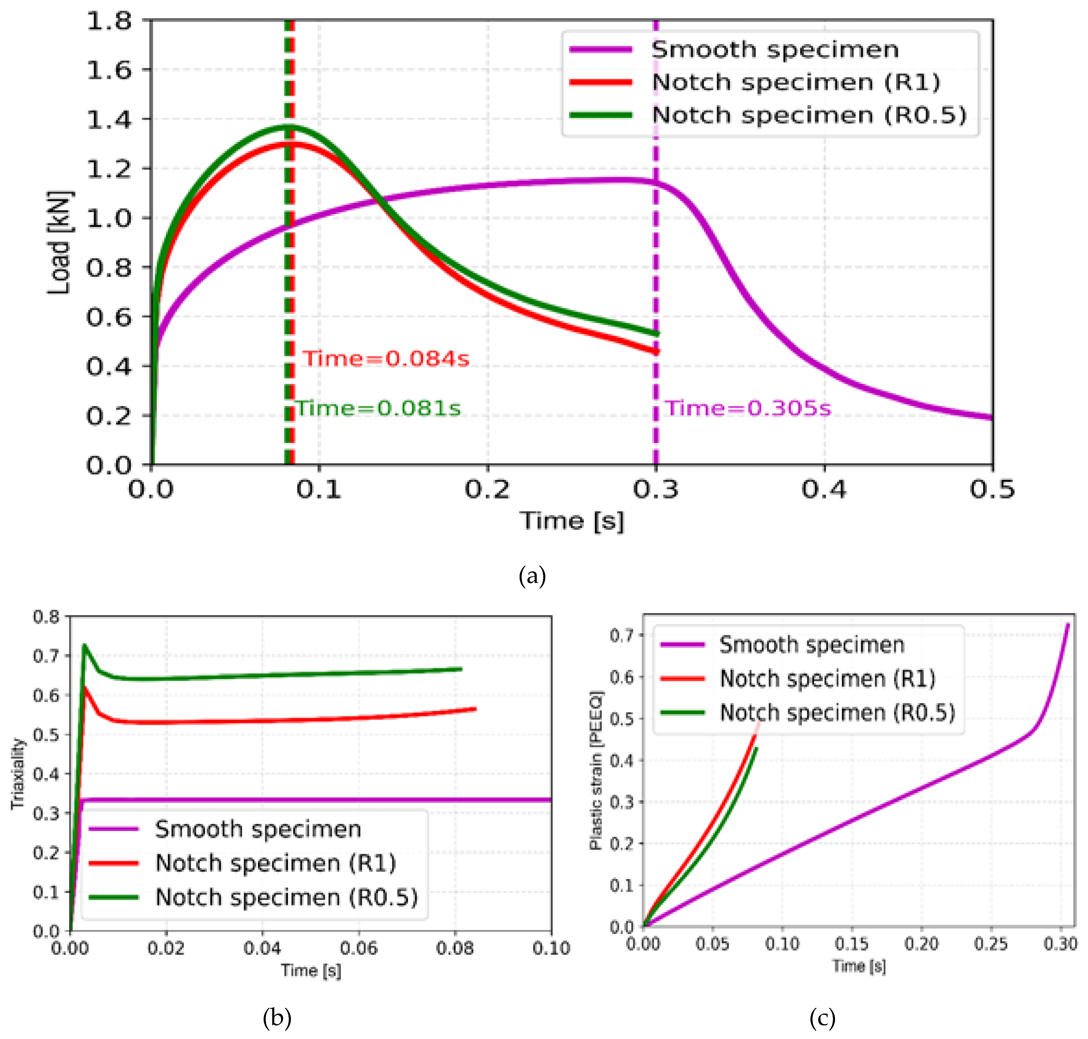
- The new procdure involving error minimization is accurate as it takes care of deformation behaviour of different types of specimens in the analysis, which represents a wide range of stress triaxialities.
- The values of temperature dependent parameters ‘m’ and ‘d5’ as estimated from the use of new optimization technique for SS316LN have been found to be 1.18 and -1.7 respectively.
- Split Hopkinson pressure bar tests produce time-varying strain rates in the specimen and hence, the average strain-rate stress-strain data, as obtained from these tests, are not suitable for estimation of strain-rate dependent parameter ‘C’, as followed in the conventional procedure of parameter estimation.
- The FE simulation technique, as followed in this work, is more suitable for estimation accurate estimation of parameter ‘C’ as it takes care of the inherently varying nature of strain rate during the deformation of the specimen in the SHPB test and the average magnitude of strain rate is not used in the estimation scheme.
- The optimization method followed in this work is more general as it involves FE analysis of the actual deformation behaviour of different types of specimens and hence, it can be used for estimation of parameters of Johnson-Cook as well as Ramberg-Osgood models.
Author Contributions
Funding
Data Availability Statement
Acknowledgments
Conflicts of Interest
References
- Kale R.D. India's fast breeder reactor programme - A review and critical assessment. Progress in Nuclear Energy 2020; 122; 103265. [CrossRef]
- Bharasi N.S.; Krishna N.G.; Shankar A.R., Krishnakumar S.; Chandramouli S.; Karki V.; Kannan S.; Philip J. Influence of long term Sodium Exposure on the Corrosion and Tensile Properties of AISI Type 316LN stainless steel and modified 9Cr-1Mo steel. Journal of Nuclear Materials 2022, 567, 153830. [CrossRef]
- RCC-MR 2020. Design and construction rules for mechanical components of nuclear installations. AFCEN, CEA France, June 2020.
- Johnson G.R.; Cook W.H. A constitutive model and data for metals subjected to large strains, high strain rates and high temperatures. Proceedings of the Seventh International Symposium on Ballistics, The Hague, 1983, pp. 541-547.
- Kumar V.; German M.D.; Shih C.F. An Engineering Approach for Elastic-Plastic Fracture Analysis. EPRI Report NP-1931, Electric Power Research Institute, Palo Alto, CA, 1981.
- Zahoor A. Ductile Fracture Handbook. Three-Volume Set, EPRI Report NP-6301, Electric Power Research Institute, Palo Alto, CA, 1989.
- Sgobba, S.; Libeyre, P.; Marcinek, D.J.; Nyilas, A. A Comparative Assessment of Metallurgical and Mechanical Properties of Two Austenitic Stainless Steels for the Conductor Jacket of the ITER Central Solenoid. Fusion. Eng. Des. 2013, 88, 2484–2487. [CrossRef]
- Qin J.; Dai C.; Liao G.; Wu Y.; Zhu X.; Huang C.; Li L.; Wang K.; Shen X.; Tu Z.; Ji H. Tensile test of SS 316LN jacket with different conditions. Cryogenics 2014, 64, 16-20. [CrossRef]
- Fedoriková, A.; Petroušek, P.; Kvačkaj, T.; Kočiško, R.; Zemko, M. Development of Mechanical Properties of Stainless Steel 316LN-IG after Cryo-Plastic Deformation. Materials 2023, 16, 6473. [CrossRef]
- Petrousek, P.; Kvackaj, T.; Kocisko, R.; Bidulska, J.; Luptak, M.; Manfredi, D.; Grande, M.A.; Bidulsky, R. Influence of Cryorolling on Properties of L-Pbf 316l Stainless Steel Tested at 298k and 77k. Acta Metall. Slovaca 2019, 25, 283–290. [CrossRef]
- Han, W.; Liu, Y.; Wan, F.; Liu, P.; Yi, X.; Zhan, Q.; Morrall, D.; Ohnuki, S. Deformation Behavior of Austenitic Stainless Steel at Deep Cryogenic Temperatures. J. Nucl. Mater. 2018, 504, 29–32. [CrossRef]
- Zhang H.; Huang C.; Huang R.; Li L. Influence of pre-strain on cryogenic tensile properties of 316LN austenitic stainless steel. Cryogenics 2020, 106, 103058. [CrossRef]
- Wu S.; Xin J.; Xie W.; Zhang H.; Huang C.; Wang W.; Zhou Z.; Zhou Y.; Li L. Mechanical properties and microstructure evolution of cryogenic pre-strained 316LN stainless steel. Cryogenics 2022, 121, 103388. [CrossRef]
- Wei Y.; Lu Q.; Kou Z.; Feng T.; Lai Q. Microstructure and strain hardening behavior of the transformable 316L stainless steel processed by cryogenic pre-deformation. Materials Science and Engineering A 2023, 862, 144424. [CrossRef]
- Kim, M.-S.; Lee, T.; Park, J.-W.; Kim, Y. Tensile and Fracture Characteristics of 304L Stainless Steel at Cryogenic Temperatures for Liquid Hydrogen Service. Metals 2023, 13, 1774. [CrossRef]
- Weiss K.-P.; Kraskowski A.; Koukolíková M.; Podaný P.; Zemko M. Mechanical properties after thermomechanical processing of cryogenic high-strength materials for magnet application. Fusion Engineering and Design 2021, 168, 112599. [CrossRef]
- Kvackaj, T.; Rozsypalova, A.; Kocisko, R.; Bidulska, J.; Petrousek, P.; Vlado, M.; Pokorny, I.; Sas, J.; Weiss, K.-P.; Duchek, M. Influence of Processing Conditions on Properties of AISI 316LN Steel Grade. J. Mater. Eng. Perform. 2020, 29, 1509–1514. [CrossRef]
- Lorenzetto, P.; Helie, M.; Molander, A. Stress Corrosion Cracking of AISI 316LN Stainless Steel in ITER Primary Water Conditions. J. Nucl. Mater. 1996, 233, 1387–1392. [CrossRef]
- Yang, W.; Cheng, P.; Li, Y.; Wang, R.; Liu, G.; Xin, L.; Zhang, J.; Sun, J. Ratcheting-Induced Twinning/de-Twinning Behaviors in a 316LN Austenitic Stainless Steel. Mater. Sci. Eng. A 2022, 851, 143648. [CrossRef]
- Üçok, İ.; Ando, T.; Grant, N.J. Property Enhancement in Type 316L Stainless Steel by Spray Forming. Mater. Sci. Eng. A 1991, 133, 284–287. [CrossRef]
- Wegener, T.; Wu, T.; Sun, F.; Wang, C.; Lu, J.; Niendorf, T. Influence of Surface Mechanical Attrition Treatment (SMAT) on Microstructure, Tensile and Low-Cycle Fatigue Behavior of Additively Manufactured Stainless Steel 316L. Metals 2022, 12, 1425. [CrossRef]
- Petrousek, P.; Kvackaj, T.; Bidulska, J.; Bidulsky, R.; Grande, M.A.; Manfredi, D.; Weiss, K.-P.; Kocisko, R.; Luptak, M.; Pokorny, I. Investigation of the Properties of 316L Stainless Steel after AM and Heat Treatment. Materials 2023, 16, 3935. [CrossRef]
- Herrera, C.; Plaut, R.L.; Padilha, A.F. Microstructural Refinement during Annealing of Plastically Deformed Austenitic Stainless Steels. Mater. Sci. Forum 2007, 550, 423–428. [CrossRef]
- Hwang, I.-S.; So, T.-Y.; Lee, D.-H.; Shin, C.-S. Characterization of Mechanical Properties and Grain Size of Stainless Steel 316L via Metal Powder Injection Molding. Materials 2023, 16, 2144. [CrossRef]
- Uralde, V.; Suarez, A.; Aldalur, E.; Veiga, F.; Ballesteros, T. Wall Fabrication by Direct Energy Deposition (DED) Combining Mild Steel (ER70) and Stainless Steel (SS 316L): Microstructure and Mechanical Properties. Materials 2022, 15, 5828. [CrossRef]
- Shang Z.; Fan C.; Ding J.; Xue S.; Gabriel A.; Shao L.; Voisin T.; Wang Y.M.; Niu T.; Li J.; de la Rubia T.D.; Wang H.; Zhang X. Heavy ion irradiation response of an additively manufactured 316LN stainless steel. Journal of Nuclear Materials 2021, 546, 152745. [CrossRef]
- Sumanariu, C.A.; Amza, C.G.; Baciu, F.; Vasile, M.I.; Nicoara, A.I. Comparative Analysis of Mechanical Properties: Conventional vs. Additive Manufacturing for Stainless Steel 316L. Materials 2024, 17, 4808. [CrossRef]
- Lesley, R.; Herrera, C.; Escriba, D.; Rios, P.; Padilha, A. A Short Review on Wrought Austenitic Stainless Steels at High Temperatures: Processing, Microstructure, Properties and Performance. Mater. Res. 2007, 10, 453–460. [CrossRef]
- Weiss, B.; Stickler, R. Phase Instabilities during High Temperature Exposure of 316 Austenitic Stainless Steel. Met. Trans. 1972, 3, 851–866. [CrossRef]
- Singhal, L.K.; Martin, J.W. The Formation of Ferrite and Sigma-Phase in Some Austenitic Stainless Steels. Acta Metall. 1968, 16, 1441–1451. [CrossRef]
- Wasnik, D.N.; Dey, G.K.; Kain, V.; Samajdar, I. Precipitation Stages in a 316L Austenitic Stainless Steel. Scr. Mater. 2003, 49, 135–141. [CrossRef]
- Tabin, J. Kinematic and Thermal Characteristic of Discontinuous Plastic Flow in Metastable Austenitic Stainless Steels. Mech. Mater. 2021, 163, 104090. [CrossRef]
- Lu, Q.; Zhang, C.; Wang, W.; Jiang, S.; Aucott, L.; Yasmeen, T.; Jiang, J. Reveal the Viscoplastic Behaviour and Microstructure Evolution of Stainless Steel 316L. Materials 2022, 15, 7064. [CrossRef]
- Lu W.; Hua X.; Zhou X.; Huang J.; Peng X. Aging precipitation behaviors of Nb-contained 316LN SS. Journal of Alloys and Compounds 2017, 701, 993-1002. [CrossRef]
- Spruiell, J.E.; Scott, J.A.; Ary, C.S.; Hardin, R.L. Microstructural Stability of Thermal-Mechanically Pretreated Type 316 Austenitic Stainless Steel. Met. Trans. 1973, 4, 1533–1544. [CrossRef]
- Prasad Reddy G.V.; Christopher J.; Praveen C.; Ganesan V. Creep deformation and constitutive modelling of 316LN SS with varying nitrogen content. Materials Today: Proceedings 2024, 108, 86-92. [CrossRef]
- Ganesan V.; Ganesh Kumar J.; Laha K.; Mathew M.D. Notch creep rupture strength of 316LN SS and its variation with nitrogen content. Nuclear Engineering and Design 2013, 254, 179-184. [CrossRef]
- Ganesh Kumar J.; Ganesan V.; Laha K.; Mathew M.D. Time dependent design curves for a high nitrogen grade of 316LN stainless steel for fast reactor applications. Nuclear Engineering and Design 2013, 265, 949-956. [CrossRef]
- Ding J.; Tan J.; Zhang Z.; Wang X.; Wu X.; Han E.-H.; Ke W. Low cycle fatigue behavior of 316LN stainless steel hollow specimen in air and liquid lead–bismuth eutectic. International Journal of Fatigue 2023, 175, 107812. [CrossRef]
- Yang J.; Li B.; Zheng Y.; Chen G.; Chen X. Low cycle fatigue behavior of additive manufactured 316LN stainless steel at 550°C: Effect of solution heat treatment. International Journal of Fatigue 2024, 179, 108066. [CrossRef]
- Li B.; Zheng Y.; Zhao J.; Shi S.; Zhang Z.; Chen X. Cyclic deformation behavior and dynamic strain aging of 316LN stainless steel under low cycle fatigue loadings at 550 °C. Materials Science and Engineering A 2021, 818, 141411. [CrossRef]
- Lin Q.; Chen X.; Zheng Y.; Zhang Z.; Chen G.; Li B. Multiaxial isothermal and thermomechanical fatigue behavior of 316LN stainless steel. International Journal of Pressure Vessels and Piping 2022, 197, 104633. [CrossRef]
- Zheng Y.; Chen X.; Zhang Z.; Shi S.; Chen G.; Li B. Multiaxial low cycle fatigue behavior and life prediction method of 316LN stainless steel at 550°C. International Journal of Fatigue 2022, 156, 106637. [CrossRef]
- Li B.; Zheng Y.; Chen G.; Itoh T.; Chen X. Isothermal and thermomechanical fatigue behavior of 316LN stainless Steel: Effects of strain amplitude. International Journal of Fatigue 2023, 166, 107304. [CrossRef]
- Zheng Y.; Li B.; Wang F.; Xu C.; Wang K.; Chen X. Isothermal and thermo-mechanical fatigue crack growth behavior and modelling of 316LN stainless steel with the superposition of HCF loading. International Journal of Fatigue 2024, 189, 108548. [CrossRef]
- Ma Y.; Zhang Z.; Tan J.; Wu X.; Wang X.; Wang Y.; Han E.-H.; Ke W. Microstructurally and mechanically small fatigue crack growth behaviors of 316LN stainless steel in high-temperature pressurized water. Corrosion Science 2024, 227, 111735. [CrossRef]
- Ma Y.; Zhang Z.; Zhang X.; Yin H.; Liang B.; Tan 3J.; Wu X.; Han E.-H.; Ke W. Effects of strain rate on low-cycle fatigue crack growth behavior of 316LN weld metal in high-temperature pressurized water. Corrosion Science 2022, 199, 110169. [CrossRef]
- Praveen C.; Christopher J.; Ganesan V.; Prasad Reddy G.V.; Sasikala G.; Albert S.K. Constitutive modelling of transient and steady state creep behaviour of type 316LN austenitic stainless steel. Mechanics of Materials 2019, 137, 103122. [CrossRef]
- Xing R.; Sun X.; Chen X. Cyclic constitutive modeling of 316LN stainless steel considering thermal aging mechanism. European Journal of Mechanics - A/Solids 2024, 107, 105392. [CrossRef]
- Praveen C.; Christopher J.; Ganesan V.; Prasad Reddy G.V.; Choudhary B.K. Dislocation density based modeling of three-stage work hardening behaviour of type 316LN SS with varying nitrogen content and its finite element implementation for different notch radii. Materials Chemistry and Physics 2020, 241, 122342. [CrossRef]
- Li X.Q.; Zhao J.J.; Xu J.C.; Liu X. Mechanical Properties and Defective Effects of 316LN Stainless Steel by First-Principles Simulations. Journal of Materials Science & Technology 2011, 27(11), 1029-1033. [CrossRef]
- Sidharth R.; Nikhil R.; Krishnan S.A.; Keralavarma S.M.; Moitra A.; Vasudevan M. Crack initiation and growth in 316LN stainless steel: Experiments and XFEM simulations. Engineering Fracture Mechanics 2022, 274, 108770. [CrossRef]
- Xiong L.; You Z.S.; Lu L. Fracture behavior of an austenitic stainless steel with nanoscale deformation twins. Scripta Materialia 2017, 127, 173-177. [CrossRef]
- Sakurai T.; Umezawa O. Fracture toughness and martensitic transformation in type 316LN austenitic stainless steel extra-thick plates at 4.2 K. Materials Science and Engineering A 2023, 862, 144122. [CrossRef]
- Xin J.; Fang C.; Huang C.; Yang W.; Dai W.; Zhang H.; Wei J.; Li L.; Wu J.; Song Y. Analysis of the has been used . Fusion Engineering and Design 2019, 148, 111277.
- Ganesh Kumar J.; Prasad Reddy G.V.; George A.; Saikumaran A.; Mythili R.; Anil Kumar P.; Das Gupta A.; Vasudevan M. Evaluation of tensile properties of thermally aged 316LN stainless steel with varying nitrogen content using ABI technique. Materials Science and Engineering A 2021, 806, 140819. [CrossRef]
- Ragavendran M.; Ganesh Kumar J.; Vasudevan M. Evaluation of tensile properties using uniaxial and ball indentation testing and correlation with microstructure variations across the 316LN stainless steel weld joints. Materials Science and Engineering A 2022, 832, 142445. [CrossRef]
- Astafurova, E.; Fortuna, A.; Melnikov, E.; Astafurov, S. The Effect of Strain Rate on Hydrogen-Assisted Deformation Behavior and Microstructure in AISI 316L Austenitic Stainless Steel. Materials 2023, 16, 2983. [CrossRef]
- Khaleghifar, F.; Razeghi, K.; Heidarzadeh, A.; Taherzadeh Mousavian, R. Effect of Hydrogen on the Tensile Behavior of Austenitic Stainless Steels 316L Produced by Laser-Powder Bed Fusion. Metals 2021, 11, 586. [CrossRef]
- Guo N.; Hou Z.; Wang W.; Zhang X.; Yang D.; Min J.; Ming P.; Zhang C. Flow stress modeling of ultra-thin austenitic stainless steel for proton exchange membrane fuel cell incorporating strain rate, temperature, and grain size. Journal of Materials Processing Technology 2023, 319, 118099. [CrossRef]
- Straffelini G. Plastic deformation: Influence of strain rate and temperature (for T<0.4–0.5Tm), Editor(s): Straffelini G., Ductility and Formability of Metals, Academic Press, 2023, pp. 71-109.
- Puchi-Cabrera E.S.; Guérin J.D.; Dubar M.; Dubar L., Dubois A. A novel approach for modeling the flow stress curves of austenite under transient deformation conditions. Materials Science and Engineering A 2016, 673, 660-670. [CrossRef]
- Johnson G.R.; Cook W.H. Fracture characteristics of three metals subjected to various strains strain rates, temperatures and pressures. Engineering Fracture Mechanics 1985, 21, 31–48. [CrossRef]
- Zhu H.; Zhang C.; Chen S.; Wu J. A modified Johnson-Cook constitutive model for structural steel after cooling from high temperature. Construction and Building Materials 2022, 340, 127746. [CrossRef]
- Wang Y.; Zhang C.; Yang Y.; Wang Y.; Zhao G.; Chen L. The identification of improved Johnson-Cook constitutive model in a wide range of temperature and its application in predicting FLCs of Al-Mg-Li sheet. Journal of Materials Research and Technology 2020, 9(3), 3782-3795. [CrossRef]
- Zou Z.; He L.; Zhou T.; Zhang W.; Tian P.; Zhou X. Research on inverse identification of Johnson-Cook constitutive parameters for turning 304 stainless steel based on coupling simulation. Journal of Materials Research and Technology 2023, 23, 2244-2262. [CrossRef]
- Pandey S.K.; Samal M.K. Study of effect of loading rate on mechanical properties of SS316LN and evaluation of parameters of Johnson-Cook model using parametric FE analysis and experimental data. Procedia Structural Integrity 2024, 60, 665-677. [CrossRef]
- Aberbache H.; Mathieu A.; Bolot R.; Bleurvacq L.; Corolleur A.; Laurent F. Experimental analysis and numerical simulation of Laser welding of thin austenitic stainless-steel sheets using two models: Bilinear isotropic strain hardening model and Johnson–Cook model. Journal of Advanced Joining Processes 2024, 9, 100198. [CrossRef]
- Philip A.M.; Chakraborty K. The Johnson Cook model for the machinability study. Materials Today: Proceedings 2023, 80 (1), 357-362. [CrossRef]
- Kuliiev R.; Keller S.; Kashaev N. Identification of Johnson-Cook material model parameters for laser shock peening process simulation for AA2024, Ti–6Al–4V and Inconel 718. Journal of Materials Research and Technology 2024, 28, 1975-1989. [CrossRef]
- Karkalos N.E.; Markopoulos A.P. Determination of Johnson-Cook material model parameters by an optimization approach using the fireworks algorithm. Procedia Manufacturing 2018, 22, 107-113. [CrossRef]
- Ramberg W., Osgood, W.R. Description of stress-strain curves by three parameters. Technical Note No. 902, National advisory committee for aeronautics, Washington DC, 1943.

















| Element | C | Cr | Ni | Mo | N | Mn | Si | P | S | Ti | Nb | Cu | Co | B |
|---|---|---|---|---|---|---|---|---|---|---|---|---|---|---|
| Wt. % | 0.02-0.03 | 17-18 | 12-12.5 | 2.3-2.7 | 0.06-0.08 | 1.6-2.0 | 0.5 | 0.03 | 0.01 | 0.05 | 0.05 | 1.0 | 0.25 | 0.002 |
| Johnson-Cook Parameter ‘m’ | Area_Test (kN-mm) | Area_FEA (kN-mm) | Error = Absolute Difference (kN-mm) |
| 1 | 9.27 | 8.8 | 0.47 |
| 1.1 | “ | 9.15 | 0.12 |
| 1.2 | “ | 9.45 | 0.18 |
| 1.3 | “ | 9.71 | 0.44 |
| 1.4 | “ | 9.94 | 0.67 |
| Value of Parameter D5 | Area_Experiment (kN-mm) | Area_FEA (kN-mm) | Error = Absolute Difference (kN-mm) |
|---|---|---|---|
| -0.6 | 11.14 | 12.71 | 1.58 |
| -1.1 | “ | 12.48 | 1.35 |
| -1.6 | “ | 11.82 | 0.69 |
| -2.1 | “ | 10.07 | 1.06 |
| -2.6 | “ | 8.23 | 2.91 |
| Johnson-Cook Plasticity PARAMETERS | |
|---|---|
| Parameter | Value |
| A | 200 MPa |
| B | 1160 MPa |
| n | 0.59 |
| C (ref. strain rate=1.0e-3) | 0.03 |
| m (Tref=25oC) | 1.18 |
| Johnson-Cook damage Parameters | |
| d1 | 0.225 |
| d2 | 1.138 |
| d3 | 2.592 |
| d5 (Tref=25oC) | -1.7 |
Disclaimer/Publisher’s Note: The statements, opinions and data contained in all publications are solely those of the individual author(s) and contributor(s) and not of MDPI and/or the editor(s). MDPI and/or the editor(s) disclaim responsibility for any injury to people or property resulting from any ideas, methods, instructions or products referred to in the content. |
© 2024 by the authors. Licensee MDPI, Basel, Switzerland. This article is an open access article distributed under the terms and conditions of the Creative Commons Attribution (CC BY) license (http://creativecommons.org/licenses/by/4.0/).