Preprint
Article

This version is not peer-reviewed.

Role of Organic and Chemical Fertilizer in the Co-Migration of Nutrient in Different Types of Ditches on Red Soil Slope Orchard

A peer-reviewed article of this preprint also exists.

Submitted:

05 December 2024

Posted:

05 December 2024

You are already at the latest version

Abstract

The planting of fruit trees on sloping land can bring significant benefits to the local economy, but it also causes different degrees of soil and water erosion problem. In this study, we studied the difference of nutrient migration in the slope ditch runoff. In the 39 scouring tests, grass ditch could reduce the loss of carbon(C), nitrogen(N) and phosphorus(P) by intercepting runoff. There was a positive correlation between runoff and the loss rate of N and P. Flow affected the retention time of runoff in the ditch, and then changed dissolved organic carbon (DOC) loss rate in runoff. The concentration of N and P wouldn't affect N and P loss rate, but would affect N and P total loss amount and DOC loss rate in runoff. The addition of organic fertilizer would significantly increase the N loss rate in runoff, and the change rule of P and DOC loss rate was similar, the co-migration may occurs. To sum up, the importance of the four factors on the migration and loss of C, N and P in ditch runoff was as follows: organic fertilizer (100%) > fertilizer concentration (74.8%) > ditch type (12.6%) > initial flow (10%).

Keywords: 
;  ;  ;  ;  

1. Introduction

The red soil hilly area in southern China covers a total area of approximately 800,000 km2, accounting for approximately 11.8% of China's land area. Although the proportion of soil and water loss areas in this region is not large, the large topographic fluctuations, strong rainfall erosivity, and high land use intensity in this region have led to serious soil and water loss problems [11,20]; especially soil erosion caused by anthropogenic soil loss [5]. The red-soil hilly region of southern China is a main agricultural area in the country, and its unique topographic characteristics have led farmers to reclaim sloping land and develop mountain forests [20]. As a representative fruit tree in southern China, citrus has a planting area of 5,668.07 km2 [41]. Especially in Jiangxi Province, the planting area of citrus is 3 331.01 km2, accounting for 80.32% of total orchard area, with an annual yield of 4.10 × 106 t [32]. Planting fruit trees on sloping land can increase farmers' income; however, improper orchard reclamation and management processes can cause serious soil erosion and environmental degradation. Studies have shown that fruit tree planting increases surface runoff and yield along with increasing the risk of soil and water loss in orchards [42,43]. In addition, with the development of agricultural science and technology, for farmers to make full use of land resources, the agricultural management mode has gradually changed to “high-input, high-yield” modern agriculture. Excessive use of fertilizers has also led to the degradation of soil quality [26,28]. Strong soil and water loss brings nutrients, such as nitrogen (N), phosphorus (P), and organic matter, carbon(C), from the soil to surface water bodies, resulting in “high loss and discharge” of orchard soil and serious degradation of soil quality in sloping orchards [36]. The frequent occurrence of rainfall events leads to soil saturation and excess runoff [13]. Slope runoff carries away sediment and nutrients from the slope land, resulting in the destruction of soil structure [35]. Due to reduced soil permeability, topographic features, rainfall events, intense human activities, and irrational agricultural management practices, slope orchards are a source of soil erosion and nutrient loss [25].
The drainage ditches of slope orchards are the main ditches for water supply and drainage of orchards, as well as the key links for orchards to carry erosional sediment and nutrients [30]. Studies have shown that different types of drainage ditches in the hilly areas of red soil have significant differences regarding runoff, N and P removal, water transport, and sediment removal [6,7]. To a certain extent, drainage ditches change the release process and transport path of nutrient elements, such as C, N, and P, thus affecting the output of nutrients in small watersheds [38]. N and P are essential nutrients for the growth and development of fruit trees [16]. The loss of N and P in orchards directly reduces the N and P that can be absorbed by fruit trees, and the fertilization effect is greatly reduced. Meanwhile, a large amount of N and P is discharged into the drainage ditch along with the runoff and sediment to the downstream water body, which leads to an excessive content of N, P, and other nutrients in the water body, thus causing water pollution and destroying the balance of the water ecosystem [34]. In addition to N and P, the loss of dissolved organic carbon (DOC) from runoff has attracted the attention of many researchers in recent years. Some studies have found that certain measures, such as vegetation buffer zones and organic fertilizers, may increase the loss of DOC in runoff [17,33]. Meanwhile, DOC is one of the most active components of soil organic carbon (SOC), which has the characteristics of easy conversion and strong mobility [29], and may couple reactions with other nutrients in the process of loss and migration. However, there are few reports on the relationship between C, N, and P in runoff. Different nutrients in runoff do not exist independently, and there may be complex relationships between C, N, P, and the surrounding environment, which may affect the loss of these elements during runoff. Understanding the relationships between nutrients and their transport in runoff and sediment can aid in guiding agricultural production, prevent soil degradation, and reduce nutrient loss.
In summary, current studies on nutrient loss in ditches have mainly focused on the relationship between a single nutrient element, runoff, and sediment. Relatively few studies have investigated the relationship between various components in the runoff loss process of ditches. The purpose of this study was to comprehensively analyze the characteristics of C, N, and P migration and loss in ditch runoff from both external and internal factors through simulated runoff erosion experiments on sloping land. This was conducted to provide a decision-making basis for agricultural production along with the prevention and control of surface source pollution on sloping land. Therefore, it is necessary to study the migration and loss characteristics of C, N, and P in the drainage ditches of sloping orchards.

2. Materials and Methods

2.1.Research Area

The research area is located in the Dean Soil and Water Conservation Ecological Science and Technology Park (29°16 '37 "~29°17' 40" N, 115°42 '38 "~115°43' 06" E), located in the Poyang Lake basin, covering an area of approximately 68.5 ha [50]. The research area has a subtropical monsoon climate, with an average annual rainfall of 1393.4 mm (2001–2015) and temperature of 16.8°C [23,32]; The landform is shallow hilly, with an elevation of 30–90 m and a slope of 5–25°, most of which are 10–14° [22]. The soil type is red, and the parent material is primarily quaternary red clay. Jiangxi Province is the central region of red soil in China [50], and the soil conditions and land-use types are typical to the southern hilly region of red soil [15].
The slope of the ditch was 12°. There are three different types of drains on the same slope: earthen ditches, grass ditches, and cement ditches, in which Eremochloa ophiuroides (Munro) Hack has a coverage of 100%. Grass is low and water-resistant, making it suitable for planting in ditches. The drainage trench is 2 m wide, 0.3 m deep, 20 m long, and 1.5 m apart from each other (Table 1). The gutter is shown in Figure 1, and its dimensions are shown in Figure 2.

2.2.Experimental Design

In this study, 13 groups of erosion tests were conducted based on three different types of gullies on sloping land using a four-variable multi-gradient method. The experiment simulated the orchard surface runoff flowing into the drainage ditch by adding fertilizer to the water storage bucket, stirring well, and discharging water simultaneously. Four experimental groups were established: ditch, concentration, flow, and organic fertilizer. There were three types of ditches: earthen ditch, grass ditch, and cement ditch. Based on the non-point source pollution of orchards in the test area, N and P were identified as the main non-point source pollution elements, and the four gradients (calculated by N) were set at 2.5, 5, 7.5, and 10.0 mg/L. P was set up in four gradients (calculated by P2O5): 0.22, 0.44, 0.66, and 0.88 mg/L [19,39]. According to the typical rainfall runoff data of the region, the flow group was set up with three gradients: 10, 20, and 30 L/min. Based on Ma (2014), Shi (2019), and the DOC concentration, three gradients were set for the standard: no organic fertilizer, 50, and 75 mg/L [24,31]. The experiment comprised 13 treatments, with three replicates per treatment.
The water source used in the test was tap water provided by a local water company. The nitrogen and phosphate fertilizers used were ammonium chloride (NH4Cl) and potassium dihydrogen phosphate (KH2PO4), respectively, which are pure analytical reagents provided by Xilong Science Co., Ltd. (Guangdong, China). The organic fertilizer was a water-soluble fertilizer containing amino acids, provided by Sichuan Wofan Biotechnology Co., Ltd., (Sichuan, China) with an amino acid content of 100 g/L and DOC content of approximately 75.00 g/L. The water discharge flow was controlled by a rotameter. The design specification of the flowmeter was 0–2500 L/h. The specific test device is shown in Figure 3. The rotameter was calibrated before the test to ensure that the actual flow was equal to the design flow.

2.3. Experimental Process and Sample Collection

Before each test, the corresponding chemical fertilizer concentration was prepared according to the water storage capacity of the water storage tank and fully stirred. Then, according to the designed flow rate, water was first released to fully infiltrate the test ditch to reduce the possibility of error caused by the large difference in soil water content in the early stage of ditch erosion. When the water reached the end of the ditch and began to flow, the ditch was considered fully infiltrated. The formal test began when no runoff was produced at the tail of the ditch.
The formal test recorded the start time of water discharge, start time of flow production at the tail of the ditch, end time of water discharge, end time of flow production at the tail of the ditch, and the time of each water sample collection. Each test was performed from the beginning of water discharge to the end of the water discharge for 30 min. When infiltrating the ditch, a 500 mL water sample was taken from the outlet of the storage bucket to determine the original total nitrogen (TN) and total phosphorus (TP) concentrations in the bucket, and a 100 mL water sample was taken to determine the original DOC concentration. All the runoff from the ditch was collected with a collection bucket with a scale, which was changed every 5 min. The total runoff (L) was measured and recorded every 5 min: a 500 mL water sample bottle and a 100 mL water sample bottle were taken from the first five sampling buckets and marked. A 500 mL water sample was used to determine TN and TP. Water samples (100 mL) were collected for DOC determination.

2.4.Materials and Methods

The collected water sample was firstly filtered with 0.45-μm filter paper to remove impurities and improve the accuracy of the results. The samples were tested by using the Chinese National Standard methods, TN was determined using ultraviolet spectrophotometry with potassium persulfate digestion. TP was determined using potassium persulfate digestion and ammonium molybdate spectrophotometry. DOC was determined using high-temperature-catalytic-oxidation, using a Shimazu Total Organic Carbon Analyzer (Shimazu ·TOC-L·CPN, Shimadzu Corporation, Japan) with 99.99% high purity oxygen as the carrier gas. The relative standard deviation was <2%.

3. Results

3.1. Influence of Ditch Type On C, N, and P Migration Characteristics

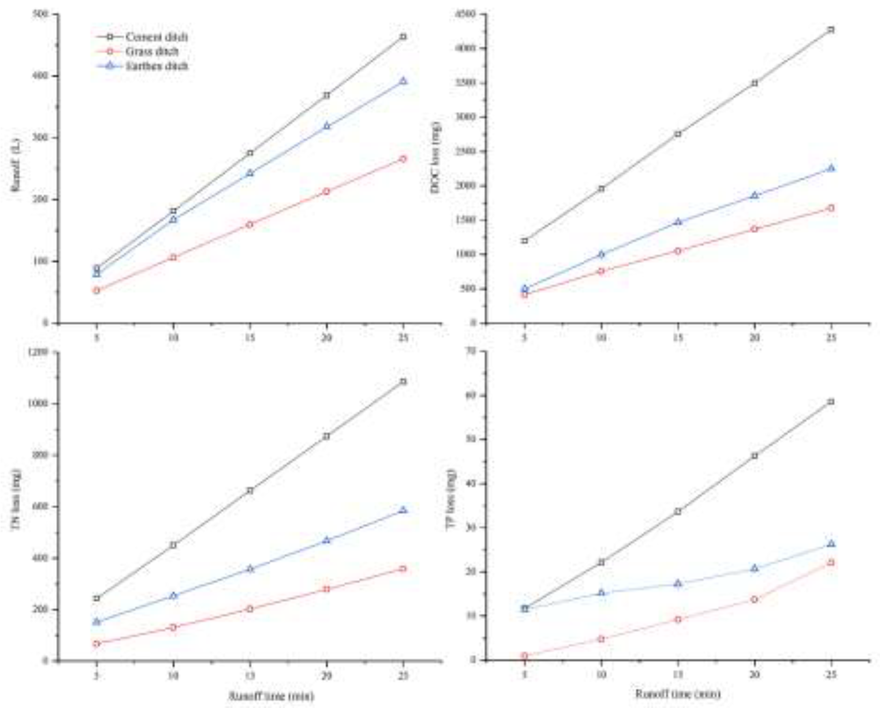
Relevant studies have shown that ecological drainage ditches can effectively intercept N and P in runoff compared to ditches without vegetation [18]. Plants growing in ditches provide a surface area for nutrient uptake and microbial attachment, reducing flow rates and filtering suspended solids, thereby reducing sediment runoff and nutrient loss [4,12]. As shown in Table 3, the concentrations of C, N and P in ditch runoff were lower than the initial values, and the loss rates of C, N and P were 4–64, 62–76, and 19–49%, respectively. Comparing the discharge water and yield flow at the tail of the trench, it is apparent that a 20 m trench with a slope of 12° can store approximately 50% of water at a flow rate of 20 L/min, effectively slowing down runoff and intercepting nutrients. In contrast, bare surfaces and rugged terrain increase the contact area between the soil and runoff, and the soil particles have a large specific surface area and negative charge, which helps reduce nutrient loss in runoff [49]. However, compared with grass ditches, earthen ditches are less effective in slowing runoff and blocking nutrients, and can only hold approximately 25% of water, resulting in significantly higher loss rates of C, N, and P under the same conditions, which were 63–75, 51–75, and 19–43%, respectively. In addition, earthen ditches experience large amounts of sediment loss during runoff erosion. Meanwhile, sediment carries many nutrients [47], thus, the loss of C, N, and P in the trench may be more significant than that shown in Figure 4. Finally, owing to its very low roughness and density, cement ditch was difficult for water to penetrate, resulting in the biggest loss of C and N, with a loss rate of >90%. Cement ditches have an adsorption effect on P [21], but generally, their ability to intercept nutrients is limited.
According to previous studies, N and P loss rates in grass trenches should be lower than those in soil trenches [18]. However, it is apparent from Table 3 that the N and P loss rate in the earthen ditch was slightly lower than that in the grass ditch. This study speculates that this may be related to the surface microenvironment within the ditch; vegetation increases the diversity of the surface, and moss growing on the surface forms a biofilm-like structure, allowing the runoff to leak downward. However, part of the N and P adsorbed on the surface of the "biofilm" is released back into the runoff under the scouring of runoff, which also explains why the loss rate of N and P in the grass ditch runoff is slightly higher than that in the earthen ditch.
A comparison between Figure 4 and Table 3 shows that under the same conditions, the order of N and P loss rates in the three ditches was cement ditch > grass ditch > earthen ditch, whereas the order of actual loss was cement ditch > grass ditch > earthen ditch. This is mainly because the surface vegetation of the grass ditch increases the surface roughness and prolongs the runoff time, and the complex plant roots also improve the infiltration capacity of the soil [8]. Therefore, under the same initial flow conditions, the actual runoff of the grass ditch was much lower than that of the earthen ditch, which was greater than the effect of the increasing loss rate caused by the biofilm.

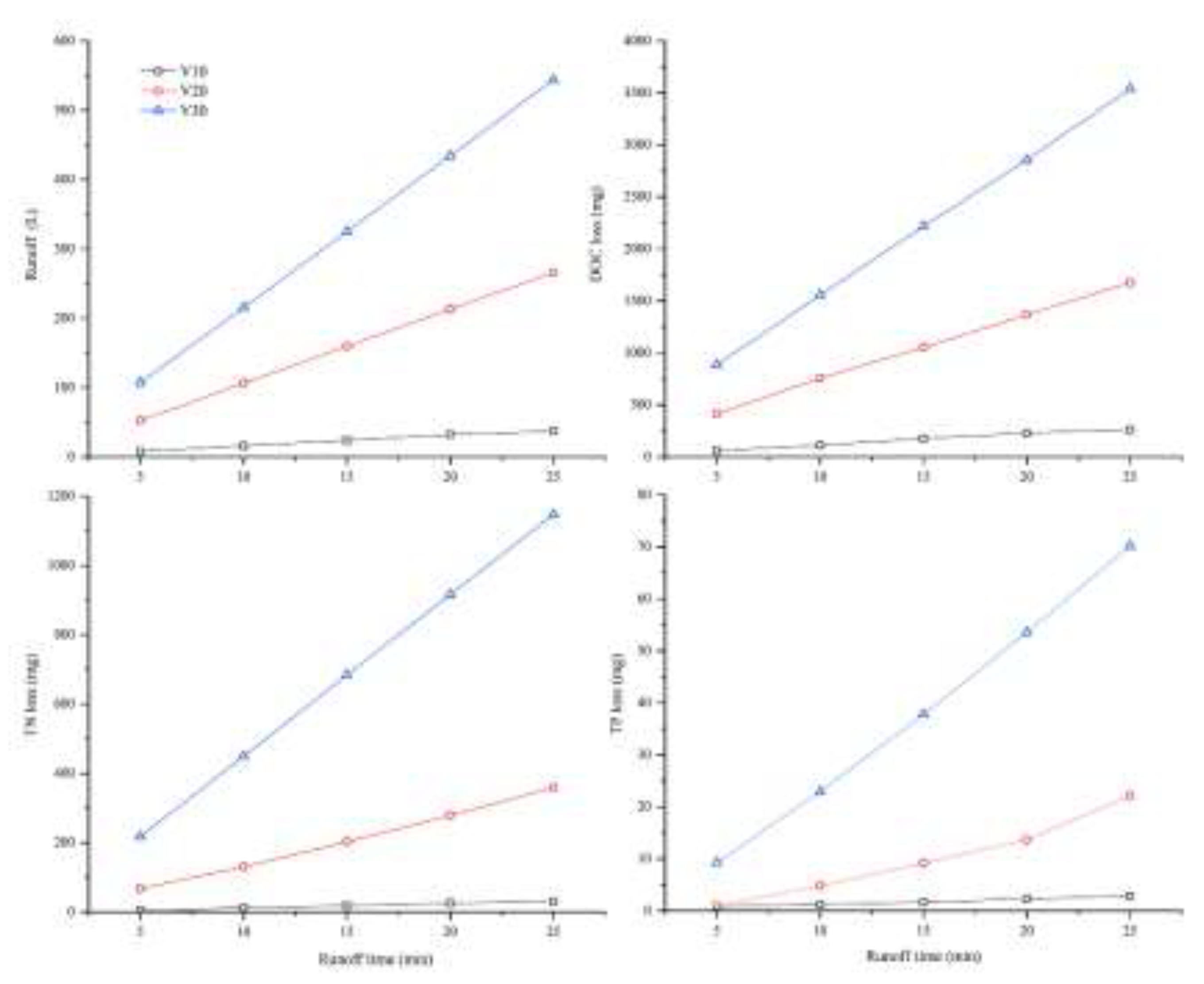
3.2. Influence of Different Flow on the Migration Characteristics of C, N, and P in Runoff

By analyzing the migration and loss of C, N, and P in different ditches, it was found that the grass ditch reduced the actual runoff by storing runoff, which had a significant impact on the migration and loss of C, N, and P. When runoff increases, runoff erosivity and transport power also increase, resulting in soil erosion and nutrient increases in the ditch [46]. To further explore the influence of runoff on the migration and loss of C, N and P in the ditch, three flow gradients were set in the same ditch to conduct scouring tests. As shown in Figure 5, runoff has a significant impact on the migration and loss of C, N, and P from the ditches. The larger the runoff volume, the greater the total amount of C, N, and P lost. In addition, by comparing the loss rates of C, N, and P in the runoff (Table 4), it was found that there were significant differences in the loss rates of C, N, and P in ditch runoff. When the initial flow rate was 10 L/min, the loss rates of C, N, and P in the ditch were 108–130, 24–32, and 19–39%, respectively. At a flow rate of 20 L/min, the loss rates were 48–64, 62–76, and 15–63%, respectively. At a flow rate of 30 L/min, the loss rates were 91–123, 84–88, and 51–75%, respectively. When the initial flow rate was 10 and 30 L/min, the DOC concentration produced at the tail of the ditch was greater than the original concentration of the storage bucket, which indicated that there was an external DOC input in the runoff that was greater than the infiltration and adsorption capacity of the ditch. By analyzing the relationship between the loss rate of N and P in runoff and runoff volume (Table 4), it was found that the sensitivity of the loss rate of N to the runoff volume was significantly higher than that of P, and there was an obvious positive correlation between the two. With an increase in runoff in the ditch, the erosion force in the ditch was enhanced, the runoff velocity was accelerated, and the runoff retention time was shortened, resulting in the migration and loss of N and P in the ditch, which is consistent with previous studies [39].
However, this study also observed that the migration and loss characteristics of DOC in the runoff differed from those of N and P. When the initial flow rate was 20 L/min, the loss rate of DOC was significantly lower than that at the initial flow rates of 10 and 30 L/min. This result may be due to the slower water flow in the ditch at lower runoff volumes, which caused the runoff to be in contact with the soil for a longer time. In this case, N accumulation in the soil changed the properties of the soil aggregates, causing them to release more active organic matter into the runoff, thereby increasing the DOC concentration [44]. With an increase in discharge, the contact time between runoff and soil decreased, and the amount of DOC adsorbed by infiltration in the ditch gradually exceeded the amount of DOC released by the soil, weakening the migration and loss of DOC in the runoff. However, when the runoff continued to increase, the flow rate of the runoff in the ditch increased, resulting in an increase in the erosion force of the runoff on the surface vegetation and soil. This resulted in a decrease in soil DOC infiltration and adsorption per unit time, and an increase in DOC migration and loss in runoff.

3.3.Effect of Chemical Fertilizer Concentration on C, N, and P Migration Characteristics

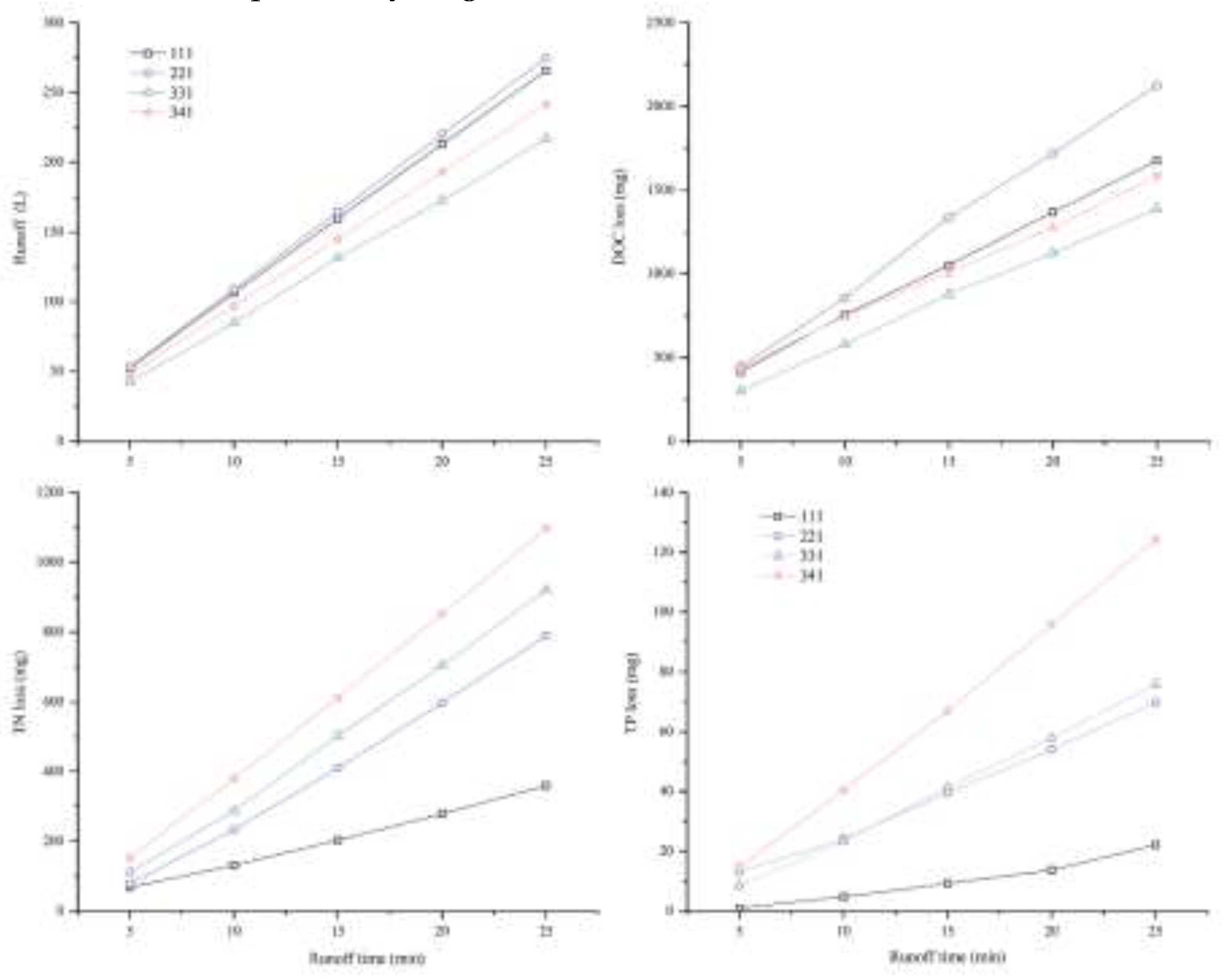
The fertilizer application rate directly affects the N and P content in farmland water, and there is a positive correlation between N and P loss and the fertilizer application amount [14,48]. As shown in Figure 6, different concentrations of N and P in the runoff water had significant impacts on the migration and loss of N and P in the drainage ditch runoff. Specifically, this effect was mainly reflected in the amounts of N and P lost. Under the same conditions, there was a significant positive correlation between N and P losses and the initial N and P concentration gradient; that is, the higher the N and P concentrations in the runoff, the greater the total N and P losses. However, the effects of initial N and P concentrations on the N and P loss rates in the drainage ditch were relatively small. As shown in Table 5, under the conditions of runoff erosion with different N and P concentration gradients, the loss rates of N and P were maintained at approximately 60% within a small range. This indicates that under certain slope and slope length conditions, the ability of ditches to intercept runoff nutrients is limited, and the upper limit of this ability may be related to the effect of vegetation in the ditch in slowing down the runoff velocity [45]. The concentrations of N and P in the ditch runoff were key factors affecting N and P migration and loss when the runoff N and P loss rates did not change significantly. As shown in Table 5 and Figure 6, although the increase in N and P concentrations in the ditch did not increase the proportion of N and P loss in runoff, it significantly increased the total N and P loss. A large amount of N and P is lost through runoff, which pollutes downstream water bodies and causes eutrophication [2].
Based on Table 5 and Figure 6, this study found that the change in the DOC loss rate in the runoff was different from that in the N and P loss rates. When N and P concentrations were low, the grass ditch had a certain interception effect on DOC in the runoff water body. However, with an increase in N and P concentrations in the water body, the DOC concentration in the runoff produced at the tail of the ditch increased, and the migration loss rate of DOC was above 80%. A high concentration of N solution affects the degree of agglomeration of soil aggregates [9,44], resulting in a decrease in the stability of soil aggregates and release of organic matter. However, when excessive fertilizer is applied to orchards, N saturation occurs in the soil ecosystem, resulting in soil acidification and compaction, which adversely affects the activity of soil microorganisms and reduces their DOC [37,40]. Owing to the high correlation between organic C and N in the soil, migration occurs in runoff and drainage, increasing the output of soil DOC and leading to further loss of soil organic C. It is apparent from the experiment that the threshold range of the accompanied migration of C and N in runoff may be 2.5–5.0 mg/L (TN concentration). Consequently, the DOC output in soil increases above the threshold, accompanied by migration of C and N in runoff.

3.4. Effects of Organic Fertilizer on the Migration Characteristics of C, N, and P in Runoff

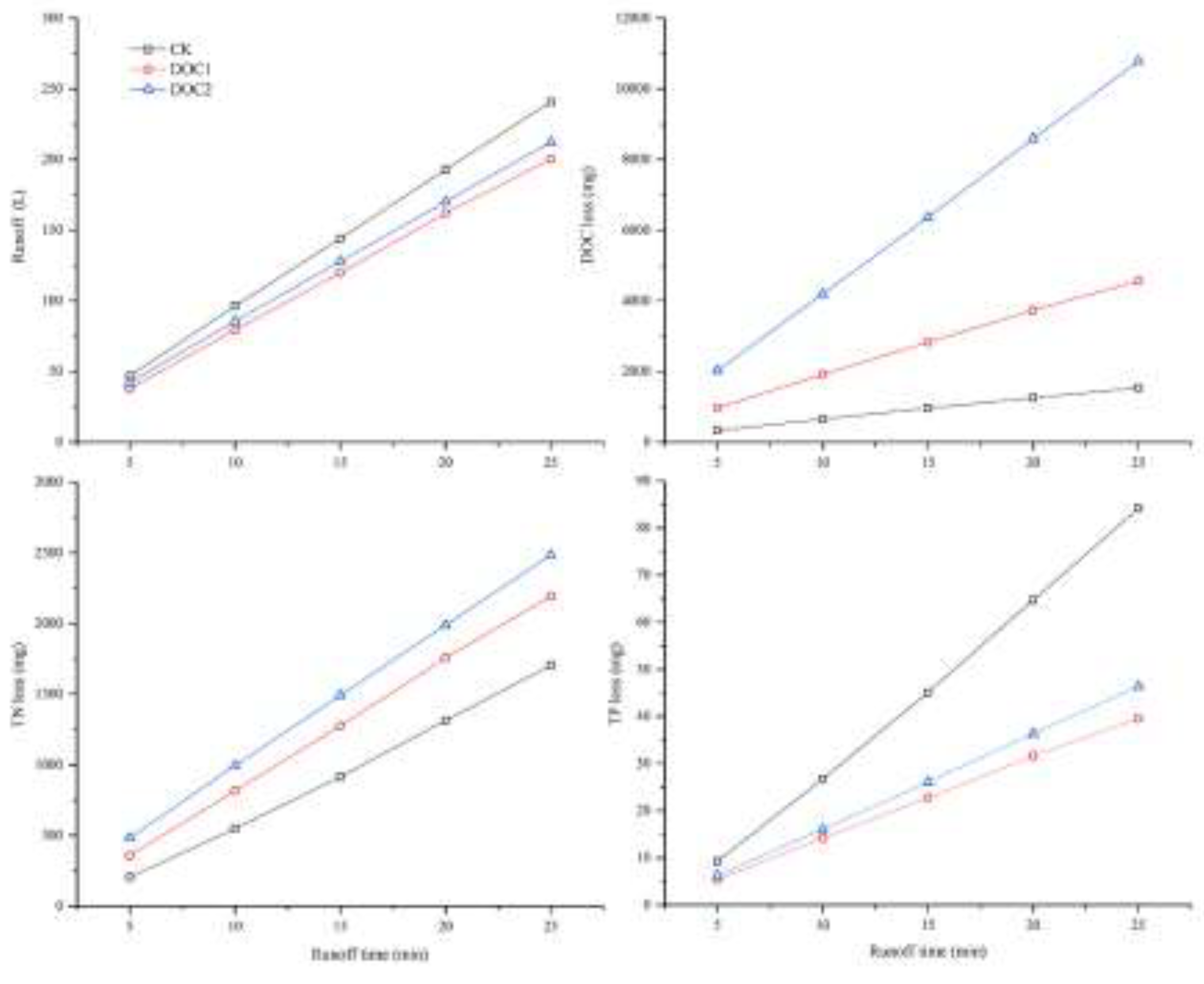
The main sources of DOC in orchard soil include two aspects: the soil itself, including the dead leaves and animal feces in the soil, and the synthetic added organic fertilizer [3]. As is clear in Table 6, the addition of organic fertilizer has a significant effect on the N loss rate in ditch runoff, and the N loss rate increases sharply after the addition of organic fertilizer, reaching up to 90%. When no organic fertilizer was added, the DOC concentration in the Control Check (CK) water ranged from 0 to 10 mg/L, and the N loss rate in the runoff was 46–74% after travelling 20 m through the 12° slope ditch. After the addition of organic fertilizer, the N loss rate in the DOC1 and DOC2 runoff was as high as 90%. The TN losses of DOC1 and DOC2 were also significantly greater than that of CK under the same conditions (Figure 7). This may be because organic fertilizers obstruct the infiltration path of N in runoff, resulting in increased N loss. However, there have been relatively few studies on the relationship between nitrogen and organic fertilizers.
As shown in Table 6, the addition of organic fertilizer affected the P and DOC loss rates. When no organic fertilizer was applied, the loss rates of C and P in the runoff after travelling through 20 m of grass ditch with a slope of 12° were 82–96 and 41–69%, respectively. After the addition of organic fertilizer, the loss rates of C and P in the runoff decreased significantly, but the overall trend of P and DOC loss rates increased with an increase in organic fertilizer application. This may be because when no organic fertilizer was added, the DOC concentration in runoff was low, which did not significantly affect P loss, and the influence of runoff infiltration on the DOC concentration in runoff was also small. However, after the addition of organic fertilizer, the DOC concentration in runoff increased significantly, and soil and vegetation began to adsorb DOC, resulting in a decrease in the rate of DOC loss in runoff but a significant increase in the amount of DOC loss. This study also observed that the migration and loss characteristics of DOC and P were similar, which may be due to a coupling reaction between DOC and P; therefore, the P loss in runoff was affected by the DOC loss, and the two showed a concomitant migration phenomenon. As shown in Table 3, we speculated that the minimum threshold for the accompanying migration of DOC and P in runoff was roughly between DOC 10–50 mg/L, and beyond this threshold, the loss of DOC was positively correlated with the loss of P [27]. The above research shows that farmers should avoid applying nitrogen fertilizer at the same time as organic fertilizer. However, by using P fertilizer and organic fertilizer, they may reduce the loss of P fertilizer and improve its utilization efficiency.

3.5. Influence of Different Factors On Runoff Production And Runoff Migration Characteristics of C, N, and P in Ditches

Multivariate analysis of variance can screen factors that have a significant impact on the response value from multiple influencing factors and determine the extent of their impact on the response value by evaluating the contribution of each factor to the overall impact [1]. Herein, the contents of TN, TP, and DOC in the runoff were taken as research objects. With the analysis function embedded in the SPSS (Statistical Product and Service Solutions) software, influencing factors, such as ditch type, chemical fertilizer, initial flow, and organic fertilizer, were systematically studied through multivariate analysis of variance. The statistical test values of TN, TP, and DOC (except for initial flow) for ditch type, chemical fertilizer, initial flow, and organic fertilizer were all greater than the critical values of F0.05(2,42) = 3.220 and F0.05(3,56) = 2.769, and their P-values were all lower than the significance level of 0.05. However, the F value of the statistical verification of DOC by initial discharge was less than its corresponding critical value; therefore, the ditch type, chemical fertilizer, initial discharge, and organic fertilizer conditions had significant effects on TN, TP, and DOC (except initial discharge) during runoff scouring (Table 7). The F-value of the multivariate analysis of variance was used to compare the strength of the influence of different environmental factors [10]. Under the above experimental conditions, the influences of different factors on TN migration and loss were ranked as follows: organic fertilizer > chemical fertilizer > initial flow rate > ditch type. The effects of different factors on TP migration and loss were as follows: chemical fertilizer> organic fertilizer > ditch type > initial flow rate. The order of influence of different factors on DOC migration and loss was as follows: organic fertilizer > ditch type > chemical fertilizer > initial flow.
To further understand the comprehensive impact analysis of various influencing factors on C, N, and P in the runoff of slope drainage ditches, we used the embedded model analysis function of SPSS software to analyze the importance of the characteristics of C, N, and P migration and loss in drainage ditches through the neural network model, with each influencing factor as the control variable and TN, TP, and DOC as the dependent variables. The results are presented in Figure 8.
Through the simulation analysis of the neural network model, it was found that after the standardization of the parameters of each control variable, the most important variable was organic fertilizer, followed by chemical fertilizer, and the importance of ditch type, and initial flow was relatively low. The model variables were as follows: organic fertilizer (100%),chemical fertilizer (74.8%), ditch type (12.6%), and initial flow rate (10%). Based on the migration and loss of C, N, and P in the runoff of sloping drainage ditches, We found that fertilization collocation and fertilization intensity were the main influencing factors. However, the nutrient loss of slope orchards is limited to the migration loss of C, N, and P in ditch runoff and includes the loss of sediment and nutrients carried by runoff. Ditch type and intra-ditch runoff were less important for the transport and loss of C, N, and P in the ditch, but they were important factors affecting sediment loss in the ditch. Therefore, when focusing on C, N, and P loss caused by fertilization in orchards, this study must also consider sediment loss caused by ditch type and runoff.

4. Conclusions

The characteristics and effects of the migration and loss of C, N, and P in the drainage ditches of sloping orchards were investigated through runoff erosion tests. The results showed that grass ditches could better trap runoff and reduce nutrient output. Earthen ditches have a positive effect on reducing N and P concentrations; however, they may be accompanied by sediment loss. The amount of runoff affects nutrient interception. The changes in N and P concentrations in runoff are mainly due to unscientific fertilization, which increases the loss of N and P. Organic fertilizers increased N loss and migration with DOC and P. In summary, organic fertilizer, as well as N and P concentrations, directly affect the loss of C, N, and P, whereas ditch type and flow affect nutrient loss by regulating runoff in the following order of importance: organic fertilizer > chemical fertilizer > ditch type > initial flow. Therefore, this study suggests that the orchard should use grass ditches to reduce nutrient loss, avoid excessive fertilization, and use organic fertilizer and N fertilizer at the same time. Additionally, an appropriate combination of phosphate fertilizer can improve its utilization efficiency.6. Patents

Author Contributions

Conceptualization, J.Z.(Jie Zhang); methodology, J.Z. (Jie Zhang)and C.T.; software,W.L.; validation, J.Z.(Jie Zhang) and W.L.; formal analysis, W.L. and J.Z.(Jie Zhang); investigation, Y.H.; data curation, J.Z.(Jie Zhang); writing—original draft preparation,W.L. and J.Z.(Jie Zhang); writing—review and editing, W.L. and J.Z.(Jinjin Zhu) ; visualization, J.Z. (Jie Zhang) and W.L.; supervision, X.C.; project administration, J.Z. (Jie Zhang); funding acquisition, X.C. All authors have read and agreed to the published version of the manuscript.

Funding

“This research was funded by Jiangxi Provincial Technology Water Joint Project (2022KSG01010, 2023KSG01004 ), Jiangxi Provincial water resources Department key project ( 202224ZDKT12 ), the National Natural Science Foundation of China ( 42367049 ).

Acknowledgments

We thank to Elsevier Language Editing Services An Information Analytics Business for his help in manuscript revision.

Conflicts of Interest

The authors declare no conflict of interest.

References

  1. Abdi, H.; Williams, L.J.; Valentin, D. Multiple factor analysis: principal component analysis for multitable and multiblock data sets. Wiley Interdiscip. Rev. Comput. Stat. 2013, 5, 149–179. [Google Scholar] [CrossRef]
  2. Borda, T.; Celi, L.; Zavattaro, L.; Sacco, D.; Barberis, E. Effect of agronomic management on risk of suspended solids and phosphorus losses from soil to waters. J. Soils Sediments. 2011, 11, 440–451. [Google Scholar] [CrossRef]
  3. Brooks, P.D.; McKnight, D.M.; Bencala, K.E. The relationship between soil heterotrophic activity, soil dissolved organic carbon (DOC) leachate, and catchment-scale DOC export in headwater catchments. Water Resour. Res. 1999, 35, 1895–1902. [Google Scholar] [CrossRef]
  4. Bundschuh, M.; Elsaesser, D.; Stang, C.; Schulz, R. Mitigation of fungicide pollution in detention ponds and vegetated ditches within a vine-growing area in Germany. Ecol. Eng. 2016, 89, 121–130. [Google Scholar] [CrossRef]
  5. Chen, J.; Xiao, H.B.; Li, Z.W.; Liu, C.; Ning, K.; Tang, C.J. How effective are soil and water conservation measures (SWCMs) in reducing soil and water losses in the red soil hilly region of China? A meta-analysis of field plot data. Sci. Total Environ. 2020, 735, 139517. [Google Scholar] [CrossRef] [PubMed]
  6. Chen, X.A.; Liang, Z.W.; Zhang, Z.Y.; Zhang, L. Effects of soil and water conservation measures on runoff and sediment yield in red soil slope farmland under natural rainfall. Sustain Sci. 2020, 12, 3417. [Google Scholar] [CrossRef]
  7. Cui, N.X.; Zhang, X.; Cai, M.; Zhou, L.; Chen, G.F.; Zou, G.Y. Roles of vegetation in nutrient removal and structuring microbial communities in different types of agricultural drainage ditches for treating farmland runoff. Ecol. Eng. 2020, 155, 105941. [Google Scholar] [CrossRef]
  8. Duan, J.; Liu, Y.J.; Wang, L.Y.; Yang, J.; Tang, C.J.; Zheng, H.J. Importance of grass stolons in mitigating runoff and sediment yield under simulated rainstorms. Catena (Amst). 2022, 213, 106132. [Google Scholar] [CrossRef]
  9. Ghosh, B.N.; Meena, V.S.; Singh, R.J.; Alam, N.M.; Patra, S.; Bhattacharyya, R.; Sharma, N.K.; Dadhwal, K.S.; Mishra, P.K. Effects of fertilization on soil aggregation, carbon distribution and carbon management index of maize-wheat rotation in the north-western Indian Himalayas. Ecol. Indic. 2019, 105, 415–424. [Google Scholar] [CrossRef]
  10. González, M.L.; Valero, E.; Chimeno, S.V.; Garrido-Fernández, A.; Rodríguez-Gómez, F.; Rojo, M.C.; Paolinelli, M.; Arroyo-López, F.N.; Combina, M.; Mercado, L.A. Growth response of Saccharomyces cerevisiae strains to stressors associated to the vine cycle. LWT. 2022, 158, 113157. [Google Scholar] [CrossRef]
  11. Guo, J.X.; Yang, J.C.; Zhang, L.J.; Chen, H.H.; Jia, Y.M.; Wang, Z.; Wang, D.; Liao, W.Q.; Chen, L.S.; Li, Y. Lower soil chemical quality of pomelo orchards compared with that of paddy and vegetable fields in acidic red soil hilly regions of southern China. J. Soils Sediments. 2019, 19, 2752–2763. [Google Scholar] [CrossRef]
  12. Guo, C.Y.; Zhang, Q.S.; Hu, Y.W.; Zhao, Q.; Li, Q.K.; Wu, J.W. Influence of sediment, plants, and microorganisms on Nitrogen removal in Farmland Drainage ditches. Agron J. 2023, 13, 2211. [Google Scholar] [CrossRef]
  13. Guo, Y.P.; Liu, S.G.; Baetz, B.W. Probabilistic rainfall-runoff transformation considering both infiltration and saturation excess runoff generation processes. Water Resour. Res. 2012, 48. [Google Scholar] [CrossRef]
  14. Hou, X.N.; Xu, Z.; Tang, C.H.; Zhang, S.H. Spatial distributions of nitrogen and phosphorus losses in a basin and responses to best management practices—Jialing River Basin case study. Agric Water Manag. 2021, 255, 107048. [Google Scholar] [CrossRef]
  15. Huang, D.; Yang, X.H.; Cai, H.Y.; Xiao, Z.L.; Han, D.R. Identifying human-induced spatial differences of soil erosion change in a hilly red soil region of southern China. Sustain Sci. 2019, 11, 3103. [Google Scholar] [CrossRef]
  16. Kaur, N.; Thakur, A.; Sharma, V.; Sharda, R.; Dhaliwal, H.S.; Rattanpal, H.S. Fertigation with Nitrogen and Phosphorus Improve Plant Growth, Root Growth, and Buddability of Containerized Citrus Nursery Plants. Commun Soil Sci Plant Anal. 2024, 1–19. [Google Scholar] [CrossRef]
  17. Le HT, Ho CT, Trinh QH, Trinh DA, Luu MT, Tran HS, Orange D, Janeau JL, Merroune A, Rochelle-Newall E, Pommier T. Responses of aquatic bacteria to terrestrial runoff: effects on community structure and key taxonomic groups. Front. Microbiol. 2016, 7, 889. [Google Scholar]
  18. Li, X.N.; Zhang, W.W.; Wu, J.Y.; Li, H.J.; Zhao, T.K.; Zhao, C.Q.; Shi, R.; Li, Z.; Wang, C.; Li, C. Loss of nitrogen and phosphorus from farmland runoff and the interception effect of an ecological drainage ditch in the North China Plain—A field study in a modern agricultural park. Ecol. Eng. 2021, 169, 106310. [Google Scholar] [CrossRef]
  19. Li, Y.; Li, B.L.; Lei, Q.L.; Yan, T.Z.; Du, X.Z.; Luo, J.F.; Lindsey, S.; Di, H.J.; Liu, H.B. The effects of slope and fertilizer rates on nitrogen losses in runoff from red soil and paddy soil during simulated rainfall. J. Soils Sediments. 2022, 22, 2354–2364. [Google Scholar] [CrossRef]
  20. Li, Z.W.; Ning, K.; Chen, J.; Liu, C.; Wang, D.Y.; Nie, X.D.; Hu, X.Q.; Wang, L.X.; Wang, T.W. Soil and water conservation effects driven by the implementation of ecological restoration projects: Evidence from the red soil hilly region of China in the last three decades. J Clean Prod. 2020, 260, 121109. [Google Scholar] [CrossRef]
  21. Liu, B.H.; Liu, L.; Li, W. Effective removal of phosphorus from eutrophic water by using cement. Environ. Res. 2020, 183, 109218. [Google Scholar] [CrossRef] [PubMed]
  22. Liu, J.; Ouyang, X.Z.; Pan, P.; Ning, J.K.; Guo, Y. Modeling stand mortality of Chinese fir plantations in subtropical China using mixed-effects zero-inflated negative binomial models. For. Ecol. Manag. 2024, 565, 122016. [Google Scholar] [CrossRef]
  23. Liu, W.Y.; Sun, S.Q.; Zhu, X.Q.; Ouyang, X. Analysis and assessment of regional high temperature and drought processes in Jiangxi Province. J. Arid Meteorol. 2024, 42, 187. [Google Scholar]
  24. Ma, W.M.; Li, Z.S.; Ding, K.Y.; Huang, J.Q.; Nie, X.D.; Zeng, G.M.; Wang, S.G.; Liu, G.P. Effect of soil erosion on dissolved organic carbon redistribution in subtropical red soil under rainfall simulation. Geomorphology (Amst). 2014, 226, 217–225. [Google Scholar] [CrossRef]
  25. Mao, Y.T.; Hu, W.; Chau, H.W.; Lei, B.K.; Di, H.J.; Chen, A.Q.; Hou, M.T.; Whitley, S. Combined cultivation pattern reduces soil erosion and nutrient loss from slope farmland on red soil in Southwestern China. Agron J. 2020, 10, 1071. [Google Scholar]
  26. McDougall, R.; Kristiansen, P.; Rader, R. Small-scale urban agriculture results in high yields but requires judicious management of inputs to achieve sustainability. Proc. Natl. Acad. Sci. U.S.A. 2019, 116, 129–134. [Google Scholar] [CrossRef] [PubMed]
  27. Ohno, T.; Griffin, T.S.; Liebman, M.; Porter, G.A. Chemical characterization of soil phosphorus and organic matter in different cropping systems in Maine, USA. Agric Ecosyst Environ. 2005, 105, 625–634. [Google Scholar] [CrossRef]
  28. Pahalvi, H.N.; Rafiya, L.; Rashid, S.; Nisar, B.; Kamili, A.N. Chemical fertilizers and their impact on soil health. Microbiota and Biofertilizers, Vol 2: Ecofriendly tools for reclamation of degraded soil environs. 2021, 1-20.
  29. Ritson, J.P.; Graham, N.J.D.; Templeton, M.R.; Clark, J.M.; Gough, R.; Freeman, C. The impact of climate change on the treatability of dissolved organic matter (DOM) in upland water supplies: A UK perspective. Sci. Total Environ. 2014, 473, 714–730. [Google Scholar] [CrossRef]
  30. She, D.L.; Zhang, L.; Gao, X.M.; Yan, X.Y.; Zhao, X.; Xie, W.M.; Cheng, Y.; Xia, Y.Q. Limited N removal by denitrification in agricultural drainage ditches in the Taihu Lake region of China. J. Soils Sediments. 2018, 18, 1110–1119. [Google Scholar] [CrossRef]
  31. Shi, P.; Schulin, R. Effects of soil organic residue amendment on losses of dissolved organic carbon, P, Cu and Zn via surface runoff from arable soils. Soil Tillage Res. 2019, 195, 104352. [Google Scholar] [CrossRef]
  32. Tu, A.G.; Xie, S.H.; Yu, Z.B.; Li, Y.; Nie, X.F. Long-term effect of soil and water conservation measures on runoff, sediment and their relationship in an orchard on sloping red soil of southern China. PloS one. 2018, (9), e0203669. [Google Scholar] [CrossRef] [PubMed]
  33. Veum, K.S.; Goyne, K.W.; Motavalli, P.P.; Udawatta, R.P. Runoff and dissolved organic carbon loss from a paired-watershed study of three adjacent agricultural watersheds. Agr Ecosyst Environ. 2009, 130, 115–122. [Google Scholar] [CrossRef]
  34. Wang, L.; Li, Y.; Wu, J.J.; An, Z.Z.; Suo, L.N.; Ding, J.L.; Li, S.; Wei, D.; Jin, L. Effects of the rainfall intensity and slope gradient on soil erosion and nitrogen loss on the sloping fields of miyun reservoir. Plants. 2023, 12, 423. [Google Scholar] [CrossRef] [PubMed]
  35. Wang, S.S.; Sun, B.Y.; Li, Z.D.; Li, Z.B.; Ma, B. Runoff and soil erosion on slope Cropland: A Review. J Res Ecol. 2018, 9, 461–470. [Google Scholar]
  36. Wang, W.; Wu, X.H.; Yin, C.M.; Xie, X.L. Nutrition loss through surface runoff from slope lands and its implications for agricultural management. Agric Water Manag. 2019, 212, 226–231. [Google Scholar] [CrossRef]
  37. Wang, Y.D.; Wang, Z.L.; Zhang, Q.Z.; Hu, N.; Li, Z.F.; Lou, Y.L.; Li, Y.; Xue, D.M.; Chen, Y.; Wu, C.Y.; Zou, C.; Kuzyakov, Y. Long-term effects of nitrogen fertilization on aggregation and localization of carbon, nitrogen and microbial activities in soil. Sci. Total Environ. 2018, 624, 1131–1139. [Google Scholar] [CrossRef] [PubMed]
  38. Williams, M.R.; King, K.W.; Fausey, N.R. Dissolved organic carbon loading from the field to watershed scale in tile-drained landscapes. Agric Water Manag. 2017, 192, 159–169. [Google Scholar] [CrossRef]
  39. Wu, X.Y.; Zhang, L.P.; Yu, X.X. Impacts of surface runoff and sediment on nitrogen and phosphorus loss in red soil region of southern China. Environ. Earth Sci. 2012, 67, 1939–1949. [Google Scholar] [CrossRef]
  40. Xiao, Y.; Huang, Z.G.; Ling, Y.L.; Cai, S.W.; Zeng, B.P.; Liang, S.; Wang, X. Effects of forest vegetation restoration on soil organic carbon and its labile fractions in the Danxia landform of China. Sustain Sci. 2022, 14, 12283. [Google Scholar] [CrossRef]
  41. Xu, H.Z.Y.; Qi, S.H.; Li, X.; Gao, C.; Wei, Y.C.; Liu, C. Monitoring three-decade dynamics of citrus planting in Southeastern China using dense Landsat records. Int J Appl Earth Obs Geoinf. 2021, 103, 102518. [Google Scholar] [CrossRef]
  42. Xu, Y.R.; Liu, W.F.; Fan, H.B.; Shen, F.F.; Wu, J.P.; Liu, P.; Sang, D.X.; Qiu, W.B.; Duan, H.L.; Cai, W. Impacts of climate change and fruit tree expansion on key hydrological components at different spatial scales. Front. For. Global Change. 2023, 6, 1114423. [Google Scholar] [CrossRef]
  43. Xu, Z.P.; Liu, W.F.; Wei, X.H.; Fan, H.B.; Ge, Y.Z.; Chen, G.P.; Xu, J. Contrasting differences in responses of streamflow regimes between reforestation and fruit tree planting in a subtropical watershed of China. Forests. 2019, 10, 212. [Google Scholar] [CrossRef]
  44. Xue, Y.F.; Xue, W.; Zhang, S.L.; Yang, X.Y. Effects of long-term fertilization regimes on changes of aggregate cementing agent of Lou Soil. J Plant Nutr. 2015, 21, 1622–1632. [Google Scholar]
  45. Yang, L.; Jin, X.H.; Hu, Y.W.; Zhang, M.Q.; Wang, H.H.; Jia, Q.; Yang, Y.F. Technical structure and influencing factors of nitrogen and phosphorus removal in constructed wetlands. Water Sci. Technol. 2024, 89, 271–289. [Google Scholar]
  46. Yang, Y.B.; Zhang, J.J.; Li, L.; Sun, R.X.; Zhang, H.B.; Zhang, J.N. Effects of rainfall process on runoff in small watersheds in the Loess Plateau of western Shanxi Province, northern China. J. Beijing For. Univ. 2019, 41, 105–114. [Google Scholar]
  47. Yuan, Z.; Liao, Y.; Zheng, M.; Zhuo, M.; Huang, B.; Nie, X.; Wu, X.; Li, D. Relationships of nitrogen losses, phosphorus losses, and sediment under simulated rainfall conditions. J Soil Water Conserv. 2020, 75, 231–241. [Google Scholar] [CrossRef]
  48. Zhang, S.H.; Hou, X.N.; Wu, C.S.; Zhang, C. Impacts of climate and planting structure changes on watershed runoff and nitrogen and phosphorus loss. Sci. Total Environ. 2020, 706, 134489. [Google Scholar] [CrossRef] [PubMed]
  49. Zhang, Z.D.; Brown, R.; Bauer, J.; Bedard-Haughn, A. Nutrient dynamics within drainage ditches under recent, medium, and long-term drainage in the Black soil zone of southeastern Saskatchewan. Geoderma. 2017, 289, 66–71. [Google Scholar] [CrossRef]
  50. Zheng, H.J.; Nie, X.F.; Liu, Z.; Mo, M.H.; Song, Y.J. Identifying optimal ridge practices under different rainfall types on runoff and soil loss from sloping farmland in a humid subtropical region of Southern China. Agric Water Manag. 2021, 255, 10704. [Google Scholar] [CrossRef]
Figure 1. Photos of the drainage ditches
Figure 1. Photos of the drainage ditches
Preprints 141923 g001
Figure 2. Schematic diagram of drainage ditches.
Figure 2. Schematic diagram of drainage ditches.
Preprints 141923 g002
Figure 3. Rotameter and water storage bucket
Figure 3. Rotameter and water storage bucket
Preprints 141923 g003
Figure 4. Accumulation curve of C, N, and P loss in runoff from different ditches
Figure 4. Accumulation curve of C, N, and P loss in runoff from different ditches
Preprints 141923 g004
Figure 5. Accumulation curve of C, N, and P loss in runoff at different initial discharge rates
Figure 5. Accumulation curve of C, N, and P loss in runoff at different initial discharge rates
Preprints 141923 g005
Figure 6. Accumulation curve of C, N, and P loss in runoff under different nutrient ratios
Figure 6. Accumulation curve of C, N, and P loss in runoff under different nutrient ratios
Preprints 141923 g006
Figure 7. Accumulation curves of C, N, and P loss in runoff under different organic fertilizer concentrations.
Figure 7. Accumulation curves of C, N, and P loss in runoff under different organic fertilizer concentrations.
Preprints 141923 g007
Figure 8. Importance analysis of independent variables in the neural network model
Figure 8. Importance analysis of independent variables in the neural network model
Preprints 141923 g008
Table 1. Test ditch design.
Table 1. Test ditch design.
Ditch type Slope ditch size
(Length × width × depth)
Underlying surface type
Earthen ditch 12° 20 × 2 × 0.3 m Bare soil (Quaternary red soil)
Grass ditch 12° 20 × 2 × 0.3 m Eremochloa ophiuroides (Munro) Hack
Cement ditch 12° 20 × 2 × 0.3 m Cement
Table 2. Test group settings.
Table 2. Test group settings.
Group setting ID* ditch type Initial concentration Flow rate
L/min
N mg/L P mg/L DOC mg/L
Ditch group Earthen ditch Compacted soil ditch 2.5 0.22 10 20
Grass ditch Grass ditch 2.5 0.22 10 20
Cement ditch Cement ditch 2.5 0.22 10 20
Flow group V10 Grass ditch 2.5 0.22 10 10
V20 Grass ditch 2.5 0.22 10 20
V30 Grass ditch 2.5 0.22 10 30
Nutrient ratio group 111 Grass ditch 2.5 0.22 10 20
221 Grass ditch 5.0 0.44 10 20
331 Grass ditch 7.5 0.66 10 20
341 Grass ditch 7.5 0.88 10 20
Organic fertilizer
group
CK Grass ditch 10.0 0.66 101 20
DOC1 Grass ditch 10.0 0.66 50 20
DOC2 Grass ditch 10.0 0.66 75 20
* V10 to V30 indicates that the initial runoff of the channel is 10 to 30 L/min. The three numbers from 111to 341represent the content gradient of N, P and DOC in the initial runoff, respectively. CK, DOC1 and DOC2 represent the three DOC concentration gradients in the initial runoff respectively. The same applies to the following tables and figures.1 The DOC contained in the experimental group without organic fertilizer occurred naturally in the water.
Table 3. Migration and loss of carbon (C), nitrogen (N), and phosphorus (P) in runoff from different ditches (%).
Table 3. Migration and loss of carbon (C), nitrogen (N), and phosphorus (P) in runoff from different ditches (%).
Ditch type TN TP DOC
Earthen ditch 63 ± 12b 31 ± 12b 69 ± 6b
Grass ditch 69 ± 7b 34 ± 15b 56 ± 8b
Cement ditch 98 ± 9a 78 ± 6a 112 ± 29a
Table 4. Loss rate of C, N, and P at different flow rates (%).
Table 4. Loss rate of C, N, and P at different flow rates (%).
Initial flow test code* TN TP DOC
V10 28 ± 4c 29 ± 10b 119 ± 11a
V20 69 ± 7b 39 ± 24b 56 ± 8b
V30 86 ± 2a 64 ±13a 107 ± 16a
* Values with different letters in a column indicate significant differences in group means among the treatments. The same applies to the following tables
Table 5. Loss rate of C, N, and P of different chemical fertilizer concentrations with regards to runoff migration.
Table 5. Loss rate of C, N, and P of different chemical fertilizer concentrations with regards to runoff migration.
Initial concentration test code TN (%) TP (%) DOC (%)
111 69 ± 7a 39 ± 24b 56 ± 8b
221 60 ± 18a 78 ± 12a 97 ± 9a
331 60 ± 14a 55 ± 14b 89 ± 7a
341 61 ± 11a 59 ± 14ab 104 ± 23a
Table 6. Effect of organic fertilizer concentration on the C, N, and P loss rate in ditch runoff.
Table 6. Effect of organic fertilizer concentration on the C, N, and P loss rate in ditch runoff.
Concentration gradient of
organic fertilizer test code
TN (%) TP (%) DOC (%)
CK 60 ± 14b 55 ± 14a 89 ± 7a
DOC1 94 ± 7a 25 ± 4b 40 ± 3c
DOC2 99 ± 1a 38 ± 7b 66 ± 2b
Table 7. Multivariate analysis of variance.
Table 7. Multivariate analysis of variance.
Variable quantity Dependent variable Class III sum of squares Degree of freedom F p-value
Ditch type TN 11.253 2 18.651 <0.0001
TP 0.03 2 3.816 0.024
DOC 119.069 2 30.844 <0.0001
chemical fertilizer TN 201.032 3 222.118 <0.0001
TP 2.587 3 222.572 <0.0001
DOC 24.433 3 4.219 0.006
Initial flow TN 12.478 2 20.68 <0.0001
TP 0.027 2 3.422 0.035
DOC 5.471 2 1.417 0.245
organic fertilizer TN 756.841 2 1254.337 <0.0001
TP 0.303 2 39.064 <0.0001
DOC 19774.451 2 5122.421 <0.0001
Disclaimer/Publisher’s Note: The statements, opinions and data contained in all publications are solely those of the individual author(s) and contributor(s) and not of MDPI and/or the editor(s). MDPI and/or the editor(s) disclaim responsibility for any injury to people or property resulting from any ideas, methods, instructions or products referred to in the content.
Copyright: This open access article is published under a Creative Commons CC BY 4.0 license, which permit the free download, distribution, and reuse, provided that the author and preprint are cited in any reuse.
Prerpints.org logo

Preprints.org is a free preprint server supported by MDPI in Basel, Switzerland.

Subscribe

Disclaimer

Terms of Use

Privacy Policy

Privacy Settings

© 2026 MDPI (Basel, Switzerland) unless otherwise stated