Preprint
Article

This version is not peer-reviewed.

Application of an Ensemble Stationary-based Category-based Scoring Support Vector Regression to Improve Drought Prediction in the Upper Colorado River Basin

A peer-reviewed article of this preprint also exists.

Submitted:

19 November 2024

Posted:

20 November 2024

You are already at the latest version

Abstract
Recent above-normal temperatures, which exacerbated the impacts of precipitation deficits, are recognized as the primary driver of droughts in the Upper Colorado River Basin (UCRB), USA. This research aims to enhance drought prediction models by addressing structural changes in non-stationary temperature time series and minimizing drought misclassification through the ES-CBS-SVR model, which integrates ESSVR (Bazrkar and Chu, 2021) and CBS-SVR (Bazrkar and Chu, 2022). The research investigates whether this coupling improves prediction accuracy. Furthermore, the model's performance will be tested in a region distinct from those originally used, to evaluate its generalizability and effectiveness in forecasting drought conditions. We used a change point detection technique to divide the non-stationary time series into stationary subsets. To minimize the chances of drought mis-categorization, category-based scoring was used in ES-CBS-SVR. In this study, we tested and compared the ES-CBS-SVR and SVR models in the Upper Colorado River Basin (UCRB) using data from the Global Land Data Assimilation System (GLDAS) where the periods 1950-2004 and 2005 – 2014 used for training and testing, respectively. The results indicated that ES-CBS-SVR outperformed SVR consistently across for more the drought indices used in this study in a higher portion of the UCRB. This is mainly attributed to variable hyperparameters (regularization constant and tube size) used in ES-CBS-SVR to deal with structural changes in the data. Overall, our analysis demonstrated that the ES-CBS-SVR can predict drought more accurately than traditional SVR in a warming climate.
Keywords: 
;  ;  ;  ;  ;  

1. Introduction

The Colorado River Basin, the most overallocated in the world, provides water to about 40 million people in the southwest United States and Mexico (Barnett and Pierce 2009) and water for irrigation of 2.2 million hectares of land (Tillman et al. 2022). Despite the critical importance of the basin, the scarce water resources have faced big challenges due to climate change (Woodhouse et al. 2021) and anthropogenic factors (Gray et al. 2011, Barnett and Pierce 2009). Many climate change scenarios involve decreases in the late-summer precipitation and mean annual streamflow (Reynolds et al. 2015) and thus more severe droughts (Harding et al. 1995) and more wildfires in the Upper Colorado River Basin (UCRB) (Arnold et al. 2014). The most extreme low-frequency drought occurred in the mid-1100s, characterized by a decrease in mean annual flow and the absence of high annual flows over six decades (Meko et al. 2007). The drought from 1923 to 2004 is the worst in the recorded period, ranking 6th to 14th in magnitude and 1st to 12th in severity in the past 500 years (Timilsena et al. 2007). The current millennium drought (2000-2022) has an average flow far lower than the historical record (Salehabadi et al. 2022). Thus, it is critical to improve identification, categorization, and prediction of drought in the URB.
Snow, snowpack, and snowmelt play essential roles in the UCRB's hydrologic system. McCabe et al. (2020) demonstrated that winter precipitation deficits are the primary drivers of droughts in the UCRB rather than warm temperature anomalies. Eight drought periods were identified during the 1901–2014 period. The driest drought period spanned 1901–04, whereas the longest drought period occurred between 1943 and 56 (McCabe et al. 2020). Miller et al. (2011) indicated that the timing of the last day of the snow season corresponds well to the volume of runoff observed over the traditional peak flow season (April through July); conversely, the timing of the first day of the snow season does not correspond well to the volume of runoff observed over the peak flow season (Miller et al. 2011). Standardized precipitation and evapotranspiration index (SPEI; Vicente-Serrano et al. 2010) and standardized precipitation index (SPI; McKee et al. 1993) in the UCRB show similar temporal and spatial patterns, but the inclusion of temperatures in SPEI leads to more extreme magnitudes in SPEI than in SPI (Abatan et al. 2017). Thus, it is essential to consider temperature and snow-based drought indices in drought analysis in the UCRB.
Increasing temperatures, combined with moderate precipitation deficits, and soil moisture deficit are causing amplifications in recent droughts. This has resulted in marked increases in warm years with lower flows than expected, given the precipitation received. A simple statistical model of water year streamflow with temperatures increased by 1-4 °C in the UCRB showed reductions in flow and runoff efficiency with each degree of warming (Woodhouse et al. 2016, 2021). Estimates of Colorado River flow sensitivity to temperature, along with climate model-based temperature projections, indicate that continued warming will lead to temperature-induced declines in river flow, ranging from -20% by mid-century to -55% by the end of the century (Udall and Overpeck 2017). The more significant effect of warm-season temperature (April to September) on the variability of UCRB flow suggests that evaporation or snowmelt has driven recent reductions in UCRB flow (McCabe et al. 2017). The model simulations indicate that soil moisture deficits could persist for 12 years or more in the future, and sustained water supplies in parts of the UCRB will be a challenge as the climate continues to warm (Cayan et al. 2010). Soil moisture anomalies were lower than -10 mm in 15 out of 19 drought years (Tang and Piechota 2009).
Drought prediction in the UCRB is of interest to the researchers. Mohsin and Pilz (2021) reported a reliable forecast of the interarrival time of drought by using explicit distribution based on the convolution of stochastic variables derived from the Bivariate Affine-Linear Exponential (BALE) distribution. Madadgar and Moradkhani (2013) used the standardized streamflow index (Modarres 2007) in a multivariate probabilistic framework to forecast spring flow (April–June) as a representative of hydrologic droughts with different severities in the UCRB. The spring flow showed higher correlations with the previous winter (January–March) than with fall (October–December). Two major predictors, teleconnection indices and landscape variables, have been used for drought prediction in the UCRB. Teleconnection-drought relationships are not highly correlated for the UCRB comparing with the southern portion of the Colorado River Basin (Ellis et al. 2009). Conversely, applying landscape variables (e.g., precipitation, percent snow, potential evapotranspiration, soils, and drainage area) for predicting low flow metrics has been more successful (Reynolds et al. 2015).
With the hydroclimatic changes due to climate change and/or variability, the validity of historical stationarity assumptions in the hydroclimatic variables has been increasingly questioned (Murphy and Ellis 2014, Bazrkar and Chu 2021). The drought prediction models are based on the stationarity assumption that the generating process is in equilibrium around an underlying mean and that variance remains constant over time (Murphy and Ellis 2014). Thus, the performances of drought prediction models may not be satisfactory if this stationary assumption is not satisfied (Hao et al. 2018; Brunner et al. 2021). It is critical to consider non-stationarity in drought prediction models (Ju et al. 2021; Mukherjee et al. 2018). Non-stationary and statistically significant increases in temperature time series have been reported in the UCRB. Although Murphy and Ellis (2014) indicated no persistent reduction and non-stationary in precipitation and runoff time series in the UCRB, non-stationary in streamflow over decadal and longer timescales is frequently reported in other studies. Talsma et al. (2022) applied an unsupervised machine learning based on Non-Negative Matrix Factorization using K-means clustering (NMFk) to efficiently identify behavioral changes of drought indicators such as snowpack, snowmelt timing, precipitation, and evapotranspiration across space and time and to quickly analyze and interpret hydro climate model results (Talsma et al. 2022). Significant shifts in peak runoff have been reported in snowmelt-dominant sub-watersheds, with the complete disappearance of the snowmelt signal for some sub-watersheds. This significant non-stationarity makes short-term records inappropriate for most planning and forecast applications with critical implications for the UCRB water resource management (McCabe et al. 2007, Gray et al. 2011).
Change point detection methods have been increasingly used in drought studies to overcome the above-mentioned non-stationarity problem in different models (Ju et al. 2021; Achur et al. 2020; Adarsh and Reddy 2018). Bazrkar and Chu (2021) developed a new ensemble stationary-based support vector regression (ESSVR) method to improve the prediction of droughts in a changing climate. A change point detection technique has been specifically coupled with the widely used SVR to enhance its performance for drought prediction.
Accurate predictions of drought categories are crucial for stakeholders to decide how to prepare for potential droughts. However, using the existing standard performance metrics such as RMSE for training SVR-based drought prediction models potentially leads to the mis-categorization of droughts since such metrics minimize the difference between the actual and predicted values by only accounting for this numerical difference and not categorical discrepancies. Bazrkar and Chu (2022) developed a category-based scoring SVR (CBS-SVR) method compared with the traditional SVR and support vector classification (SVC) since these models share some similarities in their concepts. SVR is a numerical model with the potential for mis-categorization.
The objective of this research is to improve drought prediction in the UCRB by developing an ensemble stationery-based and category-based scoring support vector regression (ES-CBS-SVR), which is a coupled application of ESSVR (Bazrkar and Chu 2021) and CBS-SVR (Bazrkar and Chu 2022). The research explores whether coupling these models enhances drought prediction accuracy. Additionally, the model's effectiveness will be evaluated by applying it to a different region than these models were originally applied to assess its capability in forecasting drought. This paper is organized as follows: Section 2 describes the methodology, algorithm and framework of the ES-CBS-SVR model and evaluation of ES-CBS-SVR. Section 3 provides the results of ES-CBS-SVR and traditional SVR and their comparisons. Section 4 discusses the results. Finally, section 5 presents the conclusions.

2. Methodology

Figure 1 presents the flowchart of the proposed ES-CBS-SVR method, which combines ESSVR (Bazrkar and Chu, 2021) and CBS-SVR (Bazrkar and Chu, 2022) to enhance drought prediction. ESSVR addresses non-stationarity in temperature time series by applying change point detection to divide the data into stationary subsets. SVR models are trained on each subset, and their predictions are weighted to improve accuracy. CBS-SVR introduces a category-based scoring approach to optimize hyperparameters, reducing misclassification. By integrating these models, the study aims to minimize the risk of failure in drought prediction.

2.1. Study Area

The UCRB drains an area of more than 279,720 km2 in seven states (Figure 2) and generates water for 26 million people within the basin states and the adjoining regions. Approximately 64% of the basin is considered arid or semi-arid, with annual precipitation of 370 mm and an average yearly temperature of 6℃ (Miller at al. 2016). Elevation ranges from 900 meters in the southwest to 4,300 meters in the northeast. The UCRB land cover is dominated by rangeland (65%) and evergreen forest (25%). One of the prominent droughts in the UCRB occurred in 2000 and resulted in an accumulative streamflow deficit of 11 km3 or approximately two years of average streamflow (Tang and Piechota 2009). Droughts combined with an increased water supply demand have severely affected the storage of the major reservoirs at the Colorado River Basin (Tang and Piechota 2009). To lessen the effects of drought and increase water storage for use during dry periods, several dams were constructed on the mainstem and tributaries of the Colorado River upstream of Lake Buchanan since the late-1940s. Analysis of flow at the gauge above Lake Buchanan indicated streamflow was significantly reduced during the recent drought (2009–2014), compared with streamflows during the 'drought of record' (1950–1957) (Mix et al. 2016). Temperature also plays a critical role in droughts and wet conditions on Colorado River flows (Woodhouse and Pederson 2018).
On average, 56% of the streamflow in the UCRB originated as base flow, and precipitation was identified as the dominant driver of spatial variability in base flow at the scale of the UCRB, with the majority of base flow discharge to streams occurring in upper elevation watersheds. The model estimates an average of 1.8 × 1010 m3/yr of base flow in the UCRB, greater than 80% of which is lost during in-stream transport to the Lower Colorado River Basin via processes including evapotranspiration and water diversion for irrigation. Millet et al. (2016) indicate that surface waters in the Colorado River Basin are dependent on base flow, and that management approaches that consider groundwater and surface water as joint resources will be needed to effectively manage current and future water resources in the Basin.

2.2. ES-CBS-SVR Model

A fast-approximate window-based change point detection method, window sliding (Truong et al. 2020), is used to split non-stationary time series into multiple stationary time series. SVR is further conducted on each stationary subset of the training data. An initial weight is assigned to the predicted values by SVR on each subset of data, and it is updated by comparison with the actual values and higher weights assigned to those with higher accuracy. Finally, the prediction with the higher weight is selected as the final prediction using category-based scoring.
A fast, approximate window-based change point detection method, window sliding (Truong et al., 2020), is employed to partition non-stationary time series into stationary segments. SVR is applied to each stationary subset, with initial weights assigned to predicted values and updated based on accuracy compared to actual data. Higher weights are given to more accurate predictions, and the final prediction is selected using category-based scoring.
SVR, originally proposed by Vapnik (1995), models relationships between predictors and predictands. Bazrkar and Chu (2021) enhanced it to address non-stationarity in temperature datasets for drought prediction in a warming climate. Hyperparameter tuning, critical to model performance, involves optimizing Cost (C), epsilon (ε), and gamma (G) using grid search cross-validation within each stationary subset. Predictions closest to actual values (based on RMSE) are selected, with an ensemble technique applied to combine outputs.
Traditional SVR uses numerical scoring (e.g., RMSE), but ES-CBS-SVR adopts category-based scoring, reducing misclassification risk. The risk scoring approach (Bazrkar and Chu, 2022) compares actual and predicted categories, selecting the lowest-risk prediction for optimal model performance.

2.3. Drought Identification

The target variables include multivariate, bivariate, and univariate standardized drought indices. The multivariate Hydroclimatic Aggregate Drought Index (HADI) (Bazrkar et al. 2020) is calculated using principal component analysis (PCA) on rainfall, snowmelt, surface runoff, and soil moisture. Bivariate indices, such as SPEI and SMRI, are derived from differences in precipitation-evapotranspiration and the sum of snowmelt and rainfall, respectively. Univariate indices, including SPI, SRI, and SSI, standardize cumulative distribution functions (CDFs) of precipitation, runoff, and soil moisture, using Gringorten plotting positions for consistency with methods by Farahmand and Aghakouchak (2015).

2.4. Drought Categorization

Drought categorization is crucial in this study as it influences SVR hyperparameters and affects drought predictions. Traditional fixed thresholds often fail to capture spatial and temporal variations, prompting the adoption of a Customized Drought Categorization (CDC) proposed by Bazrkar et al. (2020). The CDC employs cell-by-cell analysis and uses joint probability distribution and conditional expectation to determine average drought category probabilities. Variable thresholds are derived through K-means clustering, with categories aligned to Svoboda et al. (2002), ranging from exceptional drought (D4) to exceptional wet conditions (W4). Due to the limited study period, extreme thresholds were predefined at -2 and 2.

2.5. Drought Prediction

To set up the ES-CBS-SVR model for drought prediction, three types of drought indices in monthly time scales are used. The target variables are six drought indices. Depending on the specific drought index that is used as the target variable in the prediction model, different types of predictor(s) are used. Precipitation (P) is a common predictor in all drought indices. Temperature (T) is also used for the prediction of SPEI and SMRI. In addition, actual evapotranspiration (ET) and DFCT are added to the prediction of HADI, SSI, and SRI.
The training and testing periods range from 1950 to 2004 and 2005 to 2014, respectively. The input data for calculating the drought indices and prediction model are obtained from the Global Land Data Assimilation System (GLDAS) (Rodell et al., 2004). The goal of GLDAS is to ingest satellite- and ground-based observational data products, using advanced land surface modeling and data assimilation techniques, to generate optimal fields of land surface states and fluxes (Rodell et al., 2004). The data are globally available at resolutions of 2.5-degrees to 1 km, in near-real time from1948-present simulations. The required data for this study were limited to 2014.
To evaluate the overall (areal average) performances of ES-CBS-SVR and the traditional SVR, we used the Mean absolute error (MAE), the mean square error (MSE), the Root mean square error (RMSE), and the coefficient of determination (R2). These performance metrics were calculated for each model by comparing the predicted and actual (monitored) values. A comparison between two models was further conducted based on these metrics.

3. Results

3.1. Drought Identification and Categorization in the UCRB

SPI, SPEI, SMRI, SRI, SSI, and HADI are based on different hydroclimatic variables. Thus, each index provides information about different types of droughts and their severity (Table 1). The results for SPI in the UCRB show that exceptional droughts occurred in October 1952, September 1953, November 1964, November 1976, June 1978, May 1979, June 1980, and June 2013. The SPEI results indicated that exceptional drought occurred in June 1978, May 1979, June 1980, June 1985, June 1987, July 1993, July 1995, and July 2005. The SMRI and SRI identified similar exceptional drought episodes and covered a significant portion of the UCRB in October 1952, October 1964, and June 2013. The SSI results showed that the exceptional drought occurred in September 1956, August 1960, June 2002, July 2002, August 2002, August 2012, and September 2012. HADI identified October 1972, February 1979, September 1982, April 1993, and May 1995 as exceptional droughts.
Considering the abnormal dry, moderate, severe, extreme, and exceptional drought categories, the droughts were identified in different durations based on each drought index (Figure 3). According to SPI, the most prolonged dry period was six consecutive months, from January to February 2002 and May to June 2002. There were two two-month dry periods with the one-month normal condition between May to June 1974 and August to September 1974. The other long dry periods were identified from October to December 1976 and November 1980 to February 1981. The last relatively long dry period occurred in March 2012 and May to June 2012, with a one-month abnormal dry condition in between. For the SPEI, the most severe and long dry period occurred from April to September 1979. Generally, based on SPEI, long-term droughts were identified in 1952, 1958, 1960, 1962, 1973, 1979, 1988, 1994, 1995, 1997, 1998, 2000, and 2005. According to the results for SMRI, there are relatively long dry periods for SRI comparing with the other drought indices. The 1963-64, 1973, 1976, 1999, 2002, and 2012 were dry years based on the SMRI. The SRI results indicated that 1956, 1974, 2002, and 2012 were dry years with the deficit in runoff and streamflow in the UCRB. Lack of soil moisture, which is reflected in the SSI, was observed in almost a significant portion of 50's decade, including 1950, 1954 to 1956, 1958, 1964, 1974, 1976, 1977, 1989, 1994, 2002, 2003, 2012. The longest and the most severe deficit in soil moisture was associated with 1956 from June to December. The most extended dry period based on the HADI lasted three consequence months from April to June 2002. In this period, all the drought indices except SPEI showed dry conditions. There are some other dry periods that HADI were identified, but since they lasted primarily one month and two months, it was not shown in Figure 4.
Spatial distributions of droughts across the UCRB were also estimated and mapped using the monthly average from 2004 to 2014 (Figure 5 to 7). This period was selected since it was used for testing the prediction model. The driest months were June and November, based on the SPI. The SRI results showed the same months as the driest months through a year plus December, in which droughts cover a significant portion of the UCRB (Northern and central parts). SSI and SPEI showed a more consistent pattern. Based on the SSI results, January is in wet conditions until May. Then, the drought starts covering the basin from the southern part and the entire UCRB in June. July to October remains in the severe dry conditions until November when a change of status to milder drought conditions initiates from the southern parts. Then, the drought evidence started to disappear from the southern part of the UCRB. Based on the SPEI results (Figure 6), December and January are the months with the most extreme wet conditions. The wet condition starts to become milder in February and abnormally dry conditions are appeared in March. The most severe dry condition, which covers the entire UCRB, is observed in June. July and August remain dry. The evidence of abnormally wet conditions initiates in September from south of the UCRB. October, November, and December are moderately wet, severe to extreme wet, and exceptional wet, respectively. Considering the SMRI results (Figure 6), the driest months are November, December, and June. The wettest months are July, August, and September. According to the HADI results (Figure 7), the entire UCRB never is in totally dry or wet conditions with the same severity. There is a mixture of different categories in each month. For instance, the basin is covered with a mix of normal and abnormally dry and moderate drought in January. The wet condition appeared in the southern, central, and northern parts of the UCRB in February, March, and April to June, respectively. The entire UCRB is covered by a normal condition except the southeastern area, which is in abnormally wet to moderate wet conditions in July. In August, the northern part is in abnormally wet condition, and south part is in abnormal to moderate droughts. A major portion of the UCRB is in normal condition in September and October except in the southern part and some other scattered areas. Normal condition covers the whole UCRB in November. Southern UCRB is abnormal to moderate wet conditions, and Central east and northeastern are abnormal to moderate dry conditions in December.
Three major change points were detected in the temperature time series of the UCRB. The early years of the 1950s decade (March and August 1951, November 1952, and February 1954) were the primary time points for the first change points. The end of the 1970s (September 1978 and December 1979) and the beginning of the 1980s (May and October 1980) were detected as the second change points. The third change points were mainly identified at the end of the 1990s (September 1998 and December 1999) and the beginning of the 21st century (May and October 2000 and September 2003). Both the monthly temperature time series and the 12-month moving average show some changes in the statistical properties. Based on these three detected change points, the average temperature values in the four timeslots are 5.88, 6.32, 6.71, and 6.63. The corresponding standard deviations are 8.84, 8.97, 8.8, and 9.04.
Figure 8. The first, second, and third change points of different grids, temperature time series and the 12-month moving average in the UCRB.
Figure 8. The first, second, and third change points of different grids, temperature time series and the 12-month moving average in the UCRB.
Preprints 140179 g008

3.2. Drought Prediction

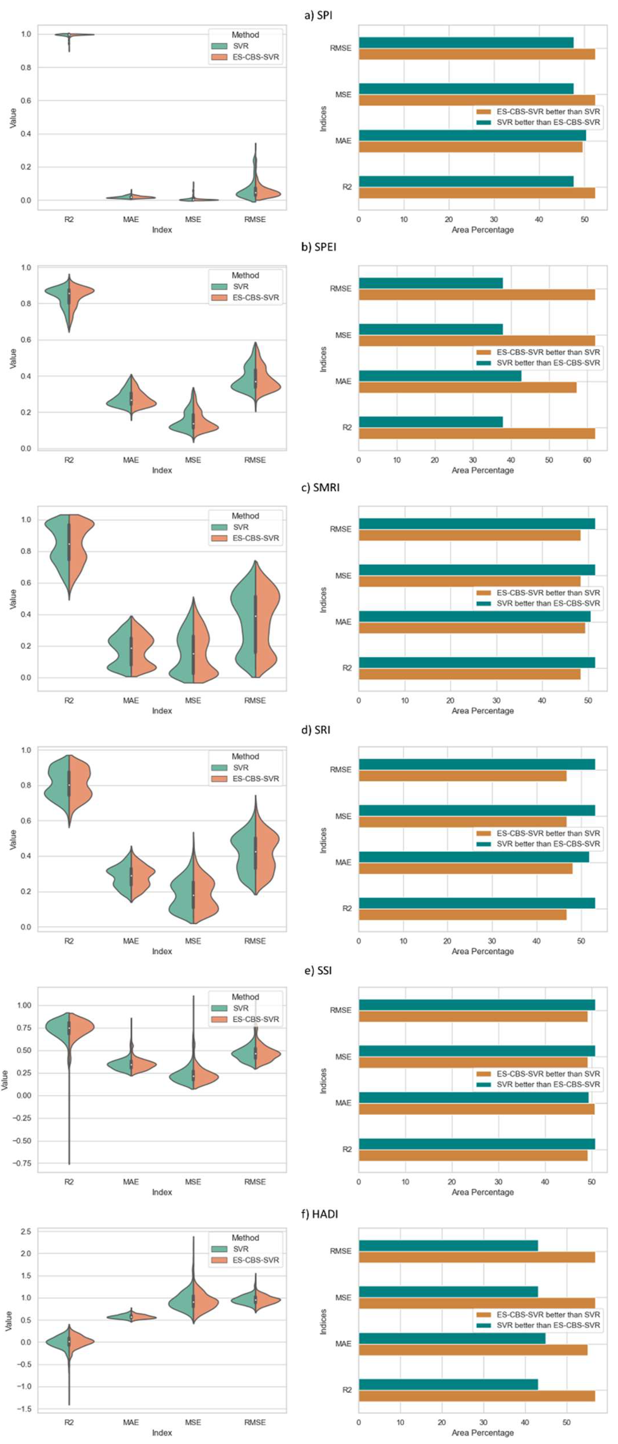
Figure 9 shows the results for comparison of the performances of SVR and ES-CBS-SVR in predicting drought in the UCRB. The violin plot in Figure 9a shows that R2 values are quite similar and close to 1 in both models. However, the R2 for ES-CBS-SVR is more accumulated around 1, demonstrating the best performance. The horizontal bar in the same figure also shows that ES-CBS-SVR performs better than SVR in a higher percentage of the UCRB. MSE and RMSE also showed the same results. However, the performance of SVR is better than ES-CBS-SVR in a slightly higher portion of the UCRB based on the MAE. The SPEI results show the same pattern for both models based on all the performance indicators. This can be interpreted as the similarities (not significant differences) of the performance indicators' values. However, the horizontal bar shows a significantly higher percentage of the UCRB with better performance of the ES-CBS-SVR. Although the differences between performance indicators were not significant according to the violin plots, the differences in the percentage of the area in the performance of the prediction models were substantial. The performance of SVR was better than ES-CBS-SVR for SMRI and SRI. When SSI was used in the prediction models, the ES-CBS-SVR was better than the SVR for all the performance indicators except the MAE. Like SPEI, when the HADI was employed in the prediction models, the performance of the ES-CBS-SVR was better in a significantly higher portion of the UCRB. Therefore, the performance of the ES-CBS-SVR was better in a higher percentage of the UCRB when SPI, SPEI, SSI, and HADI were used.

4. Discussions

The identified droughts based on the SPI, SPEI, SMRI, SRI, SSI, and HADI are similar to the other drought studies (e.g., Woodhouse et al. 2006; Mix et al. 2016). However, unlike Timilsena and Piechota (2008), which demonstrated that the average drought duration in the UCRB was 3–14 years, the most prolonged dry periods lasted less, considering the wet conditions among the dry periods. The SPEI results show that droughts are more prevalent in the warm seasons (May, June, and July) in the UCRB. Droughts are aggravated by enhanced, globally warmed temperatures that reduce spring snowpack and late spring and summer soil moisture (Cayan et al. 2010). The critical role of temperature in the SPEI and thus the impact of temperature on evapotranspiration and water deficit is associated with the common droughts in the warm seasons.
Drought from June to August 2002 is the longest consistent exceptional drought based on SSI. SSI also shows that a two-month exceptional drought occurred between August and September 2012. However, the other drought indices show less consistency for exceptional drought. Since SMRI is related to snowmelt and SPI did not identify any drought, the droughts in 1976, 2002, and 2012 can be classified as snow droughts. Lack of snow or late snowmelt due to later than normal increase in temperature can cause a deficit in water originating from snowmelt.
The results for HADI showed that the most extended dry period was from April to June 2002. Remarkably, it coincides with the sole period in the study period (1950 to 2014) that SPI, SMRI, SRI, and SSI showed extreme drought conditions. The results of Woodhouse et al. (2006) also indicated that this dry period was long and severe. They showed evidence of drought disappearance from the UCRB in the winter of 2004–2005. However, the drought impacts (e.g., abnormally low water level in the major reservoirs on the Colorado River) remained until 2005 (Woodhouse et al. 2006). HADI is estimated based on anomalies in rainfall, snowmelt, runoff, and soil moisture, and this coincidence verifies the accuracy of the HADI index and emphasizes its application case. Thus, HADI can be a good substitute for a combined application of SPI, SMRI, SRI, and SSI.
The results demonstrated a spatial pattern in drought appearance and disappearance. The southern part of the UCRB is the first area affected by drought, and the disappearance of drought is also initiated from this area. Woodhouse et al. (2006) also indicated that the southern portion of the UCRB gained a measure of drought relief in the winter of 2004–2005. The less evident spatial pattern and a mixture of drought categories in the UCRB are associated with the nature of the HADI index, which reflects the anomalies in different hydroclimatic variables.
SMRI reflects the anomalies in immediately available water, which is the sum of rainfall and snowmelt. The dry conditions in the warm seasons (e.g., June) can be associated with a rainfall deficit or high temperature. Since June is one of the driest months based on the SPEI, the relatively high temperature in June can be one of the primary drivers. In contrast, the dry conditions in the cold seasons (November) can be related to the precipitation types in the form of snowfall or, generally, precipitation deficit.
The changes in the statistical properties of the temperature time series confirm the accuracy of the detected change points and the existence of non-stationarity. According to the climatic change scenarios, a shift in the ratio of snowfall to rainfall and earlier snowmelt and runoff (Cayan et al., 2001; Stewart et al., 2004) will likely compound the strain on water resources throughout the entire Colorado River Basin (Woodhouse et al. 2006). Thus, it is crucial to overcome this non-stationarity in drought analyses.
The significantly higher percentage of the UCRB with better performance of the ES-CBS-SVR than SVR using SPEI is associated with the importance of temperature in this index. The ES-CBS-SVR is developed based on the variability/changes in temperature time series. Thus, the performance of the ES-CBS-SVR model was better when the model used SPEI. Unlike other indices, HADI was the same as SPEI. HADI has been accustomed to cold climate regions, and temperature also plays a vital role in this index.

5. Conclusions

Six drought indices, SPI, SPEI, SMRI, SRI, SSI, and HADI, were used to identify droughts in the UCRB. A customized drought categorization was used to consider both spatial and temporal distributions of drought in drought categorization. The non-stationarity issue in a warming climate in drought prediction was removed by developing ES-CBS-SVR. The foundation of ES-CBS-SVR is based on dividing the non-stationary dataset into stationery subsets based on the change points in the temperature time series. The ES-CBS-SVR uses category-based scoring for tuning the hyperparameters.
Droughts are more prevalent in the warm seasons (May, June, and July) in the UCRB based on the SPEI due to the critical role of temperature in SPEI. The dry conditions in June or other months in the warm seasons based on the SMRI can be associated with the deficit of rainfall or high temperature. Other studies also confirmed that increasing temperature in the warming climate plays a prominent role in recent droughts (Xiao et al. 2018). SSI identified the longest consistent, exceptional drought. SPI, SPEI, SMRI, SRI, and HADI show relatively less consistency for exceptional drought. The SMRI identified droughts in 1976, 2002, and 2012 can be classified as snow droughts. HADI identified the most prolonged dry period from April to June 2002. SPI, SMRI, SRI, and SSI showed extreme drought conditions in the same period. Thus, HADI can be a good substitute for a combined application of SPI, SMRI, SRI, and SSI, which reflect anomalies in precipitation, rainfall and snowmelt, runoff, and soil moisture, respectively. A spatial pattern in drought appearance and disappearance was identified in the UCRB, demonstrating the southern part of the UCRB is the initial point of drought.
The existence of non-stationarity in the UCRB was identified in the early years of the 1950s, the end of the 1970s, the beginning of the 1980s, the end of the 1990s, and the beginning of the 21st century. The changes in the statistical properties of the temperature time series confirm the accuracy of the detected change points.
The performance of the ES-CBS-SVR was better in a higher portion of the UCRB when SPI, SPEI, SSI, and HADI were used. The significantly higher percentage of the UCRB with better performance of the ES-CBS-SVR than SVR using SPEI and HADI is associated with the importance of temperature in these indices.
This study covers different types of droughts and six drought indices, SPI, SPEI, SMRI, SRI, SSI, and HADI. SVR was used for drought prediction, as this model was highly suggested in other studies. Thus, the application of other drought indices and other prediction models, such as artificial neural networks and deep learning, can be considered for future studies.

Data Availability

The datasets for this research are available at the GLDAS Noah Land Surface Model L4 3 hourly 0.25 x 0.25 degree V2.1: https://disc.gsfc.nasa.gov/datasets?keywords=GLDAS. The modeling data generated from this study will be available for any interested readers.

Acknowledgments

This project was supported by the Bureau of Land Management (Award #: L17AC00125).

Conflicts of Interest

The authors declare that they have no conflict of interest.

References

  1. Abatan, A. A., Gutowski, W. J., Ammann, C. M., Kaatz, L., Brown, B. G., Buja, L., Bullock, R., Fowler, T., Gilleland, E., Gotway, J. H. (2017). Multiyear droughts and pluvials over the upper Colorado River Basin and associated circulations. Journal of Hydrometeorology, 18(3), 799–818. [CrossRef]
  2. Arnold, J.D. , Brewer, S.C. & Dennison, P.E. Modeling Climate-Fire Connections within the Great Basin and Upper Colorado River Basin, Western United States. fire ecol 10, 64–75 (2014). [CrossRef]
  3. Barnett, T. P., & Pierce, D. W. (2009). Sustainable water deliveries from the Colorado River in a changing climate. Proceedings of the National Academy of Sciences, 106(18), 7334–7338. [CrossRef]
  4. Bazrkar, M. H. and X. Chu. 2022. Development of category-based scoring support vector regression (CBS-SVR) for drought prediction. Journal of Hydroinformatics. [CrossRef]
  5. Bazrkar, M. H. and X., Chu. 2021. Ensemble Stationary-based Support Vector Regression for Drought Prediction under Changing Climate, Journal of Hydrology, Volume 603, Part C, December 2021, 127059. [CrossRef]
  6. Bazrkar, M. H., J. Zhang, and X. Chu. 2020. Hydroclimatic aggregate drought index (HADI): A new approach for identification and categorization of drought in cold climate regions. Stochastic Environmental Research and Risk Assessment, 34(11), 1847-1870. [CrossRef]
  7. Brunner, M. I. , Slater, L., Tallaksen, L.M., Clark, M. (2021). Challenges in modeling and predicting floods and droughts: A review. WIREs Water.; 8:e1520. [CrossRef]
  8. Castle, S. L., B. F. Thomas, J. T. Reager, M. Rodell, S. C. Swenson, and J. S. Famiglietti (2014), Groundwater depletion during drought threatens future water security of the Colorado River Basin, Geophys. Res.Lett.,41,5904–5911. [CrossRef]
  9. Cayan, D. R., Das, T., Pierce, D. W., Barnett, T. P., Tyree, M., & Gershunov, A. (2010). Future dryness in the southwest US and the hydrology of the early 21st Century drought. Proceedings of the National Academy of Sciences, 107(50), 21271–21276. [CrossRef]
  10. Cayan, D. R., S. A. Kammerdiener, M. D. Dettinger, J. M. Caprio, and D. H. Peterson (2001), Changes in the onset of spring in the western United States, Bull. Am. Meteorol. Soc., 82, 399–415.
  11. Ellis, A. W., Goodrich, G. B., & Garfin, G. M. (2009). A hydroclimatic index for examining patterns of drought in the Colorado River Basin. International Journal of Climatology, 30(2), 236–255. [CrossRef]
  12. Gray, S. T. , Jeffrey J. L., and C. A. Woodhouse. (2011). Millennial-Length Records of Streamflow From Three Major Upper Colorado River Tributaries. Journal of the American Water Resources Association (JAWRA) 47(4):702-712. [CrossRef]
  13. Hao, Z. , Singh, V. P., and Xia, Y. (2018). Seasonal Drought Prediction: Advances, Challenges, and Future Prospects. Reviews of Geophysics, 56(1), 108–141. [CrossRef]
  14. Harding, B. L., Sangoyomi, T. B., & Payton, E. A. (1995). Impacts of a severe sustained drought on Colorado Rwer Water Resources. Journal of the American Water Resources Association, 31(5), 815–824. [CrossRef]
  15. Ju, X. , Wang, Y., Wang, D., Singh, V. P., Xu, P., Wu, J., Ma, T., Liu, J., Zhang, j. (2021). A time varying drought identification and frequency analyzation method: A case study of Jinsha River Basin, Journal of Hydrology, 603 (A). [CrossRef]
  16. Madadgar, S, and H. Moradkhani. (2013). A Bayesian Framework for Probabilistic Seasonal Drought Forecasting, Journal of Hydrometeorology 14, 6: 1685-1705. [CrossRef]
  17. McCabe, G. J. , Betancourt, J. L., and Hidalgo, H. G. (2007). Associations of decadal to Multidecadal Sea-surface temperature variability with upper Colorado River flow1. JAWRA Journal of the American Water Resources Association, 43(1), 183–192. [CrossRef]
  18. McCabe, G. J., Wolock, D. M., Pederson, G. T., Woodhouse, C. A., & McAfee, S. (2017). Evidence that recent warming is reducing Upper Colorado River flows. Earth Interactions, 21(10), 1–14. [CrossRef]
  19. McCabe, G. J., Wolock, D. M., Woodhouse, C. A., Pederson, G. T., McAfee, S. A., Gray, S., & Csank, A. (2020). Basinwide Hydroclimatic Drought in the Colorado River Basin, Earth Interactions, 24(2), 1-20. [CrossRef]
  20. McKee, T. B., Doesken, N. J., and Kleist, J. (1993). The relationship of drought frequency and duration to time scales. Paper presented at Proceedings of the 8th Conference on Applied Climatology, American Meteorological Society, Anaheim, USA.
  21. Meko, D. M. , Woodhouse, C. A. (2005). Tree-ring footprint of joint hydrologic drought in Sacramento and Upper Colorado River basins, Western USA. Journal of Hydrology, 308(1-4), 196–213. [CrossRef]
  22. Meko, D. M., Woodhouse, C. A., Baisan, C. A., Knight, T., Lukas, J. J., Hughes, M. K., & Salzer, M. W. (2007). Medieval drought in the upper Colorado River Basin. Geophysical Research Letters, 34(10). [CrossRef]
  23. Miller, W. Paul and Thomas C. Piechota, 2011. Trends in Western U.S. Snowpack and Related Upper Colorado River Basin Streamflow. Journal of the American Water Resources Association (JAWRA) 47(6):1197–1210. [CrossRef]
  24. Mix, K. , Groeger, A. W.; Lopes, V. L. (2016). Impacts of dam construction on streamflows during drought periods in the upper Colorado River Basin, Texas. Lakes & Reservoirs: Science, Policy and Management for Sustainable Use, 21(4), 329–337. [CrossRef]
  25. Modarres, R. (2007). Streamflow drought time series forecasting. Stochastic Environmental Research and Risk Assessment, 21(3), 223– 233. [CrossRef]
  26. Mohsin, M. , Pilz, J. Stochastic model for drought analysis of the Colorado River Basin. Stoch Environ Res Risk Assess 35, 1637–1648 (2021). [CrossRef]
  27. Mukherjee, S. , Mishra A., Trenberth K. E. (2018). Climate Change and Drought: a Perspective on Drought Indices, Current Climate Change Reports, 4:145–163. [CrossRef]
  28. Murphy, K. W., & Ellis, A. W. (2014). An assessment of the stationarity of climate and stream flow in watersheds of the Colorado River Basin. Journal of Hydrology, 509, 454-473. [CrossRef]
  29. Reynolds, L. V., Shafroth, P. B.; LeRoy Poff, N. (2015). Modeled intermittency risk for small streams in the upper Colorado River basin under climate change. Journal of Hydrology, 523, 768–780. [CrossRef]
  30. Rodell, M., P. R. Houser, U. Jambor, J. Gottschalck, K. Mitchell, C.-J. Meng, K. Arsenault, B. Cosgrove, J. Radakovich, M. Bosilovich, J.K. Entin, J.P. Walker, D. Lohmann, and D. Toll. (2004). The Global Land Data Assimilation System, Bull. Amer. Meteor. Soc., 85(3), 381-394.
  31. Salehabadi, H. , Tarboton, D. G., Udall, B., Wheeler, K. G., & Schmidt, J. C. (2022). An assessment of potential severe droughts in the Colorado River Basin. JAWRA Journal of the American Water Resources Association. [CrossRef]
  32. Stewart, I. T., D. R. Cayan, and M. D. Dettinger (2004), Changes in snowmelt runoff timing in western North America under a "business as usual" climate change scenario, Clim. Change, 62, 217–232.
  33. Talsma, C. J., Bennett, K. E., & Vesselinov, V. V. (2022). Characterizing drought behavior in the Colorado River Basin using unsupervised machine learning. Earth and Space Science, 9, e2021EA002086. [CrossRef]
  34. Tang, C., & Piechota, T. C. (2009). Spatial and temporal soil moisture and drought variability in the upper Colorado River Basin. Journal of Hydrology, 379(1-2), 122–135. [CrossRef]
  35. Tillman, Fred D, Natalie K. Day, Matthew P. Miller, Olivia L. Miller, Christine A. Rumsey, Daniel R. Wise, Patrick C. Longley, and Morgan C. McDonnell. 2022. "A Review of Current Capabilities and Science Gaps in Water Supply Data, Modeling, and Trends for Water Availability Assessments in the Upper Colorado River Basin" Water 14, no. 23: 3813. [CrossRef]
  36. Timilsena, J. , Piechota, T. (2008). Regionalization and reconstruction of snow water equivalent in the upper Colorado River Basin. Journal of Hydrology, 352(1-2), 94–106. [CrossRef]
  37. Timilsena, J., Piechota, T. C., Hidalgo, H.; Tootle, G. (2007). Five Hundred Years of hydrological drought in the upper Colorado River Basin. Journal of the American Water Resources Association, 43(3), 798–812. [CrossRef]
  38. Udall, B. and J. Overpeck (2017), Thetwenty-first century Colorado River hot drought and implications for the future, Water Resour. Res.,53, 2404–2418. [CrossRef]
  39. Vicente-Serrano, S. M. , Beguería, S., & López-Moreno, J. I. (2010). A multiscalar drought index sensitive to global warming: The standardized precipitation evapotranspiration index. Journal of Climate, 23(7), 1696– 1718. [CrossRef]
  40. Woodhouse, C. A., & Pederson, G. T.(2018). Investigating runoff efficiency in upper Colorado river streamflow over past centuries. Water Resources Research,54, 286–300. [CrossRef]
  41. Woodhouse, C. A., G. T. Pederson, K. Morino, S. A. McAfee, and G. J. McCabe (2016), Increasing influence of air temperature on upper ColoradoRiver streamflow, Geophys. Res. Lett.,43, 2174–2181. [CrossRef]
  42. Woodhouse, C. A. , Gray, S. T.; Meko, D. M. (2006). Updated streamflow reconstructions for the Upper Colorado River Basin. Water Resources Research, 42(5). [CrossRef]
  43. Woodhouse, C. A. , Smith, R. M., McAfee, S. A., Pederson, G. T., McCabe, G. J., Miller, W. P., Csank, A. (2021). Upper Colorado River Basin 20th century droughts under 21st century warming: Plausible scenarios for the future. Climate Services, 21, 100206. [CrossRef]
  44. Xiao, M., Udall, B., & Lettenmaier, D. P. (2018). On the causes of declining Colorado River streamflows.Water Resources Research,54, 6739–6756. [CrossRef]
Figure 1. Cross-validation process in the ES-CBS-SVR model (adapted from Bazrkar and Chu (2021 and 2022)).
Figure 1. Cross-validation process in the ES-CBS-SVR model (adapted from Bazrkar and Chu (2021 and 2022)).
Preprints 140179 g001
Figure 2. Location of the Upper Colorado River Basin (UCRB).
Figure 2. Location of the Upper Colorado River Basin (UCRB).
Preprints 140179 g002
Figure 3. Drought identification in the UCRB (red and blue color show dry and wet conditions, respectively.).
Figure 3. Drought identification in the UCRB (red and blue color show dry and wet conditions, respectively.).
Preprints 140179 g003
Figure 4. Coincidence of dry years based on SPI, SPEI, SMRI, SRI, SSI, and HADI. Note: The dark and light brown colors show exceptional to abnormal droughts, respectively. The grey color shows normal condition.
Figure 4. Coincidence of dry years based on SPI, SPEI, SMRI, SRI, SSI, and HADI. Note: The dark and light brown colors show exceptional to abnormal droughts, respectively. The grey color shows normal condition.
Preprints 140179 g004
Figure 5. Spatial pattern of drought based on standardized univariate indices (SPI, SRI, and SSI) in the UCRB.
Figure 5. Spatial pattern of drought based on standardized univariate indices (SPI, SRI, and SSI) in the UCRB.
Preprints 140179 g005
Figure 6. Spatial pattern of drought based on standardized bivariate indices (SPEI and SMRI) in the UCRB.
Figure 6. Spatial pattern of drought based on standardized bivariate indices (SPEI and SMRI) in the UCRB.
Preprints 140179 g006
Figure 7. Spatial pattern of drought based on HADI in the UCRB.
Figure 7. Spatial pattern of drought based on HADI in the UCRB.
Preprints 140179 g007
Figure 9. Comparison of the performances of SVR and ES-CBS-SVR for different drought indices.
Figure 9. Comparison of the performances of SVR and ES-CBS-SVR for different drought indices.
Preprints 140179 g009
Table 1. Exceptional droughts based on SPI, SPEI, SMRI, SRI, SSI, and HADI.
Table 1. Exceptional droughts based on SPI, SPEI, SMRI, SRI, SSI, and HADI.
SPI SPEI SMRI SRI SSI HADI
Oct-52 + - + + - -
Sep-53 + - - - - -
Sep-56 - - - - + -
Aug-60 - - - - + -
Oct-64 - - + + - -
Nov-64 + - - - - -
Oct-72 - - - - - +
Nov-76 + - - - - -
Jun-78 + + - - - -
Feb-79 - - - - - +
May-79 + + - - - -
Jun-80 + + - - - -
Sep-82 - - - - - +
Jun-85 - + - - - -
Jun-87 - + - - - -
Apr-93 - - - - - +
Jul-93 - + - - - -
May-95 - - - - - +
Jul-95 - + - - - -
Jun-02 - - - - + -
Jul-02 - - - - + -
Aug-02 - - - - + -
Jul-05 - + - - - -
Aug-12 - - - - + -
Sep-12 - - - - + -
Jun-13 + - + + - -
Note: “+” and “–” refer to occurrence and non-occurrence of drought by the specified drought index, respectively.
Disclaimer/Publisher’s Note: The statements, opinions and data contained in all publications are solely those of the individual author(s) and contributor(s) and not of MDPI and/or the editor(s). MDPI and/or the editor(s) disclaim responsibility for any injury to people or property resulting from any ideas, methods, instructions or products referred to in the content.
Copyright: This open access article is published under a Creative Commons CC BY 4.0 license, which permit the free download, distribution, and reuse, provided that the author and preprint are cited in any reuse.
Prerpints.org logo

Preprints.org is a free preprint server supported by MDPI in Basel, Switzerland.

Subscribe

Disclaimer

Terms of Use

Privacy Policy

Privacy Settings

© 2026 MDPI (Basel, Switzerland) unless otherwise stated