Submitted:
12 November 2024
Posted:
13 November 2024
You are already at the latest version
Abstract
Keywords:
1. Introduction
2. Geological Survey and Samples
3. Analytical Methods
3.1. Geochemical Analysis of Whole Rock
3.2. Sr-Nd Isotope Analysis of Whole Rock
3.3. LA-ICP-MS Zircon U-Pb Dating
3.4. Zircon Lu-Hf isotope
4. Results
4.1. Results of Whole Rock Geochemical Analysis
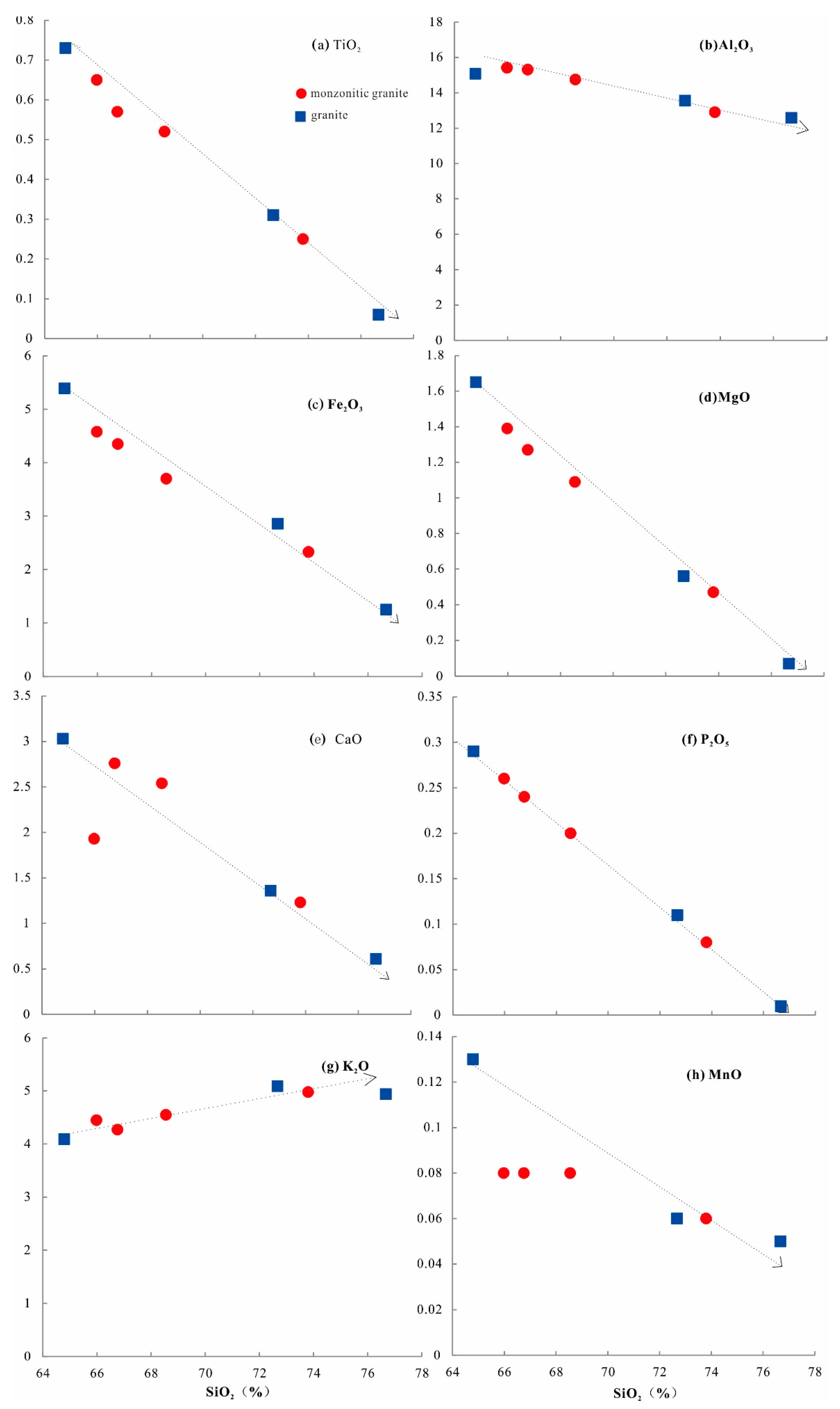
4.1.1. Major Elements
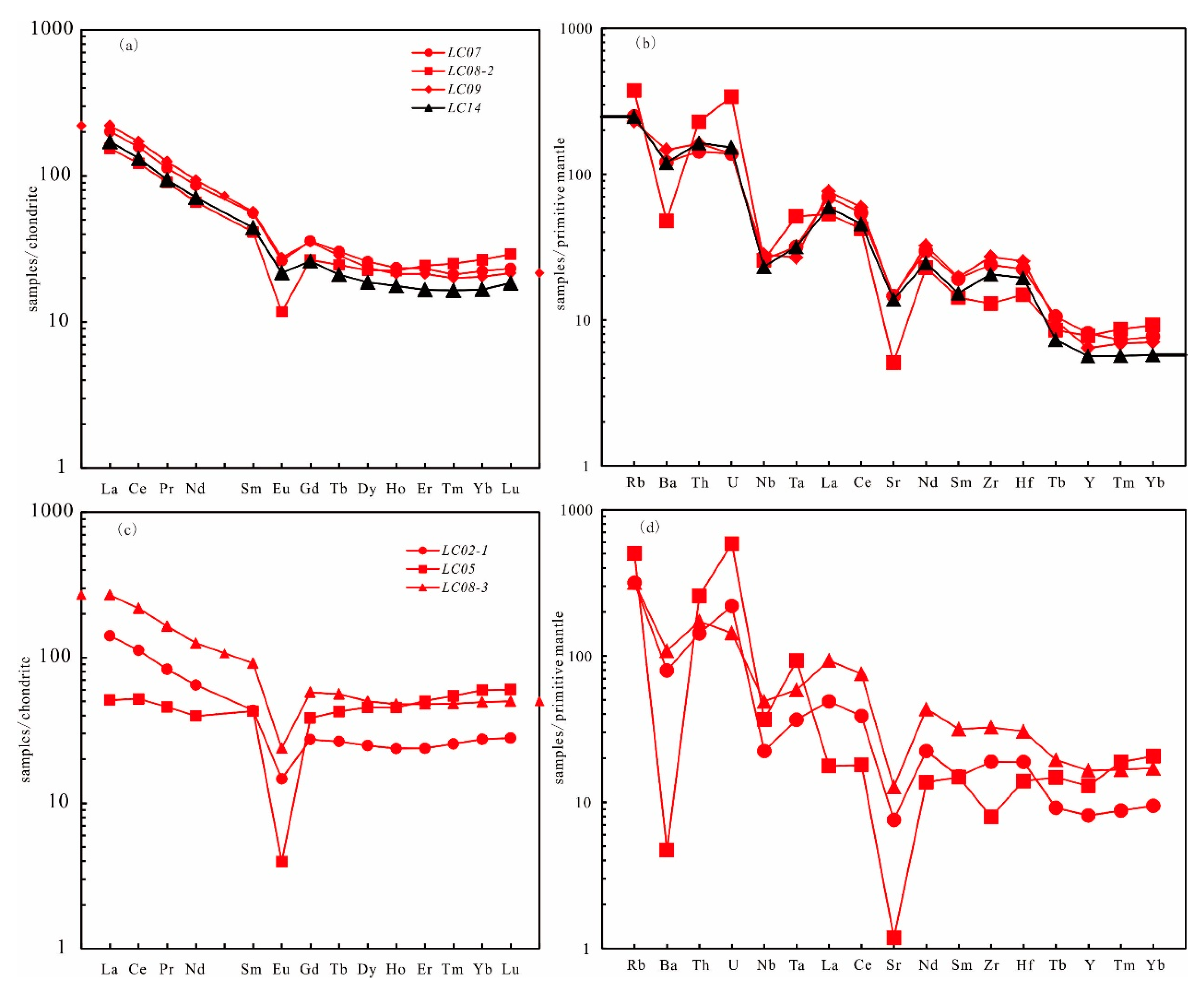
4.1.2. Rare Earth and Trace Elements
4.2. Whole Rock Sr-Nd Isotope
4.3. LA-ICP-MS U-Pb Isotope Age of Zircon
3.4. Lu-Hf Isotope Characteristics of Zircon
5. Discussion
5.1. Diagenetic Age of Liucun Pluton and Mesozoic Magmatic Rock Age Framework in Southern Anhui Province
5.2. Geochemical Properties and Petrogenesis
6. Conclusions
References
- Ding, N.; Chen, F.; Tang, C. Yanshanian metallogenic characteristics and metallogenic specificity of magmatic rocks in southern Anhui. Geology of Anhui 2023, 33, 193–197. [Google Scholar]
- Zheng, W.; Chen, T.H.; Du, J.G.; Chen, F.; Ding, N.; Zhang, S. Petrogenesis of Fuling A- type granite in southern Anhui: Geochemistry, Zircon U-Pb age and Lu-Hf isotope characteristics. Geological Review 2024, 70, 189–206. [Google Scholar]
- Zhou, T.F.; Yuan, F.; Hou, M.J.; Du, J.G.; Fan, Y.; Zhu G and Yue, S.C. Comparative study of metallogenic conditions and resource potential in the eastern section of Jiangnan uplift in Anhui and Jiangxi adjacent areas. Progress in Natural Science 2003, 13, 1036–1041. [Google Scholar]
- Zhou, T.F.; Yuan, F.; Hou, M.J.; Du, J.G.; Fan, Y.; Zhu G and Yue, S.C. Genetic and dynamic background of Yanshanian granitoids in Anhui-Jiangxi adjacent area, eastern Jiangnan orogenic belt. Journal of Mineralogy and Petrology. 2004, 24, 65–71. [Google Scholar]
- Zhou, J.; Jiang YH and Ge, W.Y. High Sr/Y Jingde pluton in the Eastern Jiangnan Orogen, South China: formation mechanism and tectonic implications. Acta Geologica Sinica 2014, 88, 53–62. [Google Scholar]
- Zhou, S.Z.; Xu, S.F.; Yu, X.Q.; Qiu, J.T.; Yang, X.P.; Chen ZW and Liu, X. Zircon LA-ICP-MS U-Pb ages and geochemical features of Taiping pluton in South Anhui—Enlightment of Mesozoic lithospheric thinning for South China. Geological Review 2016, 62, 1549–1564. [Google Scholar]
- Chen, R.L.; Pan, J.Y.; Wu JJ and Chen, F. Study of Zircon U-Pb age and characteristics of Hf isotopes of the Maolin granodiorite in Jiangxi County, southern Anhui Province. Geological Bulletin of China 2019, 38, 1219–1227. [Google Scholar]
- Li, P.J.; Yu, X.Q.; Qiu, J.T.; Li, H.Y.; Chen ZW and Han, Y.C. Petrogenesis, oxygen fugacity characteristics and mineralization significance of two kinds of Jurassic-Cretaceous granites in southern Anhui, SE China. Acta Petrologica Sinica 2016, 32, 399–418. [Google Scholar]
- Mao, J.W.; Xiong, B.K.; Liu, J.; Pirajno, F.; Cheng, Y.B.; Ye, H.S.; Song SW and Dai, P. Molybdenite Re/Os dating, zircon U-Pb age and geochemistry of granitoids in the Yangchuling porphyry W-Mo deposit( Jiangnan tungsten ore belt), China: Implications for petrogenesis, mineralization and geodynamic setting. Lithos 2017, 286–287, 35–52. [Google Scholar] [CrossRef]
- Jiang, S.Y.; Peng, N.J.; Huang, L.C.; Xu, Y.M.; Zhan GL and Dan, X.H. Geological characteristic and ore genesis of the giant tungsten deposits from the Dahutang ore-concentrated district in northern Jiangxi Province. Acta Petrologica Sinica 2015, 31, 639–655. [Google Scholar]
- Chen, F.; Wang, D.H.; Du, J.G.; Xu, W.; Wang, K.Y.; Yu YL and Tang, J.L. Geochemical Characteristics and LA-ICP-MS Zircon U-Pb Age of the Lanhualing Granite in Ningguo, Anhui Province. Geotectonica et Metallogenia 2015, 39, 369–377. [Google Scholar]
- Li, B.; Zhang, Z.Z.; Wu, M.A.; Zhou, T.F.; Zhao, W.G.; Cai XB and Di, Q.S. LA-ICP-MS zircon U-Pb age and molybdenite Re-Os dating of the Dawujian W-Mo polymetallic deposit, Ningguo, Anhui Province. Geological Bulletin of China 2015, 34, 569–578. [Google Scholar]
- Kong, Z.G.; Liang, T.; Mao, J.W.; Xu, S.F.; Xu, H.B.; Yan, P.P.; and Jin, X.Y. Study on perogenesis of granodiorite, metallogenic epoch and petrogenetic-metallogenetic setting in the Zhuxiling tungsten polymetallic deposit, southern Anhui Province, China. Acta Petrologica Sinica 2018, 34, 2632–2656. [Google Scholar]
- Hou, S.Y.; Zhang, D.Y.; Zhang, F.; Lei, X.X.; Hu, M.X.; Weng, W.F.; Noel, C.W. Geochronology, geochemical characteristics, and mineralization significance of the granodiorite porphyry in Sanbao lead-zinc deposit, eastern Jiangnan orogenci belt. Geotectonica et Metallogenia 2024, 48, 879–898. [Google Scholar]
- Chen, F.; Wang, D.H.; Du, J.G.; Xu, W.; Hu, H.F.; Wang, K.Y.; Yu YL and Tang, J.L. Geochemical characteristics and LA-ICP-MS zircon U-Pb geochronology of the Liucun monzogranite in Ningguo, Anhui Province and their geological significance. Acta Geologica Sinica 2014, 88, 869–882. [Google Scholar]
- Wu, J.F.; Lu, X.S.; Chu, D.R. Geochemical features, zircon U-Pb dating and genetic study of the Liucun rockmass in Guangde County, Anhui. Geology of Anhui 2017, 27, 161–167. [Google Scholar]
- Liu, G.S. Deformation characteristics and evolution of the Jiangnan fault zone(segment of southern Anhui) since Sinian Period. Journal of Hefei University of Technology(Natural Science) 1997, 20, 97–102. [Google Scholar]
- Xie, J.C.; Xia, D.M.; Fang, D.; Yan, J.; Yang, X.Y.; Sun WD and Li, Q.Z. Geochemistry of Late Mesozioc granodiorites in southern Anhui Province: Constraints for rock-and ore-forming. Acta Petrologica Sinica 2016, 32, 439–455. [Google Scholar]
- Zhang, G.; Ren, S.L.; Chen, G.T.; Li, L.M.; Song, C.Z.; Li, J.H.; Lin SF and Li, Z.Q. Geochronology, geochemistry and tectonic significance of Houshan and Maolin pluton in the Jiangnan uplift belt. Chinese Journal of Geology 2021, 56, 884–913. [Google Scholar]
- Yu, X.Q.; Jiang, L.L.; Xu, W.; Qiu, R.L.; Du JG and Dai, S.Q. Identification and basic characteristics of the Anhui-Zhejiang-Jiangxi fault zone. Earth Science Frontiers 2007, 14, 102–113. [Google Scholar]
- Zhou, S.Z.; Xu, S.F.; Yu, X.Q.; Qiu, J.T.; Yang, X.P.; Chen ZW and Liu, X. Zircon LA-ICP-MS U-Pb ages and geochemical features of Taiping pluton in South Anhui—Enlightment of Mesozoic lithospheric thinning for South China. Geological Review 2016, 62, 1549–1564. [Google Scholar]
- Wang, X.L.; Zhou, J.C.; Griffin, W.L.; Zhao, G.C.; Yu, J.H.; Qiu, J.S.; Zhang YJ and Xing, G.F. Geochemical zonation across a Neoproterozoic orogenic belt: Isotopic evidence from granitoids and metasedimentary rocks of the Jiangnan orogen, China. Precambrian Research 2014, 242, 154–171. [Google Scholar] [CrossRef]
- Li, L.Y.; Han, Y.; Zhang, C.H. Geochronology, geochemical characteristics and geological significance of Jingtan Formation in Anhui Province. Geological Review 2024, 70, 191–192. [Google Scholar]
- Xue, H.M.; Ma, F.; Song YQ and Xie, Y.P. Geochronology and geochemisty of the Neoproterozoic granitoid association from eastern segment of the Jiangnan orogen, China: Constraints on the timing and process of amalgamation between the Yangtze and Cathaysia blocks. Acta Petrologica Sinica 2010, 26, 3215–3244. [Google Scholar]
- Xie, J.C.; Chen, S.; Rong, W.; Li, Q.Z.; Yang XY and Sun, W.D. Geochronology, geochemistry and tectonic significance of Gunujiang A-type granite in Anhui Province. Acta Petrologica Sinica 2012, 28, 4007–4020. [Google Scholar]
- Wilson, M. Igneous petrogenesis: aglobal tectonic approach. London: Unwin Hyman, 1989, 1-466.
- Sun, S.S.; Mc Donough, W.F. Chemical and isotopic systematics of oceanic basalts: Implications for mantle composition and processes. In: Saunders AD and Norry MJ ( eds.) Magmatism in the Ocean Basins. Geological Society, London. Special Publication 1989, 42, 313–345. [Google Scholar] [CrossRef]
- Gao, L.; Yan, J.; Li, Q.Z.; Xie, J.C. Occurrence characteristics of REE in granite weathering crust of Yaocun granite in southern Anhui. Geological Review 2022, 68, 1820–1838. [Google Scholar]
- DePaolo, D.J. . Trace element and isotopic effects of combined wallrock assimilation and fractional crystallization. Earth and Planwtary Science Letters 1981, 53, 189–202. [Google Scholar] [CrossRef]
- Li, X.H.; Zheng YF and Gao, S. Lu-Hf isotopic systematics and their applications in petrology. Acta Petrologica Sinica 2007, 23, 185–220. [Google Scholar]
- Wu, F.Y.; Ji, W.Q.; Sun, D.H.; Yang YH and Li, X.H. Zircon U-Pb geochronology and Hf isotopic compositions of the Mesozoic granites in southern Anhui Province, China. Lithos 2012, 150, 6–25. [Google Scholar] [CrossRef]
- Fu, X.; Zhang, D.Y.; Jiang, H.; Ye, L.X.; Ren, K.D.; Wang, Y.G.; Yuan F and Zhou, T.F. Genesis of the Xianxia batholith in the Jiangnan Orogenic Belt and its geological significance. Geotectonica et Metallogenia 2020, 44, 543–560. [Google Scholar]
- Wang, C.Z.; Huang, Z.Z.; Zhao, X.L.; Chu, P.L.; Huang, W.C.; Song, S.M.; Xu, Y.; Yang, C. Geochronology, geochemistry and petrogenesis of early Cretaceous Yaocun A-type granite in the Lower Yangtze region. Geology in China. 2021, 48, 549–563. [Google Scholar]
- He, M.; Wang, X.; Deng, J.L.; Wu, J.F.; Wu H and Wu, H. Zircon U-Pb geochronology and petrogeochemistry of the Miaoxi plutons in the Guangde area, Anhui Province. Geology of Anhui 2021, 31, 193–224. [Google Scholar]
- Song, G.X.; Qin, K.Z.; Li, G.M.; Noreen, J.E.; and Li, X.H. Mesozoic Magmatism and Metallogeny in the Chizhou Area, Middle-Lower Yangtze Valley, SE China: Constrained by Petrochemistry, Geochemistry and Geochronology. Journal of Asian Earth Sciences 2014, 91, 137–153. [Google Scholar] [CrossRef]
- Yan, J.; Hou, T.J.; Wang, A.G.; Wang, D.E.; Zhang, D.Y.; Weng, W.F.; Liu, J.M.; Liu XQ and Li, Q.Z. Petrogenetic contrastive studies on the Mesozoic early stage ore-bearing and late stage ore-barren granites from the southern Anhui Province. Science China ( Earth Sciences) 2017, 47, 1920–1941. [Google Scholar] [CrossRef]
- Wang, C.Z.; Zhu, Q.B.; Jin, G.D.; Chu, P.L.; Liu, K. Discussion on the evolution of the Southern Anhui Plateau: Evidence from the Yanshanian two-stage granite in the southern Anhui Province and its adjacent area. Geological Bulletin of China 2024, 42, 390–400. [Google Scholar]
- Xue, H.M.; Wang, Y.G.; Ma, F.; Wang, C.; Wan DE and Zuo, Y.L. Zircon U-Pb SHRIMP ages of the Taiping ( calc-alkaline ) -Huangshan ( alkaline) composite intrusion: Constraints on Mesozoic lithospheric thinning of the southeastern Yangtze Craton, China. Science in China ( Series D) 2009, 52, 1756–1170. [Google Scholar] [CrossRef]
- Xue, H.M. Geochronology, geochemistry and stratospheric interactions of Late Mesozoic granitoids near the boundary between Anhui and Zhejiang provinces in the eastern segment of the Jiangnan orogenic belt. Acta Petrologica Sinica 2021, 37, 433–461. [Google Scholar]
- Qin, Y.; Wang, D.H.; Wu, L.B.; Wang KY and Mei, Y.P. Zircon SHRIMP U-Pb dating of the mineralized porphyry in the Dongyuan W deposit in Anhui Province and its geological significance. Acta Geologica Sinica 2010, 84, 479–484. [Google Scholar]
- Zhou, X.; Yu, X.Q.; Wang, D.E.; Zhang, D.H.; Li, C.L.; Fu JZ and Dong, H.M. Characteristics and geochronology of the, W.; Mo-bearing granodiorite porphyry in Dongyuan, southern Anhui. Geoscience 2011, 25, 201–210. [Google Scholar]
- Zhang, J.J.; Wang, G.J.; Yang, X.Y.; Sun WD and Dai, S.Q. The petrogenesis of the Jingde granodiorite and its MMEs: Constraints from geochemistry, zircon U-Pb dating and Hf isotopic compositions. Acta Petrologica Sinica 2012, 28, 4047–4063. [Google Scholar]
- Su, Y.P.; Zheng, J.P.; Griffin, W.L.; Zhao, J.H.; O’ Reilly, S.Y.; Tang, H.Y.; Ping XQ and Xiong, Q. Petrogenesis and geochronology of Cretaceous adakitic, I- and A-type granitoids in the NE Yangtze Block: Constraints on the eastern subsurface boundary between the North and South China blocks. Lithos 2013, 175/176, 333–350. [Google Scholar] [CrossRef]
- Zhu, H.L.; Yang XY and Sun, W.D. The petrogenesis of granodiorite in Sanbao area, Qimen County, southern Anhui: Constraints from geochemistry, zircon U-Pb dating and Hf isotope. Acta Petrologica Sinica 2015, 31, 1917–1928. [Google Scholar]
- Gao, R.; Yan, J.; Li, Q.Z.; Liu, X.Q.; Wang, S.N. Petrogenesis of Tanshan pluton in the southern Anhui Province: chronological and geochemical constraints. Geological Journal of China Universities 2017, 23, 227–243. [Google Scholar]
- Yue, Q.; Yan, J.; Liu, J.M.; Xie, J.C.; Li QZ and Luo, Q.K. Geochronology, petrogenesis and tectonic implications of the Early Cretaceous granitoids in the Jingde-Guangde area, Anhui Province, South China. Journal of Asian Earth Sciences 2020, 190, 104–150. [Google Scholar] [CrossRef]
- Whalen, J.B.; Currie KL and Chappell, B.W. A-type granites:Geochemical characteristics, discrimination and petrogenesis. Contributions to Mineralogy and Petrology 1987, 95, 407–419. [Google Scholar] [CrossRef]
- Bonin, B. A-type granites and related rocks: Evolution of a concept, problems and prospects. Lithos 2007, 97, 1–29. [Google Scholar] [CrossRef]
- Loiselle, M.C.; Wones, D.R. Characteristics of anorogenic granites. Geological Society of America Abstracts with Programs 1979, 11, 468. [Google Scholar]
- Frost, B.R.; Frost, C.D. A geochemical classification for feldspathic igneous rocks. Journal of Petrology 2008, 49, 1955–1969. [Google Scholar] [CrossRef]
- Collins, W.J.; Beams, S.D.; White, A.J.R.; Chappell, B.W. Nature and origin of A-type granites with particular reference to southeastern Australia. Contributions to Mineralogy and Petrology 1982, 80, 189–200. [Google Scholar] [CrossRef]
- Anderson, I.C.; Frost CD and Frost, B.R. Petrogenesis of the Red Mountain pluton, Laramie anorthosite complex, Wyoming:Implications for the origin of A-type granite. Precambrian Research 2003, 124, 243–267. [Google Scholar] [CrossRef]
- Wong, J.; Sun, M.; Xing, G.F.; Li, X.H.; Zhao, G.C.; Wong, K.; Yuan, C.; Xia, X.P.; Li LM and Wu, F.Y. Geochemical and zircon U-Pb and Hf isotopic study of the Baijuhuajian metaluminous A-type granite:Extension at 125~100Ma and its tectonic significance for South China. Lithos 2009, 112, 289–305. [Google Scholar] [CrossRef]
- Creaser, R.A.; Price RC and Wormald, R.J. A-type granites revisited:Assessment of a residual source model. Geology 1991, 19, 163–166. [Google Scholar] [CrossRef]
- Jiang, Y.H.; Zhao, P.; Zhou, Q.; Liao SY and Jin, G.D. Petrogenesis and tectonic implications of Early Cretaceous S-and A-type granites in the northwest of the Gan-Hang rift, SE China. Lithos 2011, 121, 55–73. [Google Scholar] [CrossRef]
- Yang, S.Y.; Jiang, S.Y.; Zhao, K.D.; Jiang, Y.H.; Ling HF and Luo, L. Geochronology, geochemistry and tectonic significance of two Early Cretaceous A-type granites in the Gan-Hang Belt, Southeast China. Lithos 2012, 150, 155–170. [Google Scholar] [CrossRef]
- Pearce, J.A.; Harris NBW and Tindle, A.G. Trace element discrimination diagrams for the tectonic interpretation of granitic rocks. Journal of Petrology 1984, 25, 956–983. [Google Scholar] [CrossRef]
- Defant MJ and Kepezhinskas, P. Evidence suggests slab melting in arc magmas. EOS(Transactions, American Geophysical Union) 2001, 82, 65–69. [Google Scholar] [CrossRef]
- Altherr, R.; Holl, A.; Hegner, E.; Langer, C.; Kreuzer, H. High-potassium, calcalkaline I- type plutonism in the European Variscides, northern Vosges (France) and northern Schwarzwald(Germany). Lithos 2000, 50, 51–73. [Google Scholar] [CrossRef]
- Wang, Y.J.; Fan, W.M.; Guo, F.; Peng, T.P.; Li, C.W. Geochemistry of Mesozoic mafic rocks adjacent to the Chenzhou Linwu fault, South China:Implications for the lithospheric boundary between the Yangtze and Cathaysia blocks. International Geology Review 2003, 45, 263–286. [Google Scholar] [CrossRef]
- Vervoort, J.D.; Patchett, P.J.; Blichert-Toft, J.; Albarède, F. Relationships between Lu-Hf and Sm-Nd isotopic systems in the global sedimentary system. Earth and Planetary Science Letters 1999, 168, 79–9. [Google Scholar] [CrossRef]
- Griffin, W.L.; Wang, X.; Jackson, S.E.; Pearson, N.J.; O’ Reilly, S.Y.; Xu, X.S.; Zhou, X.M. Zircon chemistry and magma mixing, SE China: In-situ analysis of Hf isotopes, Tonglu and Pingtan igneous complexes. Lithos 2002, 61, 237–269. [Google Scholar] [CrossRef]
- Zhou, X.; Yu, X.Q.; Wang, D.E.; Zhang, D.H.; Li, C.L.; Fu JZ and Dong, H.M. Characteristics and geochronology of the, W.; Mo-bearing granodiorite porphyry in Dongyuan, southern Anhui. Geoscience 2011, 25, 201–210. [Google Scholar]
- Guo, L.Z.; Lu, H.F.; Shi, Y.S.; Ma, R.S.; Sun, Y.; Shu, L.S.; Jia, D.; Zhang, Q.L.; Charvet J and Faure, M. On the Meso-Neoproterozoic Jiangnan island arc: Its kinematics and dynamics. Geological Journal of China Universities 1996, 2, 1–13. [Google Scholar]
- Zhu G and Liu, G.S. Basic characteristics and mesozoic orogenic process of the Jiangnan intracontinental orogenic belt in Southern Anhui. Geotectonica et Metallogenia 2000, 24, 103–111. [Google Scholar]
- Wang, F.Y.; Ling, M.X.; Ding, X.; Hu, Y.H.; Zhou, J.B.; Yang, X.Y.; Liang, H.Y.; Fan WM and Sun, W.D. Mesozoic large magmatic events and mineralization in SE China: Oblique subduction of the Pacific plate. International Geology Review 2011, 53, 704–726. [Google Scholar] [CrossRef]
- Holloway, N.H. North Palawan Block, Pliilippines——its relation to Asian Mainl and role in evolution of South China Sea. The American Association of Petroleum Geologists Bulletin 1982, 66, 1355–1383. [Google Scholar]
- Charvet, J.; Lapierre, H.; Yu, Y.W. Geodynamic significance of the Mesozoic volcanism of southeastern China. J. Southeast Asian Earth Sci. 1994, 9, 387–396. [Google Scholar] [CrossRef]
- Shu, L.S.; and Zhou, X.M. Late Mesozoic tectonism in Southeast China. Geological Review 2002, 48, 249–260. [Google Scholar]
- Yu, X.Q.; Wu, G.G.; Zhang, D.; Di, Y.J.; Zang, W.S.; Zhang, X.X.; and Wang, Q.F. The research progress of the Mesozoic tectonic regime transition in southeastern China. Progress in Natural Science 2005, 15, 1167–1175. [Google Scholar]
- Zhang, S.; Zhang, Z.C.; Ai, Y.; Yuan WM and Ma, L.T. The petrology, mineralogy and geochemistry study of the Huangshan granite intrusion in Anhui Province. Acta Petrologica Sinica 2009, 25, 25–38. [Google Scholar]
- Bai, R.Y.; Xu, X.C.; Du, J.G.; Dai, S.Q.; Zhang, D.Y.; and Che, Y.D. Characteristics and U-Pb dating of zircons for intermediate-acidic dikes in Qingyang-Jingxian area of South Anhui Province and their geological significance. Mineral Deposits 2019, 38, 401–425. [Google Scholar]
- Chen, X.F.; Wang, Y.G.; Sun WD and Yang, X.Y. Zircon U-Pb chronology, geochemistry and genesis of the Zhuxiling granite in Ningguo, southern Anhui. Acta Geologica Sinica 2013, 87, 1662–1678. [Google Scholar]














| Sample Number | LC07 | LC08-2 | LC09 | LC14 | LC02-1 | LC05 | LC08-3 |
|---|---|---|---|---|---|---|---|
| Lithology | Monzonitic Granite | Granite | |||||
| SiO2 | 66.76 | 73.8 | 65.98 | 68.55 | 72.67 | 76.67 | 64.79 |
| TiO2 | 0.57 | 0.25 | 0.65 | 0.52 | 0.31 | 0.06 | 0.73 |
| Al2O3 | 15.31 | 12.9 | 15.42 | 14.75 | 13.56 | 12.58 | 15.08 |
| Fe2O3T | 4.35 | 2.33 | 4.58 | 3.7 | 2.86 | 1.25 | 5.39 |
| FeO | 3.05 | 1.66 | 3.32 | 2.46 | 2.06 | 0.94 | 4.05 |
| MnO | 0.08 | 0.06 | 0.08 | 0.08 | 0.06 | 0.05 | 0.13 |
| MgO | 1.27 | 0.47 | 1.39 | 1.09 | 0.56 | 0.07 | 1.65 |
| CaO | 2.76 | 1.23 | 1.93 | 2.54 | 1.36 | 0.61 | 3.03 |
| Na2O | 3.39 | 3.09 | 3.5 | 3.4 | 3.09 | 3.53 | 3.55 |
| K2O | 4.27 | 4.98 | 4.45 | 4.55 | 5.09 | 4.94 | 4.09 |
| P2O5 | 0.24 | 0.08 | 0.26 | 0.2 | 0.11 | 0.01 | 0.29 |
| LOI | 0.68 | 0.51 | 1.62 | 0.55 | 0.68 | 0.35 | 0.66 |
| Total | 102.73 | 101.36 | 103.18 | 102.39 | 102.41 | 101.06 | 103.44 |
| Na2O/K2O | 0.79 | 0.62 | 0.79 | 0.75 | 0.61 | 0.71 | 0.87 |
| Na2O+K2O | 7.66 | 8.07 | 7.95 | 7.95 | 8.18 | 8.47 | 7.64 |
| A/CNK | 1.00 | 1.01 | 1.09 | 0.97 | 1.04 | 1.02 | 0.95 |
| A/NK | 1.50 | 1.23 | 1.46 | 1.40 | 1.28 | 1.13 | 1.47 |
| Mg# | 0.31 | 0.24 | 0.32 | 0.32 | 0.23 | 0.08 | 0.31 |
| La | 47.7 | 36.5 | 52.2 | 40.6 | 33.5 | 12.1 | 63.8 |
| Ce | 96.1 | 74.7 | 105 | 80.7 | 68.6 | 31.8 | 133.5 |
| Pr | 10.75 | 8.58 | 11.9 | 8.95 | 7.89 | 4.34 | 15.6 |
| Nd | 40.2 | 30.9 | 43.7 | 33.2 | 30.2 | 18.5 | 58.6 |
| Sm | 8.51 | 6.32 | 8.69 | 6.77 | 6.64 | 6.55 | 14 |
| Eu | 1.52 | 0.68 | 1.6 | 1.26 | 0.85 | 0.23 | 1.38 |
| Gd | 7.37 | 5.46 | 7.26 | 5.36 | 5.61 | 7.9 | 11.85 |
| Tb | 1.14 | 0.92 | 1.07 | 0.79 | 0.99 | 1.59 | 2.1 |
| Dy | 6.58 | 5.75 | 5.99 | 4.75 | 6.3 | 11.55 | 12.7 |
| Ho | 1.33 | 1.27 | 1.21 | 1 | 1.34 | 2.56 | 2.71 |
| Er | 3.85 | 4.03 | 3.53 | 2.75 | 3.93 | 8.33 | 7.93 |
| Tm | 0.54 | 0.64 | 0.51 | 0.42 | 0.65 | 1.39 | 1.23 |
| Yb | 3.79 | 4.54 | 3.47 | 2.84 | 4.66 | 10.15 | 8.4 |
| Lu | 0.59 | 0.74 | 0.55 | 0.47 | 0.71 | 1.53 | 1.27 |
| Sc | 8.3 | 3.8 | 8.6 | 6.3 | 5.3 | 3.1 | 11.8 |
| V | 58 | 20 | 57 | 48 | 27 | 3 | 74 |
| Cr | 30 | 20 | 20 | 30 | 20 | 20 | 30 |
| Co | 7.3 | 2.6 | 7 | 5.4 | 3.4 | 0.5 | 8.9 |
| Ni | 7.2 | 2.7 | 7.1 | 4.9 | 3.2 | 0.9 | 8.5 |
| Ga | 19.4 | 15.1 | 17.8 | 16.8 | 17 | 16.65 | 21.1 |
| Rb | 157.5 | 237 | 145.5 | 157 | 201 | 319 | 202 |
| Sr | 308 | 107.5 | 303 | 292 | 160 | 24.9 | 267 |
| Y | 36.9 | 35.4 | 29.2 | 25.7 | 36.9 | 58.4 | 74.6 |
| Zr | 267 | 145 | 303 | 230 | 211 | 89 | 363 |
| Nb | 18.4 | 18.3 | 20 | 16.5 | 15.9 | 26.1 | 34.8 |
| Ba | 841 | 333 | 1025 | 835 | 554 | 32.9 | 757 |
| Hf | 6.9 | 4.6 | 7.8 | 6 | 5.8 | 4.3 | 9.4 |
| Ta | 1.3 | 2.1 | 1.1 | 1.3 | 1.5 | 3.8 | 2.4 |
| Pb | 19 | 25.3 | 18.6 | 19.1 | 25.4 | 39.2 | 19 |
| Th | 12.15 | 19.4 | 13.75 | 13.85 | 12.1 | 21.8 | 14.65 |
| U | 2.9 | 7.1 | 2.9 | 3.2 | 4.6 | 12.3 | 3 |
| ∑REE | 229.97 | 181.03 | 246.68 | 189.86 | 171.87 | 118.52 | 335.07 |
| ∑LREE | 204.78 | 157.68 | 223.09 | 171.48 | 147.68 | 73.52 | 286.88 |
| ∑HREE | 25.19 | 23.35 | 23.59 | 18.38 | 24.19 | 45.00 | 48.19 |
| LREE/HREE | 8.13 | 6.75 | 9.46 | 9.33 | 6.11 | 1.63 | 5.95 |
| (La/Yb)N | 9.03 | 5.77 | 10.79 | 10.25 | 5.16 | 0.86 | 5.45 |
| δEu | 0.59 | 0.35 | 0.62 | 0.64 | 0.43 | 0.10 | 0.33 |
| δCe | 1.04 | 1.03 | 1.03 | 1.04 | 1.03 | 1.08 | 1.04 |
| Sample number | lithology | t (Ma) | Rb | Sr | 87Rb/86Sr | 87Sr/86Sr | 2σ | Sm | Nd | 147Sm/144Nd | 143Nd/144Nd | 2σ | INd (t) | ISr (t) | εNd (t) | TDM2 (Ma) |
|---|---|---|---|---|---|---|---|---|---|---|---|---|---|---|---|---|
| (×10−6) | (×10−6) | |||||||||||||||
| LC08-2 | monzonitic granite | 130.5 | 237 | 114 | 6.022 | 0.720512 | 0.000010 | 6.32 | 30.9 | 0.1236 | 0.512452 | 0.000011 | 0.512346 | 0.70934 | -2.42 | 1122 |
| LC14 | biotite monzogranite | 128.95 | 157 | 300 | 1.515 | 0.711987 | 0.000015 | 6.77 | 33.2 | 0.1233 | 0.512335 | 0.000010 | 0.512231 | 0.70921 | -4.7 | 1306 |
| LC08-3 | granite | 133.5 | 202 | 267 | 2.190 | 0.713192 | 0.000012 | 14.00 | 58.6 | 0.1444 | 0.512503 | 0.000007 | 0.512377 | 0.70904 | -1.74 | 1069 |
| Test point | Content (μg/g) | Th/U | Isotope Ratio | Age (Ma) | |||||||||
|---|---|---|---|---|---|---|---|---|---|---|---|---|---|
| Th | U | 207Pb/206Pb | 1σ | 207Pb/235U | 1σ | 206Pb/238U | 1σ | 207Pb/235U | 1σ | 206Pb/238U | 1σ | ||
| Monzonitic Granite (LC08-2) | |||||||||||||
| LC08-2-01 | 310.26 | 880.68 | 0.35 | 0.050363 | 0.000675 | 0.142208 | 0.002024 | 0.020436 | 0.000139 | 135.0 | 1.8 | 130.4 | 0.9 |
| LC08-2-02 | 127.72 | 286.21 | 0.45 | 0.052146 | 0.001227 | 0.148254 | 0.003412 | 0.020811 | 0.000219 | 140.4 | 3.0 | 132.8 | 1.4 |
| LC08-2-03 | 265.91 | 1151.47 | 0.23 | 0.049838 | 0.000673 | 0.139726 | 0.001983 | 0.020314 | 0.000146 | 132.8 | 1.8 | 129.6 | 0.9 |
| LC08-2-04 | 411.17 | 714.02 | 0.58 | 0.050719 | 0.000819 | 0.144621 | 0.002552 | 0.020611 | 0.000163 | 137.2 | 2.3 | 131.5 | 1.0 |
| LC08-2-05 | 98.66 | 539.91 | 0.18 | 0.051165 | 0.000940 | 0.142935 | 0.002762 | 0.020285 | 0.000160 | 135.7 | 2.5 | 129.5 | 1.0 |
| LC08-2-07 | 86.27 | 228.30 | 0.38 | 0.049576 | 0.001360 | 0.137211 | 0.003673 | 0.020190 | 0.000195 | 130.6 | 3.3 | 128.9 | 1.2 |
| LC08-2-08 | 216.33 | 1077.78 | 0.20 | 0.047882 | 0.000732 | 0.133046 | 0.002033 | 0.020140 | 0.000140 | 126.8 | 1.8 | 128.5 | 0.9 |
| LC08-2-09 | 123.29 | 466.18 | 0.26 | 0.051557 | 0.001036 | 0.147076 | 0.003130 | 0.020580 | 0.000154 | 139.3 | 2.8 | 131.3 | 1.0 |
| LC08-2-10 | 252.85 | 1208.57 | 0.21 | 0.049078 | 0.000638 | 0.140101 | 0.001904 | 0.020675 | 0.000145 | 133.1 | 1.7 | 131.9 | 0.9 |
| LC08-2-11 | 304.63 | 1576.02 | 0.19 | 0.048461 | 0.000591 | 0.136312 | 0.001787 | 0.020381 | 0.000147 | 129.8 | 1.6 | 130.1 | 0.9 |
| LC08-2-12 | 319.17 | 1239.07 | 0.26 | 0.048918 | 0.000650 | 0.138907 | 0.002003 | 0.020565 | 0.000157 | 132.1 | 1.8 | 131.2 | 1.0 |
| LC08-2-13 | 254.06 | 1262.64 | 0.20 | 0.048533 | 0.000642 | 0.137148 | 0.001925 | 0.020486 | 0.000153 | 130.5 | 1.7 | 130.7 | 1.0 |
| LC08-2-14 | 324.77 | 1116.43 | 0.29 | 0.048508 | 0.000643 | 0.137377 | 0.001936 | 0.020518 | 0.000150 | 130.7 | 1.7 | 130.9 | 0.9 |
| LC08-2-15 | 119.08 | 830.69 | 0.14 | 0.048903 | 0.000885 | 0.137470 | 0.002706 | 0.020387 | 0.000160 | 130.8 | 2.4 | 130.1 | 1.0 |
| LC08-2-16 | 98.00 | 500.82 | 0.20 | 0.049725 | 0.000951 | 0.138404 | 0.002648 | 0.020281 | 0.000166 | 131.6 | 2.4 | 129.4 | 1.1 |
| LC08-2-18 | 151.61 | 672.57 | 0.23 | 0.049484 | 0.000748 | 0.140317 | 0.002297 | 0.020499 | 0.000153 | 133.3 | 2.0 | 130.8 | 1.0 |
| LC08-2-19 | 326.97 | 1282.61 | 0.25 | 0.048769 | 0.000631 | 0.138848 | 0.001992 | 0.020626 | 0.000162 | 132.0 | 1.8 | 131.6 | 1.0 |
| porphyritic biotite monzonitic granite (LC14) | |||||||||||||
| LC14-01 | 390.27 | 816.24 | 0.48 | 0.049287 | 0.000827 | 0.138566 | 0.002407 | 0.020363 | 0.000145 | 131.8 | 2.1 | 129.9 | 0.9 |
| LC14-02 | 180.08 | 520.04 | 0.35 | 0.048164 | 0.000873 | 0.134536 | 0.002478 | 0.020307 | 0.000164 | 128.2 | 2.2 | 129.6 | 1.0 |
| LC14-03 | 254.79 | 838.54 | 0.30 | 0.048314 | 0.000716 | 0.134207 | 0.002016 | 0.020200 | 0.000145 | 127.9 | 1.8 | 128.9 | 0.9 |
| LC14-04 | 310.52 | 997.11 | 0.31 | 0.050644 | 0.000729 | 0.140847 | 0.002110 | 0.020175 | 0.000146 | 133.8 | 1.9 | 128.8 | 0.9 |
| LC14-05 | 264.33 | 651.02 | 0.41 | 0.050359 | 0.000873 | 0.141477 | 0.002651 | 0.020332 | 0.000162 | 134.4 | 2.4 | 129.8 | 1.0 |
| LC14-06 | 107.41 | 351.89 | 0.31 | 0.047631 | 0.001104 | 0.133922 | 0.003197 | 0.020412 | 0.000182 | 127.6 | 2.9 | 130.3 | 1.2 |
| LC14-08 | 842.67 | 741.75 | 1.14 | 0.049784 | 0.000816 | 0.138074 | 0.002288 | 0.020085 | 0.000130 | 131.3 | 2.0 | 128.2 | 0.8 |
| LC14-09 | 279.40 | 558.43 | 0.50 | 0.050595 | 0.000863 | 0.141421 | 0.002559 | 0.020241 | 0.000153 | 134.3 | 2.3 | 129.2 | 1.0 |
| LC14-10 | 288.41 | 291.20 | 0.99 | 0.050337 | 0.001418 | 0.137015 | 0.003717 | 0.019872 | 0.000154 | 130.4 | 3.3 | 126.8 | 1.0 |
| LC14-12 | 213.19 | 583.51 | 0.37 | 0.048467 | 0.000850 | 0.136299 | 0.002509 | 0.020365 | 0.000170 | 129.7 | 2.2 | 130.0 | 1.1 |
| LC14-14 | 220.21 | 542.73 | 0.41 | 0.050189 | 0.000880 | 0.139886 | 0.002385 | 0.020240 | 0.000138 | 132.9 | 2.1 | 129.2 | 0.9 |
| LC14-15 | 379.17 | 825.54 | 0.46 | 0.047007 | 0.000622 | 0.131217 | 0.001938 | 0.020130 | 0.000141 | 125.2 | 1.7 | 128.5 | 0.9 |
| LC14-16 | 254.24 | 617.85 | 0.41 | 0.049446 | 0.000818 | 0.139367 | 0.002364 | 0.020411 | 0.000151 | 132.5 | 2.1 | 130.3 | 1.0 |
| LC14-17 | 355.91 | 636.50 | 0.56 | 0.050432 | 0.000836 | 0.138147 | 0.002275 | 0.019886 | 0.000135 | 131.4 | 2.0 | 126.9 | 0.9 |
| LC14-18 | 160.97 | 1001.76 | 0.16 | 0.048598 | 0.000631 | 0.135582 | 0.001706 | 0.020250 | 0.000140 | 129.1 | 1.5 | 129.2 | 0.9 |
| LC14-19 | 172.69 | 524.79 | 0.33 | 0.049145 | 0.000891 | 0.136698 | 0.002536 | 0.020242 | 0.000159 | 130.1 | 2.3 | 129.2 | 1.0 |
| LC14-20 | 37.66 | 81.67 | 0.46 | 0.051449 | 0.002376 | 0.139445 | 0.006213 | 0.020228 | 0.000227 | 132.5 | 5.5 | 129.1 | 1.4 |
| granite (LC08-3) | |||||||||||||
| LC08-3-01 | 386.53 | 1309.97 | 0.30 | 0.049566 | 0.000611 | 0.142028 | 0.001805 | 0.020782 | 0.000144 | 134.8 | 1.6 | 132.6 | 0.9 |
| LC08-3-02 | 341.87 | 862.40 | 0.40 | 0.049623 | 0.000729 | 0.145009 | 0.002452 | 0.021147 | 0.000198 | 137.5 | 2.2 | 134.9 | 1.2 |
| LC08-3-03 | 140.91 | 839.95 | 0.17 | 0.051072 | 0.000766 | 0.146360 | 0.002207 | 0.020781 | 0.000155 | 138.7 | 2.0 | 132.6 | 1.0 |
| LC08-3-04 | 114.04 | 282.40 | 0.40 | 0.048622 | 0.001074 | 0.142701 | 0.003254 | 0.021311 | 0.000182 | 135.4 | 2.9 | 135.9 | 1.1 |
| LC08-3-09 | 210.01 | 628.17 | 0.33 | 0.049348 | 0.000742 | 0.146119 | 0.002480 | 0.021418 | 0.000189 | 138.5 | 2.2 | 136.6 | 1.2 |
| LC08-3-12 | 133.51 | 241.64 | 0.55 | 0.048753 | 0.001168 | 0.139869 | 0.003430 | 0.020834 | 0.000175 | 132.9 | 3.1 | 132.9 | 1.1 |
| LC08-3-14 | 204.56 | 721.18 | 0.28 | 0.049995 | 0.000786 | 0.147684 | 0.002420 | 0.021402 | 0.000175 | 139.9 | 2.1 | 136.5 | 1.1 |
| LC08-3-15 | 110.58 | 284.74 | 0.39 | 0.049597 | 0.001151 | 0.144450 | 0.003356 | 0.021257 | 0.000186 | 137.0 | 3.0 | 135.6 | 1.2 |
| LC08-3-16 | 181.80 | 962.05 | 0.19 | 0.049042 | 0.000613 | 0.140709 | 0.001758 | 0.020812 | 0.000136 | 133.7 | 1.6 | 132.8 | 0.9 |
| LC08-3-17 | 266.94 | 920.53 | 0.29 | 0.049328 | 0.000701 | 0.142354 | 0.002092 | 0.020914 | 0.000143 | 135.1 | 1.9 | 133.4 | 0.9 |
| LC08-3-18 | 272.80 | 1063.26 | 0.26 | 0.048549 | 0.000644 | 0.138877 | 0.001886 | 0.020748 | 0.000151 | 132.0 | 1.7 | 132.4 | 1.0 |
| LC08-3-19 | 461.70 | 1181.58 | 0.39 | 0.049123 | 0.000641 | 0.141275 | 0.001872 | 0.020875 | 0.000143 | 134.2 | 1.7 | 133.2 | 0.9 |
| Test Point | 176Yb/177Hf | 176Lu/177Hf | 2σ | 176Hf/177Hf | 2σ | Age (Ma) | εHf(t) | TDM1 | TDM2 | fLu/Hf |
|---|---|---|---|---|---|---|---|---|---|---|
| LC08-2 | monzonitic granite | |||||||||
| LC08-2-1 | 0.034666 | 0.001297 | 0.000004 | 0.282445 | 0.000008 | 130.4 | -8.81 | 1150 | 1747 | -0.96 |
| LC08-2-2 | 0.042051 | 0.001507 | 0.000012 | 0.282454 | 0.000009 | 132.8 | -8.44 | 1143 | 1726 | -0.95 |
| LC08-2-3 | 0.032602 | 0.001284 | 0.000011 | 0.282460 | 0.000011 | 129.6 | -8.3 | 1128 | 1713 | -0.96 |
| LC08-2-4 | 0.066740 | 0.002417 | 0.000016 | 0.282455 | 0.000008 | 131.5 | -8.54 | 1170 | 1728 | -0.93 |
| LC08-2-5 | 0.028864 | 0.001168 | 0.000006 | 0.282472 | 0.000008 | 129.5 | -7.84 | 1107 | 1685 | -0.96 |
| LC08-2-7 | 0.054482 | 0.002058 | 0.000023 | 0.282477 | 0.000010 | 128.9 | -7.78 | 1127 | 1679 | -0.94 |
| LC08-2-8 | 0.038874 | 0.001476 | 0.000003 | 0.282455 | 0.000007 | 128.5 | -8.5 | 1141 | 1726 | -0.96 |
| LC08-2-9 | 0.028752 | 0.001086 | 0.000005 | 0.282438 | 0.000008 | 131.3 | -9.04 | 1153 | 1761 | -0.97 |
| LC08-2-10 | 0.044404 | 0.001668 | 0.000010 | 0.282446 | 0.000007 | 131.9 | -8.78 | 1159 | 1744 | -0.95 |
| LC08-2-11 | 0.033442 | 0.001169 | 0.000004 | 0.282499 | 0.000008 | 130.1 | -6.91 | 1070 | 1626 | -0.96 |
| LC08-2-12 | 0.061627 | 0.002264 | 0.000011 | 0.282450 | 0.000008 | 131.2 | -8.72 | 1173 | 1740 | -0.93 |
| LC08-2-13 | 0.042694 | 0.001616 | 0.000013 | 0.282482 | 0.000011 | 130.7 | -7.53 | 1107 | 1665 | -0.95 |
| LC08-2-14 | 0.051891 | 0.001905 | 0.000024 | 0.282464 | 0.000008 | 130.9 | -8.2 | 1142 | 1708 | -0.94 |
| LC08-2-15 | 0.034133 | 0.001362 | 0.000023 | 0.282466 | 0.000007 | 130.1 | -8.11 | 1123 | 1702 | -0.96 |
| LC08-2-16 | 0.041585 | 0.001635 | 0.000005 | 0.282458 | 0.000007 | 129.4 | -8.41 | 1141 | 1719 | -0.95 |
| LC08-2-18 | 0.032475 | 0.001197 | 0.000007 | 0.282430 | 0.000008 | 130.8 | -9.33 | 1168 | 1780 | -0.96 |
| LC08-2-19 | 0.037640 | 0.001441 | 0.000001 | 0.282454 | 0.000009 | 131.6 | -8.47 | 1141 | 1726 | -0.96 |
| LC14 | porphyritic biotite monzonitic granite | |||||||||
| LC14-2 | 0.029774 | 0.001261 | 0.000019 | 0.282429 | 0.000011 | 129.6 | -9.43 | 1172 | 1784 | -0.96 |
| LC14-3 | 0.034529 | 0.001316 | 0.000014 | 0.282458 | 0.000009 | 128.9 | -8.42 | 1133 | 1720 | -0.96 |
| LC14-4 | 0.027043 | 0.001151 | 0.000005 | 0.282456 | 0.000008 | 128.8 | -8.46 | 1130 | 1723 | -0.97 |
| LC14-5 | 0.032517 | 0.001319 | 0.000013 | 0.282443 | 0.000012 | 129.8 | -8.9 | 1153 | 1751 | -0.96 |
| LC14-6 | 0.020863 | 0.000881 | 0.000008 | 0.282467 | 0.000009 | 130.3 | -8 | 1106 | 1695 | -0.97 |
| LC14-8 | 0.063363 | 0.002410 | 0.000039 | 0.282435 | 0.000009 | 128.2 | -9.28 | 1199 | 1775 | -0.93 |
| LC14-9 | 0.032816 | 0.001255 | 0.000013 | 0.282452 | 0.000008 | 129.2 | -8.59 | 1139 | 1732 | -0.96 |
| LC14-10 | 0.065406 | 0.002145 | 0.000024 | 0.282440 | 0.000011 | 126.8 | -9.14 | 1184 | 1765 | -0.94 |
| LC14-12 | 0.025735 | 0.001029 | 0.000004 | 0.282453 | 0.000008 | 130.0 | -8.5 | 1130 | 1727 | -0.97 |
| LC14-14 | 0.030085 | 0.001126 | 0.000002 | 0.282450 | 0.000008 | 129.2 | -8.63 | 1137 | 1735 | -0.97 |
| LC14-15 | 0.054421 | 0.002017 | 0.000024 | 0.282458 | 0.000008 | 128.5 | -8.43 | 1153 | 1721 | -0.94 |
| LC14-16 | 0.030100 | 0.001146 | 0.000006 | 0.282434 | 0.000009 | 130.3 | -9.2 | 1160 | 1770 | -0.97 |
| LC14-17 | 0.033861 | 0.001266 | 0.000004 | 0.282437 | 0.000008 | 126.9 | -9.17 | 1159 | 1765 | -0.96 |
| LC14-18 | 0.037303 | 0.001363 | 0.000024 | 0.282439 | 0.000006 | 129.2 | -9.05 | 1160 | 1761 | -0.96 |
| LC14-19 | 0.021867 | 0.000871 | 0.000005 | 0.282456 | 0.000009 | 129.2 | -8.41 | 1122 | 1721 | -0.97 |
| LC14-20 | 0.022815 | 0.000852 | 0.000008 | 0.282462 | 0.000008 | 129.1 | -8.2 | 1112 | 1706 | -0.97 |
| LC08-3 | granite | |||||||||
| LC08-3-1 | 0.048070 | 0.001768 | 0.000012 | 0.282449 | 0.000011 | 132.6 | -8.66 | 1158 | 1738 | -0.95 |
| LC08-3-2 | 0.056244 | 0.002167 | 0.000014 | 0.282471 | 0.000008 | 134.9 | -7.9 | 1140 | 1691 | -0.93 |
| LC08-3-3 | 0.032200 | 0.001130 | 0.000005 | 0.282447 | 0.000009 | 132.6 | -8.69 | 1142 | 1740 | -0.97 |
| LC08-3-4 | 0.040687 | 0.001444 | 0.000006 | 0.282467 | 0.000009 | 135.9 | -7.95 | 1123 | 1695 | -0.96 |
| LC08-3-5 | 0.044623 | 0.001654 | 0.000011 | 0.282435 | 0.000009 | 139.5 | -9 | 1175 | 1766 | -0.95 |
| LC08-3-7 | 0.058329 | 0.001968 | 0.000024 | 0.282427 | 0.000007 | 146.6 | -9.16 | 1196 | 1780 | -0.94 |
| LC08-3-9 | 0.045140 | 0.001562 | 0.000006 | 0.282440 | 0.000010 | 136.6 | -8.89 | 1165 | 1756 | -0.95 |
| LC08-3-11 | 0.031283 | 0.001173 | 0.000007 | 0.282448 | 0.000009 | 138.2 | -8.53 | 1141 | 1734 | -0.96 |
| LC08-3-12 | 0.039362 | 0.001497 | 0.000004 | 0.282449 | 0.000009 | 132.9 | -8.65 | 1151 | 1738 | -0.95 |
| LC08-3-13 | 0.027196 | 0.001034 | 0.000005 | 0.282465 | 0.000010 | 127.1 | -8.14 | 1114 | 1703 | -0.97 |
| LC08-3-14 | 0.048543 | 0.001794 | 0.000026 | 0.282474 | 0.000009 | 136.5 | -7.72 | 1124 | 1681 | -0.95 |
| LC08-3-15 | 0.029626 | 0.001201 | 0.000009 | 0.282482 | 0.000007 | 135.6 | -7.39 | 1095 | 1661 | -0.96 |
| LC08-3-16 | 0.043622 | 0.001730 | 0.000009 | 0.282482 | 0.000012 | 132.8 | -7.48 | 1110 | 1664 | -0.95 |
| LC08-3-17 | 0.041481 | 0.001674 | 0.000007 | 0.282484 | 0.000008 | 133.4 | -7.4 | 1105 | 1658 | -0.95 |
| LC08-3-18 | 0.031496 | 0.001274 | 0.000006 | 0.282385 | 0.000010 | 132.4 | -10.93 | 1234 | 1880 | -0.96 |
| LC08-3-19 | 0.054329 | 0.002152 | 0.000023 | 0.282462 | 0.000009 | 133.2 | -8.25 | 1152 | 1711 | -0.94 |
Disclaimer/Publisher’s Note: The statements, opinions and data contained in all publications are solely those of the individual author(s) and contributor(s) and not of MDPI and/or the editor(s). MDPI and/or the editor(s) disclaim responsibility for any injury to people or property resulting from any ideas, methods, instructions or products referred to in the content. |
© 2024 by the authors. Licensee MDPI, Basel, Switzerland. This article is an open access article distributed under the terms and conditions of the Creative Commons Attribution (CC BY) license (http://creativecommons.org/licenses/by/4.0/).