Preprint
Article

This version is not peer-reviewed.

A Framework for Informing Complete Street Planning: A Case Study in Brazil

A peer-reviewed article of this preprint also exists.

Submitted:

02 December 2024

Posted:

03 December 2024

You are already at the latest version

Abstract
The concept of Complete Streets prompts a re-evaluation of the road design paradigm of the past century, which prioritized vehicles over human-centered use. It seeks to integrate land-use planning with urban mobility, focusing on a safer, more accessible allocation of street space that supports diverse transportation modes, stimulates local economic development, encourages active mobility, and reinforces place identity—while recognizing each street's unique vocation. However, Complete Streets have competing planning demands that vary according to their context and capacity to serve different functions and users. Identifying these priorities and street types is crucial for managing the trade-offs between functions according to each street's role. This article introduces a framework for assessing a street's vocation and guiding interventions based on three key functions of Complete Streets: place, movement, and environmental. The proposed framework is flexible and objective while allowing qualitative and subjective insights to be integrated. Thus, the article presents (i) a brief literature review of the Complete Streets concept; (ii) a review of evaluation methods and indicators for projects using this approach; (iii) a description of the proposed framework; and (iv) the application, verification, and analysis of the proposed framework through a case study in Brazil.
Keywords: 
;  ;  ;  ;  

1. Introduction

The rise of motorized vehicles has promoted an individualistic approach to urban mobility, overshadowing more inclusive and sustainable modes of transportation such as walking and cycling [1]. Additionally, motorization has diminished the street's historical role as a space for social interaction, relegating it to a secondary concern in urban planning [2]. In many cases, streets have become hazardous, uninhabitable, and unhealthy environments, contributing to urban degradation [3,4]. This trend resulted in road expansions for cars at the expense of pedestrian-friendly spaces [2].
In this context, the rapid growth of cities—both in population and geographic size—has presented urban planning authorities with persistent challenges, including rising congestion, increasing demand for public transportation, and pollution caused by motorization. According to Gehl [5], this growth has promoted city development focusing on motor vehicles, often neglecting human-scale accessibility, reducing accessibility, and contributing to urban sprawl.
The prevailing approach to urban expansion, combined with public policies that prioritize car-centric city design, lies at the core of contemporary urban mobility challenges. As Al-Mosaind [6] suggests, implementing incentives for more sustainable modes of transport could gradually reduce the reliance on automobiles in urban mobility.
Rodriguez-Valencia [2], in turn, notes that recent urban interventions aimed at reducing car-dedicated street space serve as empirical evidence of an imbalance in the spatial distribution of streets. In other words, there is a movement towards shifting away from car-centric planning towards a more people-oriented approach.
However, replacing cars with alternative transport modes will not be enough to break this cycle; reshaping the spatial configuration of streets is also necessary [7]. This means that reversing the conception and design of streets is crucial for achieving this paradigm shift. Thus, enhancing the urban quality of cities often begins at the street level, and these smaller-scale interventions increasingly set the stage for more significant investments, allowing local authorities to test new concepts [8].
The Complete Streets concept has emerged as an increasingly adopted approach worldwide. It aims to expand the scope of street design from traditional car-oriented practices to accommodate all forms of travel and all users, redistributing street space more equitably and reflecting the local identity. This planning approach considers a range of competing needs, where the importance of each varies according to the street's context and role within the network—not all streets are intended or suitable for accommodating all types of users or functions. Therefore, the idea of a Complete Street will manifest differently in each location, according to its context and expected performance [9,10].
This article presents a framework for evaluating a street's vocation and guiding interventions based on the three core functions of Complete Streets: place, movement, and environment. The structure of the article is as follows: (i) a narrative review of the Complete Streets concept to clarify and illustrate this approach within the context of urban planning and design; (ii) a review of evaluation methods and indicators for street projects in the Complete Streets framework; (iii) the development of an index to measure street completeness through an objective and quantitative approach; (iv) an application, verification, and analysis of the proposed index in Juiz de Fora, MG; and finally, (v) a discussion of the experiment's results.

2. Materials and Methods

2.1. Complete Streets: a Brief Review

The term "Complete Streets" was coined by David Goldberg, Communications Director at Smart Growth America, in 2003. It was popularized by the National Complete Streets Coalition beginning in 2005 to describe streets that safely and comfortably accommodate all users, regardless of travel mode or ability. This concept emerged from a collaborative effort and aimed to more effectively replace the earlier term "routine accommodation," which initially referred to including bicycles in transportation planning [7].
The premise of Complete Streets is to allow safe, attractive, and comfortable access and travel for all users, whether pedestrians, cyclists, transit riders, or drivers. This approach involves redistributing street space, applying a multimodal accommodation logic that prioritizes all forms of movement rather than focusing solely on motorized vehicle traffic [2,9]
While conventional transportation planning assumes that the primary street users are drivers and evaluates the transportation system based on vehicle traffic speeds, the Complete Streets approach recognizes a broader range of modes, users, and activities, introducing more trade-offs in street design. Complete Streets tend to lower maximum traffic speeds, create more connected urban networks, and promote compact development, thereby enhancing accessibility through various modes of transportation [11].
According to Rodriguez-Valencia [2], the completeness of a street lies in how well it fulfills three competing urban planning functions: movement, place, and environment [12]. In this context, a street's completeness can be understood by evaluating how it meets its expected functions, depending on its specific vocation. A street's vocation, in turn, can be understood as the unique qualities and characteristics that shape its identity and purpose within the urban landscape. Thus, the vocation of a street will determine the expected levels of completeness for each street under analysis.
Rodriguez-Valencia [2]defines the movement function of a street as providing access to services, parking, and loading zones and facilitating the movement of people. Similarly, Jones and Boujenko [13] add that the movement function involves designing the street to allow users to travel as quickly and conveniently as possible, minimizing travel time.
The place function, on the other hand, views the street as a public space where people can move or gather. The demand for the place function depends on the street's urban context and the space's quality intended for social interactions. In this sense, the place function also encompasses the social function of the street, serving as a space of inclusivity that welcomes diverse people and cultures. Jones and Boujenko [13] and Karndacharuk et al. [14] further explain that the place function regards the street as a destination, highlighting its capacity to attract people and encourage them to spend time there for various everyday activities.
Finally, the environmental function relates to the attributes and characteristics that streets offer to support environmental sustainability [2]. This involves measures to mitigate pollution effects, particularly from motor vehicle emissions, as open spaces become increasingly scarce in urban centers.
In summary, the concept of Complete Streets is broad and subjective in its definitions, allowing for the idea that any street can be "complete"—as long as it fully meets its vocation and achieves a particular level of completeness within its context. Thus, the physical elements that a Complete Street may include or require are highly varied, highlighting this design approach's unique, non-replicable nature. Evaluating or attempting to describe a Complete Street merely by the presence or absence of certain features can be misleading. However, by adopting the premise that any street can be complete, it becomes easier to understand and address its "incompleteness."

2.4. Previous Methods and Indicators for Street Evaluation

A specific review of methods and indicators aimed at street evaluation was conducted to explore the current state of the art on potential strategies for evaluating Complete Streets. This review began by searching for associations between the terms "Complete Streets" and "Evaluate," focusing on a ten-year time frame (2008-2018) within indexed databases. Following an initial exploratory reading of the relevant articles and their references (a narrative review), the study concentrated on three works considered particularly relevant and contributive to developing a street completeness index.
The most relevant studies identified in the review were those by Marshall [15], Jones and Boujenko [13], and Kingsbury et al. [16], each of which presents a unique methodology: Streetspace, Link and Place, and Complete Street Score, respectively. The aim was to extract key insights from these studies to support this research and build a contextual framework for indicators capable of assessing street completeness.
In the Streetspace model by Marshall [15], a system was proposed to classify any street by intersecting two main dimensions: (i) the street as urban space and (ii) its role as part of an arterial network. Here, "urban space" refers to the street's importance within its locality, considering its identity as a pedestrian hub or commercial or civic center. In contrast, "arterial connection" emphasizes public transport facilitation. Both dimensions are scaled geographically (national, regional, city, neighborhood, local), similar to a conventional hierarchy system.
Similarly, the Link and Place method by Jones and Boujenko [13] proposes a '5x5' matrix with categories "I to V" for Link and "A to E" for Place, covering 25 types of streets. In practice, additional factors influence street classification, such as predominant land use as part of Place description and modal priorities (e.g., bike lanes) in the Link dimension. The number of categories in the matrix can be adjusted based on the specific scale and context analyzed.
Focusing specifically on Complete Streets, the Complete Street Score by Kingsbury et al. [16] introduces two instruments (a provisioning profile and a community scheme) used to contextualize streets. Streets are evaluated for completeness using a four-dimensional audit across automobiles, public transport, cyclists, and pedestrians, representing a multimodal urban mobility system. This method involves four steps: (i) conducting a four-dimensional audit; (ii) processing audit data into provision profiles; (iii) matching these profiles to desired profiles in a community scheme; (iv) calculating deficiencies for each modal dimension and determining the Complete Street Score to evaluate street completeness.

3. A Framework for Assessing and Informing Complete Street Planning

According to several authors [10,12,16], planning for Complete Streets faces competing demands that vary according to context and each street's capacity to accommodate diverse functions and users. In this sense, identifying different priorities and street types is essential to understanding and addressing the trade-offs among these functions, which align with each street's unique role.
This work proposes a framework that uses an index to evaluate a street's level of completeness objectively. This involves quantitatively assessing specific street attributes (from the Complete Streets perspective) to measure the impact and function of these streets within a given urban context. This evaluation tool is called the Complete Streets Completeness Index (CSCI).
By combining and articulating the approaches of Marshall [15], Jones and Boujenko [13], and Kingsbury et al. [16], who classify streets by analyzing two dimensions in a matrix-based categorization, this work proposes a classification matrix structured by two primary axes—motorized and non-motorized transportation—and two secondary axes—movement and place. The CSCI aims to be an adaptable evaluative framework that can incorporate new secondary axes and additional indicators, tailoring it to various scenarios and objectives.
The CSCI is applied through a method consisting of three steps: (i) preliminary street classification—selecting a profile that aligns with the existing or desired role of the street within the classification matrix; (ii) street audit—reviewing data on indicators associated with the street's classified profile to develop an audited profile; and (iii) calculating the CSCI—comparing the classified and audited profiles. The difference between these profiles for a given street constitutes its CSCI.

3.1. Preliminary Street Classification

As Hui et al. [12] suggest, a street classification system that accounts for transportation, location, and environmental context can integrate various metrics into a single measure of completeness, reflecting how effectively a street's design meets its intended functions. Within this framework, goals and priorities can be set for each metric to highlight the street's relative importance in its context. By comparing the performance of an existing or proposed street to the target performance levels for that class, the street's completeness can be measured within a context-sensitive framework.
The CSCI is structured around a classification matrix defined by two primary classification axes and two secondary analysis axes. The primary axes represent two main categories of urban mobility—motorized (Tm) and non-motorized transportation (Tnm)—and consider the street's relevance to its local context. A Complete Street may have varying aspects and demands depending on the case. The secondary axes represent competing functions of a street, allowing for analysis of its completeness level.
The primary axes indicate the relevance of motorized (Tm) and non-motorized transportation (Tnm), with categories ranging from very low to high, as follows: (i) very low, (ii) low, (iii) medium, and (iv) high for both axes, denoted as A to D and I to IV, respectively.
The intersection of the primary axes forms a 4x4 classification matrix, resulting in sixteen possible profiles, each representing a unique classification that serves as the baseline profile for a street. Selecting a profile within this matrix can serve two objectives in the analysis: (i) diagnosing a street's current characteristics or (ii) setting a "target" classification, indicating the desired future characteristics and expected performance for that street.
For instance, if a street currently has high relevance for Tm and very low relevance for Tnm (A-IV) but aims to shift toward very low relevance for Tm and high relevance for Tnm (D-I), the "target" profile (D-I) would be chosen as the evaluation goal (see Figure 1). This approach allows stakeholders to gauge the required effort across each street function (secondary axes) to achieve the desired CSCI or to measure current and/or projected performance objectively.
The micro-axes, in turn, indicate the street's competing functions in completeness, with scores ranging from 0 to 100. In this study, the movement micro-axis includes indicators related to motorized travel, focusing on vehicles. Meanwhile, the place micro-axis addresses indicators related to walkability, accessibility, and the quality of the physical space, focusing directly on people.
The classified profile chart and the audited profile chart are created based on these micro-axes, with varying performance levels, meaning each street classification has a unique score in the corresponding chart. The score for the classified profile chart is pre-established in the matrix, while the score for the audited profile chart is obtained during the field survey or audit phase.
In this context, a matrix (Figure 2) was adopted for classifying streets, organized by classification macro-axes and analysis micro-axes, allowing streets to be categorized based on their context and, consequently, to evaluate their CSCI.
The matrix approach involves determining a street's classification (classified profile chart) by crossing the relevance (very low, low, medium, high) that the segment under analysis holds for the macro-axes—motorized and non-motorized transport. After this initial classification, the next step is the audit phase. Thus, a street's classification and assessment are based on its local context and predominant or intended characteristics.

3.2. Audit of Street Characteristics

The audit of the Street Characteristics stage involves data collection on pre-established indicators to determine the performance level for each street function previously classified in the initial stage. The number and characteristics of these indicators will depend on data availability, the capacity to process this information, and the local context. This section describes the method for collecting each indicator in the audit (Table 1) to enable the creation of the audited profile chart for the street under analysis.
The indicators used for the place function include (i) sidewalk width, (ii) distance to public transport, (iii) facade permeability, and (iv) diversity of uses. The following parameters guide these indicators: (i) adequate clear width, (ii) distance to the nearest bus stop, (iii) number of pedestrian entrances and accesses, and (iv) proportion of predominant use.
Regarding sidewalk width (i), the minimum acceptable clear width is 1.20 meters, which relates to the total pedestrian flow on the street. For each linear meter, a pedestrian flow of 25 pedestrians per minute is considered the upper limit, with higher densities deemed unsuitable.
For the distance to public transport (ii), factors relevant to walkability, accessibility, and urban mobility were considered. The assumption is that a walkable distance should not exceed 500 meters, providing a comfortable distance for pedestrians.
The indicators for permeable facades (iii) are directly linked to pedestrian entry and exit permeability, meaning they enhance the potential to attract more people to the street and support greater pedestrian flow. A desirable standard is at least five permeable facades per 100 linear meters of block frontage [5,17]. Finally, the predominant use proportion (iv) relates to diversity, urban density, and local economy. In this regard, a more balanced ratio between residential and non-residential uses contributes to sustainable city planning [18,19,20].
The indicators for the movement function include (i) permitted speed, (ii) flow rate, (iii) road capacity, and (iv) parking. These indicators are measured by (i) road classification, (ii) number of vehicles per hour, (iii) number of lanes per direction of traffic, and (iv) number of parking spaces in the area surrounding the street segment analyzed [21,22]
Regarding (i) permitted speed or hierarchical classification, this reflects the relevance and access granted to motorized vehicles and indirectly indicates the load capacity of the street segment analyzed. The (ii) flow rate indicator represents the practical usage and intensity of motorized cars passing through the segment (per hour/per lane), with 1,200 vehicles considered appropriate for expressways and highways [21,22]. The (iii) number of lanes indicator is directly related to the road's capacity and the physical space allocated for this purpose; thus, the greater the number of lanes, the less likely other street functions are favored. Lastly, (iv) parking spaces indicate the ease with which one can access the analyzed street segment by motor vehicle, depending on the proximity of available spaces to the street.
The scoring system for the indicators is open, meaning each audit can be tailored according to available metrics, data, and team resources. It is essential at this stage that points awarded are normalized and adapted to the function, meaning a scale from 0 to 100, which will be used to calculate the CSCI. For example, suppose 300 points are allocated for the movement function, and the audit achieves 215. In that case, this represents 71.66% of the total allocated, which, once normalized, equals 71.66 on the movement function micro-axis scale.

3.3. Calculating the CSCI—Comparing the Classified and Audited Profiles

The calculation of the CSCI was developed in a manner analogous to the Complete Street Score by Kingsbury et al. [16]. The calculation process (Figure 3) was based on the overlay of (i) the classified profile chart and (ii) the audited profile chart to obtain the (iii) CSCI.
Thus, using the classified and audited profile graphs, the following will be determined: (i) the deficiency (δ) for each micro-axis, representing the deviation from the target performance defined by the classified profile graph, calculated using the expression:
δ = c a c ,   a c 0 ,  
where ccc represents the classified value in the matrix, i.e., the expected performance for a given micro-axis, and aaa is the audited value derived from data collection and indicator analysis for the same micro-axis. If aaa is greater than ccc, the deficiency is assigned a value of 0, which is nonexistent in this case.
Next, (ii) the average of the sum of the deficiencies is calculated. Finally, (iii) the CSCI, which reflects how much of the classified profile graph has been filled by the audited profile graph, is determined using the expression:
I C R C = 1 δ m + δ l 2 . 100
In summary, the CSCI compares the geometric mean of the variables representing the expectation (classified profile) with those representing the existing conditions (audited profile) based on their deficiencies in each micro-axis. After calculation, the index value is graded on a scale from 0 to 100, linking the achieved values to the necessary intervention measures for the analyzed segment.

4. Case Study: Application of the CSCI in Juiz de Fora, Brazil

A case study was implemented in the city of Juiz de Fora (MG), Brazil, to evaluate the potential of the proposed index. Situated in the southeastern region of Minas Gerais, within the Zona da Mata area, Juiz de Fora lies approximately 270 km from the state capital, Belo Horizonte. The city spans an area of about 1,435.75 km², with an estimated population of 573,285 inhabitants [23]. It faces challenges related to rapid urban expansion and a planning framework predominantly focused on motorized transportation. Within this context, four street segments with varying characteristics and classifications from the matrix were analyzed to assess the utility of the proposed index.

4.1. Analyzing the Street Segments

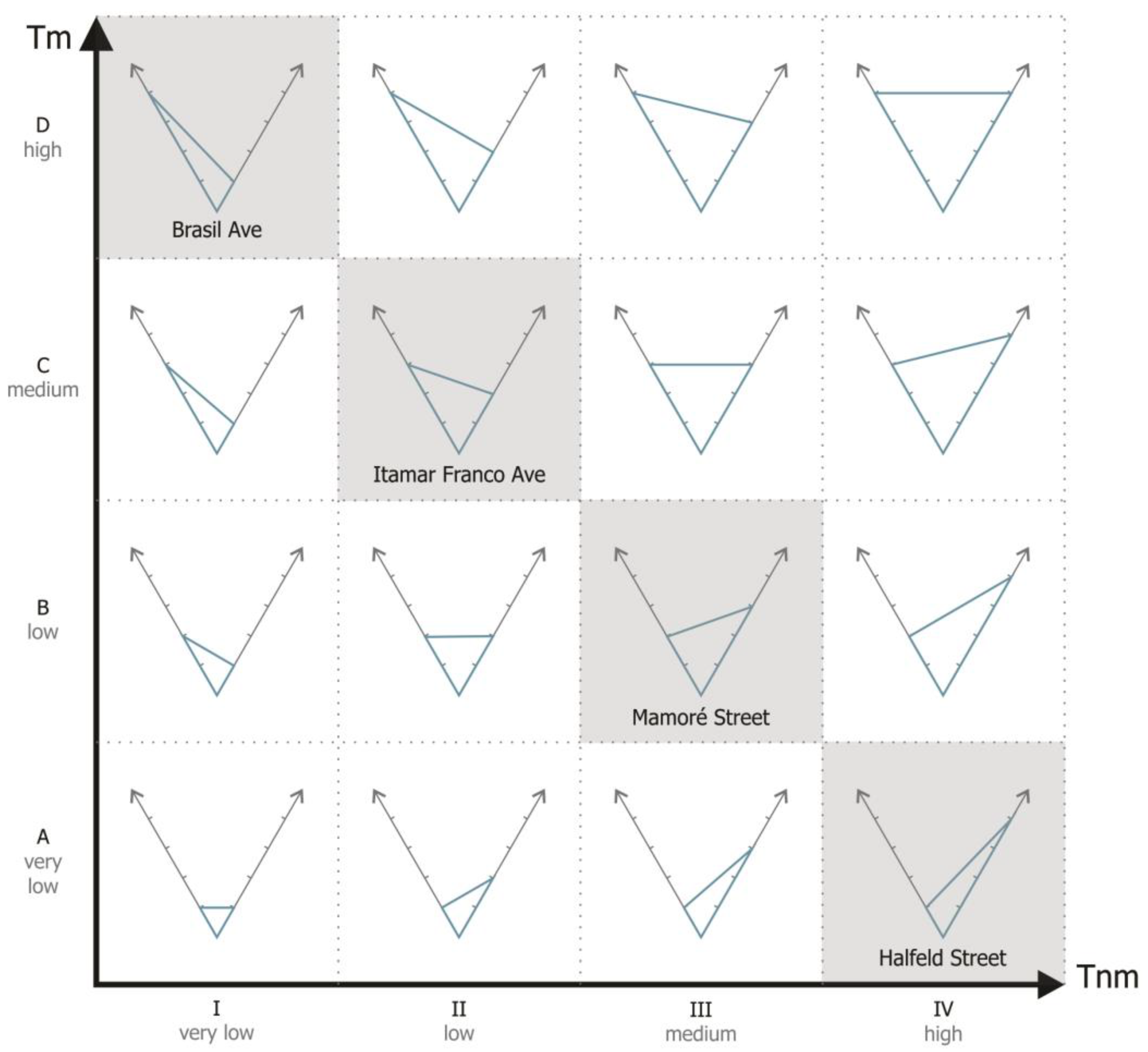
The identification of the analyzed street segments was based on maximizing the exploration of the CSCI matrix (Figure 4). Therefore, streets of different typological natures were selected to address both the movement micro-axis and the place micro-axis, representing the four relevance variations and consequently distinct classified profile graphs: Rua Halfeld, Rua Mamoré, Avenida Itamar Franco, and Avenida Brasil. The first and last are in the city center, and the others are in the São Mateus neighborhood.
For this exploratory study, street segments of approximately 250 meters in length were analyzed, recognizing that a street's purpose, demands, and level of completeness can vary significantly across different sections. The analyzed segment of Halfeld St. (Figure 5), a pedestrian street, runs from Barão do Rio Branco Av. to Batista de Oliveira St. This segment corresponds to a classification of high relevance for non-motorized transport and very low for motorized transport (A-IV). It is a street with a high concentration of commerce and destinations and is exclusively pedestrian, with no priority given to motorized vehicles – essentially a pedestrian street. Thus, for the CSCI calculation, a high target performance is expected for the place micro-axis and a low one for movement.
The second case study, the segment of Rua Mamoré (Figure 5), runs between Rua Professor Freire and Rua Antônio Passarela. In the matrix, this segment is classified as having medium relevance for non-motorized transport and low relevance for motorized transport (B-III), as it is primarily residential, with few destinations and low vehicle traffic. For the CSCI calculation, a medium-low target performance is expected for all movement micro-axes and medium-high for place.
The third case study analyzes Itamar Franco Av. (Figure 5), specifically the segment running parallel to Mamoré St., between Professor Freire St. and Antônio Passarela St. This segment is classified in the matrix as having low relevance for non-motorized transport and medium relevance for motorized transport (C-II). It includes commercial and residential areas but experiences heavy vehicle traffic. For the CSCI calculation, a medium-high target performance is expected for movement micro-axes and medium-low for place.
Finally, at the opposite end of the matrix, the analyzed segment of Brasil Av. (Figure 5) runs between Kaicher Av. and Halfeld St. In the matrix, this segment is classified as having a very low relevance for non-motorized transport and high relevance for motorized transport (D-I), as it has low residential density, few destinations, and high vehicle speed, making motorized transport the priority. For the CSCI calculation, a high target performance is expected for the movement micro-axis and a low for the place function.

4.2. Auditing the Street Segments

The data collection for the audit took place on weekdays, Thursday and Friday, in the morning, with hot weather and no precipitation at the time of data collection. Each survey had an average duration of 30 minutes spent by the researcher on site. The pre-established indicators were collected through primary data (on-site) and secondary sources such as Google Street View and Google Maps. Different tools and techniques were used to capture the data for each indicator (Table 2).
Four sections of different classifications in the matrix were analyzed. In the analyzed section of Halfeld St. (A-IV), an intense flow of people was observed, around 70 per minute at one point, representing a potential flow of 4,200 people per hour. The sidewalk sizing, in this case, the pedestrianized area, was suitable for such an intense flow of people, with a ratio of 5 pedestrians per linear meter, considering the sidewalk width, according to indicators in the literature.
As for public transport access, it is located in the corridor of Barão do Rio Branco Av, a street perpendicular to Halfeld St., approximately 300m from the center of the analyzed section. For the adopted indicators, this distance is considered adequate from the standpoint of mobility and walkability. Halfeld St. is located in a heavily commercial area, the central region of Juiz de Fora, and therefore has many permeable facades, including galleries characteristic of the city's center. On the other hand, there was an imbalance for the mixed-use indicator, accentuated by the street's predominant commercial character.
The movement indicators could not be effectively applied since the section of Halfeld St. analyzed is exclusively for pedestrian traffic, with motorized traffic wholly restricted. Only the proximity to parking could be explored. Thus, for the movement indicators, the computed score was relatively low (Table 3).
In the section of Mamoré St. (B-III), the pedestrian flow is low, about two people per minute, mostly made up of residents. For this flow, the sidewalk sizing is adequate. As for the distance to public transport, there are two nearby points, in parallel streets, Itamar Franco Av. and São Mateus St., 130m and 270m away from the centrality of the section, respectively, thus achieving a good score on this indicator. Mamoré St. is predominantly residential, which results in few permeable facades and an imbalance in land use, leading to a low score in these indicators.
Regarding movement function indicators, the section of Mamoré St. has a speed limit of 40km/h, with a moderate to low vehicle flow, just under 500 vehicles per hour, not scoring in this indicator. The street's capacity is one lane in each direction, and parking is available on one side of the street (Table 3).
The pedestrian flow was low on Itamar Franco Av. (C-II), averaging 5.66 people per minute. For this flow, the sidewalk's 2.10-meter width was adequate. Regarding the distance to public transport, the point is about 70m from the centrality of the section, thus achieving a good score on this indicator. Itamar Franco Av. balances commercial and residential uses well, resulting in a significant presence of permeable facades. However, mixed-use is imbalanced, with residential being the predominant use.
For movement indicators, the Itamar Franco Av. section has a speed limit of 60km/h, with moderate to high vehicle flow, totaling about 1,740 vehicles per hour. The road's capacity is two lanes in each direction, and there are no parking spaces on the street, only on the sidewalk in building setbacks (Table 3).
Finally, on Brasil Av. (A-I), the pedestrian flow is low, with an average of 5.66 people per minute. For this flow, the sidewalk's sizing is adequate. Regarding the distance to public transport, the point is located in the analyzed section, about 90m from its center, thus achieving a good score on this indicator. The Brasil Av. has an imbalanced relationship between uses, with more institutional and commercial uses, resulting in few permeable facades and a low mixed-use rate.
Regarding movement function indicators, the section of Brasil Av. has a speed limit of 40km/h, with intense vehicle flow, totaling around 2,500 vehicles per hour. The road's capacity is three lanes in each direction, and there are parking spaces on the street (Table 3).

4.3. Results

The assessment of deficiencies in each microsection preceded the CSCI formula used for the index calculation. The results and findings are shown in Table 4.
Following data collection and the computation of scores for each function—place and movement—the audited profile graph for each street was generated. The classified and audited graphs were then overlaid (Figure 6). This overlay allows for a visual comparison, illustrating the extent to which the audited profile graph filled the classified profile graph. The area covered in the overlay corresponds to the CSCI value.

5. Discussion

Based on the results found, Halfeld St. achieved an index of 91, equivalent to an optimal level of completeness, despite scoring low on the movement function. This demonstrates the need to use different "scales" for different contexts – streets with distinct characteristics should be addressed to reflect their unique nature. In other words, understanding the street's vocation is essential for classifying and evaluating its particularities using the Complete Streets Completeness Index.
On the other hand, Mamoré St. achieved a CSCI score of 88.87, indicating a good level of completeness. It performed below expectations in the place microsection but above expectations in the movement microsection, showing that in the CSCI assessment, the functions are evaluated separately. One function does not necessarily compensate for the other in terms of performance; each has its targets and evaluation indicators.
In the case of Itamar Franco Av., the CSCI score was 96.16, indicating an optimal level of completeness. The studied section performed significantly better in the place microsection than expected, suggesting that the classified profile graph might have been more stringent or that the street segment adequately meets its respective demands.
Finally, Brasil Av. achieved a CSCI score of 88.5, corresponding to a good level of completeness, similar to Itamar Franco Av. This section scored higher in the place microsection than the classified profile, which could indicate an underestimated classification or an underappreciated potential of the street segment in the area's planning. In other words, while both Brasil Av. and Itamar Franco Av. had good completeness scores, this does not mean that the analyzed street segments cannot – or should not – undergo changes to address weaknesses or further enhance the positive aspects identified in the completeness assessment.
Thus, the proposed index contributes to urban planning tasks by classifying and evaluating the performance of streets, which serve multiple functions and require tools that systematize and organize information to assist in decision-making – such as the Complete Streets Completeness Index.

5. Conclusions

The breadth and subjectivity of the concept of Complete Streets suggest the need for a performance evaluation system that is flexible, objective, and quantitative while also allowing for the integration of qualitative analyses and subjective information. Recognizing this need led to the Complete Streets Completeness Index (CSCI) proposal.
Regarding the application of the index, in general, the results found in the experiment, while preliminary measurements align with the empirical reading of the street segments analyzed beforehand. These results suggest the appropriateness and potential of using the index for diagnostics and evaluating the completeness of streets. In this format, with the adopted index application and urban scope, it is more straightforward to identify the limitations and potential the index holds as a supportive tool for urban planning and design.
In this context, the method proposed for applying the CSCI places greater importance, at this stage, on testing the range of possible results rather than on the smaller components it consists of. This is because the study represents an exploratory survey of the data, indicators, and attributes. It is also worth noting that the validation of the index still needs to be addressed in future research developments. The framework adopted in the index structure allows it to be understood as an open evaluation system. It can incorporate other microsections for analysis and, consequently, other unaddressed attributes that may be explored in future work, adapting to the research context.
The construction of the CSCI, and more specifically, the selection of the indicators used, leads to a somewhat localized perception. In other words, including indicators that cover metrics related to the surroundings of the street under evaluation could help mitigate this bias. Therefore, another potential development for the CSCI is incorporating the analysis of the entire road network, not just individual segments. This would allow the index to account for the impact on the immediate area and its surrounding environment, which is not currently included in its scope. To enable this network-wide analysis of streets, the use of geoprocessing tools (GIS), combined with parametric modeling tools (e.g., Rhinoceros and Grasshopper), shows significant potential as an alternative for data collection, information management, and CSCI calculation for large-scale areas, also allowing for the creation of urban scenarios.
We hope that the contributions of this work, the systematization of the theoretical framework, and the proposed discussion will be relevant to the field of urban planning. This research expands the scope of studies on the concept of Complete Streets, can support the teaching of architecture and urbanism that incorporates the principles outlined here, and encourage the implementation of these principles in urban projects, ultimately contributing to the development of more sustainable cities and streets that are more accessible, safer, and equitable.

Author Contributions

Conceptualization, A. A. R. and F. L.; Methodology, A. A. R. and F. L.; Data curation A. A. R..; Writing—original draft preparation, A. A. R..; Writing—review and editing, A. A. R.. and F. L. All authors have read and agreed to the published version of the manuscript.

Funding

This research was funded by the Brazilian Coordination for the Improvement of Higher Education Personnel – Brazil (CAPES) – Financing Code 001.

Acknowledgments

The authors thank the Federal University of Juiz de Fora and the O'More College of Architecture and Design at Belmont University for their infrastructure and resources, providing an environment conducive to intellectual growth and pursuing knowledge, fostering the development of this article and the ideas presented.

Conflicts of Interest

The authors declare no conflicts of interest.

References

  1. Urry, J. Inhabiting the Car. Sociol. Rev. 2006, 54, 17–31. [CrossRef]
  2. Rodriguez-Valencia, A. Urban Right-of-Way Allocation Problem: Considering All Demands.; 2014.
  3. Appleyard, D. Livable Streets: Protected Neighborhoods? Ann. Am. Acad. Pol. Soc. Sci. 1980, 451, 106–117.
  4. Jacobs, J. The Death and Life of Great American Cities; Reissue edition.; Vintage: New York, 1992; ISBN 978-0-679-74195-4.
  5. Gehl, J. Cities for People; Island Press: Washington, DC, 2010.
  6. Al-Mosaind, M. Applying Complete Streets Concept in Riyadh, Saudi Arabia: Opportunities and Challenges. Urban Plan. Transp. Res. 2018, 6, 129–147. [CrossRef]
  7. McCann, B. PERSPECTIVES FROM THE FIELD: Complete Streets and Sustainability. Environ. Pract. 2011, 13, 63–64. [CrossRef]
  8. Lydon, M.; Garcia, A.; Duany, A. Tactical Urbanism: Short-Term Action for Long-Term Change; Island Press: Washington, DC, 2015; ISBN 978-1-61091-526-7.
  9. LaPlante, J.; McCann, B. Complete Streets: We Can Get There from Here. World Transit Res. 2008.
  10. Sousa, L.R.; Rosales, J. Contextually Complete Streets. 2012, 94–106. [CrossRef]
  11. Litman, T. The Value of Designing Roads For Diverse Modes, Users and Activities.
  12. Hui, N.; Saxe, S.; Roorda, M.; Hess, P.; Miller, E.J. Measuring the Completeness of Complete Streets. Transp. Rev. 2018, 38, 73–95. [CrossRef]
  13. Jones, P.; Boujenko, N.' Link' and 'Place': A New Approach to Street Planning and Design.; September 2009; Vol. 32.
  14. Karndachuruk, A.; Wilson, D.; Dunn, R. Evaluating Shared Spaces: Methodological Framework and Performance Network. Road Transp. Res. 2013, 22.
  15. Marshall, S. Streets and Patterns; Routledge, 2004.
  16. Kingsbury, K.T.; Lowry, M.B.; Dixon, M.P. What Makes a "Complete Street" Complete?: A Robust Definition, Given Context and Public Input. Transp. Res. Rec. 2011, 2245, 103–110. [CrossRef]
  17. ITDP Brazil Índice de Caminhabilidade Versão 2.0 – Ferramenta - ITDP Brasil Available online: https://itdpbrasil.org/icam2/. https://itdpbrasil.org/icam2/ (accessed on 25 October 2024).
  18. van den Hoek, J. The MXI (Mixed-Use Index) as Tool for Urban Planning and Analysis. Corp. Cities Envisioning Corp. Real Estate Urban Future 2008, 1–15.
  19. Lima, F. Urban metrics: (para)metric system for analysis and optimization of urban configurations. Ph. D. thesis, Federal University of Rio de Janeiro: Rio de Janeiro, 2017.
  20. Lima, F.; Montenegro, N.; Paraizo, R.; Kós, J. Urbanmetrics: An Algorithmic-(Para)Metric Methodology for Analysis and Optimization of Urban Configurations. In Planning Support Science for Smarter Urban Futures; Geertman, S., Allan, A., Pettit, C., Stillwell, J., Eds.; Lecture Notes in Geoinformation and Cartography; Springer International Publishing: Cham, 2017; pp. 47–64 ISBN 978-3-319-57819-4.
  21. DEPARTAMENTO NACIONAL DE INFRAESTUTURA DE TRANSPORTES MANUAL DE PROJETO GEOMÉTRICO DE TRAVESSIAS URBANAS; BRAZILIAN GOVERMENT, 2010.
  22. Highway Capacity Manual; National Research Council (U.S.), Ed.; Transportation Research Board, National Research Council: Washington, D.C, 2000; ISBN 978-0-309-06681-5.
  23. Brazilian Census 2022 Available online: https://cidades.ibge.gov.br/brasil/mg/juiz-de-fora/panorama (accessed on 15 November 2024).
Figure 1. Application Logic of the Matrix. Source: The Authors. Selecting a profile within the matrix can serve two objectives in the analysis: (i) diagnosing a street based on its current characteristics or (ii) indicating a desired change in a street's characteristics, thereby defining a new target scenario.
Figure 1. Application Logic of the Matrix. Source: The Authors. Selecting a profile within the matrix can serve two objectives in the analysis: (i) diagnosing a street based on its current characteristics or (ii) indicating a desired change in a street's characteristics, thereby defining a new target scenario.
Preprints 141620 g001
Figure 2. Matrix for completeness classification. Source: The Authors. The matrix is structured around two classification macro-axes, resulting in sixteen possible classifications, and two analysis micro-axes, representing the competing functions of the street under review.
Figure 2. Matrix for completeness classification. Source: The Authors. The matrix is structured around two classification macro-axes, resulting in sixteen possible classifications, and two analysis micro-axes, representing the competing functions of the street under review.
Preprints 141620 g002
Figure 3. CSCI Calculation Process. Source: The Authors.
Figure 3. CSCI Calculation Process. Source: The Authors.
Preprints 141620 g003
Figure 4. Classification matrix of the evaluated street segments. Source: The Authors.
Figure 4. Classification matrix of the evaluated street segments. Source: The Authors.
Preprints 141620 g004
Figure 5. Analyzed Street Segments. Source: The Authors.
Figure 5. Analyzed Street Segments. Source: The Authors.
Preprints 141620 g005
Figure 6. Matrix depicting the obtained results and the graphs overlay. Source: The Authors.
Figure 6. Matrix depicting the obtained results and the graphs overlay. Source: The Authors.
Preprints 141620 g006
Table 1. Indicators by function and their parameters to be used in the audit. Source: The Authors.
Table 1. Indicators by function and their parameters to be used in the audit. Source: The Authors.
function indicators measurement score references
place sidewalk size free lane (m) + pedestrian flow (min) = 25 pedestrians/min/meter at the narrowest point of the segment.
Being at least 1.50m
(0) not suitable NBR 9050, 2015
WRI, 2017
ITDP, 2018
(3) suitable size
distance to public transport distance from the center of the analyzed segment to the nearest bus stop (0) > 1000m ITDP, 2018
Gehl, 2015
(1) 751m to 1000m
(2) 501m to 750m
(3) ≤ 500m
permeable facades average number of entrances and pedestrian accesses for every 100m of block frontage (0) none entrance ITDP, 2018
Gehl, 2015
(1) from 1 to 2
(2) from 3 to 4
(3) 5 or more entrances
mixed use area per floor (0) > 80% ITDP, 2018
Lima, 2017
(1) 71% to 80%
(2) 61% to 70%
(3) 50% to 60%
movement permitted speed street classification by hierarchy and/or speed of the section (0) pedestrian street BRASIL, 1997
ITDP, 2018
(1) local - 30km/h
(2) collector - 40km/h
(3) arterial - 60km/h
(4) rapid transit - 80km/h
flow rate on-site counting of the number of vehicles. Measured in vehicles/hour (veic/h/lane) (0) ≤ 400 TRB, 2000
DNIT, 2010
(1) 401 to 800
(2) 801 to 1200
(3) > 1200
street capacity number of traffic lanes per direction. (0) none TRB, 2000
DNIT, 2010
(1) 1
(2) 2
(3) 3 or more lanes
movement parking distance from the center of the analyzed segment to the nearest parking lot (public/private) (0) > 750m
(1) 501m to 750m
(2) 250m to 500m
(3) < 250m
Table 2. Techniques and tools used in data collection. Source: The Authors.
Table 2. Techniques and tools used in data collection. Source: The Authors.
function indicators techniques and tools measurement
place sidewalk size on-site with a tape measure and/or footfall counting; and pedestrian counting with recorded videos (2 to 3 videos) lasting 1 to 2 minutes. the flow of people per hour
distance to public transport on-site location and measurement of the walkable distance, with the help of Google Maps, from the center of the analyzed segment to the closest point. walking distance in meters
permeable facades on-site counting average of entrances and accesses per 100m
mixed-use counting floors and uses with the help of Google Street View; and calculating of the MXI (Mixed Use Index) with the help of CityMetrics (Lima, 2017) area in relation to the whole (%)
movement permitted speed on-site observation of traffic signs on the stretch km/h
flow rate counting with the help of videos recorded on site lasting 1 to 3 minutes, in 2 to 3 different places, obtaining the average number of vehicles/h on the stretch vehicle/hour/lane
street capacity on-site observation of the number of lanes per direction on the stretch number of lanes
parking on-site observation of the number of available spaces on the road or in the building's setback; and in the surrounding area with the help of Google Maps. walking distance in meters
Table 3. Scoreboard of the streets under evaluation. Source: The Authors.
Table 3. Scoreboard of the streets under evaluation. Source: The Authors.
Score
function indicators Halfeld Street Mamoré Street Itamar Franco Ave Brasil Ave
place sidewalk size 3 3 3 3
distance to public transport 3 3 3 3
permeable facades 3 1 3 3
mixed-use 2 0 2 2
movement permitted speed 0 2 3 2
flow rate 0 1 1 2
street capacity 0 1 2 3
parking 3 3 3 3
Table 4. Data used for the calculation of the CSCI of the streets. Source: The Authors.
Table 4. Data used for the calculation of the CSCI of the streets. Source: The Authors.
Score
function indicators Halfeld Street Mamoré Street Itamar Franco Ave Brasil Ave
place sidewalk size 3 3 3 3
distance to public transport 3 3 3 3
permeable facades 3 1 3 3
mixed use 2 0 2 2
movement permitted speed 0 2 3 2
flow rate 0 1 1 2
street capacity 0 1 2 3
parking 3 3 3 3
Disclaimer/Publisher’s Note: The statements, opinions and data contained in all publications are solely those of the individual author(s) and contributor(s) and not of MDPI and/or the editor(s). MDPI and/or the editor(s) disclaim responsibility for any injury to people or property resulting from any ideas, methods, instructions or products referred to in the content.
Copyright: This open access article is published under a Creative Commons CC BY 4.0 license, which permit the free download, distribution, and reuse, provided that the author and preprint are cited in any reuse.
Prerpints.org logo

Preprints.org is a free preprint server supported by MDPI in Basel, Switzerland.

Subscribe

Disclaimer

Terms of Use

Privacy Policy

Privacy Settings

© 2026 MDPI (Basel, Switzerland) unless otherwise stated