Preprint
Article

This version is not peer-reviewed.

Spinal Neuromodulation for Respiratory Rehabilitation in Patients with Post-Acute COVID-19 Syndrome

A peer-reviewed article of this preprint also exists.

Submitted:

09 November 2024

Posted:

11 November 2024

You are already at the latest version

Abstract
(1) Background: Neurological deficits associated with coronavirus disease (COVID-19) exacerbate respiratory dysfunction, necessitating rehabilitation strategies that address both. Previous studies have demonstrated that spinal cord transcutaneous stimulation (scTS) can facilitate the excitation of respiratory spinal neural networks in patients with post-COVID-19 syndrome. This study evaluates the efficacy of combining scTS with respiratory training (RT) to improve respiratory function in individuals with post-COVID-19 pulmonary deficits; (2) Methods: In this before-after, case-controlled clinical trial, five individuals with post-acute COVID-19 respiratory deficits participated in two interventional programs: 10 daily sessions of respiratory training (RT), followed by 10 daily sessions of scTS combined with RT (scTS+RT). Forced vital capacity (FVC), peak inspiratory flow (PIF), peak expiratory flow (PEF), time-to-peak inspiratory flow (tPIF), and time-to-peak expiratory flow (tPEF) were assessed at baseline and after each program; (3) Results: Compared to RT alone, the scTS+RT intervention resulted in an average effect size that was twice as large, with significant increases in FVC and PEF, and a significant decrease in tPEF; (4) Conclusions: The scTS-induced activation of respiratory neuronal networks, when combined with respiratory training, offers a promising therapeutic approach for treating persistent respiratory deficits in patients with post-acute COVID-19 syndrome.
Keywords: 
;  ;  ;  ;  

1. Introduction

The Human Coronavirus Disease 2019 (COVID-19) is a systemic illness that exerts widespread effects on multiple physiological systems, affecting not only the respiratory system but also cardiovascular, neurological, and immune functions [1]. While COVID-19 is primarily known for its respiratory complications, its influence on other systems underscores its complex and multifaceted nature as a whole-body disease. Among its long-term impacts, post-acute COVID-19 syndrome has emerged as a particularly severe respiratory condition with extensive implications for healthcare systems, as the growing population of patients with persistent symptoms continues to demand significant medical and rehabilitative resources [2,3]. This syndrome not only contributes substantially to healthcare burdens but also increases the risk of multi-organ dysfunction, with potential complications ranging from cardiovascular damage to neurological impairments, further complicating patient recovery and management [4]. Although evidence indicates that the nervous system is also impacted by COVID-19, with many patients experiencing symptoms related to neuroinflammation and direct neural invasion, the respiratory and cardiovascular systems remain the primary targets of the virus [5]. These systems are the most frequently affected [6,7] and represent the most common causes of COVID-19-related morbidity and mortality [8], necessitating targeted strategies to manage and rehabilitate affected patients.
Although most patients recover after the acute phase of COVID-19, clinicians face significant challenges in managing the post-acute phase, which involves a broad spectrum of persistent symptoms that can affect multiple organ systems [9]. Respiratory symptoms remain among the most prevalent and concerning, with many patients experiencing dyspnea, reduced lung diffusion capacity, and a restrictive pulmonary pattern. Notably, this restrictive pattern impacts at least 68% of patients recovering from COVID-19, reflecting the substantial and lasting impact of the virus on pulmonary function [10,11,12]. In addition to respiratory complications, there is accumulating evidence that COVID-19 can also lead to various neurological symptoms, further complicating patient care and recovery pathways [5]. The mechanisms underlying these diverse complications are complex and multifactorial, involving direct viral invasion of neural tissue, as well as indirect effects such as immune-mediated responses, vascular damage, hypoxia, and systemic inflammation [13]. Therefore, effective rehabilitation for patients with post-acute COVID-19 must take a multifaceted approach that addresses these interconnected physiological challenges, tailoring interventions to manage respiratory, neurological, and other systemic deficits [11,14].
There has been a recent surge in research focusing on patient-specific rehabilitation programs aimed at enhancing respiratory outcomes for both acute and chronic COVID-19 patients. Personalized rehabilitation approaches hold promise, as they are designed to address the unique and varied needs of COVID-19 survivors. While respiratory rehabilitation has demonstrated clear effectiveness in managing many chronic respiratory disorders, its specific impact on COVID-19-related respiratory deficits remains uncertain, as the underlying pathology and recovery trajectory of post-COVID-19 respiratory impairment may differ from other conditions [15]. Current rehabilitation strategies for COVID-19 are predominantly centered on symptomatic relief, supported by multidisciplinary approaches that tailor treatment to individual patient needs. This patient-centered approach underscores the necessity for further clinical trials to identify the most effective methodologies and establish evidence-based practices [16]. To date, however, no definitive rehabilitation protocol has been established specifically for COVID-19, highlighting a critical gap in standard treatment approaches [9,17]. Most research efforts have prioritized acute care settings, with less attention given to the long-term rehabilitative needs of post-acute COVID-19 patient [18]. Consequently, the demand for comprehensive post-acute care has surged, with a marked increase in patients presenting to specialized healthcare facilities with diverse levels of respiratory dysfunction [19].
Previous research has demonstrated that respiratory training (RT) interventions can help improve respiratory deficits in patients with chronic respiratory disorders. RT aims to strengthen respiratory muscles, increase lung capacity, and improve overall functional outcomes, making it a valuable component of pulmonary rehabilitation [20,21,22,23,24]. However, while RT can provide measurable benefits, its effectiveness as a standalone intervention remains limited, particularly for patients with complex respiratory impairments like those associated with post-COVID-19 syndrome [25]. Given the risk of progressive deterioration in respiratory function, initiating respiratory rehabilitation during the acute phase of COVID-19 is generally not recommended due to potential complications. [19], but becomes crucial in the post-acute phase to address the respiratory impairments associated with recovery from COVID-19 [4]. Recent studies suggest that neuromodulation approaches may offer a complementary benefit to traditional rehabilitation strategies, providing additional support for individuals recovering from the respiratory and neurological sequelae of COVID-19 [26,27]. Neuromodulation encompasses various techniques, including both invasive and non-invasive methods, that aim to stimulate specific neural circuits to promote neuroplasticity and functional recovery. Although several neuromodulatory techniques are available, few have been rigorously evaluated for their effectiveness in COVID-19 patients, leaving a gap in our understanding of how these approaches might enhance respiratory rehabilitation in this unique patient population [27,28].
In our recent study, we explored the application of a single session of spinal cord transcutaneous stimulation (scTS) over the thoracic spinal cord in post-COVID-19 patients, demonstrating improved respiratory performance likely due to activation of spinal neural networks involved in respiratory control [26]. These findings indicate that spinal cord stimulation, by enhancing neural responsiveness, could be a valuable adjunct to rehabilitation strategies for post-acute COVID-19 patients, supporting improved respiratory function and potentially accelerating recovery [15,26,27]. Based on this evidence, we hypothesized that combining scTS with RT would amplify use-dependent plasticity, resulting in significantly improved functional outcomes compared to RT alone. This combined approach could provide a more robust solution for addressing the complex respiratory challenges faced by individuals in post-acute recovery from COVID-19.

2. Materials and Methods

2.1. Research Participants

The study was approved by the Ethics Committee of Pavlov’s Institute of Physiology, St. Petersburg, Russian Federation (protocol #20-02, dated 18 December 2020), and conducted in accordance with the requirements of the Ministry of Science and Higher Education of the Russian Federation regarding “On the activities of organizations subordinate to the Ministry of Science and Higher Education of the Russian Federation in the conditions of preventing the spread of the COVID-19 infection in the territory of the Russian Federation” (order #692, dated 28 May 2020). Data collection took place in January and February 2021 in a physiological laboratory environment. Outcome measures were assessed before the initial intervention period ("pre-intervention" time point) and within the two-day window following each intervention: after 10 sessions of RT and after the completion of 10 sessions of RT combined with scTS ("post-intervention" time points).
Five participants (two females and three males), aged 56 ± 16 years, who had previously been hospitalized for severe COVID-19 with associated pneumonia, were recruited 57 ± 32 days after their initial diagnosis (Table 1). Prior to enrollment, all participants tested negative for COVID-19 via PCR. The inclusion criteria included a minimum age of 21 years, a diagnosis of post-acute COVID-19 syndrome, no ventilator dependence, a respiratory functional deficit defined by at least a 20% reduction in predicted FVC values, no history of tobacco or drug use, and the absence of cardiovascular or respiratory conditions unrelated to COVID-19. At the time of the study, all participants reported experiencing episodes of shortness of breath and fatigue. Throughout the study, participants maintained their regular daily activities, and none withdrew from the study.

2.2. Research Procedures

In all participants (n=5), the effects of the RT program alone and in combination with scTS were assessed. During the interventional sessions, participants were seated in a chair with an approximately 45° head-up tilt. RT was delivered using a threshold Positive Expiratory Pressure (PEP, Philips Respironics Inc., Cedar Grove, NJ) device. Over two weeks, participants completed ten 30-minute sessions, performing expiratory efforts against a pressure threshold load until their lungs felt empty. The RT program began with a pressure threshold of 7 cm H₂O, progressively increasing to 13 cm H₂O by session 10, as tolerated. The interval training protocol consisted of five work sets, each lasting 3 minutes, with rest intervals of 1 to 3 minutes between sets.
Following the post-RT assessments, participants underwent an additional 10 sessions of scTS combined with RT. During each session, scTS was administered first, followed by the RT protocol as described above. Multi-site scTS was delivered using a Neostim-5 device (Cosyma Inc., Denver, CO, USA). Stimulation was applied to the midline between the third and fourth, as well as between the eighth and ninth thoracic spinous processes (Th3–Th4 and Th8–Th9), corresponding to the T5 and T10 spinal cord segments, respectively [29]. Self-adhesive cathode electrodes, 32 mm in diameter (ValueTrode, Axelgaard Manufacturing Co., LTD, Fallbrook, CA, USA), were used for electrode placement [29]. Two interconnected self-adhesive rectangular electrodes, each measuring 5 × 9 cm, were used as anodes and positioned bilaterally along the rectus abdominis muscles, centered at the level of the umbilicus.
To identify the primary areas targeted during scTS, simulations of current field visualization were conducted to clarify spinal structures engaged by scTS at each stimulation site. These simulations used an ohmic quasi-static model, employing a finite element approach (Sim4Life, Zurich Med Tech, Switzerland) within a virtual framework (Yoon Sun ViP 4.0, IT’IS Foundation) incorporating tissue-specific electrical properties [30]. The current amplitudes in the simulation mirrored the average values applied in the interventional settings (Figure 1).
The stimulation protocol involved 5 kHz-modulated monophasic pulses with a 1 ms duration, delivered at a frequency of 30 Hz to target spinal cord segments associated with accessory respiratory muscles. The stimulation intensity was initially set at 10 mA and gradually increased to 85 mA, until motor threshold was indicated by intercostal or abdominal muscle twitching. During the intervention, the intensity was reduced by 10 mA to sub-motor threshold levels and applied for 20 minutes. Brachial arterial blood pressure (BP), heart rate (HR), oxygen saturation, and pain perception (measured using a visual analog scale of pain, VASp) were continuously monitored 20 minutes before, during, and 20 minutes after each intervention. All scTS sessions were conducted by qualified technologists.
Textual editing for clarity and grammar of the manuscript was performed with the aid of an AI language model (ChatGPT, OpenAI, San Francisco, CA). The AI provided recommendations on sentence structure, phrasing, and grammar to enhance readability and ensure precise scientific communication. No changes were made to citations, data interpretation, or scientific content [31].

2.3. Outcome Measures

Respiratory function outcomes, including forced vital capacity (FVC, L and % predicted), peak inspiratory flow (PIF, L/min), peak expiratory flow (PEF, L/min), time-to-peak inspiratory flow (tPIF, sec), and time-to-peak expiratory flow (tPEF, sec), were assessed using flow-volume curves recorded in the seated position during standard spirometry. These measurements were collected using a Powerlab 16/35 data acquisition system and the Human Respiratory Kit (AD Instruments, Denver, CO, USA) [32]. FVC served as a reliable endpoint for evaluating the effectiveness of respiratory interventions [33,34].

2.4. Statistical Analysis

Outcomes that were normally distributed, as determined by the Shapiro-Wilk test, are summarized using the mean and standard deviation (SD) and evaluated with a paired t-test. Non-normally distributed outcomes are summarized with the median, interquartile range (25th–75th percentiles), and median absolute deviation (MAD), and analyzed using the Signed Rank test. All tests were two-sided, with a significance level set at 5%. Pre-post changes were quantified using “Cohen’s d” effect size [35], calculated as the mean of the differences divided by the SD of differences for normally distributed outcomes, and as the median of differences divided by the MAD of differences for non-normally distributed outcomes. Effect sizes were classified according to Sawilowsky’s extension [36] of Cohen’s criteria as trivial (<0.01), very small (0.01–0.19), small (0.2–0.49), medium (0.5–0.79), large (0.8–1.19), very large (1.2–1.99), and huge (≥2.0). A threshold of 0.5 was considered the minimally important difference for health-related quality of life [37,38]. The statistical significance threshold was set to α = 0.05.

3. Results

Compared to baseline, the RT intervention led to an increase in FVC from 2.07 ± 0.65 to 2.28 ± 0.52 L (p = 0.131) and from 48.9 ± 16.23 to 54.38 ± 15.52% predicted (p = 0.1603). Following the scTS+RT intervention, FVC outcomes significantly increased compared to post-RT levels, rising from 2.28 ± 0.52 to 2.99 ± 0.76 L (p = 0.034) and from 54.38 ± 15.52 to 69.64 ± 14.61% predicted (p = 0.023) (Figure 2).
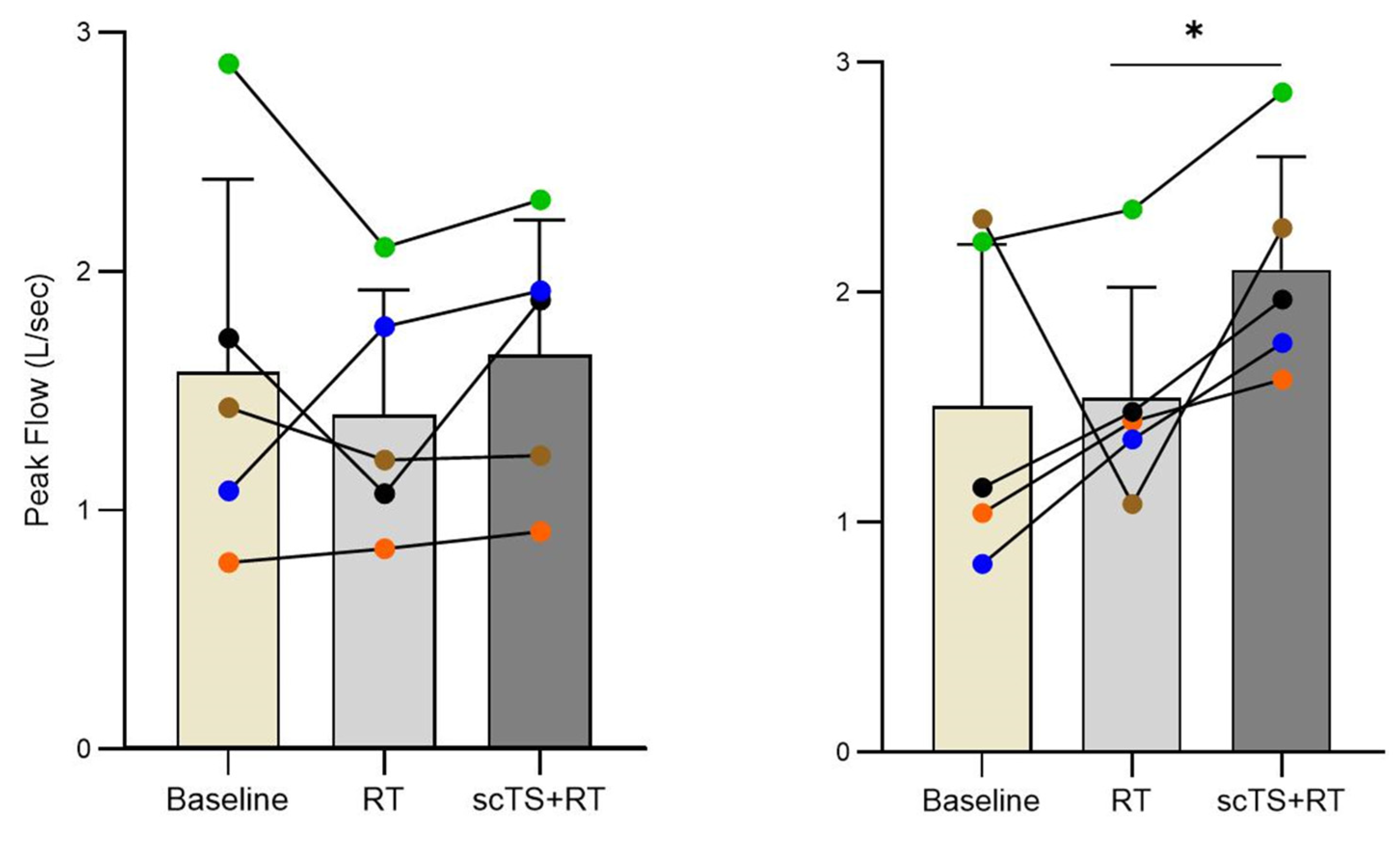
After the RT intervention, there was a slight decrease in PIF from 1.58 ± 0.80 to 1.40 ± 0.52 L/sec (p = 0.536). However, following the scTS+RT intervention, PIF increased from 1.21 ± 0.37 to 1.88 ± 0.42 L/sec (Median ± MAD, p = 0.063) (Figure 3A). PEF changed from 1.15 ± 0.37 to 1.38 ± 0.04 L/sec (Median ± MAD, p = 0.625) after RT and significantly increased from 1.52 ± 0.49 to 2.11 ± 0.49 L/sec (p = 0.023) after the scTS+RT intervention (Figure 3B).
The RT intervention decreased tPIF from 1.00 ± 0.75 to 0.87 ± 0.49 sec (p = 0.444) and tPEF from 0.63 ± 0.37 to 0.56 ± 0.46 sec (p = 0.506). However, the scTS+RT intervention further decreased tPIF from 0.87 ± 0.49 to 0.58 ± 0.16 sec (p = 0.171) and led to a significant decrease in tPEF from 0.56 ± 0.46 to 0.43 ± 0.36 sec (p = 0.013) (Figure 4). The average effect sizes of the RT and scTS+RT interventions accounted for all outcome measures were 0.78 ± 0.70 vs. 1.46 ± 0.38 representing "medium" vs. "very large" effect sizes, respectively (Figure 5).

4. Discussion

This study represents the first investigation into the effectiveness of combining RT with scTS as a neuromodulatory strategy for respiratory rehabilitation in patients affected by post-COVID-19 pulmonary impairments. While RT alone yielded only modest improvements in respiratory function, the integration of scTS with RT resulted in notably enhanced therapeutic outcomes. Specifically, the average effect size for the combined intervention was approximately twice as large as that observed with RT alone, underscoring the synergistic benefit of this novel approach. Our findings indicate that scTS-induced activation of respiratory neuronal networks can serve as an effective neuromodulatory method for restoring respiratory function in patients with post-COVID-19 pulmonary deficits. The mechanism appears to involve targeted stimulation of respiratory-related neural pathways, which may support neural plasticity and functional recovery of compromised respiratory control systems. This approach highlights the potential of scTS to directly augment neural network responsiveness, thereby facilitating improved respiratory outcomes when coupled with RT. Considering the substantial number of COVID-19 patients in need of post-acute respiratory rehabilitation, neuromodulatory strategies like scTS could be valuable adjunctive therapies for clinicians. Such interventions could complement existing rehabilitation protocols and other therapeutic modalities to improve respiratory function, quality of life, and overall health outcomes for individuals recovering from COVID-19-related respiratory issues. Integrating neuromodulation as part of a multidisciplinary rehabilitation plan may offer a promising path to address the growing demand for effective post-COVID-19 care solutions [12].
Recent research has increasingly focused on the development of patient-specific rehabilitation programs tailored to the unique needs of individuals recovering from COVID-19. These personalized approaches have demonstrated potential in improving respiratory outcomes for both acute and chronic COVID-19 patients, allowing for more targeted and effective interventions that address each patient's specific deficits and recovery trajectory [15]. In line with this trend, our study explored the effects of RT alone, and our findings are consistent with existing literature showing that RT can enhance respiratory muscle strength and functional capacity in individuals with Long COVID-19, potentially leading to improved endurance and breathing efficiency. However, studies have also indicated that RT alone is limited in its capacity to improve actual lung function, suggesting a need for additional therapeutic approaches to optimize respiratory rehabilitation [28]. Our objective, therefore, was to build on the foundational benefits of RT by introducing a neuromodulatory component to enhance its effectiveness. Previously, we demonstrated that scTS, when applied over the thoracic spinal cord in an acute setting, significantly enhances the activity of spinal neural networks involved in respiratory motor control [39]. This initial finding pointed to scTS as a promising tool for amplifying neural network responsiveness linked to respiratory function. In our current study, we expanded upon these results, showing that repeated applications of scTS, when integrated with traditional respiratory rehabilitation approach, lead to substantially improved therapeutic outcomes in patients with post-COVID-19 syndrome. This combined approach appears to strengthen the activation of respiratory-related neural pathways, thereby improving both functional recovery and respiratory efficiency. In addition to scTS, recent research has highlighted several other neuromodulatory techniques that could serve as complementary interventions in the rehabilitation of COVID-19 patients. For example, electrical stimulation of cranial nerves and transcranial magnetic stimulation have been explored as promising methods for augmenting therapeutic effects, especially during the acute phase of COVID-19. These techniques, which target various aspects of neural network responsiveness, may help to reduce the severity of respiratory impairments associated with COVID-19 and support the recovery process in a comprehensive manner [40]. Altogether, these neuromodulatory approaches represent a new frontier in respiratory rehabilitation, offering clinicians a broader array of tools to address the complex respiratory challenges faced by COVID-19 patients. Integrating these strategies with traditional rehabilitation protocols may ultimately enhance recovery and improve the quality of life for individuals affected by long-term COVID-19 respiratory issues.
The findings of this study present notable clinical implications for addressing respiratory deficits in post-COVID-19 patients, particularly by the neuromodulatory techniques. Neuromodulation, when combined with traditional respiratory muscle training, appears to provide additive—or potentially exponential—benefits, enhancing respiratory outcomes beyond those typically achieved through conventional therapy alone. The neuromodulatory approach used in this study led to significant improvements in key respiratory metrics, including forced vital capacity (FVC), peak expiratory flow (PEF), and time to peak expiratory flow (tPEF). These improvements may translate into meaningful clinical benefits, such as symptom alleviation, improved respiratory function, and potentially reduced mortality. According to the European Respiratory Society’s standards for pulmonary function testing, an increase of 10% in FVC is recognized as a significant bronchodilator response [34]. Similarly, pulmonary rehabilitation has long been associated with reduced mortality in respiratory patients [41], and has demonstrated an FVC improvement of 7.1% in patients who completed a pulmonary rehabilitation program after mechanical ventilation for severe COVID-19 pneumonia [42]. In the context of our study, the significant gains in peak flow measurements and shortened time to reach peak flow with scTS may indicate enhanced engagement of accessory respiratory muscles and more efficient respiratory muscle recruitment. These improvements, which serve as indirect indicators of heightened respiratory neuromuscular activity, likely contribute to enhanced expiratory function, stronger cough ability, and improved airway clearance [43]. The results from this study suggest that neuromodulation combined with respiratory muscle training could yield clinical outcomes comparable to those observed with bronchodilators or traditional pulmonary rehabilitation programs. This combination approach may facilitate improvements in respiratory function, enabling patients to achieve better pulmonary health and overall quality of life. Furthermore, the timing of intervention could be a critical factor in maximizing recovery outcomes. Early activity-based interventions administered within intensive care units (ICUs) have demonstrated benefits in mitigating functional impairments, increasing ventilator-free days, enhancing patients' quality of life, and reducing the risk of post-discharge mortality [44,45]. These findings underscore the importance of incorporating early neuromodulatory strategies—potentially in combination with pulmonary rehabilitation—within clinical protocols to enhance respiratory recovery in post-COVID-19 patients.
Integrating these approaches into rehabilitation practices could have substantial implications for clinical care, offering clinicians an expanded toolkit to address the multifaceted respiratory complications associated with COVID-19. Early intervention with neuromodulation may provide a proactive approach to counteract respiratory muscle deconditioning and promote faster recovery, supporting both acute and long-term functional outcomes. As our understanding of the benefits of neuromodulatory strategies continues to evolve, these interventions could play an increasingly vital role in the rehabilitation and long-term care of individuals with post-COVID-19 respiratory deficits.

Limitations and future directions

Several limitations of this study should be acknowledged, and they highlight key areas for future research. First, while the initial results suggest that scTS can be effective in respiratory rehabilitation, the study did not include a test-retest methodology or matched control groups, which are essential for establishing more robust conclusions. Future large-scale clinical trials should incorporate rigorous experimental designs with appropriate control groups, such as those receiving sham stimulation or non-targeted scTS configurations, to better isolate the specific neuromodulatory effects of scTS on respiratory outcomes. These controls will help ensure that any observed benefits are directly attributable to scTS targeting respiratory motor networks.
Second, while the therapeutic potential of scTS was demonstrated, there is room for optimizing the stimulation protocol. Future research should investigate variations in electrode positioning and stimulation parameters to better target respiratory motor networks. Computational modeling and functional studies could provide valuable insights into how changes in current intensity, frequency, and electrode placement impact the specificity and effectiveness of scTS. By refining these parameters, the therapeutic efficacy of scTS could be significantly enhanced.
Additionally, the current study employed a sequential application of scTS followed by RT, but it remains uncertain whether this sequence is superior to a concurrent approach where scTS and RT are administered simultaneously. The timing of neuromodulation in relation to motor training may be a critical factor in determining therapeutic outcomes. Experimental validation of these different approaches is needed to better understand how the timing of interventions influences respiratory network activation and rehabilitation success.
Furthermore, while this study focused on post-acute COVID-19 patients, it is important to explore the effectiveness of the scTS+RT intervention in other patient populations with respiratory deficits, such as individuals with chronic respiratory conditions or those with neurological impairments. Broadening the scope of research to include these groups will determine whether the combined intervention has universal applicability across various conditions.
Finally, the long-term sustainability of the improvements achieved through scTS+RT needs further investigation. Future studies should assess how frequently patients need stimulation sessions to maintain therapeutic gains and whether the benefits persist after the intervention is discontinued. Understanding the durability of the intervention’s effects will be essential for determining its practical application in clinical settings.

5. Conclusions

1. This study demonstrates that combining scTS with RT offers significant benefits for respiratory rehabilitation in post-COVID-19 patients. The neuromodulatory effects of scTS led to substantial improvements in respiratory function, particularly in expiratory motor networks, with an average effect size twice that of RT alone. These findings suggest that scTS could enhance recovery, especially in patients with severe expiratory muscle weakness, offering clinical benefits comparable to or exceeding traditional rehabilitation methods.
2. Given the increasing emphasis on personalized rehabilitation, the ability to tailor scTS to individual patient needs highlights its potential for more targeted and effective treatment. Additionally, the broader application of neuromodulation, including scTS, to other neurological and chronic respiratory conditions supports its relevance as a key component in respiratory rehabilitation programs.
3. Future research should focus on optimizing scTS protocols, exploring the ideal timing and application in combination with RT, and expanding its validation across a wider range of patient populations with respiratory and neurological deficits. Incorporating scTS into standard rehabilitation protocols could significantly improve outcomes for patients with long-term respiratory impairments, both in post-COVID-19 and other respiratory conditions.

Author Contributions

A.O. and Y.G.: study design, data analysis, and manuscript writing; T.M., N.S., V.L., A.N., A.S., and N.T.: data acquisition, processing, and critical revision of the manuscript. All authors have read and agreed to the published version of the manuscript.

Funding

This research was funded by the Ministry of Science and Higher Education of the Russian Federation under Agreement #075-15-2020-921, aimed at supporting the development of the world-class research center “Pavlov Center for Integrative Physiology for Medicine, High-tech Healthcare, and Stress Tolerance Technologies.” Additionally, it was supported by the National Institutes of Health through grants R01NS102920 and R01HL168294.

Institutional Review Board Statement

The study was conducted in accordance with the Declaration of Helsinki and received approval from the Ethics Committee of Pavlov’s Institute of Physiology, St. Petersburg, Russian Federation (Protocol #20-02, dated 18 December 2020). It was also carried out in compliance with the guidelines set by the Ministry of Science and Higher Education of the Russian Federation, as outlined in the order "On the activities of organizations subordinate to the Ministry of Science and Higher Education of the Russian Federation in the context of preventing the spread of the COVID-19 infection in the Russian Federation" (Order #692, dated 28 May 2020).

Informed Consent Statement

Informed consent was obtained from all subjects involved in the study.

Data Availability Statement

The data supporting the findings of this study are available upon request from the corresponding author.

Acknowledgments

We extend our gratitude to the research participants; to Natalia Krutikova and Ekaterina Dudnitskaya for their clinical support; to Sofiia Kozyreva for her contributions to data collection; and to Beatrice Ugiliweneza for her assistance with statistical analysis.

Conflicts of Interest

The authors declare no affiliations with any organization that has a direct or indirect financial interest in the subject matter of this manuscript. The funding sources had no role in the study's design, data collection, analysis, interpretation, manuscript writing, or the decision to publish the findings. Yury Gerasimenko holds shareholder interests in Neurorecovery Technologies and Cosyma, Inc. (manufacturer of the Neostim-5 device used in this study). He also holds inventorship rights on intellectual property licensed by the Regents of the University of California to Neurorecovery Technologies and its subsidiaries. Tatiana Moshonkina holds shareholder interests in Cosyma LTD and has inventorship rights on intellectual property licensed by Cosyma Inc.

References

  1. Nalbandian, A.; Sehgal, K.; Gupta, A.; Madhavan, M.V.; McGroder, C.; Stevens, J.S.; Cook, J.R.; Nordvig, A.S.; Shalev, D.; Sehrawat, T.S.; et al. Post-acute COVID-19 syndrome. Nature Medicine 2021, 27, 601–615. [Google Scholar] [CrossRef] [PubMed]
  2. Boutou, A.K.; Georgopoulou, A.; Pitsiou, G.; Stanopoulos, I.; Kontakiotis, T.; Kioumis, I. Changes in the respiratory function of COVID-19 survivors during follow-up: A novel respiratory disorder on the rise? Int J Clin Pract 2021, 75, e14301. [Google Scholar] [CrossRef] [PubMed]
  3. Elseidy, S.A.; Awad, A.K.; Vorla, M.; Fatima, A.; Elbadawy, M.A.; Mandal, D.; Mohamad, T. Cardiovascular complications in the Post-Acute COVID-19 syndrome (PACS). Int J Cardiol Heart Vasc 2022, 40, 101012. [Google Scholar] [CrossRef] [PubMed]
  4. MEDICA, E.M. Rehabilitation and respiratory management in the acute and early post-acute phase.“Instant paper from the field” on rehabilitation answers to the COVID-19 emergency. 2020.
  5. Ellul, M.A.; Benjamin, L.; Singh, B.; Lant, S.; Michael, B.D.; Easton, A.; Kneen, R.; Defres, S.; Sejvar, J.; Solomon, T. Neurological associations of COVID-19. Lancet Neurol 2020, 19, 767–783. [Google Scholar] [CrossRef] [PubMed]
  6. Carfì, A.; Bernabei, R.; Landi, F.; Group, f.t.G.A.C.-P.-A.C.S. Persistent Symptoms in Patients After Acute COVID-19. JAMA 2020, 324, 603–605. [Google Scholar] [CrossRef]
  7. Elseidy, S.A.; Awad, A.K.; Vorla, M.; Fatima, A.; Elbadawy, M.A.; Mandal, D.; Mohamad, T. Cardiovascular complications in the Post-Acute COVID-19 syndrome (PACS). IJC Heart & Vasculature 2022, 40, 101012. [Google Scholar]
  8. Guo, A.-X.; Cui, J.-J.; OuYang, Q.-Y.; He, L.; Guo, C.-X.; Yin, J.-Y. The clinical characteristics and mortal causes analysis of COVID-19 death patients. MedRxiv, 2020; 2020.2004. 2012.20062380. [Google Scholar]
  9. Montani, D.; Savale, L.; Noel, N.; Meyrignac, O.; Colle, R.; Gasnier, M.; Corruble, E.; Beurnier, A.; Jutant, E.-M.; Pham, T. Post-acute COVID-19 syndrome. European Respiratory Review 2022, 31. [Google Scholar] [CrossRef]
  10. Shah, A.S.; Wong, A.W.; Hague, C.J.; Murphy, D.T.; Johnston, J.C.; Ryerson, C.J.; Carlsten, C. A prospective study of 12-week respiratory outcomes in COVID-19-related hospitalisations. Thorax 2021, 76, 402–404. [Google Scholar] [CrossRef]
  11. Bellan, M.; Soddu, D.; Balbo, P.E.; Baricich, A.; Zeppegno, P.; Avanzi, G.C.; Baldon, G.; Bartolomei, G.; Battaglia, M.; Battistini, S.; et al. Respiratory and Psychophysical Sequelae Among Patients With COVID-19 Four Months After Hospital Discharge. JAMA Network Open 2021, 4, e2036142–e2036142. [Google Scholar] [CrossRef]
  12. Sirayder, U.; Inal-Ince, D.; Kepenek-Varol, B.; Acik, C. Long-term characteristics of severe COVID-19: respiratory function, functional capacity, and quality of life. International Journal of Environmental Research and Public Health 2022, 19, 6304. [Google Scholar] [CrossRef]
  13. Baig, A.M.; Khaleeq, A.; Ali, U.; Syeda, H. Evidence of the COVID-19 Virus Targeting the CNS: Tissue Distribution, Host-Virus Interaction, and Proposed Neurotropic Mechanisms. ACS Chem Neurosci 2020, 11, 995–998. [Google Scholar] [CrossRef] [PubMed]
  14. Stockley, J.A.; Alhuthail, E.A.; Coney, A.M.; Parekh, D.; Geberhiwot, T.; Gautum, N.; Madathil, S.C.; Cooper, B.G. Lung function and breathing patterns in hospitalised COVID-19 survivors: a review of post-COVID-19 Clinics. Respiratory research 2021, 22, 1–12. [Google Scholar] [CrossRef] [PubMed]
  15. Wang, D.; Li, J.; Zhu, F.; Hong, Q.; Zhang, M.; Gao, M.; Chen, W. Protocol for a systematic review and meta-analysis of respiratory rehabilitation following intensive care unit discharge for COVID-19 survivors. BMJ open 2020, 10, e041184. [Google Scholar] [CrossRef] [PubMed]
  16. Gloeckl, R.; Leitl, D.; Schneeberger, T.; Jarosch, I.; Koczulla, A.R. Rehabilitative interventions in patients with persistent post COVID-19 symptoms—a review of recent advances and future perspectives. European Archives of Psychiatry and Clinical Neuroscience 2023, 1–10. [Google Scholar] [CrossRef]
  17. Siddiq, M.A.B.; Rathore, F.A.; Clegg, D.; Rasker, J.J. Pulmonary Rehabilitation in COVID-19 patients: A scoping review of current practice and its application during the pandemic. Turkish journal of physical medicine and rehabilitation 2020, 66, 480. [Google Scholar] [CrossRef]
  18. Welte, T.; Ambrose, L.J.; Sibbring, G.C.; Sheikh, S.; Müllerová, H.; Sabir, I. Current evidence for COVID-19 therapies: a systematic literature review. Eur Respir Rev 2021, 30. [Google Scholar] [CrossRef]
  19. Demeco, A.; Marotta, N.; Barletta, M.; Pino, I.; Marinaro, C.; Petraroli, A.; Moggio, L.; Ammendolia, A. Rehabilitation of patients post-COVID-19 infection: a literature review. J Int Med Res 2020, 48, 300060520948382. [Google Scholar] [CrossRef]
  20. de Paleville, D.T.; McKay, W.; Aslan, S.; Folz, R.; Sayenko, D.; Ovechkin, A. Locomotor step training with body weight support improves respiratory motor function in individuals with chronic spinal cord injury. Respiratory physiology & neurobiology 2013, 189, 491–497. [Google Scholar]
  21. Ovechkin, A.V.; Sayenko, D.G.; Ovechkina, E.N.; Aslan, S.C.; Pitts, T.; Folz, R.J. Respiratory motor training and neuromuscular plasticity in patients with chronic obstructive pulmonary disease: a pilot study. Respiratory physiology & neurobiology 2016, 229, 59–64. [Google Scholar]
  22. McConnell, A.; Romer, L.M.; Weiner, P. Inspiratory muscle training in obstructive lung disease. Breathe 2005, 2, 38–49. [Google Scholar] [CrossRef]
  23. Sapienza, C.M.; Wheeler, K. Respiratory muscle strength training: functional outcomes versus plasticity. In Proceedings of the Seminars in speech and language; 2006; pp. 236–244. [Google Scholar]
  24. Van Houtte, S.; Vanlandewijck, Y.; Gosselink, R. Respiratory muscle training in persons with spinal cord injury: a systematic review. Respiratory medicine 2006, 100, 1886–1895. [Google Scholar] [CrossRef] [PubMed]
  25. Wilson, J.R.; Cadotte, D.W.; Fehlings, M.G. Clinical predictors of neurological outcome, functional status, and survival after traumatic spinal cord injury: a systematic review. Journal of neurosurgery: spine 2012, 17, 11–26. [Google Scholar] [CrossRef] [PubMed]
  26. Ovechkin, A.; Moshonkina, T.; Shandybina, N.; Lyakhovetskii, V.; Gorodnichev, R.; Moiseev, S.; Siu, R.; Gerasimenko, Y. Transcutaneous Spinal Cord Stimulation Facilitates Respiratory Functional Performance in Patients with Post-Acute COVID-19. Life 2023, 13, 1563. [Google Scholar] [CrossRef] [PubMed]
  27. Czura, C.J.; Bikson, M.; Charvet, L.; Chen, J.D.; Franke, M.; Fudim, M.; Grigsby, E.; Hamner, S.; Huston, J.M.; Khodaparast, N. Neuromodulation strategies to reduce inflammation and improve lung complications in COVID-19 patients. Frontiers in neurology 2022, 13, 897124. [Google Scholar] [CrossRef]
  28. Calvache-Mateo, A.; Reychler, G.; Heredia-Ciuro, A.; Martin-Nunez, J.; Ortiz-Rubio, A.; Navas-Otero, A.; Valenza, M.C. Respiratory training effects in Long COVID-19 patients: a systematic review and meta-analysis. Expert review of respiratory medicine 2024, 18, 207–217. [Google Scholar] [CrossRef]
  29. Mendez, A.; Islam, R.; Latypov, T.; Basa, P.; Joseph, O.J.; Knudsen, B.; Siddiqui, A.M.; Summer, P.; Staehnke, L.J.; Grahn, P.J.; et al. Segment-Specific Orientation of the Dorsal and Ventral Roots for Precise Therapeutic Targeting of Human Spinal Cord. Mayo Clin Proc 2021, 96, 1426–1437. [Google Scholar] [CrossRef]
  30. Siu, R.; Brown, E.H.; Mesbah, S.; Gonnelli, F.; Pisolkar, T.; Edgerton, V.R.; Ovechkin, A.V.; Gerasimenko, Y.P. Novel Noninvasive Spinal Neuromodulation Strategy Facilitates Recovery of Stepping after Motor Complete Paraplegia. J Clin Med 2022, 11. [Google Scholar] [CrossRef]
  31. Stokel-Walker, C.; Van Noorden, R. What ChatGPT and generative AI mean for science. Nature 2023, 614, 214–216. [Google Scholar] [CrossRef]
  32. Grishin, A.A.; Moshonkina, T.R.; Solopova, I.A.; Gorodnichev, R.M.; Gerasimenko, Y.P. A Five-Channel Noninvasive Electrical Stimulator of the Spinal Cord for Rehabilitation of Patients with Severe Motor Disorders. Biomedical Engineering 2017, 50, 300–304. [Google Scholar] [CrossRef]
  33. Vaz Fragoso, C.A.; Gill, T.M.; McAvay, G.; Yaggi, H.K.; Van Ness, P.H.; Concato, J. Respiratory impairment and mortality in older persons: a novel spirometric approach. J Investig Med 2011, 59, 1089–1095. [Google Scholar] [CrossRef]
  34. Stanojevic, S.; Kaminsky, D.A.; Miller, M.R.; Thompson, B.; Aliverti, A.; Barjaktarevic, I.; Cooper, B.G.; Culver, B.; Derom, E.; Hall, G.L.; et al. ERS/ATS technical standard on interpretive strategies for routine lung function tests. Eur Respir J 2022, 60. [Google Scholar] [CrossRef] [PubMed]
  35. Faul, F.; Erdfelder, E.; Buchner, A.; Lang, A.G. Statistical power analyses using G*Power 3.1: tests for correlation and regression analyses. Behav Res Methods 2009, 41, 1149–1160. [Google Scholar] [CrossRef] [PubMed]
  36. Sawilowsky, S.S. New Effect Size Rules of Thumb. The Journal of Modern Applied Statistical Methods 2009, 8, 597–599. [Google Scholar] [CrossRef]
  37. Norman, G.R.; Sloan, J.A.; Wyrwich, K.W. Interpretation of changes in health-related quality of life: the remarkable universality of half a standard deviation. Med Care 2003, 41, 582–592. [Google Scholar] [CrossRef]
  38. Norman, G.R.; Sloan, J.A.; Wyrwich, K.W. The truly remarkable universality of half a standard deviation: confirmation through another look. Expert review of pharmacoeconomics & outcomes research 2004, 4, 581–585. [Google Scholar] [CrossRef]
  39. Ovechkin, A.; Moshonkina, T.; Shandybina, N.; Lyakhovetskii, V.; Gorodnichev, R.; Moiseev, S.; Siu, R.; Gerasimenko, Y. Transcutaneous Spinal Cord Stimulation Facilitates Respiratory Functional Performance in Patients with Post-Acute COVID-19. Life (Basel) 2023, 13, 1563. [Google Scholar] [CrossRef]
  40. Czura, C.J.; Bikson, M.; Charvet, L.; Chen, J.D.Z.; Franke, M.; Fudim, M.; Grigsby, E.; Hamner, S.; Huston, J.M.; Khodaparast, N.; et al. Neuromodulation Strategies to Reduce Inflammation and Improve Lung Complications in COVID-19 Patients. Frontiers in neurology 2022, 13, 897124. [Google Scholar] [CrossRef]
  41. Ryrso, C.K.; Godtfredsen, N.S.; Kofod, L.M.; Lavesen, M.; Mogensen, L.; Tobberup, R.; Farver-Vestergaard, I.; Callesen, H.E.; Tendal, B.; Lange, P.; et al. Lower mortality after early supervised pulmonary rehabilitation following COPD-exacerbations: a systematic review and meta-analysis. BMC pulmonary medicine 2018, 18, 154. [Google Scholar] [CrossRef]
  42. Munoz-Cofre, R.; Del Valle, M.F.; Marzuca-Nassr, G.N.; Valenzuela, J.; Del Sol, M.; Canales, C.D.; Lizana, P.A.; Valenzuela-Aedo, F.; Lizama-Perez, R.; Escobar-Cabello, M. A pulmonary rehabilitation program is an effective strategy to improve forced vital capacity, muscle strength, and functional exercise capacity similarly in adults and older people with post-severe COVID-19 who required mechanical ventilation. BMC geriatrics 2024, 24, 313. [Google Scholar] [CrossRef]
  43. Suárez, A.A.; Pessolano, F.A.; Monteiro, S.G.; Ferreyra, G.; Capria, M.E.; Mesa, L.; Dubrovsky, A.; De Vito, E.L. Peak flow and peak cough flow in the evaluation of expiratory muscle weakness and bulbar impairment in patients with neuromuscular disease. Am J Phys Med Rehabil 2002, 81, 506–511. [Google Scholar] [CrossRef]
  44. Li, Z.; Peng, X.; Zhu, B.; Zhang, Y.; Xi, X. Active mobilization for mechanically ventilated patients: a systematic review. Arch Phys Med Rehabil 2013, 94, 551–561. [Google Scholar] [CrossRef] [PubMed]
  45. Kayambu, G.; Boots, R.; Paratz, J. Physical therapy for the critically ill in the ICU: a systematic review and meta-analysis. Crit Care Med 2013, 41, 1543–1554. [Google Scholar] [CrossRef] [PubMed]
Figure 1. Placement of the scTS electrodes and sagittal view of the current field density using computational modeling carried out ohmic quasi-static simulations (Sim4Life, Zurich Med Tech, Switzerland) in a virtual model (Yoon Sun ViP 4.0, IT’IS Foundation) with tissue-specific electrical properties. Note that cathodes (-) are positioned on the skin between the Th3-Th4 and Th8-Th9 spinous processes, aligning with the T5 and T10 spinal cord segments, respectively; the anodes (+) are located over the abdomen (Ab), horizontally centered at the level of the umbilicus.
Figure 1. Placement of the scTS electrodes and sagittal view of the current field density using computational modeling carried out ohmic quasi-static simulations (Sim4Life, Zurich Med Tech, Switzerland) in a virtual model (Yoon Sun ViP 4.0, IT’IS Foundation) with tissue-specific electrical properties. Note that cathodes (-) are positioned on the skin between the Th3-Th4 and Th8-Th9 spinous processes, aligning with the T5 and T10 spinal cord segments, respectively; the anodes (+) are located over the abdomen (Ab), horizontally centered at the level of the umbilicus.
Preprints 139084 g001
Figure 2. A) Forced Volume Capacity (FVC) expressed in actual values (L) or B) as a percent of predicted values (% predicted) at baseline, after RT, and after scTS+RT in post-acute COVID-19 individuals (n=5). Note the linked points representing the changes in a particular individual before and after intervention. * Denotes significant difference.
Figure 2. A) Forced Volume Capacity (FVC) expressed in actual values (L) or B) as a percent of predicted values (% predicted) at baseline, after RT, and after scTS+RT in post-acute COVID-19 individuals (n=5). Note the linked points representing the changes in a particular individual before and after intervention. * Denotes significant difference.
Preprints 139084 g002
Figure 3. A) Peak Inspiratory Flow (PIF) and B) Peak Expiratory Flow (PEF) at baseline, after RT, and after scTS+RT in post-acute COVID-19 individuals (n=5). Note the linked points representing the changes in a particular individual before and after intervention. * Denotes significant difference.
Figure 3. A) Peak Inspiratory Flow (PIF) and B) Peak Expiratory Flow (PEF) at baseline, after RT, and after scTS+RT in post-acute COVID-19 individuals (n=5). Note the linked points representing the changes in a particular individual before and after intervention. * Denotes significant difference.
Preprints 139084 g003
Figure 4. A) Time to Peak of Inspiratory Flow (tPIF) and B) Time to Peak of Expiratory Flow (tPEF) at baseline, after RT, and after scTS+RT in post-acute COVID-19 individuals (n=5). Note the linked points representing the changes in a particular individual before and after intervention. * Denotes significant difference.
Figure 4. A) Time to Peak of Inspiratory Flow (tPIF) and B) Time to Peak of Expiratory Flow (tPEF) at baseline, after RT, and after scTS+RT in post-acute COVID-19 individuals (n=5). Note the linked points representing the changes in a particular individual before and after intervention. * Denotes significant difference.
Preprints 139084 g004
Figure 5. Effect size of overall FVC, PIF, PEF, tPIF, and tPEF changes after RT alone and in combination with scTS (n=5).
Figure 5. Effect size of overall FVC, PIF, PEF, tPIF, and tPEF changes after RT alone and in combination with scTS (n=5).
Preprints 139084 g005
Table 1. Demographic Summary of Participants.
Table 1. Demographic Summary of Participants.
ID Age (y) Sex Height
(cm)
Weight
(kg)
BMI
(kg/m2)
FVC
(% pred.)
05K 47 F 170 62 21.45 70
09K 59 M 182 110 33.21 66
10K 34 M 178 88 27.77 71
11K 64 M 170 75 25.95 65
13K 76 F 169 71 24.86 65
Mean ± SD 56 ± 16 NA 174 ± 6 81 ± 19 27 ± 4 67 ± 3
Abbreviations: BMI, body mass index; F, female; FVC, forced vital capacity; ID, identification; M, male; NA, not applicable; pred., predicted.
Disclaimer/Publisher’s Note: The statements, opinions and data contained in all publications are solely those of the individual author(s) and contributor(s) and not of MDPI and/or the editor(s). MDPI and/or the editor(s) disclaim responsibility for any injury to people or property resulting from any ideas, methods, instructions or products referred to in the content.
Copyright: This open access article is published under a Creative Commons CC BY 4.0 license, which permit the free download, distribution, and reuse, provided that the author and preprint are cited in any reuse.
Prerpints.org logo

Preprints.org is a free preprint server supported by MDPI in Basel, Switzerland.

Subscribe

Disclaimer

Terms of Use

Privacy Policy

Privacy Settings

© 2026 MDPI (Basel, Switzerland) unless otherwise stated