Submitted:
02 December 2024
Posted:
03 December 2024
You are already at the latest version
Abstract
Keywords:
1. Introduction
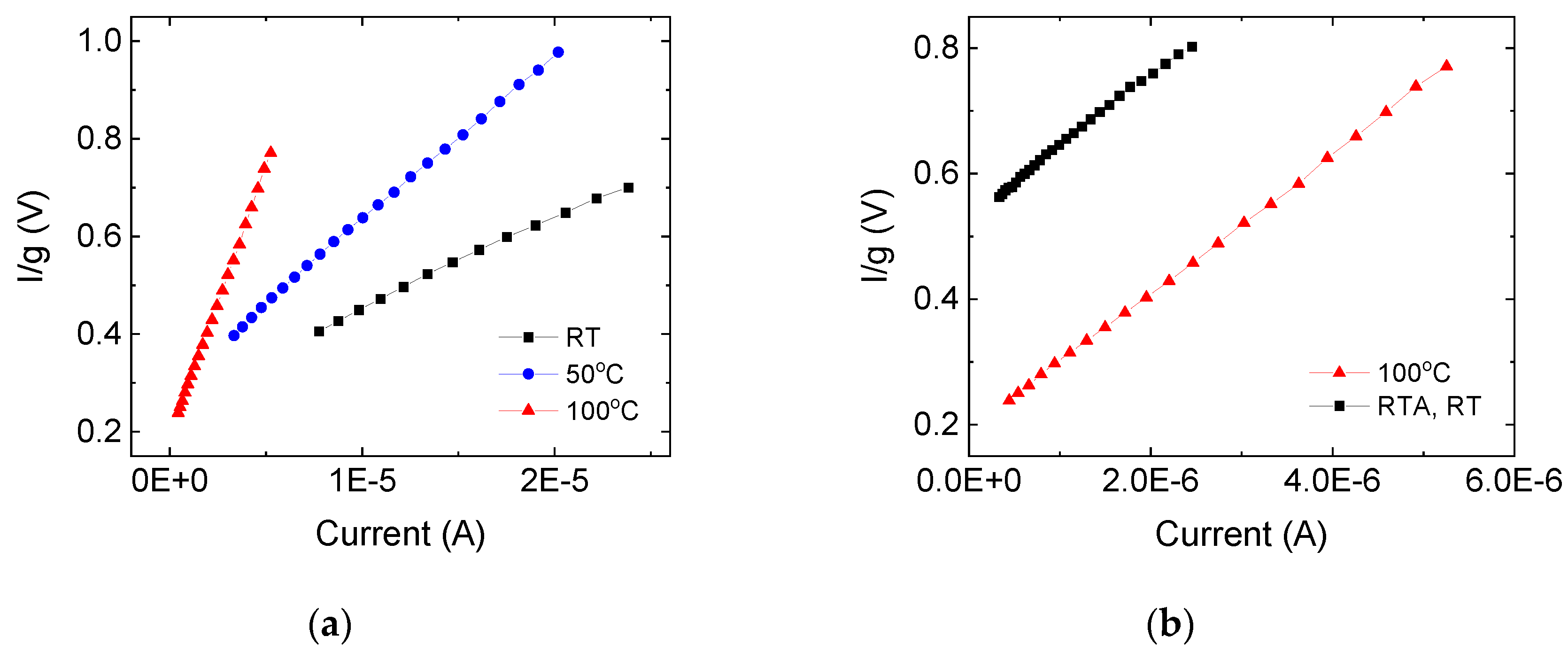
2. Results
3. Discussion
4. Materials and Methods
5. Conclusions
References
- Napari, M.; Huq, T.N.; Hoye, R.L.Z.; MacManus-Driscoll, J.L. Nickel oxide thin films grown by chemical deposition techniques: potential and challenges in next-generation rigid and flexible device applications. InfoMat 2021, 3, 536–576. [CrossRef]
- Aivalioti, C.; Manidakis, E.G.; Pelekanos, N.T.; Androulidaki, M.; Tsagaraki, K.; Viskadourakis, Z.; Spanakis, E.; Aperathitis, E. Niobium-doped NiO as p-type nanostructured layer for transparent photovoltaics. Thin Solid Films 2023 778 139910. [CrossRef]
- Wang, F.; Zhang, W.; Jia, J.; Chen, Y.; Chen, Z.; Wang, Z.; Zhang, L.; Ma, H. Improvement of electrochromic properties of NiO film doped with ZnO prepared by magnetron sputtering. J. Mater. Sci. Mater. Electron 2024, 35,455. [CrossRef]
- Li, C.; Choi, P.G.; Kim, K.; Masuda, Y. High performance acetone gas sensor based on ultrathin porous NiO nanosheet. Sens. Actuat. B-Chem 2022,367,132143. [CrossRef]
- Peng, Y.; Jiang, D.; Zhao, M.; Duan, Y.; Wei, H.; Li, H.; Liang, Q.; Wang, S. High-performance UV–visible photodetectors based on ZnO/perovskite heterostructures. J. Alloys Compd. 2023, 965,171372. [CrossRef]
- Chen, L.; Wang, Y.; Zhang, J.; Chen, L.; Zhai, J.; Song, J. Inorganic Semiconductor-Based Flexible UV Photodetector Arrays Achieved by Specific Flip-Chip Bonding. ACS Appl. Mater. Interfaces 2024, 16, 51089–51096. [CrossRef]
- Castillo-Saenz, J.R.; Nedev, N.; Valdez-Salas, B.; Bernechea, M.; Martínez-Guerra, E.; Mendivil-Palma, I.; Curiel-Alvarez, M.; Mateos, D.; Perez-Landeros, O. Effect of oxidation temperature on the properties of NiOx layers for application in optical sensors. Thin Solid Films 2021, 734, 138849. [CrossRef]
- Ahmed, A.A.; Hashim, M.R.; Qahtan, T.F.; Rashid, M. Preparation and characteristics study of self-powered and fast response p-NiO/n-Si heterojunction photodetector. Ceram. Int. 2022, 48, 20078–20089.
- Wang, J.; Li, Q.; Mi, W.; Wang, D.; Xu, M.; Xiao, L.; Zhang, X.; Luan, C.; Zhao, J. Fast response self-powered solar-blind UV photodetector based on NiO/Ga2O3 p-n junction. Mater. Sci. Semicond. Process. 2025, 186, 109084. [CrossRef]
- Hwang, J.-D.; Cheng, Y.-A. Enhancing the Performance of NiO-Based Metal-Semiconductor-Metal Ultraviolet Photodetectors Using a MgO Capping Layer. IEEE Sens. J. 2021, 21, 27400–27404.
- Caglar, M.; Sever, K.; Aktas, S.; Demiroglu A. Improving the electrical performance of NiO based photodiode fabricated by sol-gel process with Al doping. Sensor Actuat A-Phys 2023, 350, 114099. [CrossRef]
- Pandit, B.; Parida,B., Jang H-S;Heo K. Self-Powered Broadband Photodetector Based on NiO/Si Heterojunction Incorporating Graphene Transparent Conducting Layer. Nanomaterials 2024, 14, 551 1-11.
- Wilson, R.L.; Macdonald, T.J.; Lin, C.-T.; Xu, S.; Taylor, A.; Knapp, C.E.; Guldin, S.; McLachlan, M.A.; Carmalt, C.J.; Blackman, C.S. Chemical vapour deposition (CVD) of nickel oxide using the novel nickel dialkylaminoalkoxide precursor [Ni(dmamp′)2] (dmamp′ = 2-dimethylamino-2-methyl-1-propanolate). RSC Adv 2021, 11, 22199–22205. [CrossRef]
- Wang, H.; Zhao, Y.; Li, X.; Zhen, Z.; Li, H.; Wang, J.; Tang, M. Effect of Sputtering Temperature on Structure and Optical Properties of NiO Films Fabricated by Magnetron Sputtering. J. Electron. Mater 2017, 46, 4052–4056. [CrossRef]
- Jamal, M.S.; Shahahmadi, S.A.; Chelvanathan, P.; Alharbi, H.F.; Karim, M.R.; Dar, M.A.; Luqman, M.; Alharthi, N.H.; Al-Harthi, Y.S.; Aminuzzaman, M.; Asim, N.; Sopian, K.; Tiong, S.K.; Amin, N.; Akhtaruzzaman, Md. Effects of growth temperature on the photovoltaic properties of RF sputtered undoped NiO thin films. Results Phys 2019, 14, 102360. [CrossRef]
- Ahmed, A.A.; Hashim, M.R.; Rashid, M. Effect of RF power on structural, morphological and optical properties of NiO thin films. In Proceedings of AIP Conference, Kelantan, Malaysia, 6 February 2019.
- Elmassi, S.; Narjis, A.; Nkhaili, L.; Elkissani, E.; Amiri, L.; Drissi, S.; Abali, A.; Bousseta, M.; Outzourhit, A. Effect of annealing on structural, optical and electrical properties of nickel oxide thin films synthesized by the reactive radio frequency sputtering. Phys. B Condens. Matter 2022, 639, 413980. [CrossRef]
- Abdur, R.; Choudhury, S.; Bashar, M.S.; Hossain, M.R.; Quddus, M.S.; Akhtar, U.S.; Shaikh, M.A.A; Hossain, M. Enhancing perovskite solar cell performance: Investigating the impact of post-annealing on the optoelectrical and structural properties of RF-sputtered NiO films via SCAPS-1D device modeling. Sol. Energy 2024, 271, 112443. [CrossRef]
- Koushik, D.; Josˇt, M.; Ducˇinskas, A.; Burgess, C.; Zardetto, V.; Weijtens, C.; Verheijen, M.A.; Kessels, W.M.M.; Albrecht, S.; Creatore, M. Plasma-assisted atomic layer deposition of nickel oxide as hole transport layer for hybrid perovskite solar cells. J. Mater. Chem C 2019, 7, 12532 –12543. [CrossRef]
- Abzieher, T.; Moghadamzadeh, S.; Schackmar, F.; Eggers, H.; Sutterlüti, F.; Farooq, A.; Kojda, D.; Habicht, K.; Schmager, R.; Mertens, A.; Azmi, R.; Klohr, L.; Schwenzer, J.A.; Hetterich, M.; Lemmer, U.; Richards, B.S.; Powalla, M.; Paetzold, U.W. Electronbeam-evaporated nickel oxide hole transport layers for perovskite-based photovoltaics. Adv. Energy Mater 2019, 9, 1802995.
- Hasan, M.R.; Xie, T.; Barron, S.C.; Liu, G.; Nguyen, N.V.; Motayed, A.; Rao, M.V.; Debnath, R. Self-powered p-NiO/n-ZnO heterojunction ultraviolet photodetectors fabricated on plastic substrates. Apl. Mater 2015, 3, 10610.
- Schroder, D.K. Semiconductor material and device characterization, 3rd ed.; Publisher: John Wiley & Sons New Jersey, USA, 2006; p. 187. [CrossRef]
- Grilli, M.L.; Aydogan, S.; Yilmaz, M. A study on non-stoichiometric p-NiOx/n-Si heterojunction diode fabricated by RF sputtering: determination of diode parameters. Superlattice. Microst 2016, 100, 924–933.
- Mateos-Anzaldo, D.; Nedev, R.; Perez-Landeros, O.; Curiel-Alvarez, M.; Castillo-Saenz, J.; Arias-Leon, A.; Valdez-Salas, B.; Silva-Vidaurri, L.; Martinez-Guerra, E.; Osorio-Urquizo, E.; Nedev, N. High-performance broadband photodetectors based on sputtered NiOx/n-Si heterojunction diodes. Optical Materials 2023, 145, 114422.
- Chen, X.; Ren, F.; Gu, S.; Ye, J. Review of gallium-oxide-based solar-blind ultraviolet photodetectors, Photon. Res. 2019, 7, 381 –415. [CrossRef]
- Hammadi, O. A.; Khalaf, M. K.; Kadhim, F. J. Fabrication of UV Photodetector from Nickel Oxide Nanoparticles Deposited on Silicon Substrate by Closed-Field Unbalanced Dual Magnetron Sputtering Techniques. Optical and Quantum Electronics 2015, 47 (12), 3805–3813. [CrossRef]
- Ahmed, A. A.; Hashim, M. R.; Qahtan, T. F.; Rashid, M. Multi – Wavelength Photodetectors Based on Porous Spin-Coated and Compact RF-Sputtered NiO Films Grown over Si Substrate: Effect of Surface Morphology. Optik 2022, 255, 168694–168694. [CrossRef]
- Xu, J.; Cao, R.; Shi, S.; Li, L.; Zhu, K.; Su, Y. Self-Powered Ultraviolet Photodetectors Based on Match like Quasi One-Dimensional N-TiO2/P-NiO Core-Shell Heterojunction Arrays with NiO Layer Sputtered at Different Power. Journal of Alloys and Compounds 2022, 928, 167126.
- Enns, Y.; Sergei Timoshnev; Alexey Kazakin; Ksenia Shubina; Uvarov, A.; Vorobyev, A.; Ekaterina Nikitina; Andrey Mizerov; Andreeva, V.; Fedorenko, E.; Koroleva, A.; Evgeniy Zhizhin. Characterization of the P-NiO/N-GaN Heterojunction and Development of Ultraviolet Photodiode. Materials Science in Semiconductor Processing 2024, 181, 108624–108624.
- Ma, X.; Tang, L.; Jia, M.; Zhang, Y.; Zuo, W.; Cai, Y.; Li, R.; Yang, L.; Teng, K. S. Ultrahigh Performance UV Photodetector by Inserting an al2O3 Nanolayer in NiO/N-Si. Advanced Electronic Materials 2024, 10 (9).







| Temperature (oC) | Thickness (nm) | Deposition rate (nm/min) | n | k |
|---|---|---|---|---|
| Room Temperature | 41.5 | 6.92 | 2.25 | 0.03 |
| 50 | 48.9 | 8.15 | 2.29 | 0.044 |
| 100 | 36 | 6 | 2.25 | 0.01 |
| Light color | ISC (A) | ||
|---|---|---|---|
| RT | 50 oC | 100 oC | |
| Red | 1.30E-07 | 1.50E-08 | 7.85E-09 |
| Green | 5.70E-08 | 6.70E-09 | 9.15E-09 |
| Blue | 7.97E-08 | 8.50E-09 | 5.25E-09 |
| UV | 2.87E-08 | 6.40E-09 | 6.85E-09 |
| Wavelength (nm) | R (A/W), Self-powered mode | R (A/W), Vr = -4 V | ||||
| RT | 50 oC | 100 oC | RT | 50 oC | 100 oC | |
| 365 | 0.95 | 0.21 | 0.23 | 22.4 | 2.74 | 15.6 |
| 400 | 0.67 | 0.072 | 0.077 | 18.8 | 2.4 | 13.7 |
| 530 | 0.61 | 0.072 | 0.056 | 15.8 | 1.96 | 10.8 |
| 635 | 0.39 | 0.045 | 0.023 | 10.7 | 1.77 | 8.1 |
| Device | Responsivity (A/W) |
D (Jones) |
Id (A) |
On/Off Ratio | τr, τf (s) |
Year [Ref.] |
|---|---|---|---|---|---|---|
| p-NiO/nSi | 4.8 × 10-3 (at 318 nm) |
- | - | - | - | 2015 [26] |
| p-NiO/nSi | 1.73, 1.81, 2.07 (at 5V, 365, 625, 850nm) |
- | - | 31, 35, 41 (at 5V, 365, 625, 850nm) |
3.49/7.68 × 10-3 | 2022 [27] |
| NiO/TiO2 | 0.074 (at 0V, 380nm) |
- | 922 | 33.6/92.6 × 10-3 | 2022 [28] | |
| p-NiO/n-Si | 0.95, 0.67, 0.61, 0.39 (at 0 V, 365, 400, 530, 635 nm, PRF = 60 W) 22.4, 18.8, 15.8, 10.7 (at -4 V, 365, 400, 530, 635 nm) |
5.5 × 1010 (at 0 V, 365 nm, |
8.5 × 10-12 (at 0 V) 2.8× 10-7 (at -4 V) |
3.4 × 103 (at 0 V, 365 nm, PRF = 60 W) |
< 0.1 | 2023 [24] |
| p-NiO/n-GaN | 3.11 × 10-3 (at 0V) |
8.69 × 109 | - | - | 2/47 × 10-3 | 2024 [29] |
| NiO/Ga2O3 | 5.08 × 10-3 (at -10V, 254nm) |
3.19 × 1011 | 2.76 × 10-12 | 802.53 | 62/67 × 10-3 | 2024 [9] |
| NiO/Al2O3/n-Si | 15.8 (at -5V, 365nm) |
1.14 × 1014 | 0.279 × 10-6 | - | 0.08/0.184 × 10-3 | 2024 [30] |
| p-NiO/n-Si (100°C) |
15.6 (at -4V, 365nm) 0.23 (at 0V, 365nm) |
8.41 × 1010 (at -4V, 365nm) 2.875 × 1011 (at 0V, 365nm) |
1.02 × 10-7 1.9 × 10-12 |
68.23 × 10-3 3.66 × 10-3 |
- - |
This work |
| Color | Photon wavelength/energy (nm/eV) | Optical power (mW/cm2) |
|---|---|---|
| Red | 635/1.95 | 3.71 |
| Green | 530/2.34 | 1.03 |
| Blue | 400/3.10 | 1.31 |
| UV | 365/3.40 | 0.335 |
Disclaimer/Publisher’s Note: The statements, opinions and data contained in all publications are solely those of the individual author(s) and contributor(s) and not of MDPI and/or the editor(s). MDPI and/or the editor(s) disclaim responsibility for any injury to people or property resulting from any ideas, methods, instructions or products referred to in the content. |
© 2024 by the authors. Licensee MDPI, Basel, Switzerland. This article is an open access article distributed under the terms and conditions of the Creative Commons Attribution (CC BY) license (http://creativecommons.org/licenses/by/4.0/).