Submitted:
20 December 2024
Posted:
23 December 2024
You are already at the latest version
Abstract
Keywords:
1. Introduction
2. Model of Coupled Rulkov Neurons
3. Basins of Attraction
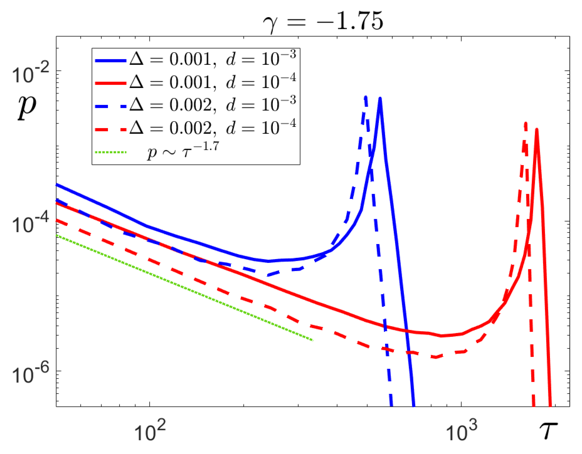
4. Synchronization and Intermittency
5. Conclusions
Author Contributions
Funding
Data Availability Statement
Conflicts of Interest
References
- Pikovsky, A.S.; Rosenblum, M.G.; Kurths, J. Synchronization: A Universal Concept in Nonlinear Sciences; Cambridge University Press: Cambridge, 2001. [Google Scholar]
- Boccaletti, S.; Pisarchik, A.N.; del Genio, C.I.; Amann, A. Synchronization: From Coupled Systems to Complex Networks; Cambridge University Press: Cambridge, 2018. [Google Scholar]
- Pecora, L.M.; Carroll, T.L. Synchronization in chaotic systems. Phys. Rev. Lett. 1990, 64, 821–824. [Google Scholar] [CrossRef]
- Rulkov, N.F.; Sushchik, M.M.; Tsimring, L.S.; Abarbanel, H.D.I. Generalized synchronization of chaos in directionally coupled chaotic systems. Phys. Rev. E 1995, 51, 980–994. [Google Scholar] [CrossRef] [PubMed]
- Pikovsky, A.S.; Rosenblum, M.G.; Osipov, G.V.; Kurths, J. Phase synchronization of chaotic oscillators by external driving. Physica D 1997, 104, 219–238. [Google Scholar] [CrossRef]
- Rosenblum, M.G.; Pikovsky, A.S.; Kurths, J. From phase to lag synchronization in coupled chaotic oscillators. Phys. Rev. Lett. 1997, 78, 4193. [Google Scholar] [CrossRef]
- Hramov, A.E.; Koronovskii, A.A. An approach to chaotic synchronization. Chaos 2004, 14, 603–610. [Google Scholar] [CrossRef] [PubMed]
- Pomeau, Y.; Mannevill, P. Intermittency and the Lorenz model. Phys. Lett. 1979, 75A, 1–2. [Google Scholar]
- Pomeau, Y.; Manneville, P. Intermittent transition to turbulence in dissipative dynamical systems. Commun. Math. Phys. 1980, 74, 189–197. [Google Scholar] [CrossRef]
- Fujisaka, H.; Kamifukumoto, H.; Inoue, M. Intermittency associated with the breakdown of the chaos symmetry. Prog. Theor. Phys. 1982, 69, 333–337. [Google Scholar] [CrossRef]
- Pisarchik, A.N.; Hramov, A.E. Multistability in Physical and Living Systems: Characterization and Applications; Springer: Cham, 2022. [Google Scholar]
- Bashkirtseva, I.A.; Pisarchik, A.N.; Ryashko, L.B. Coexisting attractors and multistate noise-induced intermittency in a cycle ring of Rulkov neurons. Mathematics 2023, 11, 597. [Google Scholar] [CrossRef]
- Heagy, J.F.; Platt, N.; .; Hammel, S.M. Characterization of on-off intermittency. Phys. Rev. E 1994, 49, 1140–1150.
- Ott, E.; Sommerer, J.C. Blowout bifurcations: the occurrence of riddled basins and on-off intermittency. Phys. Lett. A 1994, 188, 39–47. [Google Scholar] [CrossRef]
- Boccaletti, S.; Allaria, E.; Meucci, R.; Arecchi, F.T. Experimental characterization of the transition to phase synchronization of chaotic CO2 laser systems. Phys. Rev. Lett. 2002, 89, 194101. [Google Scholar] [CrossRef] [PubMed]
- Pisarchik, A.N.; Jaimes-Reategui, R. Intermittent lag synchronization in a nonautonomous system of coupled oscillators. Phys. Lett. A 2005, 338, 141–149. [Google Scholar] [CrossRef]
- Campos-Mejía, A.; Pisarchik, A.N.; Arroyo-Almanza, D.A. Noise-induced on–off intermittency in mutually coupled semiconductor lasers. Chaos Solitons Fractals 2013, 54, 96–100. [Google Scholar] [CrossRef]
- Manneville, P.; Pomeau, Y. Different ways to turbulence in dissipative dynamical systems. Physica D 1980, 1, 219–226. [Google Scholar] [CrossRef]
- Berge, P.; Pomeau, Y.; Vidal, C. Order Within Chaos; Wiley: New York, 1984. [Google Scholar]
- Pikovsky, A.S.; Osipov, G.V.; Rosenblum, M.G.; Zaks, M.; Kurths, J. Attractor-repeller collision and eyelet intermittency at the transition to phase S synchronization. Phys. Rev. Lett. 1997, 79, 47–50. [Google Scholar] [CrossRef]
- Pikovsky, A.S.; Zaks, M.; Rosenblum, M.G.; Osipov, G.V.; .; Kurths, J. Phase synchronization of chaotic oscillations in terms of periodic orbits. Chaos 1997, 7, 680–687.
- Hramov, A.E.; Koronovskii, A.A.; Kurovskaya, M.K.; Boccaletti, S. Ring intermittency in coupled chaotic oscillators at the boundary of phase synchronization. Phys. Rev. Lett. 2006, 97, 114101. [Google Scholar] [CrossRef] [PubMed]
- Hramov, A.E.; Koronovskii, A.A.; Kurovskaya, M.K. Two types of phase synchronization destruction. Phys. Rev. E 2007, 75, 036205. [Google Scholar] [CrossRef] [PubMed]
- Platt, N.; Spiegel, E.A.; Tresser, C. On-off intermittency: A mechanism for bursting. Phys. Rev. Lett. 1993, 70, 279–282. [Google Scholar] [CrossRef]
- Koronovskii, A.A.; Moskalenko, O.I.; Pivovarov, A.A.; Khanadeev, V.A.; Hramov, A.E.; Pisarchik, A.N. Jump intermittency as a second type of transition to and from generalized synchronization. Phys. Rev. E 2020, 102, 012205. [Google Scholar] [CrossRef]
- Rulkov, N.F. Regularization of synchronized chaotic bursts. Phys. Rev. Lett. 2001, 86, 183–186. [Google Scholar] [CrossRef]
- Bashkirtseva, I.A.; Pisarchik, A.N.; Ryashko, L.B. Multistability and stochastic dynamics of Rulkov neurons coupled via a chemical synapse. Commun Nonlinear Sci Numer Simul 2023, 125, 107383. [Google Scholar] [CrossRef]
- Lai, Y.C.; Tél, T. Transient Chaos: Complex Dynamics on Finite Time Scales; Springer, 2011.











Disclaimer/Publisher’s Note: The statements, opinions and data contained in all publications are solely those of the individual author(s) and contributor(s) and not of MDPI and/or the editor(s). MDPI and/or the editor(s) disclaim responsibility for any injury to people or property resulting from any ideas, methods, instructions or products referred to in the content. |
© 2024 by the authors. Licensee MDPI, Basel, Switzerland. This article is an open access article distributed under the terms and conditions of the Creative Commons Attribution (CC BY) license (http://creativecommons.org/licenses/by/4.0/).