Submitted:
05 December 2024
Posted:
06 December 2024
You are already at the latest version
Abstract
Keywords:
1. Introduction
2. Methodology
3. Results
|
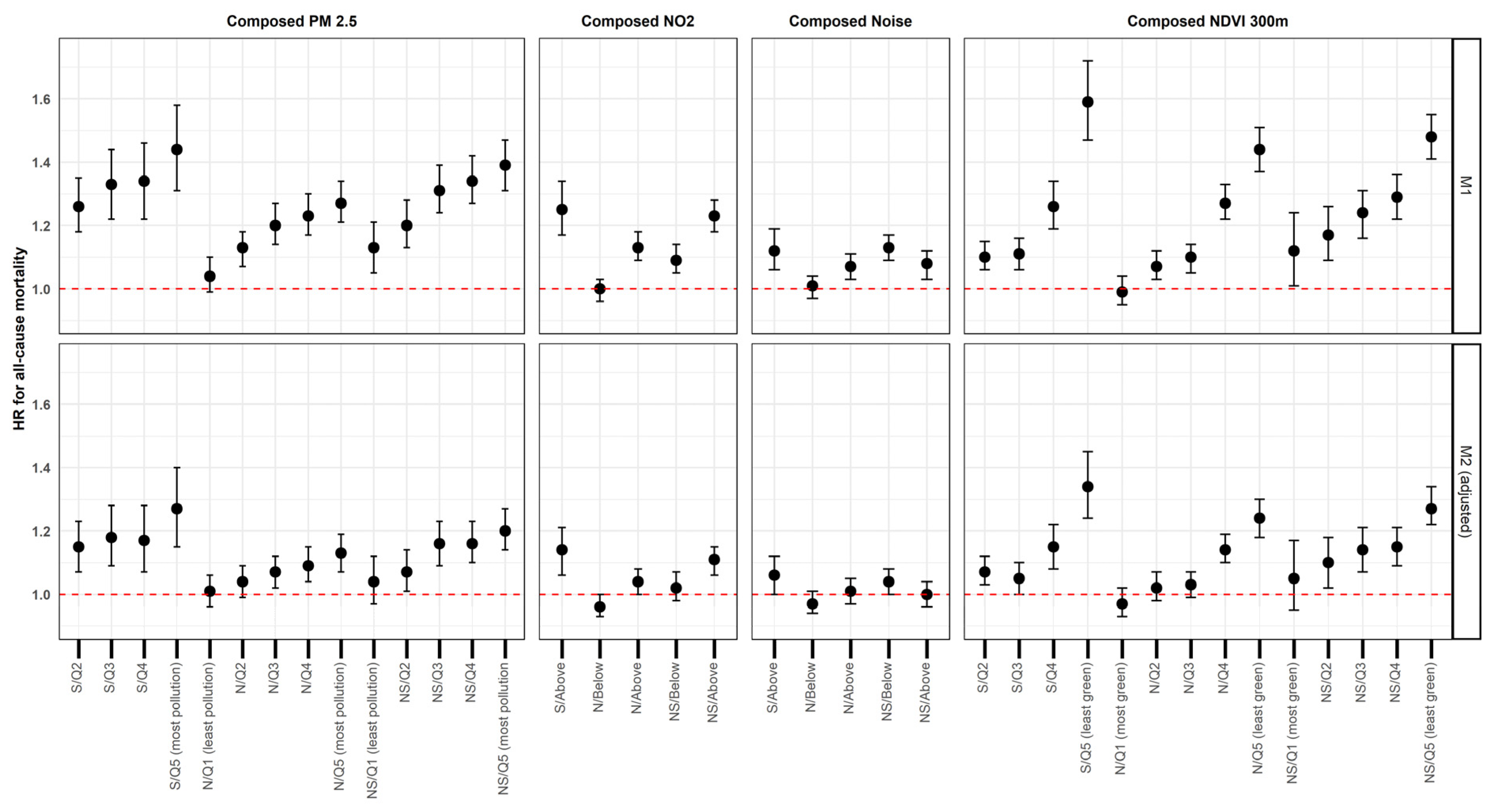
Abbreviations: Subjective perception: S = Satisfied, N = Neutral and NS = Not satisfied; Objective indicators categorized into quintiles: Q1 = the most “optimal” quintile (i.e., least pollution, most surrounding greenness), … and Q5 = the least “optimal” quintile (i.e., most pollution, least surrounding greenness); Objective indicators categorized based on WHO threshold: Above = value is higher than the threshold value, below = value is lower than the WHO threshold value. Reference group: For each indicator, the reference group is the most “optimal condition” (I.e., a satisfied perception combined with the least pollution or most green space) Source: Belgian 2001 census linked to the mortality register (follow-up 1st October 2001 – 31st December 2016) and environmental exposure data. |
4. Discussion
Strengths, Limitations and (Policy) Recommendations
Supplementary Materials
Contributor statement (following the CReDiT framework)
LRL
Funding
Ethical approval and consent to participate
Availability of data and materials
Acknowledgments
Competing Interests
References
- F. Laden, J. Schwartz, F. E. Speizer, and D. W. Dockery, “Reduction in fine particulate air pollution and mortality: Extended follow-up of the Harvard Six Cities Study,” Am. J. Respir. Crit. Care Med., vol. 173, no. 6, pp. 667–672, 2006. [CrossRef]
- W. J. Gauderman et al., “The Effect of Air Pollution on Lung Development from 10 to 18 Years of Age,” N. Engl. J. Med., 2004. [CrossRef]
- J. Wu, C. Ren, R. J. Delfino, J. Chung, M. Wilhelm, and B. Ritz, “Association between local traffic-generated air pollution and preeclampsia and preterm delivery in the South Coast Air Basin of california,” Environ. Health Perspect., vol. 117, no. 11, pp. 1773–1779, 2009. [CrossRef]
- W. Passchier-Vermeer and W. F. Passchier, “Noise exposure and public health,” Environ. Health Perspect., vol. 108, no. SUPPL. 1, pp. 123–131, 2000. [CrossRef]
- I. C. Eze et al., “Long-term exposure to transportation noise and air pollution in relation to incident diabetes in the SAPALDIA study,” Int. J. Epidemiol., vol. 46, no. 4, pp. 1115–1125, 2017. [CrossRef]
- W. Babisch, K. Wolf, M. Petz, J. Heinrich, J. Cyrys, and A. Peters, “Associations between traffic noise, particulate air pollution, hypertension, and isolated systolic hypertension in adults: The KORA study,” Environ. Health Perspect., vol. 122, no. 5, pp. 492–498, 2014. [CrossRef]
- C. Tonne et al., “Long-term traffic air and noise pollution in relation to mortality and hospital readmission among myocardial infarction survivors,” Int. J. Hyg. Environ. Health, vol. 219, no. 1, pp. 72–78, 2016. [CrossRef]
- D. E. Bowler, L. M. Buyung-Ali, T. M. Knight, and A. S. Pullin, “A systematic review of evidence for the added benefits to health of exposure to natural environments,” BMC Public Health, vol. 10, 2010. [CrossRef]
- M. Bauwelinck et al., “Residing in urban areas with higher green space is associated with lower mortality risk: A census-based cohort study with ten years of follow-up,” Environ. Int., vol. 148, p. 106365, 2021. [CrossRef]
- M. Gascon et al., “Residential green spaces and mortality: A systematic review,” Environ. Int., vol. 86, pp. 60–67, 2016. [CrossRef]
- G. Mao et al., “The salutary influence of forest bathing on elderly patients with chronic heart failure,” Int. J. Environ. Res. Public Health, 2017. [CrossRef]
- R. Berto, “The role of nature in coping with psycho-physiological stress: A literature review on restorativeness,” Behavioral Sciences. 2014. [CrossRef]
- K. Lachowycz and A. P. Jones, “Towards A Better Understanding Of The Relationship Between Greenspace And Health: Development Of A Theoretical Framework,” Landsc. Urban Plan., vol. 118, pp. 62–69, 2013. [CrossRef]
- W. Babisch et al., “Noise annoyance - A modifier of the association between noise level and cardiovascular health?,” Sci. Total Environ., vol. 452–453, pp. 50–57, 2013. [CrossRef]
- S. R. Lazarus and S. Folkman, Stress, Appraisal, and Coping, 1st ed. New York: Springer International Publishing, 1984.
- P. Lercher, “Environmental noise and health: An integrated research perspective,” Environ. Int., vol. 22, no. 1, pp. 117–129, 1996. [CrossRef]
- N. S. Ngo, S. Kokoyo, and J. Klopp, “Why participation matters for air quality studies: risk perceptions, understandings of air pollution and mobilization in a poor neighborhood in Nairobi, Kenya,” Public Health, vol. 142, no. August, pp. 177–185, 2017. [CrossRef]
- J. Weier and D. Herring, “Measuring Vegetation (NDVI & EVI) Normalized Difference Vegetation Index (NDVI),” NASA, Earth Observatory, 2000. .
- L. Rodriguez-Loureiro et al., “Social inequalities in the associations between urban green spaces, self-perceived health and mortality in Brussels: Results from a census-based cohort study,” Heal. Place, vol. 70, no. September 2020, p. 102603, 2021. [CrossRef]
- B. Jacquemin et al., “Annoyance due to air pollution in Europe,” Int. J. Epidemiol., vol. 36, no. 4, pp. 809–820, 2007. [CrossRef]
- P. J. Landrigan et al., “The Lancet Commission on pollution and health,” Lancet, vol. 391, no. 10119, pp. 462–512, 2018. [CrossRef]
- H. Frumkin et al., “Nature contact and human health: A research agenda,” Environ. Health Perspect., vol. 125, no. 7, pp. 1–18, 2017. [CrossRef]
- D. Rojas-Rueda, M. J. Nieuwenhuijsen, M. Gascon, D. Perez-Leon, and P. Mudu, “Green spaces and mortality: a systematic review and meta-analysis of cohort studies,” Lancet Planet. Heal., vol. 3, no. 11, pp. e469–e477, 2019. [CrossRef]
- N. Au and D. W. Johnston, “Self-assessed health: What does it mean and what does it hide?,” Soc. Sci. Med., vol. 121, pp. 21–28, 2014. [CrossRef]
- K. De Jong et al., “Area-aggregated assessments of perceived environmental attributes may overcome single-source bias in studies of green environments and health: Results from a cross-sectional survey in southern Sweden,” Environ. Heal. A Glob. Access Sci. Source, vol. 10, no. 1, pp. 1–11, 2011. [CrossRef]
- R. M. Van Dam, T. Li, D. Spiegelman, O. H. Franco, and F. B. Hu, “Combined impact of lifestyle factors on mortality: Prospective cohort study in US women,” Bmj, vol. 337, no. 7672, pp. 742–745, 2008. [CrossRef]
- J. T. Lynch, J. W.; Kaplan, G. A.; Salonen, “Why do poor people behave poorly? Variation in adult health behaviours and psychosocial characteristics by stages of the socioeconomic lifecourse,” Soc. Sci. Med., vol. 44, no. 6, pp. 809–819, 1997. [CrossRef]

| Socio-demographic variable | Frequency | Percentage |
|---|---|---|
| Gender | ||
| Female | 242,953 | 52.3% |
| Male | 221,658 | 47,7% |
| Deaths from all causes during follow-up period 2001-2016, n (%) | ||
| Died | 66,832 | 14.4% |
| Emigration during follow-up period 2001-2016, n (%) | ||
| Emigrated | 40,617 | 8.7% |
| Highest educational attainment | ||
| Higher education | 173,778 | 37.4% |
| Secondary education | 201,536 | 43.4% |
| Primary education or less | 89,297 | 19.2% |
| Housing tenure | ||
| Owner | 224,712 | 48.4% |
| Tenant | 227,115 | 48.9% |
| Other | 12,784 | 2.8% |
| Household living arrangement | ||
| Couple | 285,719 | 61.5% |
| Single | 172,234 | 37.1% |
| Other | 6,658 | 1.4% |
| Migration background | ||
| Other | 188,743 | 40.6% |
| Belgium | 275,868 | 59.4% |
| Subjective perception variables | Frequency | Percentage |
| Air quality | ||
| Not pleasant | 136,596 | 29.4% |
| Satisfactory | 266,953 | 57.5% |
| Very pleasant | 61,062 | 13.1% |
| Noise pollution | ||
| Not pleasant | 164,525 | 35.4% |
| Satisfactory | 224,699 | 48.4% |
| Very pleasant | 75,387 | 16.2% |
| Green spaces | ||
| Poorly equipped | 113,030 | 24.3% |
| Normally equipped | 191,770 | 41.3% |
| Very well equipped | 159,811 | 34.4% |
| Objective variables | Median | Q1-Q3 |
| PM2.5 (µg/m³) annual average concentration, median (IQR) | 19.27 | 18.95 – 19.70 |
| NO2 (µg/m³) annual average concentration, median (IQR) | 38.94 | 35.45 – 41.72 |
| Daily average noise levels, multiple sources, Lden (dB) | 49.87 | 47.05 – 52.92 |
| Surrounding greenness: NDVI 300m | 0.43 | 0.34 – 0.53 |
| Variable | Description | Frequency (relative) | M1 HR (95%CI) |
M2 HR (95%CI) |
|
|---|---|---|---|---|---|
| Air pollution: PM2.5 (µg/m³) annual average concentration1 | Q1 (Least exposed) | 92913 | 1.00 (ref.) | 1.00 (ref.) | |
| Q2 | 92830 | 1.12** [1.08;1.15] | 1.05** [1.02;1.09] | ||
| Q3 | 92990 | 1.20** [1.16;1.23] | 1.09** [1.06;1.13] | ||
| Q4 | 92952 | 1.23** [1.19;1.27] | 1.11** [1.08;1.15] | ||
| Q5 (Most exposed) | 92926 | 1.28** [1.24;1.32] | 1.16** 1.12;1.20] | ||
| Air pollution: NO2 (µg/m³) annual average concentration | Below WHO guideline (40 µg/m³) | 282079 | 1.00 (ref.) | 1.00 (ref.) | |
| Above WHO guideline | 182532 | 1.16** [1.13;1.18] | 1.09** [1.07;1.12] | ||
| Noise pollution : Multi sources Lden (dB) | Below WHO guideline (53 dB) | 350690 | 1.00 (ref.) | 1.00 (ref.) | |
| Above WHO guideline | 113921 | 1.04** [1.01;1.06] | 1.01 [0.99;1.04] | ||
| Surrounding greenness: NDVI 300m2 | Most surrounding greenness (Q1) | 92920 | 1.00 (ref.) | 1.00 (ref.) | |
| Q2 | 92896 | 1.09** [1.06;1.12] | 1.06** [1.03;1.09] | ||
| Q3 | 92952 | 1.12** [1.09;1.15] | 1.06** [1.03;1.09] | ||
| Q4 | 92943 | 1.27** [1.23;1.31] | 1.15** [1.12;1.19] | ||
| Least surrounding greenness (Q5) | 92900 | 1.47** [1.42;1.52] | 1.28** [1.23;1.32] | ||
|
1PM2.5 annual average concentration (µg/m³) quintiles : Quintile 1 : [Min ;18.74], quintile 2 : ]18.74 ;19.10], quintile 3 : ]19.10 ;19.42], quintile 4 : ]19.42 ;19.82] and quintile 5 : ]19.82, Max] 2NDVI 300m surrounding greenness quintiles : Quintile 1 : [Max;0.56[, quintile 2 : [0.56;0.46[, quintile 3 : [0.46;0.39[, quintile 4 : [0.39;0.31[, quintile 5 : [0.31; Min] *Significance p<0.05. **Significance p<0.01. Results from Cox PH regression models using age as the underlying timescale for the follow-up period 2001-2016. M1 adjusted by gender, M2=M1 + migrant background, educational level, housing tenure and household living arrangement. | |||||
| Variable | Description | M1 HR (95% CI) |
M2 HR (95% CI) |
|---|---|---|---|
| Perception: Air quality | Very pleasant | 1.00 (ref.) | 1.00 (ref.) |
| Satisfactory | 1.00 [0.97;1.03] | 0.97* [0.94;0.99] | |
| Not pleasant | 1.11** [1.08;1.15] | 1.04* [1.01;1.07] | |
| Perception: Noise pollution | Very pleasant | 1.00 (ref.) | 1.00 (ref.) |
| Satisfactory | 0.99 [0.97;1.02] | 0.97* [0.94;1.00] | |
| Not pleasant | 1.08** [1.05;1.11] | 1.01 [0.98;1.04] | |
| Perception: Green spaces | Very well equipped | 1.00 (ref.) | 1.00 (ref.) |
| Well equipped | 1.04** [1.02;1.07] | 1.01 [0.98;1.03] | |
| Poorly equipped | 1.20** [1.17;1.24] | 1.10** [1.07;1.14] | |
| *Significance p<0.05. **Significance p<0.01. Results from Cox PH regression models using age as the underlying timescale for the follow-up period 2001-2016. M1 adjusted by gender, M2=M1 + migrant background, educational level, housing tenure and household living arrangement. | |||
Disclaimer/Publisher’s Note: The statements, opinions and data contained in all publications are solely those of the individual author(s) and contributor(s) and not of MDPI and/or the editor(s). MDPI and/or the editor(s) disclaim responsibility for any injury to people or property resulting from any ideas, methods, instructions or products referred to in the content. |
© 2024 by the authors. Licensee MDPI, Basel, Switzerland. This article is an open access article distributed under the terms and conditions of the Creative Commons Attribution (CC BY) license (http://creativecommons.org/licenses/by/4.0/).