5.2. Mononuclear Complexes
The to-date structurally characterized mononuclear (monometallic) complexes of dpkoxH or/and dpkox
- (1–17) are listed in
Table 1. The molecular structures of some of them are presented in Figures 16–25 and described in refs. [
24,
25,
26,
27,
28,
29,
30,
31,
32,
33,
34,
35,
36], while docking representations of complex 11 and diflH are shown in Figure 18.
Lattice solvent molecules have not been incorporated in the formulas of the compounds.
We first give some general remarks about the mononuclear compounds: (i) Most complexes contain the neutral ligand (dpkoxH); exceptions are the Au(III) complex [Au
IIICl(dpkox)
2] (17) and complex [Cu
IICl(dpkox)(dpkoxH)] (6), the latter containing both the neutral and deprotonated ligands. (ii) Many complexes are neutral; complexes 5, 12, 13, 15 and 16 are cationic with +1 charge. (iii) With the exception of 12–16 which are organometallic-coordination hybrids, the rest are purely coordination complexes. (iv) In the majority of complexes, the dpkoxH molecules or dpkox
- anions adopt the 1.0110 coordination mode using one 2-pyridyl N and the oxime or oximate N atoms as donor sites; in complexes 7–9, 13, 14 and 16, the donor sites are the pyridyl nitrogens; and (v) the Ni(II) [
1,
2,
3,
4,
5] and two Zn(II) [
10,
11] complexes contain monoanionic non-steroidal anti-inflammatory carboxylate drugs (mef
-, tolf
-, difl
-, mclf
-, fluf
-, mcpa
-, 2,3-D
-, 3,4-D
- and 2,4,5-T
-; for their structural formulas, see
Figure 15), which give remarkable biological properties to these compounds (
vide infra). We now discuss some important synthetic, structural and biological features of the mononuclear complexes.
Complexes
1–5 [
24,
25,
26,
27,
28] and
9–10 are easily prepared in moderate to good yields by the reaction of a metal “salt” (usually chloride), dpkoxH, the neutral ancillary NSAID ligand and a base in an 1:2:2:2 molar ratio; the commonly used solvent was MeOH. As a typical example, the preparation of
2 is given in Equation (2).
Complexes
1–4,
9 and
10 [
24,
25,
26,
27,
32,
33] (
Figure 16 and
Figure 17) are neutral. The octahedral coordination sphere of the metal ion consists of two carboxylato O atoms from two monodentate deprotonated NSAIDs and two 1.0110 dpkoxH ligands (
Figure 14). The O atoms and the pyridyl N atoms are in
cis position and the oxime nitrogens in
trans; thus, each O atom is trans to a pyridyl N atom. Complex
5 is cationic because one of NSAID ligands is neutral (diclH;
Figure 16); the positive charge is counterbalanced by a non-coordinated difl
- anion. The molecular structure of this complex [
28] is similar to that of
1–4,
9 and
10, with the carboxylate/carboxylic (via the O atom of the double carbon-oxygen bond) O atoms and the pyridyl N atoms in
cis positions, and the oxime nitrogens in
trans. In most molecular structures, there are intramolecular H bonds with the oxime O and the secondary amine N atoms of the NSAID as donors, and the carboxylato (“free” and coordinated) O atoms as acceptors.
The presence of NSAIDs in
1–5,
10 and
11 provides the complexes with remarkable biological properties, including albumin binding, interactions with calf-thymus DNA, and antioxidant and anticholinergic activities. In most cases the complexes are more active than the free NSAIDs, suggesting their potential application as metallodrugs. In silica studies have also been performed. For example, docking calculations for calf-thymus DNA have indicated that
11 has a high affinity, in accordance with the large experimentally calculated DNA-binding constant (K
b = 5.85x10
5 M
-1) [
33]. The differences in binding position for
11 and free diflH are presented in
Figure 18 and it is clear that the two compounds interact with different bases. The complex interacts with H bonds and π-π stacking interactions; in contrast diflH interacts only with H bonds. For the complex, this justifies the interaction mode revealed from experiments (in vitro UV-Vis spectroscopy and viscosity measurement, and indirectly with fluorescence emission) that could be either intercalation (π-π interactions in-between bases) or groove-binding via H-bonding [
33].
Compound
6 [
29] was prepared by the reaction shown in Equation (3) with a yield of ca. 70%. Its molecular structure (
Figure 19) is unique because it seems to contain simultaneously the neutral (dpkoxH) and deprotonated (dpkox
-) ligands, both coordinated with the 1.0110 mode; a chlorido ligand completes the coordination number five at Cu
II. A notable feature is the presence of a strong intramolecular H bond between the two oxime/oximate O atoms (O∙∙∙O = 2.442 Å, O∙∙∙H∙∙∙O = 169.1 °). The H atom is located at practically the middle of the O atoms distance, preventing a clear assignment of the exact position of this atom and consequently a precise attribution of the negative charge on one of the two ligands. This strong H bond rationalizes the high thermodynamic stability of the complex. Alternatively, the (dpkox∙∙∙H∙∙∙dpkox)
- system can be considered as one tetradentate N
4-chelating ligand (
Figure 20). The metal coordination geometry is well described as distorted square pyramidal with the chlorido ligand occupying the apical position.
Complexes
7–9 were prepared by the 1:1 reactions between the corresponding zinc halides and dpkoxH in alcohols in yields >60%. Use of excess of dpkoxH gives again the 1:1 complexes, and not the anticipated [ZnX
2(dpkoxH)
2] (X = Cl, Br) ones. The Zn
II atom is in a distorted tetrahedral arrangement (
Figure 21) with one 1.0101 dpkoxH ligand and two terminal halido groups. The smallest coordination angles are those involving the two 2-pyridyl N atoms (~92 °) and the largest ones those involving the two X
- ligands (~115 °). The six-membered chelating rings are not planar. The complexes described in refs. [
30] and [
31a, b] are polymorphs.
As already mentioned, compounds
12–16 are organometallic hybrids and were prepared by the reactions shown in Equations (4)-(7). The yields were in the range 65–82%.
The synthetic chemistry of the [(Cp*)
2Ir
III2Cl
4] (
S)/dpkoxH reaction system in dry MeOH is interesting. The reaction gives a mixture of two products, as evidenced by
1H NMR spectroscopy [
34]. The products could not be prepared separately in pure form, and so they were isolated manually. Single-crystal X-ray crystallography revealed that the major coordination isomer was
15 in which the dpkoxH molecule is coordinated to Ir
III through one of the 2-pyridyl N atoms and the oxime nitrogen (1.0110;
Figure 14), whereas in the case of the minor isomer
16 the coordination is through the two 2-pyridyl nitrogens (1.0101;
Figure 14).
The molecular structures of the cations of
12,
15 and
16 are illustrated in
Figure 22 and
Figure 24, respectively. Complex
13 (not shown) is structurally similar to
16, and it is the only product from the reaction. The molecular structure of
14 is presented in
Figure 23.
The structures of
12,
13,
15 and
16 [
34] display a characteristic three legged “piano stool” arrangement around the central metal center; the coordination sites are occupied by two N atoms from the chelating dpkoxH (1.0110 in
12 and
15; 1.0101 in
13 and
16), one chlorido group and the Ph/Cp* ring in a η
6 (
12)/η
5 (
13,
15,
16) manner. In the distorted octahedral complex
14, the three carbonyl groups are in
fac positions and are orthogonal with an average C-Re
I-C angle of 88.5 °. The distortion from the ideal octahedral geometry in this complex arises from the constraints associated with the binding of the 1.0101 dpkoxH ligand, the N(pyridyl)-Re
I-N(oxime) bite angle being ca. 80 ° [
35].
Complex
17 was prepared in H
2O at room temperature (yield not reported), Equation (8). The Au
III center has a coordination number of five with four N atoms from two 1.0110 dpkoxH molecules; the four donor atoms are nearly coplanar. Five-coordinated gold(III) complexes are rather rare. A chlorido group occupies the apical position in the square pyramidal geometry (
Figure 25) [
36].
5.3. Dinuclear Complexes
The to-date structurally characterized dinuclear (dimetallic) complexes of dpkoxH and dpkox
- (
18–28) are listed in
Table 2. The molecular structures of the complexes are presented in Figures 26–35 and fully described in refs. [
29], [
31a], and [
37,
38,
39,
40,
41,
42,
43,
44,
45,
46]. All the dinuclear complexes contain divalent or monovalent metals. The bridging ligands vary from neutral dpkoxH (
19,
25,
27) to dpkox
- (
18,
20,
21,
24,
26) demonstrating the flexibility of di-2-pyridyl ketoxime in both neutral and deprotonated forms; in two cases the metal ions are bridged by bromido (
23) and thiocyanido (
28) groups.
The isolation of
18 was rather surprising. Reaction of [Cr
III,III,III3O(piv)
6(H
2O)](piv) (
U), where piv
- is the Me
3CCO
2- ligand (
Figure 15), with three equivalents of dpkoxH in MeCN under
aerobic and refluxing conditions for 12 h gave a dark brown solution from which brownish red crystals were isolated in low yield (~25%) upon layering the reaction solution with Et
2O. Thus, an unusual reduction of chromium(III) to chromium(II)
in air had taken place [
37,
38]. After many “try and see” synthetic exercises, we came to the conclusion that the reducing agent is an amount of the dpkoxH ligand itself and thus the repeatedly low yields justify our belief; unidentified oxidation product(s) remain in solution. Metal ion-assisted oxidations of oximes have been reported [
13,
14], but reduction reactions of Cr(III) starting materials with ligands acting as reductants –and simultaneously appearing in the Cr(II) products-are extremely rare. Complex
18 can also be prepared by the reaction of [Cr
0(CO)
6] (
V) with an excess of dpkoxH under refluxing
aerobic conditions in MeCN/H
2O in satisfactorily yields, higher than 50%, based on the total available chromium [
38], Equation (9).
Crystals of
18 can be kept for days in the mother liquor. When isolated and exposed to air, they are oxidized to a green-brown powder containing Cr(III) as revealed by EPR spectroscopy; the room-temperature spectrum of the green-brown powder displays an isotropic signal, whose intensity increases with storage time, with
g ≈ 2.1 at X-band frequency, characteristic of a Cr(III) content in the sample. The molecular structure of
18 is shown in
Figure 26. The Cr
II atoms are doubly bridged by two 2.1110 dpkox
- ligands. A chelating 1.0110 dpkox
- group completes a five-coordinate geometry at each metal center. The coordination polyhedron about each Cr
II atom is described as distorted trigonal bipyramid, with the axial sites occupied by an oximato nitrogen of a chelating dpkox
- group and an oximato nitrogen of a bridging dpkox
- ligand. The Cr∙∙∙Cr' distance is long (~3.48 Å) and this precludes any thoughts of the existence of Cr
II-Cr
II bond. The 3d
4 Cr
II atoms are high-spin as deduced from the Cr
II-O (~2.13 Å) and Cr
II-N (1.96–2.05 Å) bond lengths and a room-temperature magnetic susceptibility measurement performed almost immediately (~3 min) after the isolation of
18 from the mother liquor. The 1.0110 ligands are in
syn arrangement. Each dimer is stabilized by an intramolecular π-π stacking interaction between the terminal 1.0110 ligands, the interaction involving the coordinated 2-pyridyl rings. This interaction seems to be the driving force for the isolation of the
syn terminal dpkox
- groups, and not of the isomer with the
anti arrangement (or a mixture of the two isomers). The uncoordinated N and O atoms are acceptors of H bonds with the lattice H
2O molecules (that exist in the crystal structure) as donors.
Complex
19 was not prepared using a trifluoroacetate-containing Mn(II) starting material. Treatment of Mn(hfac)
2∙3H
2O (
W) with one equivalent of dpkoxH in CH
2Cl
2 led to
19 in 70% yield [
39]. The CF
3CO
2- ligand arises from the transformation of hfac
-, Equation (10). β-diketonates often undergo the retro-Claisen condensation reactions to give a ketone and a carboxylate under strongly basic conditions; in the present case, dpkoxH could function as the base to assist the decomposition. In the dinuclear complex (
Figure 27), the two Mn
II centers are bridged by two 2.0111 dpkoxH ligands. Each metal ion is further coordinated by a chelating (1.11) hfac
- ligand, and a terminal (1.10) CF
3CO
2- group, completing a distorted octahedral geometry at each Mn
II. The chromophores are
fac-{Mn
IIO
3N
3}. The long Mn∙∙∙Mn distance (5.603 Å) reflects the polyatomic nature of the bridges.
The Cu(II)/dpkoxH reaction system is extremely fertile (
Table 2 and
vide infra). Complex
20 was prepared [
40,
41] through the reaction represented by Equation (11). Its molecular structure is shown in
Figure 28. The complex is isostructural with
18 (
Figure 26).
The 1:2 reaction between Cu
II(ClO
4)
2∙6H
2O and dpkoxH in alcohols at room temperature,
in the absence of an external base, gave a green solution from which were subsequently isolated dark green crystals of the cationic complex
21 in typical yields of 35–40%, Equation (12) [
42]. This complex seems to be an intermediate of the reaction that leads to the neutral dimer
20 [
40,
41]. In accordance with this,
21 reacts with two equivalents of LiOH∙H
2O in MeOH/DMF to give
20 in yields ~50%, Equation 13. Complex
21 can also be isolated by stoichiometric acidification of
20 with aqueous HClO
4 1 N in MeOH, but in yields lower than 25%, Equation (14). In the centrosymmetric cation (
Figure 28), the two Cu
II centers are doubly bridged by the
syn, anti oximato groups of the two dpkox
- ligands. A chelating (1.0110) neutral dpkoxH molecule completes five-coordination at each metal ion. The geometry about copper(II) is distorted square pyramidal, the apical position being occupied by an oximato O atom.
Although
20 and
21 have the chemically similar {Cu
II,II2(μ-ON)
2}
2+ core, the topology of the oximato bridges and the coordination geometry of the metal ions are different. This difference has a dramatic influence on the magnetic properties of the complexes due to the different type of interactions between the Cu
II 3d orbitals and the p orbitals of the oximato bridge. The metal ions in
20 are strongly antiferromagnetically coupled, and the compound is almost diamagnetic at room temperature! In contrast, the Cu
II∙∙∙Cu
II exchange interaction in
21 is ferromagnetic with an S = 1 ground state [
42].
Change of the perchlorate anions of the copper(II) “salt” with chlorides and bromides has a remarkable impact on the chemical and structural identity of the products. The dinuclear complex
22 (
Figure 29) was prepared by the reaction shown in Equation (15). The low pH (~2) has as a result the protonation of one 2-pyridyl N atom of each dpkoxH (thus becoming a pyridinium ring), and therefore a cation dpkoxH
2+ is formed which is coordinated in a chelating fashion through the “free” 2-pyridyl N and the oxime N atoms (1.011 in
Figure 14). The Cu
II centers are doubly bridged by two centrosymmetrically bonded chlorido ligands, while a weakly coordinated H
2O molecule completes a Jahn-Teller distorted octahedral geometry at Cu
II (the coordination bonds of the Jahn-Teller positions are drawn with dashed lines in
Figure 29).
An analogous reaction with that described in Equation (15), but using CuBr
2 instead of CuCl
2∙2H
2O, gave a crystalline product which could be characterized. The CuBr
2/dpkoxH/HBr reaction system gave complex [Cu
II,II2Br
2(dpkoxH
2)
2][Cu
IIBr
4] (
23) [31α]; the solvent and the yield were not reported. The reaction is represented by Equation (16). The complex is cationic, and the positive charge is counterbalanced by a distorted tetrahedral [Cu
IIBr
4]
2- anion. In the cation, the two Cu
II atoms are doubly bridged by two asymmetrically bonded bromido groups (thus resembling the bridging unit of
22). A terminal bromido group and a 1.011 dpkoxH
2+ cationic ligand complete five-coordination at each metal ion (
Figure 30). The aqua ligands of
22 are missing in
23, presumably due to steric effects. Variable-temperature magnetic susceptibility data and X-band powder EPR spectra suggest a negligible Cu
II∙∙∙Cu
II exchange interaction in
23 (like in
22).
Incorporation of the chelating ligand hfac
- in and omission of HCl from the Cu
IICl
2∙2H
2O/dpkoxH reaction system kept the nuclearity of the product to two, but changed the bridging unit. The 1:1:2 reaction between CuCl
2∙2H
2O, dpkoxH and Na(hfac) in CH
2Cl
2 gave a slurry, which was filtered to remove the insoluble NaCl. Upon addition of Et
2O/n-hexane into the dark green solution gave
24 in good yield (~60%), Equation (17). This complex can also be prepared by the treatment of
6 (
Table 1) with one equivalent of Na(hfac), Equation (18). The Cu
II atoms in the centrosymmetric complex
24 (
Figure 31) are doubly bridged by the diatomic oximato groups of 2.1110 dpkox
- ligands; the bridging CuNOCu' unit is not planar. A bidentate chelating (1.11) hfac
- ligand completes five-coordination at Cu/Cu'. The geometry about each metal ion is almost perfect square pyramidal, with the apical position occupied by a hfac
- O atom. The Cu
II∙∙∙Cu
II distance is 3.77 Å [
29]. The crystal structure is stabilized by intermolecular Van der Waals F∙∙∙F contacts (2.92 Å) which link neighboring dinuclear molecules into 1D double chains; these interactions create channels in which lattice CH
2Cl
2 molecules reside. Variable-temperature magnetic data are indicative of a very strong intramolecular antiferromagnetic exchange interaction with a resulting S = 0 ground state, which is well isolated from the S = 1 excited state. This magnetic feature seems to be typical for Cu(II) complexes with double oximato bridges, which usually exhibit nearly complete spin coupling even at 20 °C.
The copper/chloride/di-2-pyridyl ketoxime chemistry is not only confined to Cu(II). The 1:2:excess CuCl
2∙2H
2O/dpkoxH/NaCl reaction system in EtOH/H
2O, in the presence of L(+) ascorbic acid (a reducing agent), under gentle heating gave complex [Cu
I,I2Cl
2(dpkoxH)
2] (
25) in low yield (ca. 20%). The molecular structure of the centrosymmetric diamagnetic complex is shown in
Figure 32. The two Cu
I atoms are doubly bridged by two 2.0111 dpkoxH ligands. One terminal chlorido group completes a distorted tetrahedral geometry at each metal ion. The Cu
I∙∙∙Cu
I separation is 4.83 Å.
From the 2
nd- and 3
rd-row transition metals, only Ru, Ag and Hg have been reported to form dinuclear complexes with dpkoxH and dpkox
-. Complex
26 [
45] was isolated as the major reaction product (in a mixture with
43,
vide infra) using [Ru
03(CO)
12] (
X) as starting material, Equation (19). The
13C{
1H} NMR spectrum of the complex shows only two signals attributed to terminal carbonyl ligands. The molecule contains two 2.1110 dpkox
- ligands spanning the same edge of the dimetallic core in a head-to-tail arrangement (
Figure 33). The Ru1-Ru2 distance is 2.620 Å as expected for a single metal-metal bond, in accordance with the 34-electron count of the molecule.
Complex
27 was prepared by the 1:1 reaction of AgNO
3 and dpkoxH in warm water (~60 °C) at neutral pH. The two Ag
I atoms in the centrosymmetric complex are bridged by two 2.0111 dpkoxH molecules, with two monodentate nitrato groups completing a distorted tetrahedral coordination geometry about the metal centers (
Figure 34).
The reaction of Hg(SCN)
2 with an excess of dpkoxH (1:2) in Me
2CO gave complex
28 in typical yields of 30–35% [
46]. The Hg
II centers in the centrosymmetric complex are bridged by a pair of
syn, syn-2.11 SCN
- groups. The Hg
II atoms are each chelated by an 1.0110 dpkoxH ligand and a terminal S-bonded thiocyanido ion (
Figure 35). The metal coordination geometry is intermediate between square pyramidal and trigonal bipyramidal. The crystal lattice of the complex is built through H bonds and S∙∙∙S contacts. The dinuclear molecules are connected through intermolecular H bonds with the oxime O atom as donor and the N atom of the uncoordinated 2-pyridyl ring as acceptor; these H bonds create a 2D lattice. The 2D sheets are further linked through intermolecular S∙∙∙S interactions (S∙∙∙S = 3.83 Å) generating a 3D architecture.
5.4. Trinuclear Complexes
The to-date structurally characterized homotrinuclear and heterotrinuclear metal complexes of dpkoxH and dpkox
-, 29–45 and 46–56, are listed in
Table 3 and
Table 4, respectively. The molecular structures of some complexes are presented in
Figure 36, Figures 38–45, 47 and 48, while physical/spectroscopic data for few of them are shown in Figures 37 and 49–53.
The Cr(III) complexes
29 and
30 were prepared by the reactions shown in Equations (20) and (21), respectively [
38]; yields were 34% (
29) and 72% (
30). Complex
29 could also be isolated using
30 as starting material, Equation (22). The synthesis of
30 can be achieved
only by solvothermal techniques, which sometimes favor the formation of metastable compounds that are difficult or even impossible to be obtained by convenient coordination chemistry techniques, i.e. solution chemistry under atmospheric pressures and at temperatures limited to the boiling points of the solvents. The presence of the coordinated chlorido group in
30 is intriguing and can be attributed to the decomposition of the CH
2Cl
2 solvent used, Equation (23). This transformation is favored by a combination of the presence of Cr
III and the high-pressure/high-temperature conditions during the solvothermal reactions [
38].
The core of the cation [Cr
III,III,III3O(piv)
4(H
2O)(dpkox)
2]
+ in complex
29 consists of a near-equilateral Cr
III,III,III3 triangle capped by a central μ
3-oxido (μ
3-O
2-) group. The μ
3-O
2- ion is ~0.20 Å above the plane of the three metal ions and occupies the common vertex of the coordination octahedra around them. Each of the Cr1∙∙∙Cr3 and Cr2∙∙∙Cr3 edges (
Figure 36) is further bridged by one
syn, syn-2.11 piv
- ligand and one oximato group of a 2.1110 dpkox
- ligand, while the Cr1∙∙∙Cr2 edge is further bridged by two
syn, syn-piv
- groups. A terminal aquo ligand completes a distorted octahedral geometry around Cr3. There are two crystallographically independent clusters in the asymmetric unit with almost identical structural characteristics. The resulting cationic units of
29 are counterbalanced by NO
3- anions, strongly H-bonded to the coordinated aquo group. The molecular structure of
30 is very similar to that of the cation of
29, the only difference being the presence of a chlorido group in the former instead of the aquo group in the latter [
38]. Thus,
30 consists of neutral molecules (
Figure 36).
Variable-temperature magnetic susceptibility data (
Figure 37, left), and EPR data at 295 and 20 K (
Figure 37, right) of solid
30 reveal an antiferromagnetically-coupled system with an
S = 3/2 ground state.
Manganese forms two families of linear trinuclear mixed-valence clusters. A common feature of the compounds is that the central metal is Mn
IV and the terminal ones are Mn
II. Complexes
31–33 were prepared from the reactions represented by Equations (24) and (25), where X = SCN, OCN [
47,
48]. The yields were not reported.
The molecular structures of
31 and
33 are shown in
Figure 38; the structure of
32 is similar. In the centrosymmetric molecules, the central Mn
IV atom is triply bridged to each Mn
II by a 2.2 methoxido group and the diatomic oximato groups of two 2.1110 dpkox
- ligands; the O atoms of the latter are bonded to Mn
IV. Two 2-pyridyl and two oximato N atoms (from two dpkox
-) and a terminal chlorido (
31), isothiocyanido (
32) and isocyanato (
33) groups complete a distorted trigonal prismatic coordination geometry around each Mn
II, the distortion depending on the bound inorganic anion [
47,
48]. The Mn
IV∙∙∙Mn
II magnetic exchange interactions are rather weakly ferromagnetic, and the spin ground state is
S = 13/2 for the three compounds. XANES spectroscopy for
31 and
32 was used to clearly prove that the valence isomer {Mn
IIMn
IVMn
II} is present in the complexes and not the most commonly observed {Mn
IIIMn
IIMn
III} one [
48].
Complexes
34–36 were prepared from the reactions represented by Equations (26) and (27), where LH
2 = edH
2 (ethanediol), pdH
2 (propanediol) and perH
4 = pentaerythritol (for the structural formulae of their anionic forms, see
Figure 15). The yields were in the range 55–65% [
49].
The molecular structures of
34 and
36 are shown in
Figure 39; the structure of
35 is similar, the only difference being the presence of the ancillary pd
2- ligand. Complexes
34–36 are structurally similar to
31 (
Figure 38), but non-centrosymmetric. The linking between the central Mn
IV atom to each terminal, trigonal prismatic Mn
II atom occurs through a deprotonated alkoxido O atom of the 3.22 ed
2- and pd
2- ligands (
34,
35) or through a deprotonated O atom of the 3.2200 perH
22- groups. Like
31–33, complexes
34–36 are ferromagnetically-coupled with an
S = 13/2 ground state [
49].
Iron forms an interesting, mixed-valence trinuclear complex based on dpkox
-, Equation (28). The reported yield is low (~10%) [
50].
The molecular structure of the centrosymmetric cation that is present in
37 is shown in
Figure 40. The central metal ion (Fe1) is bridged to each terminal ion (Fe2, Fe2’) through the oximato groups of three 2.1110 dpkox
- ligands in such a way that the six oximato O atoms are bonded to the central metal (Fe1). Three 2-pyridyl N atoms complete an octahedral N
6 environment at each terminal Fe ion; the central Fe ion has a distorted trigonal prismatic geometry. Bond distances and magnetic data indicate that the terminal metals are low-spin Fe
II (and hence diamagnetic) and the central metal is high-spin Fe
III (
S = 5/2) [
50]; many Fe(II) complexes with {Fe
IIN
6} chromophores are low-spin [iron(II) is a 3d
6 system].
Nickel(II) forms two mixed-ligand trinuclear complexes which contain dpkoxH (
38) or dpkox
- (
39) as one type of ligands. Compound
38 was prepared in high yield (~70%) by the reaction represented in Equation (29); shi is the trianion of salicylhydroxamic acid (
K in
Figure 12) and py is pyridine.
The molecule (
Figure 41) is triangular. The crystallographically equivalent ions Ni2/Ni2’ have a square planar geometry and each is bonded to a 1.0110 dpkoxH ligand, while Ni1 is octahedral. The two py groups are coordinated to the octahedral Ni
II center. The linking between the three metal centers is achieved through two 2.1
11
11
21
2 shi
3- ligands (
Figure 42).
In a project aiming in the study of anion coordination by metallomacrocycles, the group of Escuer prepared the trinuclear complex [Ni
3(N
3)
4(Medpt)
2(dpkox)
2] (
39) in good yield from the reaction described in Equation (30), where Medpt is N-methyldipropylenetriamine (
Figure 15) [
52,
53].
The molecule (
Figure 43) is triangular. The “central” Ni2 ion is bridged to each of Ni1 and Ni3 through one end-on (2.200) azido ligand and one diatomic oximato group from a 2.1110 dpkox
- ligand, in such a way that Ni2 has a {Ni
II(N
azido)
2(N
oximato)
2(N
2-pyridyl)
2} coordination sphere. A tridentate chelating,
mer-coordinated Medpt ligand and a terminal (1.100) azido group complete an octahedral {Ni
IION
5} coordination environment at each of Ni1 and Ni3 [
52,
53]. The Ni2∙∙∙Ni1 and Ni2∙∙∙Ni3 exchange interactions are ferromagnetic, promoted by the double oximato/end-on azido bridging units.
Copper(II) forms a small family of hydroxido-bridged triangular complexes with interesting magnetic properties [
54,
55]; their preparation is represented by Equations (31) and (32), where X = Cl, Br. The ancillary ligands are carboxylates and tert-butylphosphonate(-1); the structural formula of the latter is illustrated in
Figure 15. The yields were in the range 60–70%.
The molecular structure of
40 (
Figure 44, left) consists of a near-equilateral copper(II) triangle capped by the oxygen atom of the 3.3 hydroxido (μ
3-OH
-) ion. Each edge is bridged by the oximato group of a 2.1110 dpkox
- ligand. An edge of the triangle (Cu2∙∙∙Cu3 in
Figure 44) is additionally bridged by a 2.11 benzoato ligand, while a monodentate (1.10) PhCO
2- completes five-coordination at Cu1. The μ
3-OH
- oxygen atom is ~0.6 Å above the plane defined by the three metal ions, which have a distorted square pyramidal geometry; the apical positions are occupied by the three coordinated carboxylato O atoms [
54]. The molecular structure of the acetato analogue of
40, [Cu
II,II,II3(OH)(O
2CMe)
2(dpkox)
3] (
40a; this complex has not been incorporated in
Table 3), has a complete similar molecular structure but a different supramolecular motif; the latter can be rationalized in terms of centrosymmetric pairs of trinuclear molecules held together by weak Cu
II∙∙∙N
unbound 2-pyridyl interactions at distances of ~2.8 Å. These interactions generate dimers of trimers, no longer connected to each other.
The molecular structures of
41 and
42 (
Figure 44, right) are almost identical [
55]. They are similar to the structures of
40 and
40a, the only differences being the replacement of the bidentate bridging carboxylato group of the PhCO
2-/MeCO
2- ligands in
40 and
40a by a bridging 2.2 halido group in
41 and
42, and the presence of a monodentate
tBuPO
3H
- (1.100) ligand in
41 and
42 instead of the monodentate PhCO
2-/MeCO
2- ligand that is present in the carboxylato complexes.
Compounds
40,
40a,
41 and
42 can be alternatively described as rare examples of inverse 9-metallacrown-3 complexes [
3]. Using metallacrown nomenclature, the formulas of the complexes are {(OH)[inv9-MC
Cu(II)N(dpkox)-3](O
2CR)
2} (R = Ph, Me) and {(OH)[inv9-MC
Cu(II)N(dpkox)-3](X)(
tBuPO
3H)} (R = Cl, Br).
Variable-temperature magnetic susceptibility studies for the complexes and the powder X-band EPR spectrum of 40a reveal an antiferromagnetically-coupled system, also showing intramolecular antisymmetric exchange.
Interesting dpkox
- - based trinuclear complexes were obtained with the 2
nd- and 3
rd- row transition metals of the group 8 (
43–45) [
45]. The 1:2 reaction of [Ru
3(CO)
12] (
X) and dpkoxH in refluxing THF gave a mixture of
26 (major product,
Table 2) and
43. Assuming that the complex contains two Ru
I and one Ru
0 atoms, we can write Equation (33). The triangular monohydrido complex
44 was prepared by the reaction of [Os
3(CO)
10(MeCN)
2] (
AA) with dpkoxH in THF at room temperature (yield: 42%), Equation (34). Complex
44 can be used as starting material in the preparation of
45, Equation (35), which was isolated in low yield (~20%). Equations (34) and (35) were written assuming that two Os atoms have a formal oxidation +I and one has 0.
The structure of
43 (
Figure 45, left) consists of triangular molecules. In addition to eight terminal CO groups, the molecule contains two 2.1110 dpkox
- ligands which span the same edge of the trimetallic unit (Ru1∙∙∙Ru2), in a head-to-tail arrangement through both the oximato O and N atoms. Each dpkox
- ligand is also attached through a 2-pyridyl N atom to one of the metal atoms of the bridged edge, in such a manner that the complex has a non-crystallographic two-fold axis. This symmetry was also indicated by its
13C{
1H} NMR spectrum in d
6-acetone which shows only four carbonyl signals. The length of the bridged edge (Ru1∙∙∙Ru2 = 3.539 Å) indicates the absence of a metal-metal bond, as expected for a 50-electron trinuclear cluster. The Ru1∙∙∙Ru3 (2.814 Å) and Ru2∙∙∙Ru3 (2.817 Å) bond lengths are indicative of metal-metal bonding [
45].
The structure of
44 consists of a nearly equilateral triangle of Os centers in which two metal atoms (Os1 and Os2) are attached to a 2.1110 dpkox
- ligand (
Figure 3, right). A hydrido (H
-) ion spans the same Os-Os edge as the diatomic NO oximato fragment. The shell of the complex is completed by nine terminal CO groups, and this indicates that the species is a closed-shell 48-electron cluster [
45]. The molecular structure of
45 is similar to that of
43 [
45]. Complexes
43–45 display low activity as DNA cleavage agents, requiring high complex concentrations, long incubation times, and the use of UV light as a trigger.
The deprotonated di-2-pyridyl ketoxime has been successfully used for the synthesis of linear {M
IILn
III2} clusters (M = Ni, Pd, Cu; Ln = lanthanoid) [
56,
57,
58,
59,
60], some of which exhibit interesting magnetic properties. In the last 20 years or so, there has been an intense research activity in the chemistry of 3d/4f-metal coordination clusters. The reason is that such complexes display fascinating properties (magnetic, optical, catalytic, …) and often a combination of properties arising from the simultaneous presence of two completely different metal ions [
16]. The synthesis of 3d/4f-metal clusters is not an easy task. Simple reactions of the 3d- and 4f-metal starting materials often give pure 3d- or 4f-metal compounds depending on the donor atoms of the ligand. Based on the “hard and soft acids and bases” (HSAB) model, an often used strategy is the “metal complexes as ligands” or “metalloligand” approach. In most cases the metalloligands are mononuclear divalent 3d-metal ion complexes (the 3d-metal ion is an “intermediate” or even “soft” acid) with uncoordinated (free) O-sites, which can easily further react with the oxophilic (“hard” acids) Ln
III ions providing access to mixed 3d/4f-metal species. Simple 2-pyridyl oximes (
Figure 3, left) are ideal platforms for the synthesis of such complexes [
16]. When deprotonated, these anionic ligands possess the 2-pyridyl N atom in a position that offers the possibility of formation of a stable five-membered chelating ring, also involving the oximato N atom, with the divalent 3d metal. Thus, the resulting complexes are efficient metalloligands, which can further react with the 4f-metal ion through their deprotonated oximato O atoms. The presence of an extra 2-pyridyl ring in dpkox
- could, in principle, enable the formation of a second chelating ring (6-membered this time) with the Ln
III ion involving the oximato O atom and the second 2-pyridyl N atom. Based on the HSAB model, the expected coordination mode of dpkox
- is the 2.1
21
11
11
2 one illustrated in
Figure 14, where the subscript 1 refers to M
II and the subscript 2 to Ln
III. Of course, the possibility of bridging of the oximato O atom to a second Ln
III center (3.2
21
11
11
2 ligation mode) can not be ruled out.
Ishida and co-workers prepared {NiLn
2} and {MLn
2} clusters ((M = Pd
II, Cu
II) [
56,
57,
58,
59,
60], with a few of them exhibiting exciting magnetic properties. Since the complexes have similar molecular structures, we list some (but not all) in
Table 4. For their preparation, the metalloligands
BB,
CC and
DD, shown in
Figure 46, were designed and prepared. The preparation of the clusters are represented by Equations (36)-(38); the yields were moderate to good. The ligand hfac
- is the ancillary hexafluoroacetylacetonato(-1) group, py is pyridine and phen is the bidentate chelating ligand 1,10-phenathroline.
The molecular structures of
47,
50,
54 and
56 are shown in
Figure 47 and
Figure 48. Complexes
46–50 have completely similar molecular structures [
56]. The precursor
BB has been incorporated in the center of the molecule; the only difference is that the coordination mode of dpkox
- has changed from 1.0110 in the former to 2.1
21
11
11
2 (
Figure 14) in the latter, where the subscript 2 refers to Ln
III and 1 to Ni
II. The molecules have a two-fold crystallographic axis which passes from the center of phen and Ni
II. Due to the molecular symmetry, the three metal ions are arranged in a V-type manner, but actually the Ln
III∙∙∙Ni
II∙∙∙Ln
III array is close to linear (~177 °). Three chelating hfac
- groups, one O and one N atoms from the same dpkox
- complete eight-coordination at each 4f-metal ion. Thus, the coordination spheres are {Ni
IIN
6} and {Ln
IIIO
7N}.
The molecular structures of
50–53 [
56,
57] are also similar. The molecules have a crystallographically imposed inversion center at Ni
II and thus the topology is strictly linear. Two py ligands are
trans in the {Ni
IIN
6} coordination sphere. The coordination mode of dpkox
- ligands is identical to that in
46–49 and the peripheral ligation around the Ln
III centers is the same, i.e. three chelating hfac
- groups.
The molecular structures of the {MLn
2} complexes (M = Cu
II, Pd
II) [
58,
59,
60] are similar to those of
50–53, the only difference being the absence of the two py molecules from the central, square planar transition metal ions.
Some of the complexes listed in
Table 4 (and few similar that are not listed) exhibit interesting magnetic properties. Selected features are illustrated in
Figure 49,
Figure 50,
Figure 51,
Figure 52 and
Figure 53. Among others: (a) Complexes
47 and
51 exhibit a temperature- and frequency-dependence of the out-of-phase molar magnetic alternating current (ac) susceptibility, obtained at a 5 G (ac) field and zero direct current (dc) field (
Figure 49), suggesting that they are SMMs [
56]. (b) High-Frequency EPR (HF-EPR) studies made possible the determination of the Ni
II∙∙∙Ln
III exchange coupling in
50–53 and its chemical trend (
Figure 50). In contrast to the antiferromagnetic {NiDy
2} complex
52, ferromagnetic couplings were precisely determined for
50,
51 and
53 [
57]. (c) Magnetization studies at 0.4 K for
54 (
Figure 51) indicate that this complex is SMM [
58]; in addition, the diamagnetism of Pd
II was proven indispensable to clarify the contribution of the Ln
III∙∙∙Ln
III exchange coupling in the magnetism of the isomorphous complex
52. (d) Complex
55 is SMM (
Figure 52) [
59]; and (e) HF-EPR spectra (
Figure 53) and magnetization studies led to the conclusion that
56, and its isomorphous Tb(III) and Ho(III) analogues [
60] are characterized by ferromagnetic Cu
II∙∙∙Ln
III exchange interactions.
5.5. Tetranuclear Clusters
The largest family of dpkoxH/dpkox
--based clusters consists of tetranuclear compounds (
57–83,
Table 5). All these clusters contain the deprotonated di-2-pyridyl ketoxime, which –in most cases- favors high nuclearity.
The interesting mixed-valence cluster
57 [
61] was obtained by the reaction shown in Equation (39) in good yield (~60%); 3,4 D
- is the 3,4-dichlorophenoxyacetate(-1) anion.
The central core of the cluster is {Mn
4(μ
4-O)}
8+ in which the octahedral Mn ions form a distorted tetrahedron centered on the oxido group [
61]. The four oximato (=NO
-) groups of three 2.1
11
21
20 and one 2.1
21
11
10 dpkox
- ligands link the Mn
IV atom (Mn1) with the Mn
II atoms; the latter are connected by three 2.110 and one 2.100 3,4-D
- groups. In the Harris notation that is used to describe the dpkox
- ligation modes, the subscript 1 refers to Mn
IV and 2 to Mn
II. The coordination spheres are thus {Mn
IV(O
oximato)3O
oxidoN
oximatoN
2-pyridyl}, {Mn
II(O
carboxylato)3O
oxidoN
oximatoN
2-pyridyl} (for Mn2 and Mn4) and {Mn
II(O
carboxylato)2O
oximatoO
oxidoN
oximatoN
2-pyridyl} (for Mn3). Magnetically, there are both ferromagnetic and antiferromagnatic exchange interactions within the molecule propagated through Mn
IV∙∙∙Mn
II and Mn
II∙∙∙Mn
II pathways, respectively. Magnetization data at 2.5 and 4.5 K in the field range 0–6.5 T support an
S = 6 ground state for the complex with
g = 2.0 and a small zero-field splitting
D = 0.025 cm
-1 [
61].
Complexes
58 [
62] and
59 [
63] have molecular structures similar to the structure of
57 [
61]. The only difference is the nature of the carboxylato ligands; these are the 2,4,5-trichlorophenoxyacetate(-1) [
Figure 15] in
58 and 2,3-dichlorophenoxyacetate(-1) [
Figure 15] in
59. The magnetic properties of the latter clearly indicate an
S = 6 ground state (like
57) [
63]. Spectroscopic titration studies with calf thymus DNA suggest binding of
58 to the DNA helix, with binding constant K
b equals to 1.1x10
-4 M
-1 [
62]. Competitive binding studies with ethidium bromide (EthBr) showed that the interaction between DNA and
58 releases EthBr from its DNA compound, indicating that the Mn(II,II,II,IV) compound binds to DNA via intercalation mode. Additionally, DNA electrophoretic mobility experiments reveal that the complex, at low concentration, is obviously capable of binding to pDNA causing its cleavage at physiological pH and room temperature.
The simultaneous incorporation of dpkox
-, X
- and RCO
2- ligands in manganese complexes give mixed-valence tetranuclear clusters (
60–62) in variable yields with interesting structures [
39,
64], where R = Me, Ph, X
- = Cl
-, Br
- and (py)
2C(O)
22- is the dianion of the
gem-diol form of di-2-pyridyl ketone, (py)
2CO, see
Figure 15. The (py)
2C(O)
22- ligand is the product of the metal ion-assisted/promoted transformation of an amount of dpkoxH, Equations (40)-(42). For a better understanding of the simplified balanced Equations (40) and (43)-(48), dpkoxH is abbreviated as (py)
2CNOH, where py stands for the 2-pyridyl group and

is the oxime group. Note that the
gem-diol form, (py)
2C(OH)
2, and its anions (py)
2C(OH)(O)
- and (py)
2C(O)
22-, do not exist free but only attached to metal ions, i.e. as ligands.
Complexes
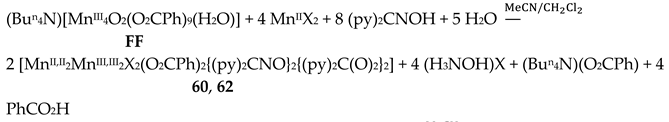
60–62 were prepared by several methods outlined in Equations (43)-(49).
The 1:1 reaction between Mn
II(O
2CMe)
2∙4H
2O and (py)
2CNOH (dpkoxH) in MeCN resulted in an orange solution which upon standing undisturbed turned dark brown (due to oxidation of Mn
II under aerobic conditions); slow evaporation of the solution at room temperature gave dark brown crystals of [Mn
II,II2Mn
III,III2(NO
3)
2{(py)
2CNO}
2{(py)
2C(O)
2}
2] (
63) in good yield (~70%). Single-crystal X-ray structural solution surprisingly revealed the presence of nitrato groups in the complex, although there were no nitrates in the reactants. We proposed a detailed mechanism for the generation of NO
3-s [
39] which is based on the oxidation of H
2NOH, produced from the metal ion-assisted hydrolysis of (py)
2CNOH to (py)
2C(O)
22-, to form nitrates. A simplified reaction for this experimental observation is shown in Equation (49). The characterization of
63 proves the non-critical role of Cl
- or Br
- in the (py)
2CNOH → (py)
2C(O)
22- transformation. We proposed [
39] that the reason why no NO
3- ligands were not coordinated in
60–62 is the presence of Cl
- or Br
- ions which are ligated to Mn
II ions, blocking the available sites for nitrato coordination.
The molecular structures of
60–63 [
39,
64] are similar (
Figure 55) and differ only in the nature of the carboxylato ligand (MeCO
2-, PhCO
2-) and the terminal inorganic anion (Cl
-, Br
-, NO
3-). The bridging system comprises two 3.2
22
1,21
21
1 (
Figure 56) (py)
2C(O)
22- (the subscript 2 refers to Mn
III and 1 to Mn
II), two 2.1110 (py)
2CNO
-(dpkox
-) ligands (a more clear description is 2.1
21
11
10) and two 2.1
11
2 PhCO
2- groups. Peripheral ligation is completed by two terminal halido (
60–62) or two bidentate nitrato groups (
63). The brief description of the core is {Mn
4(μ
2-OR')
4}
6+, where the four bridging atoms belong to two (py)
2C(O)
22—ligands. As might be expected, in
60–62 the Mn
III atoms are bound to the hard (HSAB) O
5N donor set, while the Mn
II atoms to the less hard O
2N
3X (X = Cl, Br) set; the metal geometries are octahedral. As a result of the bidentate character of the terminal nitrato groups, the Mn
II atoms in
63 are seven-coordinate with a distorted pentagonal bipyramidal {Mn
IIO
4N
3} coordination sphere.
Variable-temperature magnetic susceptibility studies in the 2–300 K range for the representative complexes
60 and
61 reveal weak antiferromagnetic exchange Mn
II∙∙∙Mn
III and Mn
III∙∙∙Mn
III interactions, leading to non-magnetic
S = 0 ground states [
39,
64].
The use of dpkoxH in iron(III) acetate chemistry provided access to two tetranuclear clusters (
64,
65) which have two different lattice solvent sets (2CH
2Cl
2∙H
2O in
64 and 4.5MeNO
2 in
65), Equations (50) and (51); the yields were 60 and 45% for
64 and
65, respectively [
65]. The presence of N
3- ions in the reaction mixtures afforded complex
66 in typical yields in the range 60–70%. This complex can be alternatively synthesized by the reaction of
64 with N
3-; for the synthetic processes, see Equations (52)-(54).
The structures of the tetranuclear molecules that are present in the crystal structures of
64 and
65 are almost identical, and very similar with the structure of the molecule [Fe
III4O
2(N
3)
2(O
2CMe)
2(dpkox)
4] in
66 [
65]; thus a common description is given. The structures of
64 and
66 are shown in
Figure 57. The tetranuclear molecules contain the {Fe
III4(μ
3-O)
2}
8+ core comprising four Fe
III centers in a “butterfly” disposition and two triply bridging (μ
3) oxido (O
2-) ions. Ions Fe2 and Fe3 occupy the “body” sites, and Fe1 and Fe4 occupy the”wingtip” sites. The four Fe
III atoms are essentially coplanar and the two μ
3-O
2- ions are above and below the Fe
III4 plane (ca. 0.5 Å). This is also reflected in the sums of the Fe-O-Fe angles around the μ
3-O
2- ions which deviate from 360 ° (ca. 338 °) and are close to the ideal value of 328.4 ° expected for sp
3 hybridization. The two “body” Fe
III atoms are bridged by two μ
3-O
2- ions, while a single μ
3-O
2- also bridges a “wingtip” Fe
III atom. The four dpkox
- ligands adopt the 2.1110 coordination mode. Two of the dpkox
- ligands are coordinated to the “body” Fe2 through one 2-pyridyl and the oximato N atoms, and they use their oximato O atom to bridge one of the “wingtip” metal ions Fe1 and Fe4, and so Fe2 has a distorted octahedral O
2N
4 donor set. The other two dpkox
- ligands are coordinated through their 2-pyridyl and oximato N atoms to the “wingtip” Fe1 and Fe4 ions, whereas their oximato O atom is bonded to the “body” Fe3 ion. This “body” ion is also bridged to each of the “wingtip” Fe1 and Fe4 through a
syn, syn-2.11 MeCO
2- group. The octahedral coordination around each of the “wingtip” Fe
III atoms is completed by a terminal chlorido (
64,
65) or azido (
66) ion. In this manner, Fe3 has a {Fe
IIIO
6} coordination sphere, while Fe1 and Fe4 have an O
3N
2Cl (
64,
65) or O
3N
3 (
66) octahedral coordination.
The
57Fe-Mössbauer spectra of
64 and
66 have
δ and Δ
ΕQ parameters typical of high-spin Fe
III sites. Variable-temperature magnetic susceptibility studies on
64 revealed antiferromagnetic exchange interactions between the “body”-“body” and “wingtip”-“body” Fe
III ions resulting in an S = 1 ground state [
65].
The use of dpkoxH in cobalt acetate chemistry has provided access to structurally interesting mixed-valence tetranuclear Co(II)/Co(III) and purely Co(III) clusters [
66,
67]. Complexes
67–69 were prepared by the reactions outlined in Equations (55)-(57) in good yields (50–70%). MeC(=O)-O-O-H is the powerful oxidant agent peracetic acid.
The centrosymmetric tetranuclear cation of
67 (
Figure 58) has a rectangular arrangement of the four metal ions. The rectangle is defined by Co1∙∙∙Co2 [3.213(1) Å] and Co1∙∙∙Co2' [4.441(1) Å] sides and their symmetric equivalents [
66]. The Co1/Co1' centers are low-spin Co
III atoms and the Co2/Co2' ones are high-spin Co
II atoms. The cobalt centers are bridged along each short side of the rectangle by one hydroxido, one
syn, syn-2.11 MeCO
2- and one oximato groups, while bridging along each long side is achieved through one oximato group only. The dpkox
- ligands are of two types arranged along the short and long sides of the rectangle. Short-side dpkox
- ions function as 2.1110 ligands (a more clear description is 2.1
11
21
20 where the subscript 1 refers to Co
II and the subscript 2 to Co
III). Long-side dpkox
- ions adopt the 2.1111 (or better 2.1
11
21
21
1) coordination mode. A terminal MeOH molecule occupies the sixth coordination site at each Co
II center. All the metal ions have a distorted octahedral geometry. Compound
67 realizes an inverse 12-MC-4 motif and can accommodate two OH
- ions within the metallacrown ring (the regular motifs accommodate metal ions). Using the metallacrown nomenclature, the cation of
67 can be formulated as {(OH)
2[inv 12-MC
Co(II,III)(dpkox)-4](O
2CMe)
2} [
3,
22,
66]. The –[O-Co-O-N-Co-N]- repeat unit observed in this complex is perfectly acceptable for inverse metallacrown structures and can not sustain a regular metallacrown (with an encapsulated fifth metal ion), as the latter would require adjacent six- and four-membered chelating rings.
The cation of
68 has a molecular structure analogous to that of
67, but with MeO
- and EtOH ligands in place of OH
- and MeOH ligands, respectively [
66].
ESI-MS studies in MeCN suggest that the structures of the cations are retained in solution. Cyclic voltammetry experiments in the same solvent reveal a quasireversible Co
III→Co
II reduction process and a resistance to oxidation of Co
II. Because the paramagnetic Co
II atoms alternate with the diamagnetic Co
III atoms, solid-state dc magnetic susceptibility measurements in the 2–300 K range indicate that the Co
II∙∙∙Co
II exchange interaction is negligible, if any [
66].
Using the strong oxidizing agent peracetic acid (and contrary to the cyclic voltammetry studies of
67 and
68 mentioned above), the group of Masters were able to prepare the all-Co(III) version of
67 and
68, i.e. compound
69, Equation (57). Again, the sides of the centrosymmetric rectangle comprise two long and two short Co
III∙∙∙Co
III distances [
67]. Long-side Co
III ions are bridged by one oximato group of a 2.1111 dpkox
- ligand and short-side Co
III ions are bridged by one oximato group of a 2.1110 dpkox
-, one hydroxido and one
syn,
syn-2.11 MeCO
2- ligands. Two monodentate acetato groups are bonded to two metal ions (Co2 and Co2' in
Figure 59). The octahedral coordination spheres are {Co1/1'O
2N
4} and {Co2/Co2'O
5N}. Complex
69 is a rather poor chain transfer catalyst for the polymerization of methylacrylate, but it does not catalyze cyclohexane oxidation in the presence or absence of co-catalysts [
67].
The Ni(II)/dpkoxH chemistry is interesting [
53,
68,
69,
70,
71,
72]. Complex
70 is the only tetranuclear metal complex with dpkox
--ligation and no ancillary ligand, except the coordinated solvent molecules. The compex was prepared by the reaction shown in Equation (58) in 50% yield [
68].
The four octahedral Ni
II atoms in the centrosymmetric cation are held together by four 2.1110 and two 3.2111 dpkox
- ligands (
Figure 14). The whole structure can be characterized as having a “metallacrown chair” topology [
68]. The Ni2 and Ni2' atoms are bridged by two oximato O atoms from the two 3.2111 ligands forming a central {Ni
II2(μ
2-OR)
2}
2+ subcore. The two “wing” metal ions have a {Ni
IIN
6} coordination sphere, while for the “internal” Ni2/Ni2' atoms the donor set is NO
5 (with the participation of one MeOH ligand at each metal ion). The formation of the 12-membered metallacrown follows the pattern (Ni-N-O-Ni-O-N-Ni-N-O-Ni-O-N) and, in combination with the
syn,
anti-2.1110 dpkox
- ligands, allows the construction of the chair-like metallacrown motif. There are both ferromagnetic (Ni1∙∙∙Ni2/Ni1'∙∙∙Ni2' and Ni1∙∙∙Ni2'/Ni1'∙∙∙Ni2) and antiferromagnetic (Ni2∙∙∙Ni2') exchange interactions within the cation leading to an S = 0 ground state.
Our group studied the dpkox
-/MeCO
2-/SCN
- ligand “blend” in Ni(II) chemistry, which provided access to the cationic complex
71 in moderate yield [
69], Equation (59).
The core of the complex consists of a tetrahedron of octahedral Ni
II atoms linked together by four 3.2111 dpkox
- ligands and two
syn, syn-2.11 MeCO
2- groups [
69]; thus, a distorted “{Ni
4(NO)
4}
4+ “cube” is formed comprising single (O) and double (N-O) atom bridges. Peripheral ligation is provided by the eight 2-pyridyl N and the four acetato O atoms (
Figure 61). The magnetic behavior of
71 is consistent with dominant antiferromagnetic interactions and an
S = 0 ground state; the latter is corroborated by the appearance of a maximum in molar magnetic susceptibility at 18 K.
Treatment of NiSO
4∙6H
2O with one equivalent of dpkoxH and one equivalent of Et
3N in MeOH gave orange crystals of the neutral complex
72 in 57% yield [
70], Equation (60).
In the molecular structure of centrosymmetric
72 (
Figure 62), the Ni
II centers are held together by two 3.2111 and two 2.1110 dpkox
- ligands, as well as two 2.1100 SO
42- ions [
70]. Four MeOH molecules act as terminal ligands completing octahedral coordination at each metal ion. The chromophores are {Ni(1,1')(N
py)(N
ox)(O
ox)
2(O
sulf)(O
met)} and {Ni(2,2')(N
py)
2(N
ox)(O
ox)(O
sulf)(O
met)}, where the abbreviations py, ox, sulf and met are for the 2-pyridyl, oximato, sulfato and methanol groups, respectively. The molecule has a metallacrown topology [
3]. A
pseudo 12-MC-4 ring is formed, because the
true 12-MC-4 motif is “destroyed” by the bridging character of the two oximato O atoms that belong to the 3.2111 dpkox
- ligands (
Figure 63).
The use of the ancillary ligand ethanolamine (eaH,
Figure 15) in Ni(II)/dpkoxH chemistry led to the isolation of compound
73 in 68% yield [
71], Equation (61).
ESI-MS spectra (in the positive ion mode) for
73 demonstrate its respective molecular ion peaks due to the ionic [M-ClO
4-4H
2O]
+ ionic species. The structure of the cation of
73 [
71] is shown in
Figure 64. The presence of a crystallographically imposed inversion center within the cation implies the equivalence of all four octahedral Ni
II atoms which are related by a S
4 axis of symmetry. The donor set of each metal ion is O
3N
3. The dpkox
- ligands are coordinated in the 2.1110 manner, while eaH and ea
- adopt the ligation mode 2.21. Thus, two neighboring Ni
II atoms are connected by a pair of monoatomic O
alkoxido and diatomic (NO)
oximato bridges, generating an inverse 12-MC-4 topology. The four Ni
II centers form a perfect square with Ni∙∙∙Ni distances of 3.45 Å and Ni∙∙∙Ni∙∙∙Ni angles of 90 °. Two alkoxy/alkoxido O atoms are above and below the Ni
4 plane with O∙∙∙O axes orthogonal to each other, leading to a distorted tetrahedral arrangement for these O atoms inside the metallacrown cavity. The alkoxy (neutral) and alkoxido (deprotonated) O atoms can not be distinguished because they form two very strong symmetrical H bonds of the type -O∙∙∙H∙∙∙O- type both above and below the Ni
4 plane; the O∙∙∙O separations are very short (ca. 2.47 Å).
Antiferromagnetic exchange interactions within the cation (derived from an 1-
J model) result in an S = 0 ground state for
73 [
71].
The unique tetranuclear Ni(II) cluster
74 was prepared and characterized by Kessissoglou’s and Pecoraro’s groups [
72], Equation (62); shiH
2- is the dianion of salicylhydroxamic acid (shiH
3,
K;
Figure 12). The yield was 60%. The appearance of MeOH in both the reactants and the products may be confusing. The MeOH molecule in the reactants arbitrarily denotes its incorporation as ligand in the tetranuclear complex. The six free MeOH molecules in the products are assumed to be derived from the neutralization of the six MeO
- with six protons, two from dpkoxH and four from the shiH
3 ligands.
Complex
74 (
Figure 65) is a rare example of a vacant metallacrown with mixed-ligand composition and can be written as {[12-MC
Ni(II)(shiH)2(dpkox)2-4](SCN)
2(DMF)(MeOH)]}. The molecule shows the connectivity pattern [-O-Ni-O-N-Ni-N-]
2 (
Figure 66). This pattern differs from other Ni(II) metallacrowns that follow the common [-Ni-O-N-]
4 pattern. Whereas
74 shows the 6-5-6-5-6-5-6-5 arrangement of chelating rings, the other known Ni(II) metallacrowns (which are pentanuclear) exhibit the 6-6-5-5-6-6-5-5 or 6-6-5-5-6-5-6-5 patterns (
vide infra); the numbers indicate the sizes (5- or 6-membered) of the chelating rings.
The dpkox
- and shiH
2- ligands adopt the coordination mode 2.1111 (
Figure 14 and 66), the former using three nitrogens and one oxygen atoms, and the latter three oxygen and one nitrogen atoms. The octahedral geometry at Ni1 is completed with one isothiocyanato and one MeOH ligands, and at Ni3 with one isothiocyanato and one DMF ligands. The Ni2 and Ni4 centers have a square planar coordination geometry. It was expected that no interaction would occur between the paramagnetic octahedral Ni
II centers (Ni1 and Ni3 in
Figure 65), because there is not short through bond pathway to make feasible superexchange between them (Ni2 and Ni4 are diamagnetic). The variable-temperature magnetic susceptibility data demonstrated that
74 follows the Curie Law behavior, suggesting that there is no coupling between the paramagnetic centers [
72].
The simultaneous use of the ancillary ligands dpt (
Figure 15) and N
3- in Ni(II)/dpkoxH chemistry gave complex
75 [
53], Equation (63); the yield was not reported.
The molecular structure of
75 is shown in
Figure 67. The four metal ions are in a zigzag topology [
53]. The centrosymmetric molecule can be described as consisting of two dinuclear units. In each dinuclear unit, the two Ni
II atoms are doubly bridged by one μ
2-1,1 (or 2.200) azido ligand and one oximato group of a 2.1110 dpkox
- ligand. The interdimer connection is provided by two oximato ligands of the rest dpkox
- ligands. The octahedral {Ni
IION
5} coordination sphere of the terminal Ni
II atoms (Ni2/Ni2') is completed by one N
3-tridentate chelating (1.111) dpt molecule and one terminal (1.100) azido group. The octahedral coordination sphere at each central metal ion (Ni1/Ni1') is also {Ni
IION
5}, but the origin of the N atoms is different; the three N atoms of dpt and the nitrogen of the terminal azido group have been replaced by two oximato and two 2-pyridyl N atoms. The complex shows an overall antiferromagnetic response (S = 0) [
53].
Zinc(II) forms a family of 12-MC-4 metallacrowns with inverse topology (
vide infra), complexes
74–81 [
30,
73,
74]. At this point we would like to emphasize again the differences between the “regular” and “inverse” metallacrowns. In the latter, the metal ions, rather than anionic oxygen atoms, are oriented toward the central cavity. In the former, usually the coordination number and environment around the metal centers in the ring are uniform. In the inverse metallacrowns, the metal ions are site differentiated having different coordination numbers. Also the connectivity around the ring is different from that in regular 12-MC-4 compounds where the linkage is consistently N-O-M-N-O-M; in contrast, in the inverse compounds the linkage is transposed to N-O-M-O-N-M and the ligand is coordinated with only three heteroatoms leaving one of the 2-pyridyl N atoms unbound. Preparative routes for
74–81 are summarized in Equations (64)-(68), where R = Me, Ph, acac = 2,4-pentadionato(-1) ion and S = various solvents; the yields were higher than 50%.
The molecular structures of
76–81 are all similar (or better analogous); the only difference is the identity of the peripheral ligands (MeCO
2-, PhCO
2-, Cl
-, N
3-, NCO
-, acac
-). The structures of selected complexes are shown in
Figure 68; we describe in detail only the structure of
76, which was the first inverse metallacrown reported in the literature [
73]. The preparation of an inverse metallacrown was a direct consequence of the substitution of dpkox
- for the previously used salicylhydroxamate ligands (
Figure 12).
The tetranuclear molecule of
76 lies on a crystallographic inversion center and has a planar, nearly rhombic arrangement of the Zn
II atoms. The metal centers are bridged along each side of the rhombus by one μ
3-hydroxido group (3.3) and one diatomic oximato group from one 2.1110 dpkox
- ligand. The strict description of the core is thus {Zn
II4(μ
3-OH)
2}
6+. The coordination about the OH
- ligand is markedly pyramidal. Zn1 and Zn1' are in a distorted O
2N
4 octahedral environment, whereas Zn2 and Zn2' are in a severely distorted O
5 environment, the carboxylato groups being anisobidentate chelating, i.e. one O forms a weak bond to the metal ion. As expected for an inverse metallacrown, the connectivity is N-O-Zn-O-N-Zn-N-O-Zn-O-N-Zn. Using the metallacrown nomenclature, the representation of the complex is {(OH)
2[inv12-MC
Zn(II)N(dpkox)-4](O
2CMe)
2}. The dpkox
- ligands have a propeller configuration that imposes absolute stereoisomerism, with Λ chirality on Zn1 and A chirality on Zn1' [
73].
The molecular structures of
77–81 are similar to the structure of
76, except that the two anisobidentate chelating MeCO
2- ligands of
76 are replaced by two monodentate PhCO
2- ligands in
77 [
74], two terminal chlorido groups in
78 [
30], two monodentate azido groups in
79 [
74], two monodentate isocyanato (i.e., N-bonded) groups in
80 [
74] and two bidentate chelating acetylacetonato ligands in
81 [
74]. The coordination geometries of the non-octahedral Zn
II atoms are distorted tetrahedral (
77 and
78), tetrahedral (
79,
80) and distorted trigonal bipyramidal (
81), the latter because of the chelating acac
- ligand which creates a truly five-coordination at Zn2/Zn2' (
Figure 68).
Complex
82 [
75] is structurally similar to compounds
76–81, but its chemical identity differs. The two ancillary ligands in the latter have been replaced by two extra dpkox
- ligands in the former, but the hydroxido groups are retained. The complex was prepared by the reaction outlined in the balanced Equation (69).
The “{Zn
4(OH)
2(dpkox)
4}
2+” fragment of the structure of
82 is almost identical to the corresponding unit of
76–81, and especially to that of
81. The only difference is the replacement of the bidentate chelating acac
- groups of
81 by two chelating 1.0110 dpkox
- ligands in
82 [
75]. The distorted trigonal bipyramidal geometry at Zn(2)/Zn(2') is retained.
1H NMR studies suggest that the molecule is stable in CDCl
3.
Complex
83 is the only heterometallic tetranuclear compound based on dpkox
-. It is the mixed-metal/mixed-ligand metallacrown [Ni
2Mn
III2(O
2CMe)
2(shi)
2(dpkox)
2(DMF)
2], where shi
3- is the trianion of salicylhydroxamic acid (shiH
3,
K;
Figure 12). Using the metallacrown representation, the complex can be written as {(O
2CMe)
2[12-MC
Ni(II)Mn(III)N(shi)2(dpkox)2-4](DMF)
2} [
72]. Compound
83 was prepared by the reaction shown in Equation (70) in almost quantitative yield (ca. 95%).
The connectivity pattern of centrosymmetric
83 is illustrated in
Figure 70. The dpkox
- and shi
3- ligands adopt the coordination modes 3.2
11
11
21
2 (
Figure 14 and
Figure 70) and 2.1
11
11
21
2 (
Figure 70), respectively; the subscript 1 refers to Mn
III and the subscript 2 to Ni
II. The shi
3- provides one O, O and one N, O chelating parts, whereas dpkox
- offers one N, O and one N, N chelating parts. The bridging character of the O atom of dpkox
- (it bridges two Mn
III atoms) causes a “collapsed” metallacrown structure. Like
74, the molecule of
83 shows the 6-5-6-5-6-5-6-5 arrangement of chelating rings. Each acetato group bridges a Ni
IIMn
III pair through its O atoms (2.1
11
2), while a terminal DMF molecule completes octahedral coordination at Ni
II. Complex
83 is antiferromagnetically coupled.
5.6. Pentanuclear Complexes
Pentanuclear dpkox
--based clusters are known for Ni(II), Cu(II) and Zn(II) [
Table 6]. Our group has prepared complex 84 [
76], Equation (71).
The five Ni
II atoms in the cation of 84 are held together by four 3.2111 and one 2.1110 dpkox
- ligands. In addition, there are two
trans terminal H
2O ligands each on Ni1, Ni3 and Ni4, and a unique H
2O on Ni2 (
Figure 71). The cations Ni, Ni3, Ni4 and Ni5 create a highly distorted (flattened) tetrahedron (
Figure 72, left), with the fifth ion (Ni2) lying at the midpoint of the Ni3∙∙∙Ni4 edge (and not at the center of the tetrahedron). Each of the four 3.2111 dpkox
- groups spans an edge of the Ni
4 tetrahedron and is coordinated to Ni2 through its doubly bridging oximato O atom. As a consequence, the Ni
II∙∙∙Ni
II edges spanned by the μ
3-dpkox
- groups become shorter (~4.8 Å) than the two unspanned Ni1∙∙∙Ni5 (6.01 Å) and Ni3∙∙∙Ni4 (7.01 Å) ones. Due to the insertion of Ni2 between Ni3 and Ni4, the Ni3∙∙∙Ni4 edge is the longest. The five octahedral chromophores are all different, i.e. Ni1O
4N
2, Ni2O
6, Ni3O
3N
3, Ni4O
2N
4 and Ni5ON
5. The core of the cation is {Ni
II5(μ
3-ONR)
4(μ
2-ONR)}
5+, where RNO
- = dpkox
- (
Figure 72, right). A simple 2-
J model, based on the Hamiltonian of Equation (72), was found to be satisfactory to describe the variable-temperature dc magnetic susceptibility data (
J1 = -21.8 cm
-1,
J2 = -45.9 cm
-1 and
g = 2.24). Magnetization data collected at 2.0 K support an
S = 1 ground state [
76].
In addition to complex
71 [
69], another Ni(II) cluster (complex
85) with the binary dpkox
-/MeCO
2- ligand “blend” was also prepared by our group [
69] by changing the solvent and omitting SCN
- from the reaction mixture, Equation (73); the yield was 60%.
The molecular structure of
85 (
Figure 73) consists of five Ni
II centers in a closed, cage-like motif. The octahedral metal ions are held together by two 3.2111 and one 3.2110 dpkox
- ligands (
Figure 14). The seven acetato groups adopt four different coordination modes. Four of them are coordinated through the common 2.11 mode, and the remaining three in the 1.10, 2.20 and 2.21 modes. Two metal ions (Ni1 and Ni3) are further bridged by the O atom of the aquo ligand which is H-bonded to two uncoordinated acetato O atoms [
69].
The mixed-ligand complex
86 was prepared by the reaction shown in Equation (74); the yield was ca. 85% [
72].
The difference between
74 (
Figure 65 and
Figure 66) and
86 (
Figure 74) lies in the different encapsulated cations (H
+ for
74 and Ni
II for
86) and coordinated anions (NCS
- for
74 and MeCO
2- for
86). The two 3.2111 shi
3- and dpkox
- ligands are arranged in a
trans configuration constructing a 12-metallacrown-4 motif with an encapsulated Ni
II atom (Ni5). Unlike
74, the common [-Ni-N-O-]
4 repeating unit is observed for
86. Two
syn,
anti- 2.11 acetato groups bridge the encapsulated Ni
II atom to two ring metal ions and thus the overall complex is neutral [
72]. The dpkox
- ligands are not planar due to steric hindrance between the two 2-pyridyl rings. As in
74, two Ni
II atoms (Ni4, Ni2) have a square planar geometry, the other being octahedral; the central encapsulated metal ion has a {Ni
IIO
6} coordination sphere, with four oxygens coming from the metallacrown cavity (shi
3- and dpkox
- ligands) and two from the bridging MeCO
2- groups. The complex does not show the alternating scheme of five- and six-membered chelating rings that are observed for other metallacrowns (
vide supra). In
86, two five-membered chelating rings surround its square planar Ni
II atom, and two six-membered ones surround the ring metal ions. The exchange is weak antiferromagnetic, while in solution the complex is shown to be stable both to decomposition and to ligand exchange [
72].
As mentioned in part 5.3, the Cu(II)/dpkoxH reaction system is fertile. Change of the reaction conditions that led to the dinuclear complexes
20 and
21 (
Table 2) gave the pentanuclear complex
87, Equation (75); the yield was not reported [
41].
The structure and the core of the cation of cluster
87 are shown in
Figure 75 and
Figure 76, respectively. The structure of the pentanuclear cation can be described as consisting of one dimeric (Cu2Cu3) and one trimeric (Cu1Cu4Cu5) units bridged by dpkox
- ligands [
41]. The Cu
3 unit can be considered as a scalene triangle. The chromophores are {Cu1NNNOO} (square pyramidal, {Cu2NNNNN} (trigonal bipyramidal), {Cu3NNOOO} (trigonal bipyramidal), {Cu4NNNNO} (trigonal bipyramidal) and {Cu5NNOOO} (square pyramidal); all the coordination polyhedra are distorted. The dpkox
- ligands adopt four coordination modes! Three ligands are 2.1110 (one intradimer, one intratrimer and one interdimer/trimer), one is 3.1111 (interdimer/trimer), two are 3.2110 (one intratrimer and one interdimer/trimer) and a unique ligand behaves in a 4.2111 manner (interdimer/trimer); these coordination modes can be seen in
Figure 14. Thus, the dimeric and trimeric units are linked through one 2.1110, one 3.2110, one 3.1111 and one 4.2111 dpkox
- ligands. The core of the cation is {Cu
II5(μ
3-ΝO)
3(μ
2-NO)
4}
3+, with N representing the oximato nitrogen. Variable-temperature, solid-state dc magnetic susceptibility results are indicative of dominant antiferromagnetic exchange interactions within the cation. The lowest temperature χ
ΜΤ value (0.38 cm
3 K mol
-1) suggests an S = ½ ground state [
41]. UV/Vis experiments in DMF solutions have demonstrated an equilibrium between
87 and [Cu
II,II2(dpkox)
4] (
20) upon adding Cu
II(ClO
4)
2∙6H
2O in the reaction solution [
41].
Our group came initially across the Zn(II) pentanuclear clusters
88 and
89 when we tried to prepare the isothiocyanato analogues of
78–80 (
Table 5). This, at first glance trivial effort, led to remarkable nuclearity and structural changes. A mixture of
88 and
89 was obtained from a reaction mixture containing ZnCl
2, a half equivalent of NaSCN and one equivalent of Na(dpkox) in MeOH [
74]. The manual separation of colorless crystals of
88 from their mixture with the pale yellow crystals of
89 remains the only source of the former to date; the latter was obtained in pure form by the reactions shown in Equations (76) and (77) in yields of ca. 80 and 30%, respectively.
The structures of the cations of clusters
88 and
89 (
Figure 77; note that the numbering scheme of the Zn
II atoms is not the same) are similar [
74] in many aspects and, thus, only the structure of the former will be described in detail. The complexes are cationic and the positive charge is balanced by the tetrahedral anions [ZnCl(NCS)
3]
2- in
88 and [Zn(NCS)
4]
2- in
89. The five Zn
II atoms are held together by six dpkox
- ligands which adopt three different coordination modes (two are 2.1110, two 3.1111 and two 3.2111). The metal ions define two nearly equilateral triangles sharing a common apex at Zn1 (
Figure 77, left). The “central” ion (Zn1 in
88, Zn3 in
89) is in a distorted
cis-cis-trans O
2(N
2-pyridyl)
2(N
oximato)
2 octahedral environment. Zn2 and Zn3 possess very distorted trigonal bipyramidal coordination spheres consisting of O
2(N
2-pyridyl)
2(N
oximato) sets of donor atoms, while Zn4 and Zn5 are bound to a square pyramidal O(N
2-pyridyl)
2(N
oximato)Cl set. The metal topology can be described as consisting of two “collapsed” 9-metallacrown-3 motifs sharing a common apex at Zn1. In
89, the two terminal chlorido groups of
88 have been replaced by two terminal isothiocyanato ligands. A minor difference is also the fact that one five-coordinate metal ion in
88 has become six-coordinate in
89 through coordination of one terminal MeOH molecule (Zn5;
Figure 77, right).
5.7. Hexanuclear Clusters
Four hexanuclear dpkox
- - based clusters (90–93) with first-row transition metal ions have been reported (
Table 6). The use of dpkoxH in manganese benzoate chemistry provided access to a {Mn
II3Mn
III3} complex which has a rare oxidation-state combination [
77]. The reaction of Mn
II(ClO
4)
2∙6H
2O, PhCO
2H, (Bu
n4N)MnO
4 and (py)
2CNOH(dpkoxH) in a 4:5:1:5 molar ratio in CH
2Cl
2 gave [Mn
II3Mn
III3O
2(O
2CPh)
6(dpkox)
2{(py)
2C(OH)(O)}
2](ClO
4) (90) in 65% yield; (py)
2C(OH)(O) is the monoanion of the
gem-diol form of (py)
2CO, the latter being produced by the metal ion-assisted/promoted transformation of dpkoxH, Equations (40)-(42) and
Figure 15. A simplified reaction illustrating the changes in the oxidation states of Mn is shown in Equation (78) with the assumption that Mn
VIIO
42- is the exclusive oxidant, i.e. that atmospheric oxygen does not participate in the oxidation of Mn(II).
The cation of
90 (
Figure 78, left) contains three Mn
II (Mn2, Mn4, Mn6) and three Mn
III (Mn1, Mn3, Mn5) atoms, which are held together by six 2.11 PhCO
2-, two 2.1110 dpkox
- (the Mn
II atoms are coordinated to the 2-pyridyl and the oximato N atoms, while the O atom is bonded to an oxophilic Mn
III center), two 3.3011 (py)
2C(OH)(O)
- (one deprotonated triply bridging O atom is bonded to the three Mn
II atoms, and the other to two Mn
II and one Mn
III atoms) and two μ
4 (4.4) O
2- (each bonded to two Mn
II and two Mn
III atoms) ligands. The core is {Mn
II3Mn
III3(μ
3-O)
2(μ
3-OR)
2}
9+, where RO
- = (py)
2C(OH)(O)
-. It consists (
Figure 78, right) of a central {Mn
II3Mn
III(μ
3-O)
2(μ
3-OR)
2}
3+ cubane subcore, with the remaining two Mn
III atoms attached to the two vertices of the cube that are occupied by the O
2- groups, the latter becoming μ
4 as a result [
77]. The metal topology and the core of the complex remain novel to-date. The χ
ΜΤ vs. T curve indicates ferromagnetic coupling with an S = 15/2±1 ground state; the complex is SMM.
The hexanuclear complex
91 [
41], which can be roughly considered as a “dimer” of the trinuclear complex
41 (
Table 3) [
55], was prepared by the reaction shown in Equation (79); the yield was not reported.
The cation of 91 consists of two triangular {Cu
II3(OH)Cl(dpkox)
3}
+ isosceles units (
Figure 79). Each triangular unit is capped by the O atom of one 3.3 hydroxido group. Each edge is bridged by an oximato group. The oximato groups which bridge the Cu1∙∙∙Cu2 and Cu1∙∙∙Cu3 edges (and their symmetry equivalents) belong to two 2.1110 dpkox
- ligands; the oximato group which bridges the Cu2∙∙∙Cu3 edge (and its symmetry equivalent) belongs to a 3.1111 dpkox
- ligands. Thus, two 3.1111 dpkox
- ligands provide the intertrimer association. An edge of each triangle (Cu1∙∙∙Cu3 and its symmetry equivalent) is additionally bridged by a non-symmetric chlorido group. The distorted square pyramidal coordination spheres are {Cu(1,3)NNOOCl} and {Cu3NNNOO} [
41]. Each triangular unit shows the pattern of 9-MC-3 complexes accommodating a coordinated OH
- anion. The Cu
II∙∙∙Cu
II exchange interactions are antiferromagnetic.
A structurally interesting Cu(II) cluster containing two crystallographically distinct [18-MC
Cu(II)(N)dpkox-6] cations was prepared by Pecoraro’s and Kessissoglou’s groups [
41,
78], Equation (80); the yield was ca. 60%.
In both cations [Cu
II6(ClO
4)(dpkox)
6(MeCN)
6]
5+ (92a) and [Cu
II6(ClO
4)
3(dpkox)
6(MeCN)
4]
3+ (92b), six Cu
II atoms and six 2.1111 dpkox
- ligands create the 18-MC-6 ring [
41,
78]. The cation 92a is shown in
Figure 80. The six square pyramidal Cu
II atoms of both rings are in a chair configuration. For each cation, the juxtaposed five- and six- membered chelating rings form the basis of the 18-MC-6 core through the [-Cu
II-N-O-]
6- linkage. The cations create a cavity having a trigonal prism shape with trigonal bases created by 2-pyridyl C atoms. Each cavity contains an encapsulated,
non-coordinated ClO
4- ion (
Figure 81). The only difference between the two metallacrown cations is in the ligands bound to the Cu
II atoms on the outside of the ring. In 92a, there are six MeCN molecules, one at each Cu
II, whereas in 92b four Cu
II atoms have MeCN ligands and two possess monodentate perchlorato groups. Thus, from the six ClO
4- ions in 92b, one is encapsulated and two are coordinated and an alternative formulation of this cation could be [Cu
II6(ClO
4)(dpkox)
6(ClO
4)
2(MeCN)
4]
3+. Use of anions other than ClO
4- does not template the same 18-MC-6 motifs, but leads to complexes (such as 91) though all reaction conditions are kept constant. The Cu
II centers in 92 are strongly antiferromagnetically coupled resulting in an S = 0 ground state. When the complex is dissolved in DMF, the two cations (probably with DMF ligands instead of coordinated MeCN molecules) exist separately and are involved in several equilibria, e.g. the equilibrium representated by Equation (81).
The reaction of ZnCl
2 with dpkoxH and flufenamic acid (flufH; the structural formula of its anion is shown in
Figure 15) in a basic medium led to the isolation of the hexanuclear cluster
93, Equation (82) [
79].
Single-crystal X-ray crystallography revealed that complex
93 contains molecules consisting of six Zn
II atoms bridged by the
syn, syn-2.11 carboxylato groups of six flufenamato ligands, creating a 24-membered metallocoronate ring with a repeat –[Zn-O-C-O]- unit (
Figure 82) [
79]. Two 3.2110 and two 3.2111 dpkox
- ligands, and two μ
3 (3.3) hydroxido groups contribute to the bridging pattern, stabilizing the six octahedral Zn
II atoms in a distorted trigonal antiprismatic arrangement.