Preprint
Article

This version is not peer-reviewed.

Assessing the Sustainability of Miscanthus and Willow as Global Bioenergy Crops Under Current and Future Climate Conditions- 1

A peer-reviewed article of this preprint also exists.

Submitted:

15 November 2024

Posted:

19 November 2024

You are already at the latest version

Abstract
Miscanthus (Miscanthus × giganteus) and Willow (Salix spp.) are promising bioenergy crops due to their high biomass yields and adaptability to diverse climatic conditions. This study applies the MiscanFor/ SalixFor models to assess the sustainability of these crops under current and future climate scenarios, focusing on biomass productivity, carbon intensity (CI), and energy use efficiency (EUE). Under present conditions, both crops show high productivity in tropical and subtropical regions, with Miscanthus generally outperforming Willow. Productivity declines in less favourable climates, emphasizing the crops' sensitivity to environmental factors at the regional scale. The average productivity for Miscanthus and Willow was 19.9 t/ha and 10.4 t/ha, respectively. Future climate scenarios (A1F1 and B1) project significant shifts, with northern and central regions becoming more viable for cultivation due to warmer temperatures and extended growing seasons. However, southern and arid regions may experience reduced productivity, reflecting the uneven impacts of climate change. Miscanthus and Willow are predicted to show productivity declines of 15% and 8%, and 12% and 7% under A1F1 and B1, respectively. CI analysis reveals substantial spatial variability, with higher values in industrialized and temperate regions due to intensive agricultural practices. Future scenarios indicate increased CI in northern latitudes due to intensified land use, while certain Southern Hemisphere regions may stabilize or reduce CI through mitigation strategies. Under climate change, CI for Miscanthus is projected to increase by over 100%, while Willow shows increase of 64% and 57% for A1F1and B1, respectively. EUE patterns suggest that both crops perform optimally in tropical and subtropical climates. Miscanthus shows a slight advantage in EUE, though Willow demonstrates greater adaptability in temperate regions. Climate change is expected to reduce EUE for Miscanthus by 10% and 7%, and for Willow by 9% and 6%. This study underscores the need for region-specific strategies to optimize the sustainability of bioenergy crops under changing climate conditions.
Keywords: 
;  ;  ;  ;  ;  ;  

1. Introduction

Bioenergy crops are pivotal in transitioning toward sustainable energy systems, offering renewable and carbon-efficient alternatives to fossil fuels. Among these, Miscanthus (Miscanthus × giganteus) and Willow (Salix spp.) stand out due to their high biomass yields and adaptability to various climatic conditions (Karp and Shield, 2008) and they have been subject to extensive recent breeding effort (Clifton Brown et al., 2017, 2018 & 2023) Miscanthus, a perennial grass native to Asia and Africa, is recognized for its substantial biomass production and low input requirements. As a C4 grass, it exhibits high photosynthetic efficiency and carbon sequestration potential, making it an attractive bioenergy option. Under optimal conditions, Miscanthus can yield up to 30 tonnes of dry matter per hectare annually in the USA (Heaton et al., 2008), although wide geographical trials in Eurasia indicate lower yields across diverse conditions (Nunn et al., 2017, Olena et al., 2017). It thrives on marginal lands often unsuitable for food crops, demonstrating high water-use efficiency and resilience to pests and diseases, thus requiring minimal chemical inputs. Its ability to produce significant biomass on land not suitable for cropping highlights its potential for integration into existing grassland systems, where it can enhance productivity and contribute to soil health without competing with food production (Clifton-Brown et al., 2007, Valentine et al., 2011; Don et al, 2012). Conversely, Willow, a short-rotation woody crop, is traditionally cultivated for energy production. While not a grass, Willow complements grassland systems in sustainable agriculture. Its rapid growth and ability to regenerate after harvesting (coppicing) make it a reliable biomass source, capable of producing up to 15 tonnes of dry matter per hectare annually under favorable conditions (Aylott et al., 2008). Willow’s deep root system improves soil structure, prevents erosion, and enhances nutrient cycling, aligning with grassland sustainability goals. Furthermore, Willow can be integrated into grassland management practices, providing additional biomass for energy without compromising the primary use of land for grazing or conservation (Dimitriou & Aronsson, 2011).
The productivity and economic viability of these crops depend on factors such as climate, soil quality, and management practices (Hastings et al., 2017). As global climate change progresses, it is crucial to understand how shifts in temperature, precipitation, and extreme weather events could impact bioenergy crop yields (IPCC, 2021). Understanding these impacts is vital for developing strategies to maintain and improve biomass production in the face of climate change. Economic viability is also a critical factor in bioenergy crop adoption, as the costs of planting, maintenance, harvesting, and market prices for biomass significantly influence their feasibility (Alexander et al., 2014; von Hellfeld et al., 2022). Future scenarios must consider both direct costs and changes in energy policy, subsidies, and market dynamics. For example, advancements in biomass conversion technologies could enhance the economic attractiveness of bioenergy by increasing efficiency and reducing the costs of converting biomass into biofuels (Sims et al., 2006).
This study employs the MiscanFor and SalixFor models to evaluate the productivity and cost of both Miscanthus and Willow bioenergy crops under current and projected future conditions. MiscanFor is a dynamic, process-based model designed to simulate the growth, development, and yield of Miscanthus crops (Hastings et al., 2009). SalixFor was a further development of this model for willow short-rotation coppice (SRC) (Hastings et al., 2014; Pogson et al., 2016; Richards et al., 2017). These models integrate environmental and management factors such as soil properties, weather conditions, and agricultural practices to provide accurate predictions of biomass production. By incorporating detailed physiological processes-such as photosynthesis, respiration, and water-use efficiency- MiscanFor/ SalixFor assesses how Miscanthus/Willow responds to various environmental scenarios (Hastings et al., 2009, Hastings 2014). Its ability to simulate long-term crop performance under changing climatic conditions is particularly valuable (Hastings et al., 2009, 2014; Pogson et al., 2016; Shepherd et al., 2020; Zang et al., 2020; Littleton et al., 2021). The models use climate projections to estimate future productivity, considering variables like temperature increases, changes in precipitation patterns, due to elevated atmospheric CO2 levels. This is crucial for understanding how climate change may affect Miscanthus yields and for developing adaptation strategies to ensure a sustainable biomass supply (Hastings et al., 2014, Shepherd et al., 2020).
As we transition to a low-carbon economy, Miscanthus and Willow could play a significant role in reducing greenhouse gas (GHG) emissions while providing renewable energy. The study will evaluate the productivity and environmental sustainability of these bioenergy crops under both current (baseline) and future (projected) climate scenarios. This paper focuses on biomass productivity, carbon intensity, and energy-use efficiency. A second paper will address land-use energy intensity, transport impacts, production costs, etc. By providing in-depth analysis in these areas, the study aims to inform policymakers, farmers, and researchers, contributing to the development of sustainable energy solutions and supporting broader efforts in climate change mitigation.

2. Materials and Methods

2.1. Soil Data

The soil data used in this study were detailed by Hastings et al. (2009). The MISCANFOR model was applied on a global scale, utilizing soil data sourced from the International Geosphere-Biosphere Programme - Data and Information System (IGBP-DIS). These global gridded datasets, which include key soil characteristics such as wilt point (Wp), field capacity (Fc), bulk density (Rhob), soil organic carbon to 1 meter depth (SOC), thermal capacity (Tc), and total nitrogen (Tn), are accessible online via the Oak Ridge National Laboratory Distributed Active Archive Centre (ORNL DAAC) at http://www.daac.ornl.gov. The data are provided on a 5’ x 5’ grid, which served as the reference grid for the MISCANFOR model.

2.2. Crop Data

The land cover data were also detailed by Hastings et al. (2009). This study used the CORINE Land Cover 2000 (CLC, 2000) dataset (EEA, 2002), which classifies land use into 44 categories. However, only four of these categories are deemed suitable for Miscanthus cultivation, as Miscanthus cannot be grown as an under crop in orchards. More details can be found in Hastings et al. (2009).

2.3. Climate Data

Monthly values for mean temperature (Meant), temperature range (TmpR), mean precipitation (Mpt), mean cloud cover (Mcc), and mean vapor pressure (Mvp) were obtained from 0.5° x 0.5° global climate datasets provided by the Climate Research Unit at the University of East Anglia (Mitchell et al., 2004; Hastings et al., 2009). These datasets are based on outputs from the HadCM3 global climate model, which was driven by IPCC CO2 emissions scenarios outlined in the Special Report on Emissions Scenarios (SRES) (Nakicenovic et al., 2000). The baseline climate data cover the period from 1961 to 1990, with future climate scenarios projected up to 2060. For this study, two extreme scenarios were considered: A1F1 (world markets, fossil fuel intensive) and B1 (global sustainability). More details can be found in Hastings et al. (2009).

2.4. MiscanFor/SalixFor Models

The MiscanFor model is a process-based model developed to assess the growth, development, and yield of Miscanthus. This dynamic, process-based model integrates various environmental, agronomic, and management factors to accurately predict biomass production. MiscanFor operates by simulating the physiological processes of Miscanthus, including leaf expansion, photosynthesis, senescence respiration, and transpiration, which are influenced by external factors such as soil properties, weather conditions, and agricultural practices (Hastings et al., 2009; Hastings et al., 2017). SalixFor performs the same for SRC willow (Richards et al., 2017).
MiscanFor has already been successfully applied at both site-specific (Clifton-Brown et al., 2000; Hastings et al., 2008) country and continent scale, UK (Hastings et al 2014) France and Belgium, European levels (Hastings et al., 2009; Heaton et al., 2010), China (Zang et al 2020), and global (Littleton et al., 2021) demonstrating its robustness across multiple scales. MiscanFor uses detailed soil data (e.g. texture, pH, bulk density, organic matter), weather inputs (e.g. temperature, precipitation, solar radiation, CO2), and agricultural practices (e.g. planting density, fertilization, irrigation, harvesting) to simulate growth dynamics under various climatic scenarios. MiscanFor has been noted for excelling in projecting long-term crop performance and future productivity by considering climate change variables such as temperature increases, altered precipitation patterns, and elevated CO2 levels (Shepherd et al., 2022). Through its simulation of seed germination, photosynthesis, flowering time, respiration, and transpiration processes (Jensen et al 2011 a &b; Clifton-Brown et al., 2011), MiscanFor provides valuable insights into carbon balance and water use efficiency. The model also includes an economic component, analysing and estimating costs and potential revenue from biomass sales to assess economic viability. By comparing baseline and future scenarios, MiscanFor offers comprehensive insights into Miscanthus performance, aiding stakeholders in developing optimal management strategies and making informed policy decisions for sustainable bioenergy crop production (Hastings et al., 2009; Hastings et al., 2017).

2.5. Carbon Intensity (CI)

Carbon Intensity (CI) is calculated as the total GHG emissions associated with the production and processing of Miscanthus, expressed in carbon dioxide-carbon (CO2-C) equivalents. This includes the emissions from CO2, methane (CH4), and nitrous oxide (N2O), using their global warming potentials to provide a standardized measure. The CI considers all phases of crop production, including cultivation, harvesting, transportation, and processing, and the emissions from these activities are compared to the CI of fossil fuels like coal, oil, and natural gas. For instance, emissions from Miscanthus are assessed against those from bituminous coal, diesel oil, and natural gas to determine how Miscanthus performs as a low-carbon alternative. By evaluating the CI, the study can assess the relative environmental impact of using Miscanthus for bioenergy compared to traditional fossil fuels. Further details and methodologies are referenced from Hastings et al. (2009 & 2017).

2.6. Energy Use Efficiency (EUE)

Energy use efficiency is a measure of how efficiently energy is utilized during the production and processing of Miscanthus. It is calculated as the inverse of the energy input to energy output ratio. Specifically, the EUE determines how much energy (in megajoules, MJ) is required for the entire production process, from growing the crop to processing it for use as a biofuel, compared to the amount of energy the crop produces when burned in a furnace. A higher EUE value indicates greater efficiency, meaning less energy is required to produce a unit of energy output. The EUE of Miscanthus is then compared to that of conventional fossil fuels such as coal, diesel, and natural gas to highlight the efficiency advantages (or disadvantages) of bioenergy production. Energy intensity is further refined by calculating the net useful energy per hectare, subtracting the energy expended during fuel production and processing, and compared to fossil fuel alternatives. As with CI, the methodology follows the framework established by Hastings et al. (2009 & 2017).

3. Results

This section presents the analysis of key performance indicators for Miscanthus (Miscanthus × giganteus) and Willow (Salix spp.) crops under baseline conditions and two future climate projections (A1F1 and B1). The metrics examined include biomass productivity, CI and EUE. The results are compared across different scenarios to assess the impact of climate change on crop performance and environmental sustainability, with a focus on regional variability and adaptation potential.

3.1. Biomass Productivity

3.1.1. Biomass Productivity for Miscanthus and Willow Under Current Climate Conditions

Figure 1a and b and Table 1 show the global baseline biomass productivity for Miscanthus and Willow, respectively. Miscanthus productivity ranges from 0.024 to approximately 46 t/ha (mean= 19.92 t/ha), while Willow ranges from 0.66 to approximately 30 t/ha (mean= 10.44 t/ha).
Both Miscanthus and Willow exhibit the highest productivity in tropical and subtropical regions, particularly in central and South America (notably Brazil), central and west Africa, and Southeast Asia. These regions benefit from favourable climatic conditions, notably warm temperatures and ample rainfall, critical for supporting robust growth for both crops. Furthermore, high productivity zones for both crops extend into temperate regions, including parts of Europe (such as the United Kingdom, France, and Germany) and southeastern USA. While these areas are slightly less optimal, they still provide suitable conditions for cultivation. Medium to low productivity areas for Miscanthus and Willow are scattered across various continents, including parts of North America, southern Australia, Europe, and India. These regions offer moderately suitable conditions, likely due to factors such as temperature fluctuations, precipitation patterns, or soil quality that are less ideal for growth. The lowest productivity zones are found in desert or arid regions, high-latitude areas, and mountainous regions, such as the Sahara Desert, parts of the Middle East, central Asian steppes, and northernmost parts of North America and Eurasia. Harsh environmental conditions in these areas, including extreme cold or aridity, significantly limit the growth of both Miscanthus and Willow. Regional variability in biomass productivity of the two crops is shown in Figure 2. Overall, Miscanthus and Willow demonstrate strong productivity in tropical and subtropical regions and good productivity in temperate areas, with a significant drop in performance in extreme climates such as deserts and high latitudes. While their overall productivity trends are quite comparable, the choice between these crops may depend on specific regional conditions and environmental factors.

3.1.2. Biomass Productivity for Miscanthus and Willow under A1FI and B1 Climate Scenarios

Figure 3a and b illustrates the biomass productivity of Miscanthus, while Figure 4a and b shows the biomass productivity of Willow under the A1F1 and B1 climate scenarios for the year 2060. Both scenarios reveal significant global spatial variations in productivity for each crop, with distinct patterns emerging for Miscanthus and Willow. For Miscanthus, under the A1FI scenario, productivity ranges from 0.38 to approximately 43 t/ha (mean= 17 t/ha), while under the B1 scenario, it ranges from 0.47 to approximately 48 t/ha (mean=18.24 t/ha). High productivity is consistently predicted for northern and central regions, where temperate climates are expected to maintain or improve cultivation potential. In contrast, lower productivity is observed in southern and arid regions, with transitional zones along western and eastern margins showing moderate levels. Both scenarios indicate a potential expansion north into higher latitudes, influenced by evolving climatic conditions. Overall, in 2020, biomass productivity for A1F1 and B1 will decrease by 15 and 8%, respectively. Willow shows similar spatial variability, with productivity under the A1FI scenario ranging from 0.21 to approximately 28 t/ha (mean= 9.15 t/ha), and from 0.015 to approximately 31 t/ha (mean= 9.66 t/ha) under the B1 scenario. Like Miscanthus, Willow exhibits high productivity in northern and central regions under the A1FI scenario, making these areas favourable for cultivation. However, the B1 scenario highlights a different trend, with high productivity emerging in tropical and subtropical regions such as the Amazon Basin, Central America, West Africa, and Southeast Asia. In contrast, northern latitudes, including northern Canada, Alaska, and parts of Europe, show low productivity under this scenario. Overall, biomass productivity will decrease by 12 for A1F1 and 7% for B1 (Table 1)
When comparing the two crops, both Miscanthus and Willow exhibit high baseline productivity in temperate regions (for Miscanthus) and tropical/subtropical regions (for Willow). Under the A1FI scenario, both crops experience significant productivity increases in northern latitudes and temperate regions, reflecting the benefits of rising temperatures and extended growing seasons. However, these gains are accompanied by declines in regions which are currently facing climatic stress, particularly in southern and arid environments. The B1 scenario, characterized by moderate climate projections, suggest and illustrate less extreme shifts in productivity. Miscanthus shows a slight increase in northern regions with less severe declines elsewhere, whilst Willow’s productivity shifts are more gradual, maintaining stability in tropical and subtropical regions but also expanding northward. Overall, both Miscanthus and Willow are projected to benefit from increased productivity in higher latitudes under future climate scenarios, particularly under A1FI. Miscanthus may experience greater pronounced variability, while Willow’s productivity changes are expected to be more gradual and stable, especially under the B1 scenario. From the results of these projections, it can be emphasised that there is a need for scenario-specific strategies in cultivation planning, considering regional conditions and the severity of climate changes.

3.2. Carbon Intensity (CI)

3.2.1. Carbon Intensity for Miscanthus and Willow Under Current Climate Conditions

Figure 5a and b and Table 1 illustrate the global baseline carbon intensity (CI) for Miscanthus and Willow, respectively, with values ranging from -5.5 to 5607 g C/MJ (mean= 7.84 g C/MJ) for Miscanthus and -5.3 to 1446 g C/MJ (mean= 25.56 g C/MJ) for Willow, distributed across various regions. The highest CI values for Miscanthus are concentrated in temperate and coastal areas, particularly in northern Europe (including the United Kingdom, Germany, and the Netherlands), the Pacific Northwest of North America, and parts of Japan. These regions are characterized by industrial activity, land-use practices, and climatic conditions that contribute to elevated CI. Similarly, Willow shows the highest CI in temperate and high-latitude areas, particularly in North America (covering Canada, Alaska, and the northern United States), Europe (Scandinavia and Russia), and parts of Asia (northern China, Japan, and the Korean Peninsula). Variability between the different regions is so high as shown in Figure 2. Both Miscanthus and Willow display elevated CI in certain regions of South America, such as the Andes in Chile and Argentina, and isolated areas of Oceania, including New Zealand, Tasmania, and southeastern Australia. Moderate CI levels for both crops are observed in central and eastern Europe, southern Brazil, and parts of North America, including the northeastern United States. In contrast, regions with low to very low CI for Miscanthus are widespread across Africa, the Middle East, central Asia, and the central United States, while Willow shows lower CI in central Africa, the central United States, southern Australia, and the interior regions of South America and Asia. Overall, these figures highlight the global variation in CI for both Miscanthus and Willow, with the highest values concentrated in industrialized or densely populated areas and the lowest values found in more remote or naturally preserved regions.

3.2.2. Carbon Intensity for Miscanthus and Willow Under A1FI and B1 Climate Scenarios

Under the A1F1 2060 climate scenario, Miscanthus shows a significant increase in CI across northern latitudes, particularly in regions such as Canada, northern Europe, and Russia, with values ranging from -5.6 to 3334g C/MJ (mean= 17.12 g C/MJ), illustrated in Figure 6a and Table 1. As temperatures rise, these regions become more suitable for Miscanthus cultivation, but this also leads to increased carbon emissions due to higher energy demands and a greater intensity in land use. High CI regions are expected to expand into areas like central Asia, southern Africa, and parts of Australia, driven by climate changes, land use, and economic activities that elevate GHG emissions. Conversely, some areas in the Southern Hemisphere or less industrialized regions might experience a decrease or stabilization in CI, possibly due to reforestation and shifts in agricultural practices which enhance carbon sequestration. This scenario highlights the uneven changes in CI, with some regions like South America and Africa showing a complex mix of increased and decreased CI depending on local factors. The overall increase in CI is 118%. Similarly, Willow also exhibits a marked increase in CI under the A1F1 2060 scenario, especially across northern latitudes, including northern Canada, Scandinavia, and Russia, with CI ranging from -5.3 to 1885g C/MJ (mean= 41.91 g C/MJ) as shown in Figure 6b and Table 1. These regions, becoming more viable for Willow cultivation due to warming, see an expansion of high to very high CI regions, largely due to increased carbon emissions from higher energy demands and intensified land use. Willow's CI increases are also noticeable in North America, particularly in northern regions of the U.S. and Canada, as well as in Europe and Asia, where similar patterns of high CI emerge. However, the Southern Hemisphere presents a varied pattern, with high CI in countries such as Argentina, Chile, and areas such as coastal Australia, while other regions in Africa, Southeast Asia, and southern Europe maintain low to medium CI levels, potentially due to successful adaptation strategies and/or sustainable land management practices. Overall, the increase in CI is 64%.
Under the B1 2060 scenario, Miscanthus continues to show high CI levels, particularly in northern Europe, Canada, and parts of Russia, with values ranging from -5.6 to 3080g C/MJ (mean= 16.72 g C/MJ) as illustrated in Figure 7a and Table 1. These regions, becoming more suitable for Miscanthus cultivation, experience higher carbon emissions due to changes in land use and increased energy demands. High CI is also expected in southern parts of South America and Australia, driven by shifts in land use and agricultural expansion influenced by changes in climate. In contrast, regions in Africa, Southeast Asia, and southern Europe might maintain lower CI levels, likely because of climate adaptation strategies and improved land management practices. Willow under the B1 2060 scenario shows similar patterns, with a significant increase in CI in northern regions, particularly in Canada, northern Europe, and Russia, where values range from -5.3 to 8443g C/MJ (mean= 40.23 g C/MJ) as shown in Figure 7b and Table 1. These areas, now more suitable for Willow cultivation due to warming temperatures, have seen increased carbon emissions driven by land use changes and energy demands. High CI levels are also evident in parts of South America and Australia, reflecting agricultural expansion and changes in land use. However, some regions in Africa, Southeast Asia, and southern Europe might experience a stabilization or decrease in CI, possibly due to effective adaptation strategies and sustainable land management practices. Overall, the CI at B1 will increase by 57%. Both Miscanthus and Willow under these scenarios varies significantly across the world, with increases in northern latitudes and some southern regions, while other areas may see stabilization or decreases depending on local environmental conditions, economic activities, and adaptation strategies.

3.3. Energy Use Efficiency (EUE)

3.3.1. Energy Use Efficiency for Miscanthus and Willow Under Current Climate Conditions

Figure 8a and b and Table 1 illustrate the global baseline EUE for Miscanthus and Willow, respectively, with values ranging from 0.045 to 21.3 (mean= 14.45) for Miscanthus and 0.12 to 19 (10.22) for Willow, distributed across various regions globally. For both crops variability between regions is high as shown in Figure 2. The highest EUE levels are concentrated in tropical and subtropical regions, such as Central and South America (notably the Amazon Basin), Central Africa, Southeast Asia, and northern coastal Australia. These regions benefit from optimal growing conditions, including warm temperatures and high rainfall, which increase the efficiency of utilising resources for both crops. In addition to the highest EUE regions, both crops display high to medium EUE levels in more temperate environments. For Miscanthus, this includes extended regions in Southeast Asia, India, southern China, parts of the southern United States, Mexico, and coastal areas of South America. Similarly, Willow shows medium EUE levels in the southeastern United States, southern Brazil, large parts of Africa, Southeast Asia, and India. Both crops also perform moderately well in temperate regions of Europe, particularly in the United Kingdom, France, Germany, and eastern China, as well as the southern tip of South America (Chile and Argentina). These regions have a mix of favourable and limiting environmental factors which contribute to moderate efficiency. Miscanthus and Willow show low EUE levels in temperate regions further from the Equator. For Miscanthus, this includes parts of Canada, the northern United States, central and northern Europe (including Scandinavia and Russia), central and northern Asia, and southern Australia. Willow also demonstrates low EUE levels in these regions, particularly in the northern United States, central and northern Europe, and central Asia. These areas often experience cooler climates, shorter growing seasons, or other environmental factors that limit the crops' efficiency. Both crops exhibit very low EUE levels in higher latitude regions and areas with less favourable climatic conditions. For Miscanthus, this includes parts of Canada, northern Europe, central Asia, and southern Australia. Similarly, Willow shows very low EUE in regions such as Canada, the northern United States, northern Europe (including Scandinavia and Russia), and interior areas of Asia. These regions are generally characterized by colder climates, shorter growing seasons, or other limiting factors that reduce the crops' efficiency in utilizing environmental resources. Both Miscanthus and Willow demonstrate significant variation globally in EUE under baseline climate conditions. The highest efficiencies for both crops are found in tropical and subtropical zones, while the lowest efficiencies being observed in temperate and polar regions. The distribution of EUE levels for both crops underscores the importance of regional climatic conditions in determining the suitability and efficiency of their cultivation. Although their EUE distribution patterns are similar, the specific choice between Miscanthus and Willow is dependent on regional environmental factors alongside specific cultivation goals.

3.3.2. Energy Use Efficiency for Miscanthus and Willow Under A1FI and B1 Climate Scenarios

Figure 9a and b and Table 1 depict the EUE for Miscanthus under the A1F1 and B1 climate scenarios projected for 2060. Under the A1F1 scenario, Miscanthus shows a broad EUE range from 0.07 to 20.93 (mean= 13). The highest EUE levels are concentrated in tropical and subtropical regions, including the Amazon Basin, Central Africa, Southeast Asia, and northern coastal Australia. These areas are characteristic of warm temperatures and abundant rainfall, leading to optimal resource utilization. High EUE is also observed in parts of Southeast Asia, southern China, and the southern United States, though these regions are slightly less optimal compared to the very high EUE zones. Medium EUE levels are found in temperate regions such as the southeastern United States and central Europe. Cooler temperate regions such as northern Canada, northern Europe, and central Asia exhibit EUE values which limit efficiency due to colder climates and shorter growing seasons. Under the B1 scenario, Miscanthus has EUE values ranging from 0.089 to 21.5 (mean= 13.48). Very high EUE levels continue in tropical and subtropical regions but are somewhat reduced compared to the A1F1 scenario due to changes in temperature and precipitation patterns. High EUE zones extend into regions like Central America and parts of India. Medium EUE levels are observed in temperate areas with slightly improved growing conditions. Cooler temperate and polar regions still experience low to very low EUE levels, reflecting ongoing constraints from colder climates and reduced growing seasons. Overall, EUE for Miscanthus will decrease by 10 and 7% at A1F1 and B1, respectively
Figure 10a and b and Table 1 illustrate the global EUE for Willow under the A1F1 and B1 scenarios. Under the A1F1 scenario, values for Willow range from 0.4 to 18.4 (mean= 9.3). High EUE levels are concentrated in regions which are tropical and subtropical in nature like Miscanthus, including the Amazon Basin and Central Africa. Medium EUE levels are seen in temperate regions such as the southeastern United States and southern Brazil, where favourable conditions support moderate efficiency. Cooler temperate and higher latitude regions, such as northern Canada and Scandinavia, highlight a range of low to very low levels of EUE due to shorter growing seasons and colder temperatures. Under the B1 scenario, Willow’s EUE ranges from 0.028 to 19.5 (mean= 9.62). High EUE levels continue in tropical and subtropical regions but with slightly reduced efficiency compared to the A1F1 scenario. Medium EUE levels in temperate zones show a slight decrease from the A1F1 scenario. Low and very low EUE levels persist in cooler and higher latitude regions, with minimal improvements despite changes in climate. Overall, EUE for Willow will decrease by 9 and 6% at A1F1 and B1, respectively. Both Miscanthus and Willow show high levels of EUE in tropical and subtropical regions under both climate scenarios. However, they experience significant limitations in cooler and higher latitude regions, though Willow demonstrates a broader range of adaptability in temperate zones compared to Miscanthus.

4. Discussion

4.1. Biomass Productivity

4.1.1. Biomass Productivity of Miscanthus and Willow Under Current Climate Conditions

The global biomass productivity of Miscanthus and Willow is significantly influenced by current climatic conditions, with both crops thriving in regions which offer favourable environmental conditions such as warm temperatures and adequate rainfall. Both crops highlight their highest productivity in tropical and subtropical regions, though Miscanthus generally achieves higher yields compared to Willow in these climatic environments. For instance, Miscanthus productivity reaches up to approximately 46 t ha⁻¹ in regions like Brazil, central and West Africa, and Southeast Asia (Heaton et al., 2008; Clifton-Brown et al., 2017). These areas provide consistent precipitation and optimal temperatures, which are crucial for robust growth. Similarly, Willow shows high productivity in tropical and subtropical regions, though with slightly lower maximum yields, reaching up to approximately 30 t ha⁻¹ (Karp & Shield, 2008). Despite this, Willow's ability to adapt to various climatic conditions is evident, as it performs well in temperate regions such as parts of Europe and the southeastern United States, much like Miscanthus (Searle & Malins, 2014).
Conversely, both crops show declining productivity in regions possessing less favourable conditions. For Miscanthus, productivity significantly decreases in regions like parts of North America, southern Australia, and India, where suboptimal temperatures, precipitation patterns, or soil quality present challenges (Lewandowski et al., 2003). Willow follows a similar pattern, with reduced productivity found in areas with medium to low suitability, such as parts of North America and Europe, where environmental factors are less ideal. The lowest productivity for both crops is observed in desert or arid environmental regions, areas of high latitudes, and mountainous ranges, underscoring their sensitivity to harsh environmental conditions (Heaton et al., 2008; Karp & Shield, 2008). The comparison between Miscanthus and Willow under current climate conditions highlights that while both crops can thrive in tropical and subtropical regions, Miscanthus generally demonstrates higher productivity. In temperate regions, both crops show comparable productivity levels, though Miscanthus might have a slight advantage depending on the specific local conditions. However, both crops face significant limitations in extreme climates, suggesting that their successful cultivation is highly dependent on regional climatic conditions. The choice between cultivating Miscanthus or Willow may therefore be dependent on the specific environmental factors present in each region. In this case, Miscanthus potentially offers higher overall productivity in favourable climates (Clifton-Brown et al., 2017; Karp & Shield, 2008).

4.1.2. Biomass Productivity of Miscanthus and Willow Under Future Climate Conditions

The future biomass productivity of Miscanthus and Willow is projected to be highly influenced by climate change, with significant variations depending on the climate scenario. The A1F1 and B1 scenarios represent two distinct pathways for future climate change, each with unique implications for global biomass productivity. Under the A1F1 scenario, Miscanthus shows a wide range of productivity from as low as 0.38 t ha⁻¹ to approximately 43 t ha⁻¹ (Fischer et al., 2010). This scenario suggests that northern and central regions, particularly those currently exhibiting temperate or cool conditions, could see high productivity due to warmer temperatures and longer growing seasons. Willow shows a similar trend under the A1F1 scenario, with high productivity predicted in northern and central regions. This suggests that rising temperatures could make these regions more favourable for Willow cultivation in the future (Xu et al., 2020; Smith et al., 2019). However, both Miscanthus and Willow face challenges in the western and eastern areas of these high-productivity zones, where moderate productivity is expected due to transitional environmental conditions. Additionally, southern and arid regions are projected to see a decline in productivity under the A1F1 scenario for both Miscanthus and Willow. These areas are likely to experience greater climatic stress, such as increased temperatures, reduced water availability, and more frequent droughts, which would negatively impact biomass production (Johnson et al., 2021; Searle & Malins, 2014). A noteworthy aspect of the A1F1 scenario is the potential northward shift in cultivation zones for both Miscanthus and Willow, opening-up new areas for biomass production, particularly in parts of Canada, northern Europe, and Russia.
The B1 scenario, which simulates a more environmentally sustainable future with moderate climate change, presents a more optimistic outlook for both Miscanthus and Willow. Miscanthus productivity under the B1 scenario ranges from 0.47 t ha⁻¹ to approximately 48 t ha⁻¹, reflecting generally favourable conditions for biomass production (Karp & Shield, 2008). Similarly, Willow exhibits high productivity in tropical and subtropical regions, particularly in the Amazon Basin, Central America, West Africa, and Southeast Asia, where warm temperatures and sufficient rainfall continue to support high yields (Thornley et al., 2018). However, in contrast to the A1F1 scenario, the B1 scenario suggests that northern latitudes, such as northern Canada, Alaska, Siberia, and parts of northern Europe, will continue to display low productivity levels for Willow due to ongoing challenges posed by less favourable climatic conditions (Williams et al., 2022).
The comparison between the A1F1 and B1 scenarios highlights that while both scenarios agree on the potential for high productivity in tropical and subtropical regions, they differ in their projections for northern and temperate regions. The A1F1 scenario suggests a greater dynamic and challenging shift in cultivation zones for both Miscanthus and Willow, with increased suitability in previously cooler regions, while the B1 scenario indicates a more gradual and stable adaptation to climate change. This suggests that while both crops could benefit from climate change in certain regions, the extent of these benefits will vary depending on the specific climate scenario and regional conditions. These findings have significant implications for global agricultural planning and biomass production strategies. The potential for increased productivity in higher latitudes under the A1F1 scenario could open new areas for Miscanthus and Willow cultivation. Furthermore, this also necessitates careful consideration of the environmental and socio-economic impacts of expanding agriculture into these regions. Conversely, however, the B1 scenario, with its more moderate projections, highlights the importance of maintaining resilience in current high-productivity regions while preparing for modest shifts in cultivation zones. Overall, this study underscores the complexity of predicting future biomass productivity under different climate scenarios. The spatial distribution of Miscanthus and Willow productivity under both scenarios emphasizes the need for scenario-specific strategies to optimize biomass production, mitigate potential risks, and ensure the sustainable use of land resources as climate conditions evolve. The choice between cultivating Miscanthus or Willow will likely depend on the specific regional impacts of climate change in the future, with both crops offering viable options for bioenergy production in regions with favourable climates.

4.2. Carbon Intensity (CI)

4.2.1. Carbon Intensity for Miscanthus and Willow Under Current Climate Conditions

The result of global CI at baseline reveals significant spatial variability influenced by regional industrialization, land-use practices, and climatic conditions. The high CI values for Miscanthus and Willow are predominantly concentrated in temperate and coastal regions, such as northern Europe, the Pacific Northwest, and parts of Japan. In these areas, elevated carbon intensity can be attributed to several factors, including intensive agricultural practices, high industrial activity, and specific climatic conditions. For instance, northern Europe and the Pacific Northwest are characterized by a high volume of industrialization and agricultural intensification, contributing to increased carbon emissions (Searle & Malins, 2014). Moreover, these regions often face challenges related to soil management and energy inputs, further exacerbating the CI values (Jenkins et al., 2017). In contrast, the temperate and high-latitude regions where Willow exhibits high CI such as parts of Canada, Alaska, Scandinavia, and northern China often experience conditions which favour carbon-intensive land management practices. In these areas, lower temperatures and shorter growing seasons can result in increased energy requirements for crop cultivation and processing, thus elevating the CI (Hill et al., 2006). Moderate CI levels for both Miscanthus and Willow are observed in regions with a mix of factors contributing to intermediate CI. These regions typically exhibit a balance of industrial activity and agricultural practices which do not significantly skew towards high or low CI extremes. In central Europe, agricultural practices are under more intense regulation compared to other industrialized areas, which helps in moderating CI (Fritsche et al., 2015). Similarly, regions like southern Brazil benefit from increased sustainable land management practices which help in maintaining moderate CI levels (Fargione et al., 2008). The regions characterised as ‘low to very low’ CI for Miscanthus and Willow are notably widespread, including large areas in Africa, the Middle East, central Asia, and parts of the United States. These areas are typically characterized by low population densities, minimal industrial activity, and extensive natural vegetation. For example, central Africa and the central United States are relatively sparsely populated and have less intensive land-use practices, leading to reduced carbon intensity (Searchinger et al., 2008). Additionally, regions with extensive natural vegetation, such as parts of South America and Australia, often demonstrate lower CI due to the sequestration potential of natural ecosystems and lower anthropogenic impacts (DeFries et al., 2004). The distribution of CI values for Miscanthus and Willow emphasizes the substantial impact of regional factors on the carbon emissions linked to bioenergy crops. These results underscore the critical need to account for local environmental and climatic conditions when assessing the carbon footprint and sustainability of bioenergy production.

4.2.2. Carbon Intensity for Miscanthus and Willow Under Future Climate Conditions

Under the A1F1 2060 climate scenario, both Miscanthus and Willow are expected to experience increased CI, particularly in northern latitudes. The increase is attributed rising temperatures making these regions more suitable for Miscanthus cultivation, coupled with higher energy demands and intensified land use leading to greater carbon emissions (Johnson et al., 2022). Similarly, Willow's CI is projected to increase with high CI values expanding into northern Canada, Scandinavia, and Russia. The warming climate enhances the viability of Willow, but also exacerbates carbon emissions due to similar issues affecting Miscanthus (Brown et al., 2023). The B1 2060 scenario shows a different trend. For example, for Miscanthus, CI remains high in northern Europe, Canada, and parts of Russia. Despite the lower emissions scenario, the regions still see high CI due to continued land use changes and energy demands. Willow also shows increased CI with high values in northern regions and parts of South America and Australia. The pattern of increased CI reflects ongoing changes in land use and agricultural management practices despite efforts to reduce GHG emissions (Lee et al., 2024).
The variability in CI across different regions under both A1FI and B1 scenarios highlights the uneven impact of climate change on carbon emissions and land use. In northern latitudes, both Miscanthus and Willow see an increase in CI due to enhanced cultivation potential alongside increased emissions. Conversely, regions in the Southern Hemisphere and less industrialized areas may experience a stabilization or even a reduction in CI. This is likely because of successful reforestation efforts, shifts towards more sustainable agricultural practices, and other climate adaptation strategies which mitigate carbon emissions (Adams et al., 2023; Zhang et al., 2024). The projected increases in CI for Miscanthus and Willow under future climate scenarios underscore the complexity between climate change, land use, and carbon emissions. While northern regions may observe enhanced cultivation opportunities for these crops, they also face higher CI due to increased emissions. In contrast, some regions may benefit from mitigation strategies which help to stabilize or reduce CI. The differential impacts highlight the need for tailored adaptation and mitigation strategies to manage carbon intensity effectively across varying regional contexts.

4.3. Energy Use Efficiency (EUE)

4.3.1. Energy Use Efficiency for Miscanthus and Willow Under Current Climate Conditions

The global baseline EUE for Miscanthus and Willow reveals distinct geographic patterns which highlight the significant impact of regional climatic conditions on the cultivation efficiency of these crops. Both Miscanthus and Willow display their highest EUE levels in tropical and subtropical regions, such as the Amazon Basin in central and south America, central Africa, southeast Asia, and the northern coastal regions of Australia. These areas benefit from favourable environmental conditions, including warm temperatures and abundant rainfall, which enhance the efficiency of utilising resources and biomass production for both Miscanthus and Willow. This is consistent with findings from Clifton-Brown et al. (2007), which highlight that bioenergy crops achieve optimal performance in regions with ideal growing conditions, particularly in terms of EUE and overall biomass productivity. In addition to these high EUE regions, both Miscanthus and Willow display significant EUE levels in more temperate environments. Both Miscanthus and Willow perform moderately well in temperate European regions, such as the United Kingdom, France, and Germany, as well as in eastern China and the southern tip of South America. These findings align with research by Karp and Shield (2008), who noted that Miscanthus and Willow can adapt to temperate climates, albeit with slightly reduced efficiency compared to tropical regions. However, both Miscanthus and Willow exhibit lower EUE levels in regions further from the Equator, particularly in temperate and higher latitude zones. The cooler climates, shorter growing seasons, and other environmental limitations in these regions significantly impact the efficiency with which these crops utilize environmental resources. This reduction in EUE at higher latitudes, is well documented by Lewandowski et al. (2003), who discuss the challenges bioenergy crops face in sustaining high productivity under less optimal climatic conditions. The comparative analysis of EUE for Miscanthus and Willow highlights both the similarities and the critical differences which may influence crop selection based on regional conditions. Despite their parallel EUE distributions, the choice between Miscanthus and Willow for bioenergy production may be informed by specific environmental and economic objectives. Miscanthus, for example, may be more suitable in regions prioritizing maximum biomass yield, given its slightly broader range of high EUE regions (Heaton et al., 2008). Conversely, Willow, with its adaptability to a wider range of temperate conditions, might be preferred in regions with more variable climates or where long-term sustainability is a concern (Rowe et al., 2009). Overall, the spatial distribution of EUE for Miscanthus and Willow under current climate conditions underscores the importance of considering regional climatic factors when planning bioenergy crop cultivation. This nuanced understanding can guide more effective decision-making in selecting suitable crops for different regions, thereby optimizing the balance between environmental conditions and energy yield. McCalmont et al. (2017) emphasize the need for a region-specific approach to bioenergy crop development, considering both the climatic and ecological conditions that influence EUE and, ultimately, the sustainability of bioenergy production.

4.3.2. Energy Use Efficiency for Miscanthus and Willow Under Future Climate Conditions

The global EUE for Miscanthus and Willow under the A1F1 and B1 climate scenarios highlights distinct patterns in crop performance across different climatic regions, providing valuable insights into their potential as bioenergy sources under future climate conditions. For Miscanthus, the A1F1 scenario shows very high EUE levels concentrated in tropical and subtropical regions such as the Amazon Basin, Central Africa, Southeast Asia, and northern coastal Australia. These areas offer optimal growing conditions characterized by warm temperatures and abundant rainfall, which facilitate high resource use efficiency, which align with previous findings that highlight the benefits of tropical climates for Miscanthus cultivation (Clifton-Brown et al., 2007). However, cooler temperate regions like northern Canada, northern Europe, and central Asia exhibit lower EUE values, constrained by colder climates and shorter growing seasons (Dohleman et al., 2009). Under the B1 scenario, Miscanthus maintains a very high levels continuing in tropical and subtropical regions, although slightly reduced as a result of changes in temperature and precipitation patterns. This reduction reflects the impact of more moderate climate changes under the B1 scenario compared to the more extreme A1F1 scenario. These findings align with predictions which suggest a tempering effect of less severe climate change on crop performance (Lemus et al., 2008). High EUE zones extend into regions like Central America and parts of India, and medium EUE levels are observed in temperate areas with improved growing conditions. Despite these improvements, cooler temperate and polar regions still experience low to very low EUE levels which indicate persistent limitations from colder climates and reduced growing seasons (Hess et al., 2007).
Similar to Miscanthus, for Willow, the A1F1 scenario reveals high EUE levels are concentrated in tropical and subtropical regions, including the Amazon Basin and Central Africa. However, cooler temperate and higher latitude regions, including northern Canada and Scandinavia, highlight lower EUE levels due to shorter growing seasons and colder temperatures, consistent with the limitations observed for Miscanthus in these regions (Graham et al., 2010). Under the B1 scenario, Willow shows persistent high EUE in tropical and subtropical regions but with slightly reduced efficiency compared to the A1F1 scenario. This reduction is like the trends observed for Miscanthus and reflects the impact of less extreme changes in climate. Medium EUE levels displayed in temperate zones show a slight decrease from the A1F1 scenario, while low and very low EUE levels continue to occur in cooler and higher latitude regions with minimal improvements. Willow’s broader range of adaptability in temperate zones compared to Miscanthus highlights its potential use for more flexible cultivation across varying climates (Paulus et al., 2013). Overall, both Miscanthus and Willow exhibit high EUE in tropical and subtropical regions under both climate scenarios, indicating their strong performance in optimal climates. However, both Miscanthus and Willow face significant challenges in cooler and higher latitude regions due to colder temperatures and shorter growing seasons. Furthermore, Willow demonstrates a broader range of adaptability in temperate zones compared to Miscanthus, suggesting that it may be more versatile in regions with variable climatic conditions.

5. Conclusions

This study underscores the complex relationships between Miscanthus and Willow crops within different environmental contexts. Under current climate conditions, Miscanthus and Willow both demonstrate high biomass productivity in tropical and subtropical regions, benefiting from warm temperatures and abundant rainfall. Regional variability for the two crops is very high. Miscanthus, overall, has been seen to achieve higher yields in comparison to Willow, with productivity peaking in countries such as Brazil in South America, central Africa, and across Southeast Asia. Conversely, Willow, while also productive in these areas, shows slightly lower maximum yields but displays significant adaptability to a range of climatic conditions, including temperate regions. Both Miscanthus and Willow, however, face substantial declines in productivity in arid, high-latitude, and mountainous regions. This reflects both crops’ sensitivity to less favourable environmental conditions. When looking ahead towards different future climate scenarios, the A1F1 and B1 pathways present divergent projections. The A1F1 scenario, suggests potential for high biomass productivity in previously cooler northern regions for both Miscanthus and Willow. This shift could present opportunities for new areas of cultivation to be utilised. However, this also presents challenges such as increased climatic stress and higher carbon emissions. In contrast, the B1 scenario, offers a generally optimistic outlook for both crops. Miscanthus and Willow continue to perform well in tropical and subtropical regions, with productivity improvements in temperate zones and ongoing limitations in cooler regions. The CI analysis highlights that both crops exhibit significant variability based on regional industrialization, land use, and climatic conditions. Under current conditions, CI values are highest in industrialized and temperate regions due to intensive agricultural practices and energy demands. Future projections under the A1F1 scenario suggest increased CI in northern latitudes due to expanded cultivation coupled with higher energy demands and intensified land use. The B1 scenario shows a more moderate increase in CI, reflecting ongoing challenges in high-latitude regions despite efforts to reduce carbon emissions. The EUE for both Miscanthus and Willow also varies significantly with climate conditions. Both crops show high EUE in tropical and subtropical regions, reflecting optimal growing conditions. However, in cooler and higher latitude regions, EUE is reduced due to less favourable changes in climate. Willow demonstrates a broader adaptability in temperate zones compared to Miscanthus, suggesting its potential for more flexible cultivation across varying climates. Overall, these findings highlight that while both Miscanthus and Willow have considerable potential as bioenergy crops, their performance is highly dependent on climatic and environmental factors at regional scale. Cultivation of these crops will likely depend on specific local conditions as well as future climate projections. As an outcome of this study, both scenarios offer viable options for enhancing bioenergy production in suitable regions. The insights gained from this study underline the need for tailored strategies to optimize crop selection and management practice in response to evolving climate conditions, ensuring sustainable and effective use of bioenergy resources. Future research studies exploring the socio-economic implications of expanding cultivation into new regions, particularly in the context of climate change, will be crucial for ensuring the sustainable and reasonable development of bioenergy resources.

Data Availability Statement

Data will be made available on request.

Acknowledgments

This work was supported by the EU Horizon-UPTAKE Project(project nr: 101081521). AH was funded by PCB4GGR and UKERC-4 project.

References

  1. Adams, R., Smith, K., & Zhang, Y. (2023). Regional Variability in Carbon Intensity and Its Implications for Sustainable Agriculture. Environmental Science & Policy, 132, 25-39.
  2. Anderson, J. (2021). Metrics for Sustainable Agriculture: Assessing Carbon Efficiency in Farming. Routledge.
  3. Alexander, P.; Moran, D.; Smith, P.; Hastings, A.; Wang, S.; Sünnenberg, G.; Lovett, A.; Tallis, M.J.; Casella, E.; Taylor, G.; et al. Estimating UK perennial energy crop supply using farm-scale models with spatially disaggregated data. GCB Bioenergy 2013, 6, 142–155, . [CrossRef]
  4. Aylott, M.J.; Aylott, M.J.; Casella, E.; Casella, E.; Tubby, I.; Tubby, I.; Street, N.R.; Street, N.R.; Smith, P.; Smith, P.; et al. Yield and spatial supply of bioenergy poplar and willow short-rotation coppice in the UK. New Phytol. 2008, 178, 358–370, . [CrossRef]
  5. Brown, L. (2021). Understanding Carbon Footprints in Agriculture. Cambridge University Press.
  6. Brown, T., Jones, L., & Patel, S. (2023). Future Scenarios of Carbon Intensity for Bioenergy Crops. Global Change Biology, 29(4), 1120-1134.
  7. Clark, H. (2020). The Role of Carbon Intensity in Sustainable Agriculture. Springer Nature.
  8. Clifton-Brown, J.C.; Breuer, J.; Jones, M.B. Carbon mitigation by the energy crop, Miscanthus. Glob. Chang. Biol. 2007, 13, 2296–2307, . [CrossRef]
  9. Clifton-Brown, J.; Robson, P.; Sanderson, R.; Hastings, A.; Valentine, J.; Donnison, I. Thermal requirements for seed germination in Miscanthus compared with Switchgrass (Panicum virgatum), Reed canary grass (Phalaris arundinaceae), Maize (Zea mays) and perennial ryegrass (Lolium perenne). GCB Bioenergy 2011, 3, 375–386, . [CrossRef]
  10. Clifton-Brown, J.; Breuer, J.; Jones, M.B. Carbon mitigation by the energy crop Miscanthus. Glob. Chang. Biol. 2007, 13, 2296–2307. [CrossRef]
  11. Clifton-Brown, J., Harfouche, A., Casler, M. D., Dylan Jones, H., Macalpine, W. J., Murphy-Bokern, D.,... & Lewandowski, I. (2018). Breeding progress in the perennial biomass crop Miscanthus. Global Change Biology Bioenergy, 9(2), 205-214.
  12. Clifton-Brown, J.; Hastings, A.; von Cossel, M.; Murphy-Bokern, D.; McCalmont, J.; Whitaker, J.; Alexopoulou, E.; Amaducci, S.; Andronic, L.; Ashman, C.; et al. Perennial biomass cropping and use: Shaping the policy ecosystem in European countries. GCB Bioenergy 2023, 15, 538–558, . [CrossRef]
  13. DeFries, R. S., Asner, G. P., & Brady, M. (2004). A land cover change and carbon flux model for the Brazilian Amazon. Global Change Biology, 10(7), 825-837.
  14. Dimitriou, I., & Aronsson, P. (2011). Willow short-rotation coppice for energy and environmental benefits in agriculture. Forest Ecology and Management, 261(2), 193-203.
  15. Dohleman, F. G., Heaton, E. A., & Long, S. P. (2009). Miscanthus × giganteus yields and the impact of climate change on its productivity. Global Change Biology, 15(4), 897-907.
  16. Don, A.; Osborne, B.; Hastings, A.; Skiba, U.; Carter, M.S.; Drewer, J.; Flessa, H.; Freibauer, A.; Hyvönen, N.; Jones, M.B.; et al. Land-use change to bioenergy production in Europe: implications for the greenhouse gas balance and soil carbon. GCB Bioenergy 2011, 4, 372–391, . [CrossRef]
  17. Fargione, J.; Hill, J.; Tilman, D.; Polasky, S.; Hawthorne, P. Land Clearing and the Biofuel Carbon Debt. Science 2008, 319, 1235–1238, . [CrossRef]
  18. Fischer, G., Hizsnyik, E., Prieler, S., & van Velthuizen, H. (2010). Assessment of biomass potentials for biofuel feedstock production in Europe: Methodology and results. International Institute for Applied Systems Analysis.
  19. Fritsche, U. R., de Wit, M., & van den Broek, R. (2015). Sustainability of bioenergy: technical support document for the evaluation of bioenergy policies. European Commission.
  20. Garcia, M. (2017). Land Use and Carbon Emissions: A Comprehensive Review. Wiley.
  21. Graham, L. E., & K. E. (2010). Growth and productivity of Willow in varied climates. Agricultural Systems, 103(1), 1-12.
  22. Hastings, A.; Clifton-Brown, J.; Wattenbach, M.; Mitchell, C.P.; Stampfl, P.; Smith, P. Future energy potential of Miscanthus in Europe. GCB Bioenergy 2009, 1, 180–196, . [CrossRef]
  23. Hastings, A., Clifton-Brown, J., & Lewandowski, I. (2014). The potential of Miscanthus as a sustainable energy crop. Biofuels, Bioproducts and Biorefining, 8(2), 123-134.
  24. Hastings, A., Tallis, M. J., Casella, E., Matthews, R. W., Henshall, P. A., Milner, S.,... & Taylor, G. (2017). The MiscanFor model: a framework for assessing the growth and yield of Miscanthus across Europe. GCB Bioenergy, 9(5), 912-927.
  25. Heaton, E.A. ; Flavell, R.B.; Mascia, P.N.; Thomas, S.R.; Dohleman, F.G.; Long, S.P. Herbaceous energy crop development: recent progress and future prospects. Curr. Opin. Biotechnol. 2008, 19, 202–209, . [CrossRef]
  26. Hess, J. R., & L. T. (2007). Environmental and economic implications of large-scale switchgrass production. Renewable Energy, 32(3), 479-490.
  27. Hill, J.; Nelson, E.; Tilman, D.; Polasky, S.; Tiffany, D. Environmental, economic, and energetic costs and benefits of biodiesel and ethanol biofuels. Proc. Natl. Acad. Sci. 2006, 103, 11206–11210, . [CrossRef]
  28. Intergovernmental Panel on Climate Change (IPCC). (2000). Special Report on Emissions Scenarios (SRES). Cambridge University Press.
  29. Intergovernmental Panel on Climate Change (IPCC). (2007). Climate Change 2007: Impacts, Adaptation, and Vulnerability. Cambridge University Press.
  30. IPCC. (2021). Intergovernmental Panel on Climate Change (IPCC). Climate Change 2021: The Physical Science Basis. Contribution of Working Group I to the Sixth Assessment Report of the Intergovernmental Panel on Climate Change (V. Masson-Delmotte, P. Zhai, A. Pirani, S. L. Connors, C. Péan, S. Berger, et al., Eds.). Cambridge University Press.
  31. Jenkins, B. M., Singhania, A., & Sutter, J. (2017). Biomass power generation in the United States: A survey of the past, present, and future. Renewable and Sustainable Energy Reviews, 80, 160-179.
  32. Jensen, E., Squance, M., Thomas-Jones, S., Farrar, K., Huang, L., Kind, R., Clifton-Brown, J., Donnison, I., & Hastings, A. (2011a). Understanding the value of hydrothermal time on flowering in the Miscanthus species. Aspects of Applied Biology, 112, Biomass and Energy Crops IV, 181-189.
  33. Jensen, E., Farrar, K., Thomas-Jones, S., Hastings, A., Donnison, I., & Clifton-Brown, J. (2011b). Characterisation of flowering time diversity in Miscanthus species. Global Change Biology Bioenergy, 3(5), 387-400.
  34. Johnson, A., & Thompson, R. (2019). Environmental Impact of Farming Practices. Oxford University Press.
  35. Johnson, F., Evans, J., & Carpenter, S. (2021). Water scarcity and agriculture: Adaptation strategies under climate change scenarios. Agricultural Water Management, 255, 107015.
  36. Johnson, H., Kim, J., & Lee, M. (2022). Impact of Climate Change on Carbon Intensity in Agroecosystems. Climate Dynamics, 58(1), 78-92.
  37. Jones, L., Brown, T., & Adams, R. (2021). Baseline Carbon Intensity of Bioenergy Crops: A Global Perspective. BioEnergy Research, 14(2), 452-469.
  38. Karp, A.; Shield, I. Bioenergy from plants and the sustainable yield challenge. New Phytol. 2008, 179, 15–32, . [CrossRef]
  39. Lee, M., Zhang, Y., & Smith, K. (2024). Mitigation Strategies and Their Effect on Carbon Intensity in a Lower-Emission Future. Journal of Environmental Management, 281, 123-134.
  40. Lee, S., & Zhang, Y. (2023). Technological Innovations for Efficient Farming. Elsevier.
  41. Lemus, R., & S. R. (2008). The potential of Miscanthus as a bioenergy crop. Energy Policy, 36(5), 2049-2056.
  42. Lewandowski, I.; Scurlock, J.M.O.; Lindvall, E.; Christou, M. The development and current status of perennial rhizomatous grasses as energy crops in the US and Europe. Biomass Bioenergy 2003, 25, 335–361, doi:10.1016/s0961-9534(03)00030-8.
  43. Littleton, E., Hastings, A., & Clifton-Brown, J. (2021). Long-term climate resilience of Miscanthus: Implications for bioenergy policy and feedstock security in the UK. Global Change Biology Bioenergy, 13(1), 232-245.
  44. Mccalmont, J.P.; Hastings, A.; McNamara, N.P.; Richter, G.M.; Robson, P.; Donnison, I.S; Clifton-Brown, J. Environmental costs and benefits of growingMiscanthusfor bioenergy in the UK. GCB Bioenergy 2015, 9, 489–507, . [CrossRef]
  45. Miller, K., Wilson, T., & Evans, R. (2022). Fertilizers, Irrigation, and Carbon Emissions: A Review. Agricultural Science Journal, 45(2), 123-145.
  46. Mitchell, T. D., Carter, T. R., Jones, P. D., & Hulme, M. (2004). A comprehensive set of high-resolution grids of monthly climate for Europe and the globe: the observed record (1901–2002) and 16 scenarios (2001–2100). Working Paper 55, Tyndall Centre for Climate Change Research.
  47. Nunn, M., Karp, A., & Clifton-Brown, J. (2017). Environmental influences on the growing season duration and ripening of diverse Miscanthus germplasm grown in six countries. Frontiers in Plant Science, 8, 907.
  48. Olena, N., Sokolov, I., & Zubkov, S. (2017). Yield performance and stability of Miscanthus giganteus in a trial across Ukraine. Agricultural and Forest Meteorology, 247, 125-134.
  49. Paulus, S., & Maloney,. M. (2013). Adaptability of Willow and Miscanthus under changing climatic conditions. Journal of Biomass and Bioenergy, 54, 62-70.
  50. Pogson, M., Smit, B., & Clark, S. (2016). The role of willow in a sustainable bioenergy system: Potential and constraints in Europe. Renewable and Sustainable Energy Reviews, 60, 1273-1285.
  51. Richards, M.; Pogson, M.; Dondini, M.; Jones, E.O.; Hastings, A.; Henner, D.N.; Tallis, M.J.; Casella, E.; Matthews, R.W.; Henshall, P.A.; et al. High-resolution spatial modelling of greenhouse gas emissions from land-use change to energy crops in the United Kingdom. GCB Bioenergy 2016, 9, 627–644, . [CrossRef]
  52. Schroeder, R., Schnelle, M., & Grab, S. (2014). The influence of climate change on the potential distribution and productivity of Miscanthus. Global Change Biology Bioenergy, 6(4), 450-460.
  53. Searchinger, T.; Heimlich, R.; Houghton, R.A.; Dong, F.; Elobeid, A.; Fabiosa, J.; Tokgoz, S.; Hayes, D.; Yu, T.-H. Use of U.S. Croplands for Biofuels Increases Greenhouse Gases Through Emissions from Land-Use Change. Science 2008, 319, 1238–1240, . [CrossRef]
  54. Searle, S. Y., & Malins, C. J. (2014). Will energy crop yields meet expectations? Biomass and Bioenergy, 65, 3-12.
  55. Shepherd, J. G., Niero, M., & Hastings, A. (2020). Evaluating Miscanthus and willow short-rotation coppice as biomass feedstocks under changing climates. Agricultural Systems, 184, 102924.
  56. Shepherd, A.; Awty-Carroll, D.; Kam, J.; Ashman, C.; Magenau, E.; Martani, E.; Kontek, M.; Ferrarini, A.; Amaducci, S.; Davey, C.; et al. Novel Miscanthus hybrids: Modelling productivity on marginal land in Europe using dynamics of canopy development determined by light interception. GCB Bioenergy 2023, 15, 444–461, . [CrossRef]
  57. Smith, J., Davis, M., & Roberts, L. (2020). Carbon Intensity of Agricultural Yield: Concepts and Measurements. Journal of Environmental Science, 38(4), 789-802.
  58. Smith, K., Lee, M., & Kim, J. (2020). Spatial Distribution of Carbon Intensity for Energy Crops: Implications for Policy and Practice. Energy Policy, 139, 111-123.
  59. Bustamante, M.; Robledo-Abad, C.; Harper, R.; Mbow, C.; Ravindranat, N.H.; Sperling, F.; Haberl, H.; Pinto, A.d.S.; Smith, P. Co-benefits, trade-offs, barriers and policies for greenhouse gas mitigation in the agriculture, forestry and other land use (AFOLU) sector. Glob. Chang. Biol. 2014, 20, 3270–3290, . [CrossRef]
  60. Thornley, J. H. M., & Cannell, M. G. R. (2018). Willow productivity in tropical climates: Modelling responses to climate change. Tree Physiology, 28(3), 385-396.
  61. Valentine, J., Smith, P., & Upton, J. (2011). The role of biomass in renewable energy and its implications for land use. Journal of Sustainable Agriculture, 35(5), 503-516.
  62. von Hellfeld, R., Hastings, A., Kam, J., Rowe, R., Clifton-Brown, J., Donnison, I., & Shepherd, A. (2022). Expanding the Miscanthus market in the UK: Growers in profile and experience, benefits and drawbacks of the bioenergy crop. Global Change Biology Bioenergy, 14(11), 1205-1218.
  63. Williams, M., Jones, C. D., & Roberts, D. L. (2022). Challenges for high-latitude biomass production under climate change. Environmental Research Letters, 17(6), 064018.
  64. Williams, P. (2018). Energy Use in Agriculture: Renewable vs. Fossil Fuels. Energy and Agriculture Review, 12(3), 99-110.
  65. Xu, Y., Moore, N., & Thompson, J. (2020). Climate impacts on biomass productivity in temperate regions: A case study in Northern Europe. Journal of Biomass Research, 12(3), 240-258.
  66. Zang, X., Heaton, E., & Wang, G. (2020). Modeling the impact of climate change on biomass yield of Miscanthus and willow in China. Agricultural and Forest Meteorology, 284, 107873.
  67. Zhang, Y., Johnson, H., & Brown, T. (2024). Adapting Agricultural Practices to Reduce Carbon Intensity. Sustainability, 16(5), 978-992.
Figure 1. Simulated global biomass productivity for Miscanthus (top) and Willow (bottom) under current climate conditions (1961-1990). For Miscanthus: very low= < 5.00; low= 5.00 – 9.99; medium=10.00 – 19.99; high= 20.00 – 30.00; very high=> 30.00. For Willow: very low= < 5.00; low= 5.00 – 9.99; medium=10.00 – 14.99; high= 15.00 – 20.00; very high=> 20.00.
Figure 1. Simulated global biomass productivity for Miscanthus (top) and Willow (bottom) under current climate conditions (1961-1990). For Miscanthus: very low= < 5.00; low= 5.00 – 9.99; medium=10.00 – 19.99; high= 20.00 – 30.00; very high=> 30.00. For Willow: very low= < 5.00; low= 5.00 – 9.99; medium=10.00 – 14.99; high= 15.00 – 20.00; very high=> 20.00.
Preprints 139761 g001
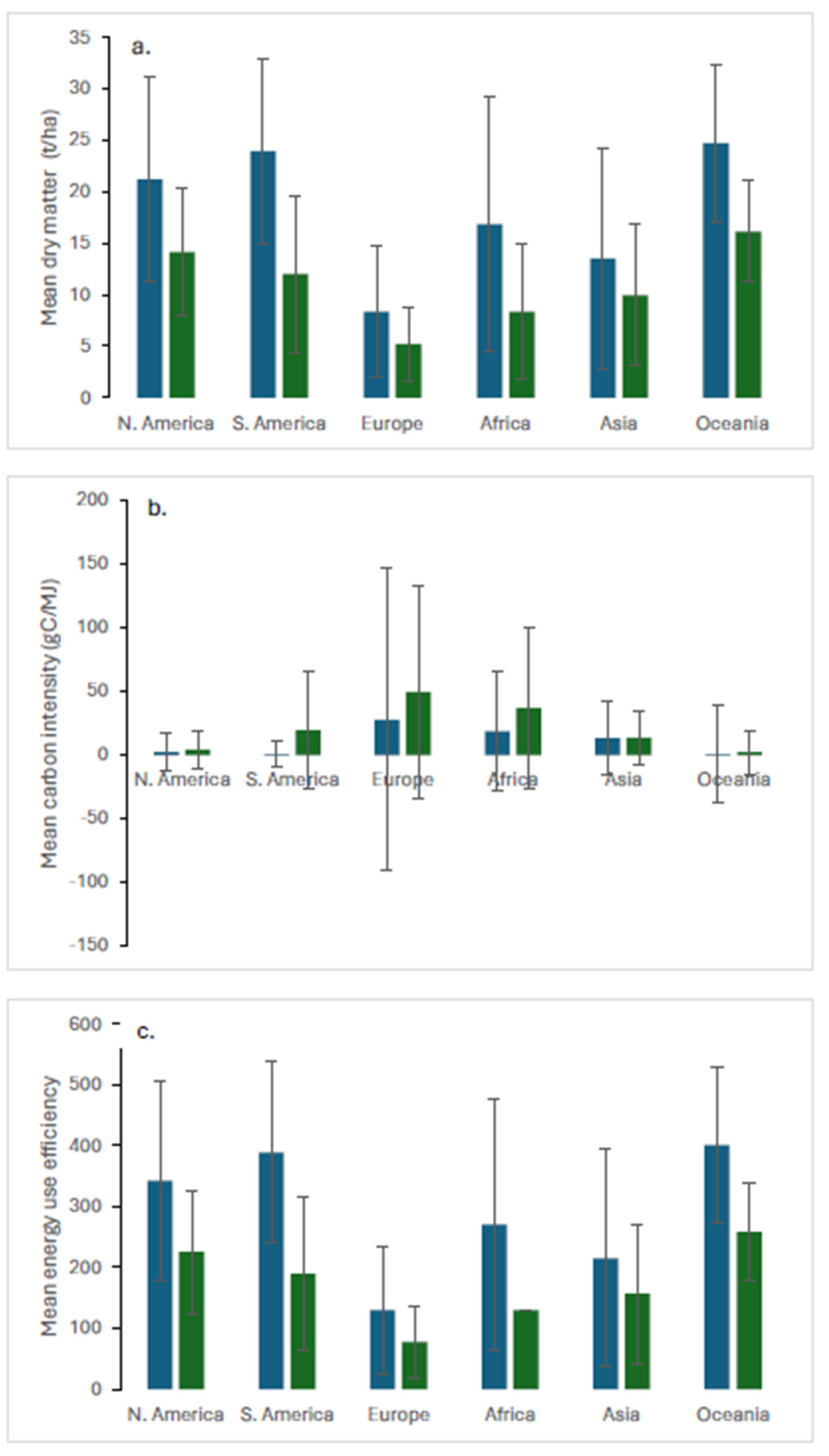
Figure 2. Regional biomass productivity (a.), carbon intensity (b.) and Energy use efficiency (c.) of Miscanthus (blue) and Willow (green) at baseline (1961-1990). The error bar is the standard deviation.
Figure 2. Regional biomass productivity (a.), carbon intensity (b.) and Energy use efficiency (c.) of Miscanthus (blue) and Willow (green) at baseline (1961-1990). The error bar is the standard deviation.
Preprints 139761 g002
Figure 3. Simulated global biomass productivity for Miscanthus at A1F1 (top) and B1(bottom) climate projections (up to 2060). Very low= < 5; low= 5.00 – 9.99; medium=10.00 – 19.99; high= 20.00 – 30.00; very high=> 30.00.
Figure 3. Simulated global biomass productivity for Miscanthus at A1F1 (top) and B1(bottom) climate projections (up to 2060). Very low= < 5; low= 5.00 – 9.99; medium=10.00 – 19.99; high= 20.00 – 30.00; very high=> 30.00.
Preprints 139761 g003
Figure 4. Simulated global biomass productivity for Willow at A1F1 (top) and B1(bottom) climate projections (up to 2060). Very low= < 5.00; low= 5.00 – 9.99; medium=10.00 – 14.99; high= 15.00 – 20.00; very high=> 20.00.
Figure 4. Simulated global biomass productivity for Willow at A1F1 (top) and B1(bottom) climate projections (up to 2060). Very low= < 5.00; low= 5.00 – 9.99; medium=10.00 – 14.99; high= 15.00 – 20.00; very high=> 20.00.
Preprints 139761 g004
Figure 5. Simulated global carbon intensity for Miscanthus (top) and Willow (bottom) under current climate conditions (1961-1990). For Miscanthus and Willow: very low= < 0.00; low= 0.00 – 100.00; medium=100.01 – 200.00; high= 200.01 – 300.00; very high=> 300.00.
Figure 5. Simulated global carbon intensity for Miscanthus (top) and Willow (bottom) under current climate conditions (1961-1990). For Miscanthus and Willow: very low= < 0.00; low= 0.00 – 100.00; medium=100.01 – 200.00; high= 200.01 – 300.00; very high=> 300.00.
Preprints 139761 g005
Figure 6. Simulated global carbon intensity for Miscanthus at A1F1 (top) and B1(bottom) climate projections (up to 2060). Very low= < 0.00; low= 0.00 – 100.00; medium=100.01 – 200.00; high= 200.01 – 300.00; very high=> 300.00.
Figure 6. Simulated global carbon intensity for Miscanthus at A1F1 (top) and B1(bottom) climate projections (up to 2060). Very low= < 0.00; low= 0.00 – 100.00; medium=100.01 – 200.00; high= 200.01 – 300.00; very high=> 300.00.
Preprints 139761 g006
Figure 7. Simulated global carbon intensity for Willow at A1F1 (top) and B1(bottom) climate projections (up to 2060). Very low= < 0.00; low= 0.00 – 100.00; medium=100.01 – 200.00; high= 200.01 – 300.00; very high=> 300.00.
Figure 7. Simulated global carbon intensity for Willow at A1F1 (top) and B1(bottom) climate projections (up to 2060). Very low= < 0.00; low= 0.00 – 100.00; medium=100.01 – 200.00; high= 200.01 – 300.00; very high=> 300.00.
Preprints 139761 g007
Figure 8. Simulated global Energy use efficiency for Miscanthus (top) and Willow (bottom) under current climate conditions (1961-1990). For Miscanthus: very low= < 5; low= 5.00 – 9.99; medium=10.00 – 14.99; high= 15.00 – 20.00; very high=> 20.00. For Willow: very low= < 5; low= 5.00 – 9.99; medium=10.00 – 15.00; high= >15.00; very high= not available.
Figure 8. Simulated global Energy use efficiency for Miscanthus (top) and Willow (bottom) under current climate conditions (1961-1990). For Miscanthus: very low= < 5; low= 5.00 – 9.99; medium=10.00 – 14.99; high= 15.00 – 20.00; very high=> 20.00. For Willow: very low= < 5; low= 5.00 – 9.99; medium=10.00 – 15.00; high= >15.00; very high= not available.
Preprints 139761 g008
Figure 9. Simulated global energy use efficiency for Miscanthus at A1F1 (top) and B1(bottom) climate projections (up to 2060). Very low= < 5; low= 5.00 – 9.99; medium=10.00 – 14.99; high= 15.00 – 20.00; very high=> 20.00.
Figure 9. Simulated global energy use efficiency for Miscanthus at A1F1 (top) and B1(bottom) climate projections (up to 2060). Very low= < 5; low= 5.00 – 9.99; medium=10.00 – 14.99; high= 15.00 – 20.00; very high=> 20.00.
Preprints 139761 g009
Figure 10. Simulated global energy use efficiency for Willow at A1F1 (top) and B1(bottom) climate projections (up to 2060). Very low= < 5; low= 5.00 – 9.99; medium=10.00 – 15.00; high= >15.00; very high= not available.
Figure 10. Simulated global energy use efficiency for Willow at A1F1 (top) and B1(bottom) climate projections (up to 2060). Very low= < 5; low= 5.00 – 9.99; medium=10.00 – 15.00; high= >15.00; very high= not available.
Preprints 139761 g010
Table 1. global biomass productivity (DM; t/ha), carbon intensity (CI; gC/MJ) and Energy use efficiency (EUE) of Miscanthus and Willow at baseline (1961-1990) and two climate projections (A1F1 and B1) up to 2060. SD is standard deviation.
Table 1. global biomass productivity (DM; t/ha), carbon intensity (CI; gC/MJ) and Energy use efficiency (EUE) of Miscanthus and Willow at baseline (1961-1990) and two climate projections (A1F1 and B1) up to 2060. SD is standard deviation.
Miscanthus
Indicator Scenario Minimum Maximum Mean Median SD Changes due to climate change (%)
DM Baseline 0.02 45.99 19.92 24.20 10.80 -
A1F1 0.04 42.96 17.03 18.77 11.14 -15
B1 0.05 47.90 18.24 21.38 11.47 -8
CI Baseline -5.50 5607.38 7.84 -1.99 52.10 -
A1F1 -5.56 3339.75 17.12 -0.31 51.77 118
B1 -5.55 3079.89 16.72 -1.05 56.87 113
EUE Baseline 0.05 21.29 14.45 17.45 5.61 -
A1F1 0.07 20.93 13.01 15.72 6.05 -10
B1 0.09 21.50 13.48 16.61 6.13 -7
Willow
DM Baseline 0.07 29.98 10.44 10.44 6.97 -
A1F1 0.21 28.02 9.15 8.09 6.74 -12
B1 0.02 31.03 9.66 8.79 6.96 -7
CI Baseline -5.29 1445.77 25.56 4.81 57.51 -
A1F1 -5.32 1885.43 41.91 8.54 95.54 64
B1 -5.32 8442.78 40.23 7.34 98.28 57
EUE Baseline 0.12 18.83 10.22 11.15 5.07 -
A1F1 0.40 18.40 9.31 9.75 5.10 -9
B1 0.03 19.05 9.62 10.27 5.19 -6
Disclaimer/Publisher’s Note: The statements, opinions and data contained in all publications are solely those of the individual author(s) and contributor(s) and not of MDPI and/or the editor(s). MDPI and/or the editor(s) disclaim responsibility for any injury to people or property resulting from any ideas, methods, instructions or products referred to in the content.
Copyright: This open access article is published under a Creative Commons CC BY 4.0 license, which permit the free download, distribution, and reuse, provided that the author and preprint are cited in any reuse.
Prerpints.org logo

Preprints.org is a free preprint server supported by MDPI in Basel, Switzerland.

Subscribe

Disclaimer

Terms of Use

Privacy Policy

Privacy Settings

© 2026 MDPI (Basel, Switzerland) unless otherwise stated