Submitted:
20 January 2025
Posted:
21 January 2025
Read the latest preprint version here
Abstract
Keywords:
1. Introduction
2. From the FEP to Deep Active Inference
3. Methodology
4. Formalising Phenomenological Features of MPE
4.1. Meta-Awareness
“687 I am in a state of wakefulness. I have a strong awareness of the pre-sent moment. It is as if I am a guard dog: All my perceptions seem heightened. I am in consciousness but I am not -doing anything except perceiving sounds, smells, sensations in my body.”
(Metzinger, 2024, pp. 33–34)
4.1.1. Meta vs Reflexive Awareness
“1350 [. . .] When the relevant state arises, it is like seeing seeing, or awareness of being aware.”
“1617 Experiencing awareness of consciousness or of cognizance as such.”
(Metzinger, 2024, pp. 396–398)
“[...] it is as if the phenomenal signature of knowing dynamically folds back into itself, silently but continuously reembedding awareness into itself.” (Metzinger, 2024, p. 394)
4.2. Modelling the Epistemic Space
“In my view, the epistemic-space -metaphor is the best phenomenological -metaphor for pure consciousness or minimal phenomenal experience (MPE). [...] and experiencing pure awareness simply means having a model of this space, […].”
(Metzinger, 2024, pp. 46–47)
“By definition, an epistemic space is a space of possibilities: It contains -every possi ble epistemic scenario and - every dynamic partitioning of itself that could ever take place—- every- thing that could potentially be known and experienced by a given system. An epistemic space contains the repertoire of knowledge states that a given system has. Therefore, it encompasses many ways of accessing world and self, of making real-ity available to itself, at this specific location in time and space.”
(Metzinger, 2024, p. 50)
4.2.1. Deepening Awareness, Emptiness and Cessation
“1354 [...] The experience of pure awareness in meditation has become more and more evident over time and with evolving meditation practice.”
(Metzinger, 2024, p. 450)
“3323 [. . .] However, later on- there- were more “experiences” in which the very last remnant of this pure consciousness in meditation was extinguished. This was like an inner death, but then also an even greater freedom than pure consciousness itself. -There it was clearly experienced that pure consciousness is far from being the deepest pos-si-ble (or highest pos-si-ble) - thing, but that “-behind” it - there exists a much more extensive, indescribable “not-- anything.” But it cannot be described in words, since it is no longer an experience; rather, it can at most be described as the absence of all experience, or as absolute freedom.”
(Metzinger, 2024, p. 189)
4.2.2. MPE as a Consequence of Generative Model Mastery
4.2.3. Unbounded Epistemic Openness as a Flat State Prior
4.3. Equanimity
“2985 [. . .] In my opinion, the most important thing was the letting go. I was able to perceive bodily sensations and thoughts, but in contrast to everyday life I did nothing with them. And this brought me step by step to a deeper level, to a state of consciousness that I had never experienced before. It was a state of infinite peace. [. . .]”
(Metzinger, 2024, p. 10)
4.4. Effortlessness
“79 [...] The experience was one of effortlessness, and without any noticeable sense of desire. - There was no longer any feeling of needing to get someplace or something.
(Metzinger, 2024, p. 331)
4.5. Non-Conceptuality
“1196 [...] the experience itself in my opinion is best described by the term “nonconceptual.”
(Metzinger, 2024, pp. 23–24)
4.5.1. MPE Modes vs MPE States
4.6. Zero-Person Perspective
“1612 [...] The world I was experiencing no longer existed in-de-pen-dently, because I had become the unfolding of that experience. The previous “I” as experiencer, chooser, thinker did not exist. Instead - there was experience itself. -There was a visual center to the experience, but only - because that’s where light met the eyes. The center was no longer meaningful in any way.”
(Metzinger, 2024, p. 397)
4.7. Atemporality
“3330 I would best describe my experiences with terms like “stopping of time”, "perception of space without time” [. . .]
2771 It was an experience of not moving forward, not moving back, neither of staying still.”
(Metzinger, 2024, p. 248)
4.8. Bliss
“3305 [...] Great happiness flowed through me. [...]
2687 [. . .] a deep feeling of joy, timelessness, happiness emerged.”
(Metzinger, 2024, p. 147)
5. Conclusion
- High meta-awareness, modelled as increased precision of higher-order observations of model parameters.
- Flattened prior preferences, resulting in a state of equanimity.
- A precise model of the agent's own modelling process (i.e. generative model parameters), enabling a "zero-person perspective."
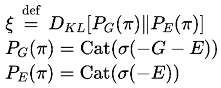
Appendix A. Simulating MPE

![]() |
Appendix B. Empirical Predictions
6.1. Timelessness and Metabolic Cost
6.2. Effortlessness and the Brain
6.3. Precision Parameters and Neurotransmitters
Ethical Statement
References
- Agrawal, V., & Laukkonen, R. (2024). Nothingness in meditation: Making sense of emptiness and cessation. https://osf.io/tygdf.
- Bāhiya Sutta: Bāhiya (Ud 1.10) (T. Bhikkhu, Trans.; Access to Insight (BCBS Edition)). (2012). https://www.accesstoinsight.org/tipitaka/kn/ud/ud.1.10.than.html#fn-2.
- Brasington, L. (2021). Dependent Origination and Emptiness. Leigh Brasington.
- Burbea, R. (2014). Seeing That Frees: Meditations on Emptiness and Dependent Arising. Hermes Amāra Publications. https://books.google.fr/books?id=kwntoQEACAAJ.
- Czajko, S., Zorn, J., Daumail, L., Chetelat, G., Margulies, D. S., & Lutz, A. (2024). Exploring the Embodied Mind: Functional Connectome Fingerprinting of Meditation Expertise. Biological Psychiatry Global Open Science, 4(6), 100372. [CrossRef]
- Da Costa, L., Friston, K., Heins, C., & Pavliotis, G. A. (2021). Bayesian mechanics for stationary processes. Proceedings of the Royal Society A: Mathematical, Physical and Engineering Sciences, 477(2256), 20210518. [CrossRef]
- Da Costa, L., Parr, T., Sajid, N., Veselic, S., Neacsu, V., & Friston, K. (2020). Active inference on discrete state-spaces: A synthesis. Journal of Mathematical Psychology, 99, 102447. [CrossRef]
- Da Costa, L., Parr, T., Sengupta, B., & Friston, K. (2021). Neural Dynamics under Active Inference: Plausibility and Efficiency of Information Processing. Entropy, 23(4), 454. [CrossRef]
- Da Costa, L., & Sandved-Smith, L. (2024). Towards a Bayesian mechanics of metacognitive particles: A commentary on “Path integrals, particular kinds, and strange things” by Friston, Da Costa, Sakthivadivel, Heins, Pavliotis, Ramstead, and Parr. Physics of Life Reviews, 48, 11–13. [CrossRef]
- Da Costa, L., Sandved-Smith, L., Friston, K. J., Ramstead, M. J. D., Seth, A. K., (2024) A Mathematical Perspective on Neurophenomenology. arXiv. https://arxiv.org/abs/2409.20318v1.
- Deane, G. (2021). Consciousness in active inference: Deep self-models, other minds, and the challenge of psychedelic-induced ego-dissolution. Neuroscience of Consciousness, 2021(2), niab024. [CrossRef]
- Dunne, J. D., Thompson, E., & Schooler, J. (2019). Mindful meta-awareness: Sustained and non-propositional. Current Opinion in Psychology, 28, 307–311. [CrossRef]
- Feldman, H., & Friston, K. J. (2010). Attention, uncertainty, and free-energy. Frontiers in Human Neuroscience, 4, 215. [CrossRef]
- Fields, C., Glazebrook, J. F., & Levin, M. (2024). Principled Limitations on Self-Representation for Generic Physical Systems. Entropy, 26(3), Article 3. [CrossRef]
- Fields, C.; Goldstein, A.; Sandved-Smith, L. (2024) Making the Thermodynamic Cost of Active Inference Explicit. Entropy, 26, 622. [CrossRef]
- Friston, K. J. (2019). A free energy principle for a particular physics (arXiv:1906.10184). arXiv. [CrossRef]
- Friston, K. J., Da Costa, L., Sajid, N., Heins, C., Ueltzhöffer, K., Pavliotis, G. A., & Parr, T. (2022). The free energy principle made simpler but not too simple (arXiv:2201.06387). arXiv. [CrossRef]
- Friston, K. J., FitzGerald, T., Rigoli, F., Schwartenbeck, P., & Pezzulo, G. (2017). Active Inference: A Process Theory. Neural Computation, 29(1), 1–49. [CrossRef]
- Friston, K. J., Lin, M., Frith, C. D., Pezzulo, G., Hobson, J. A., & Ondobaka, S. (2017). Active Inference, Curiosity and Insight. Neural Computation, 29(10), 2633–2683. [CrossRef]
- Friston, K. J., Thornton, C., & Clark, A. (2012). Free-Energy Minimization and the Dark-Room Problem. Frontiers in Psychology, 3. [CrossRef]
- Friston, K. J., Wiese, W., & Hobson, J. A. (2020). Sentience and the Origins of Consciousness: From Cartesian Duality to Markovian Monism. Entropy, 22(5), 516. [CrossRef]
- Hesp, C., Smith, R., Parr, T., Allen, M., Friston, K. J., & Ramstead, M. J. D. (2021). Deeply Felt Affect: The Emergence of Valence in Deep Active Inference. Neural Computation, 33(2), 398–446. [CrossRef]
- Hohwy, J. (2013). The predictive mind. Oxford University Press. [CrossRef]
- Hohwy, J. (2016). The Self-Evidencing Brain. Noûs, 50(2), 259–285. [CrossRef]
- Ingram, D. M. (2018). Mastering the core teachings of the Buddha: An unusually hardcore Dharma book (Revised and expanded edition). Aeon.
- Joffily, M., & Coricelli, G. (2013). Emotional Valence and the Free-Energy Principle. PLOS Computational Biology, 9(6), e1003094. [CrossRef]
- Laukkonen, R. E., & Chandaria, S. (2024). A beautiful loop: An active inference theory of consciousness. OSF. [CrossRef]
- Laukkonen, R. E., Sacchet, M. D., Barendregt, H., Devaney, K. J., Chowdhury, A., & Slagter, H. A. (2023). Cessations of consciousness in meditation: Advancing a scientific understanding of nirodha samāpatti. Progress in Brain Research, 280, 61–87. [CrossRef]
- Laukkonen, R. E., & Slagter, H. A. (2021). From many to (n)one: Meditation and the plasticity of the predictive mind. Neuroscience & Biobehavioral Reviews, 128, 199–217. [CrossRef]
- Limanowski, J., & Friston, K. (2018). ‘Seeing the Dark’: Grounding Phenomenal Transparency and Opacity in Precision Estimation for Active Inference. Frontiers in Psychology, 9. https://www.frontiersin.org/articles/10.3389/fpsyg.2018.00643.
- Metzinger, T. (2003). Phenomenal Transparency and Cognitive Self-Reference. Phenomenology and the Cognitive Sciences, 2(4), 353–393. [CrossRef]
- Metzinger, T. (2020). Minimal phenomenal experience: Meditation, tonic alertness, and the phenomenology of “pure” consciousness. Philosophy and the Mind Sciences, 1(I), Article I. [CrossRef]
- Metzinger, T. (2024). The Elephant and the Blind: The Experience of Pure Consciousness: Philosophy, Science, and 500+ Experiential Reports. The MIT Press.
- In The Middle Length Discourses of the Buddha: A Translation of the Majjhima Nikaya; Wisdom Publications: Somerville; Nanamoli, B., & Bodhi, B. (1995). The Middle Length Discourses of the Buddha: A Translation of the Majjhima Nikaya. Somerville: Wisdom Publications.
- Parr, T., & Friston, K. J. (2017a). Uncertainty, epistemics and active inference. Journal of The Royal Society Interface, 14(136), 20170376. [CrossRef]
- Parr, T., & Friston, K. J. (2017b). Working memory, attention, and salience in active inference. Scientific Reports, 7(1), Article 1. [CrossRef]
- Parr, T., & Friston, K. J. (2018). The Anatomy of Inference: Generative Models and Brain Structure. Frontiers in Computational Neuroscience, 12. https://www.frontiersin.org/articles/10.3389/fncom.2018.00090.
- Parr, T., Holmes, E., Friston, K. J., & Pezzulo, G. (2023). Cognitive effort and active inference. Neuropsychologia, 184, 108562. [CrossRef]
- Parr, T., Pezzulo, G., & Friston, K. J. (2022). Active inference: The free energy principle in mind, brain, and behavior. The MIT Press.
- Parvizi-Wayne, D., Sandved-Smith, L., Pitliya, R. J., Limanowski, J., Tufft, M. R. A., & Friston, K. J. (2024). Forgetting ourselves in flow: An active inference account of flow states and how we experience ourselves within them. Frontiers in Psychology, 15. [CrossRef]
- Ramstead, M. J. D., Albarracin, M., Kiefer, A., Klein, B., Fields, C., Friston, K., & Safron, A. (2023). The inner screen model of consciousness: Applying the free energy principle directly to the study of conscious experience. PsyArXiv. [CrossRef]
- Ramstead, M. J. D., Albarracin, M., Kiefer, A., Williford, K., Safron, A., Fields, C., Solms, M., & Friston, K. (2023). Steps towards a minimal unifying model of consciousness: An integration of models of consciousness based on the free energy principle. PsyArXiv. [CrossRef]
- Ramstead, M. J. D., Sakthivadivel, D. A. R., Heins, C., Koudahl, M., Millidge, B., Da Costa, L., Klein, B., & Friston, K. J. (2023). On Bayesian mechanics: A physics of and by beliefs. Interface Focus, 13(3), 20220029. [CrossRef]
- Ramstead, M. J. D., Seth, A. K., Hesp, C., Sandved-Smith, L., Mago, J., Lifshitz, M., Pagnoni, G., Smith, R., Dumas, G., Lutz, A., Friston, K., & Constant, A. (2022). From Generative Models to Generative Passages: A Computational Approach to (Neuro) Phenomenology. Review of Philosophy and Psychology. [CrossRef]
- Sajid, N., Tigas, P., & Friston, K. (2022). Active inference, preference learning and adaptive behaviour. IOP Conference Series: Materials Science and Engineering, 1261(1), 012020. [CrossRef]
- Sandved-Smith, L., Bogotá, J. D., Hohwy, J., Kiverstein, J., & Lutz, A. (2024). Deep computational neurophenomenology: A methodological framework for investigating the how of experience. OSF. [CrossRef]
- Sandved-Smith, L., & Da Costa, L. (2024). Metacognitive particles, mental action and the sense of agency (arXiv:2405.12941). arXiv. [CrossRef]
- Sandved-Smith, L., Hesp, C., Mattout, J., Friston, K., Lutz, A., & Ramstead, M. J. D. (2021). Towards a computational phenomenology of mental action: Modelling meta-awareness and attentional control with deep parametric active inference. Neuroscience of Consciousness, 2021(1), niab018. [CrossRef]
- Schwartenbeck, P., FitzGerald, T. H. B., Mathys, C., Dolan, R., & Friston, K. (2015). The Dopaminergic Midbrain Encodes the Expected Certainty about Desired Outcomes. Cerebral Cortex, 25(10), 3434–3445. [CrossRef]
- Smith, R., Friston, K. J., & Whyte, C. J. (2022). A step-by-step tutorial on active inference and its application to empirical data. Journal of Mathematical Psychology, 107, 102632. [CrossRef]
- van Lutterveld, R., Chowdhury, A., Ingram, D. M., & Sacchet, M. D. (2024). Neurophenomenological Investigation of Mindfulness Meditation “Cessation” Experiences Using EEG Network Analysis in an Intensively Sampled Adept Meditator. Brain Topography, 37(5), 849–858. [CrossRef]
- Varela, F. J. (1996). A Methodological Remedy for the Hard Problem. Journal of Consciousness Studies, 3(4), 330–349.
- In Varela, F; Revue de Phénoménologie: J. (1997). The Naturalization of Phenomenology as the Transcendence of Nature: Searching for Generative Mutual Constraints. Alter; Varela, F. J. (1997). The Naturalization of Phenomenology as the Transcendence of Nature: Searching for Generative Mutual Constraints. Alter: Revue de Phénoménologie, 5, 355–385.
- Wiese, W. (2020). The science of consciousness does not need another theory, it needs a minimal unifying model. Neuroscience of Consciousness, 2020(1), niaa013. [CrossRef]
| 1 | Citations preceded by numbers represent MPE reports from participants. |
| 2 | The internal-cause-concept defined here can be thought of as an aspect of the phenomenology of the sense of self,
specifically the sense of a first-person perspective. However, this term is not being used to refer to other broader notions of
self, such as the biographical self-narrative or the so-called epistemic agent model. This is why I have refrained from any
‘self’ related terminology to avoid confusion. |
| 3 | This is also the mechanism that prevents an infinite regress of the hierarchical levels. Each additional level becomes less informative as it tracks slower time scale fluctuations. Therefore, the complexity cost of the additional model structure quickly outweighs the accuracy gained by tracking ever more subtle dynamics. |

Disclaimer/Publisher’s Note: The statements, opinions and data contained in all publications are solely those of the individual author(s) and contributor(s) and not of MDPI and/or the editor(s). MDPI and/or the editor(s) disclaim responsibility for any injury to people or property resulting from any ideas, methods, instructions or products referred to in the content. |
© 2025 by the authors. Licensee MDPI, Basel, Switzerland. This article is an open access article distributed under the terms and conditions of the Creative Commons Attribution (CC BY) license (http://creativecommons.org/licenses/by/4.0/).
