Submitted:
31 October 2024
Posted:
01 November 2024
Read the latest preprint version here
Abstract
Keywords:
1. Introduction
1.1. Background and Motivation
1.2. Novelty and Scientific Contributions
1.2.1. Dynamical Variational Principles
1.2.2. Positive Feedback Model of Self-Organization
1.2.3. Average Action Efficiency (AAE)
1.2.4. Agent-Based Modeling (ABM)
1.2.5. Intervention and Control in Complex Systems
1.2.6. Average Action-Efficiency as a Predictor of System Robustness
1.2.7. Philosophical Contribution
1.2.8. Novel Conceptualization of Evolution as a Path to Increased Action Efficiency
1.3. Overview of the Theoretical Framework
1.4. Hamilton’s Principle and Action Efficiency
1.5. Mechanism of Self-Organization
1.6. Negative Feedback
1.7. Unit-Total Dualism
1.8. Unit Total Dualism Examples
1.9. Action Principles in this Simulation, Potential Well
1.10. Research Questions and Hypotheses
- How can a dynamical variational action principle explain the continuous self-organization, evolution, and development of complex systems?
- Can Average Action Efficiency (AAE) be a measure for the level of organization of complex systems?
- Can the proposed positive feedback model accurately predict the self-organization processes in systems?
- What are the relationships between various system characteristics, such as AAE, total action, order parameter, entropy, flow rate, and others?
- A dynamical variational action principle can explain the continuous self-organization, evolution and development of complex systems.
- AAE is a valid and reliable measure of organization that can be applied to complex systems.
- The model can accurately predict the most organized state based on AAE.
- The model can predict the power-law relationships between system characteristics that can be quantified.
1.11. Summary of the Specific Objectives of the Paper
2. Building the Model
2.1. Hamilton’s Principle of Stationary Action for a System
2.2. An Example of True Action Minimization: Conditions
- The agents are free particles, not subject to any forces, so the potential energy is a constant and can be set to be zero because the origin for the potential energy can be chosen arbitrarily, therefore . Then, the Lagrangian L of the element is equal only to the kinetic energy of that element:where m is the mass of the element, and v is its speed.
- We are assuming that there is no energy dissipation in this system, so the Lagrangian of the element is a constant:
- The mass m and the speed v of the element are assumed to be constants.
- The start point and the end point of the trajectory of the element are fixed at opposite sides of a square (see Fig. A1). This produces the consequence that the action integral cannot become zero, because the endpoints cannot get infinitely close together:
- The action integral cannot become infinity, i.e., the trajectory cannot become infinitely long:
- In each configuration of the system, the actual trajectory of the element is determined as the one with the Least Action from Hamilton’s Principle:
- The medium inside the system is isotropic (it has all its properties identical in all directions). The consequence of this assumption is that the constant velocity of the element allows us to substitute the interval of time with the length of the trajectory of the element.
- The second variation of the action is positive, because , and , therefore the action is a true minimum.
2.3. Building the Model
2.4. Analysis of System States
2.5. Average Action Efficiency (AAE)
2.6. Multi-Agent
2.7. Using Time
2.8. An Example
2.9. Unit-Total (Local-Global) Dualism
3. Simulations Model
- Minimum: If the second variation of the action is positive, the path corresponds to a minimum of the action.
- Saddle Point: If the second variation of the action can be both positive and negative depending on the direction of the variation, the path corresponds to a saddle point.
- Maximum: If the second variation of the action is negative, the path corresponds to a maximum of the action.
- Kinetic Energy Contribution: Positive definite, contributing to a positive second variation.
- Effective Potential Energy Contribution: Depends on the curvature of . If has regions where its second derivative is positive, the effective potential energy contributes positively, and vice versa.
- The kinetic energy term tends to make the action a minimum.
- The potential energy term, depending on the pheromone concentration field, can contribute both positively and negatively.
3.0.1. Effects of Wiggle Angle and Pheromone Evaporation on the Action
3.1. Considering the Nature of the Action
3.2. Dynamic Action
3.3. Specific Details in our Simulation
3.4. Gradient Based Approach
3.5. Summary
4. Mechanism
4.1. Exponential Growth and Size-Complexity Rule
4.2. A Model for the Mechanism of Self-Organization
4.2.1. Systems with Constant Coefficients
4.2.2. Systems with Variable Coefficients
4.2.3. Higher-Order Systems and Resonance
5. Mechanism
5.1. Exponential Growth and Size-Complexity Rule
5.2. A Model for the Mechanism of Self-Organization
5.2.1. Systems with Constant Coefficients
5.2.2. Systems with Variable Coefficients
5.2.3. Higher-Order Systems and Resonance
6. Simulation Methods
6.1. Agent-Based Simulations Approach
6.2. Program Summary
6.3. Analysis Summary
6.4. Average Path Length
6.5. Flow Rate
6.6. Final Pheromone
6.7. Total Action
6.8. Average Action Efficiency
6.9. Density
6.10. Entropy
6.11. Unit Entropy
6.12. Simulation Parameters
6.13. Simulation Tests
6.13.1. World Size
6.13.2. Estimated Path Area
7. Results
7.1. Time Graphs




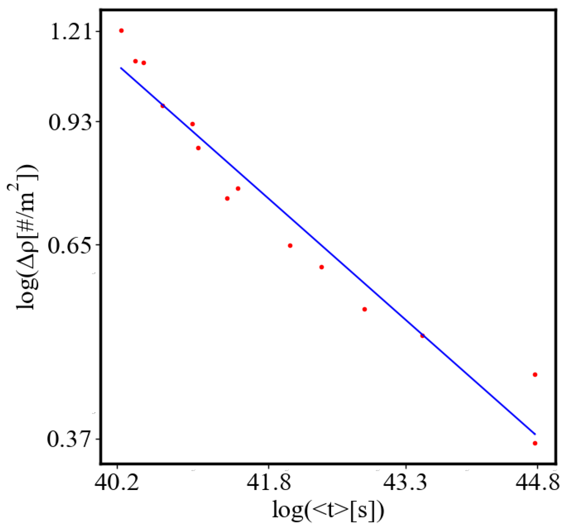
7.2. Power Law Graphs
7.2.1. Size-Complexity Rule

7.2.2. Unit-Total Dualism


7.2.3. The Rest of the Characteristics
8. Discussion
9. Conclusions
9.1. Future Work
Author Contributions
Data Availability Statement
Acknowledgments
References
- Sagan, C. Cosmos (Random House, New York, 1980).
- Chaisson, E. J. Cosmic evolution (Harvard University Press, 2002).
- Kurzweil, R. The singularity is near: When humans transcend biology (Penguin, 2005).
- De Bari, B. , Dixon, J., Kondepudi, D. & Vaidya, A. Thermodynamics, organisms and behaviour. Philosophical Transactions of the Royal Society A, 2023. [Google Scholar] [CrossRef]
- England, J. L. Self-organized computation in the far-from-equilibrium cell. Biophysics Reviews 3 ( 2022. [CrossRef] [PubMed]
- Walker, S. I. & Davies, P. C. The algorithmic origins of life. Journal of the Royal Society Interface, 2086. [Google Scholar] [CrossRef]
- Walker, S. I. The new physics needed to probe the origins of life. Nature, 2019. [Google Scholar] [CrossRef]
- Georgiev, G. & Georgiev, I. The least action and the metric of an organized system. Open systems & information dynamics, 2002. [Google Scholar] [CrossRef]
- Georgiev, G. Y. Free energy rate density and self-organization in complex systems. Proceedings of ECCS 2014, 2016)., 321–327 (Springer. [CrossRef]
- Georgiev, G. Y. et al. Mechanism of organization increase in complex systems. Complexity. [CrossRef]
- Georgiev, G. Y. , Chatterjee, A. & Iannacchione, G. Exponential self-organization and moore’s law: Measures and mechanisms. Complexity. [CrossRef]
- Butler, T. H. & Georgiev, G. Y. Self-organization in stellar evolution: Size-complexity rule. In Efficiency in Complex Systems: Self-Organization Towards Increased Efficiency, 53–80 (Springer, 2021). [CrossRef]
- Shannon, C. E. A mathematical theory of communication. Bell System Technical Journal, 1948. [Google Scholar] [CrossRef]
- Jaynes, E. T. Information theory and statistical mechanics. Physical Review, 1957. [Google Scholar] [CrossRef]
- Gell-Mann, M. Complexity measures - an article about simplicity and complexity. Complexity, 1995. [Google Scholar] [CrossRef]
- Yockey, H. P. Information Theory, Evolution, and The Origin of Life (Cambridge University Press, 2005).
- Crutchfield, J. P. & Feldman, D. P. Information measures, effective complexity, and total information. Physical Review E, 2003. [Google Scholar]
- Williams, P. L. & Beer, R. D. Information-theoretic measures for complexity analysis. Chaos: An Interdisciplinary Journal of Nonlinear Science, 2010. [Google Scholar] [CrossRef]
- Ay, N. , Olbrich, E., Bertschinger, N. & Jost, J. Quantifying complexity using information theory, machine learning, and algorithmic complexity. Journal of Complexity.
- Kolmogorov, A. N. Three approaches to the quantitative definition of information. Problems of Information Transmission, 1965. [Google Scholar] [CrossRef]
- Grassberger, P. Toward a quantitative theory of self-generated complexity. International Journal of Theoretical Physics, 1986. [Google Scholar] [CrossRef]
- Pincus, S. M. Approximate entropy as a measure of system complexity. Proceedings of the National Academy of Sciences, 2301. [Google Scholar] [CrossRef]
- Costa, M. , Goldberger, A. L. & Peng, C.-K. Multiscale entropy analysis of complex physiologic time series. Physical review letters, 2002. [Google Scholar] [CrossRef]
- Lizier, J. T. , Prokopenko, M. & Zomaya, A. Y. Local information transfer as a spatiotemporal filter for complex systems. Physical Review E, 2008. [Google Scholar] [CrossRef]
- Rosso, O. A. , Larrondo, H. A., Martin, M. T., Plastino, A. & Fuentes, M. A. Distinguishing noise from chaos. Physical Review Letters, 2007. [Google Scholar] [CrossRef]
- Maupertuis, P. L. M. d. Essay de cosmologie (Netherlands, De l’Imp. d’Elie Luzac, 1751).
- Goldstein, H. Classical Mechanics (Addison-Wesley, 1980).
- Taylor, J. C. Hidden unity in nature’s laws (Cambridge University Press, 2001).
- Lauster, M. On the principle of least action and its role in the alternative theory of nonequilibrium processes. In Variational and Extremum Principles in Macroscopic Systems, 207–225 (Elsevier, 2005). [CrossRef]
- Nath, S. Novel molecular insights into atp synthesis in oxidative phosphorylation based on the principle of least action. Chemical Physics Letters, 9561. [Google Scholar] [CrossRef]
- Bersani, A. M. & Caressa, P. Lagrangian descriptions of dissipative systems: a review. Mathematics and Mechanics of Solids, 2021. [Google Scholar] [CrossRef]
- Bonner, J. T. Perspective: the size-complexity rule. Evolution, 1890. [Google Scholar] [CrossRef]
- Carneiro, R. L. On the relationship between size of population and complexity of social organization. Southwestern Journal of Anthropology, 1967. [Google Scholar] [CrossRef]
- West, G. B. Scale: the universal laws of growth, innovation, sustainability, and the pace of life in organisms, cities, economies, and companies (Penguin, 2017).
- Gershenson, C. , Trianni, V., Werfel, J. & Sayama, H. Self-organization and artificial life. Artificial Life, 2020. [Google Scholar] [CrossRef]
- Sayama, H. Introduction to the modeling and analysis of complex systems (Open SUNY Textbooks, 2015).
- Carlson, J. M. & Doyle, J. Complexity and robustness. Proceedings of the national academy of sciences, 2545. [Google Scholar] [CrossRef]
- Heylighen, F. & Joslyn, C. Cybernetics and second-order cybernetics. Encyclopedia of physical science & technology, 2001. [Google Scholar]
- Jevons, W. S. The coal question; an inquiry concerning the progress of the nation and the probable exhaustion of our coal-mines (Macmillan, 1866).
- Berkhout, P. H. , Muskens, J. C. & Velthuijsen, J. W. Defining the rebound effect. Energy policy, 2000. [Google Scholar] [CrossRef]
- Hildenbrand, W. On the" law of demand". Econometrica: Journal of the Econometric Society, 1983. [Google Scholar] [CrossRef]
- Saunders, H. D. The khazzoom-brookes postulate and neoclassical growth. The Energy Journal, 1992. [Google Scholar]
- Downs, A. Stuck in traffic: Coping with peak-hour traffic congestion (Brookings Institution Press, 2000).
- Feynman, R. P. Space-time approach to non-relativistic quantum mechanics. Reviews of Modern Physics. [CrossRef]
- Gauß, C. F. Über ein neues allgemeines Grundgesetz der Mechanik. (Walter de Gruyter, Berlin/New York Berlin, New York, 1829).
- LibreTexts. 5.3: The uniform distribution (2023). Accessed: 2024-07-15.
- Kleiber, M. et al. Body size and metabolism. Hilgardia.
Short Biography of Authors




































| Parameter | Value | Description |
| ant-speed | 1 patch/tick | Constant speed |
| wiggle range | 50 degrees | random directional change, from -25 to +25 |
| view-angle | 135 degrees | Angle of cone where ants can detect pheromone |
| ant-size | 2 patches | Radius of ants, affects radius of pheromone viewing cone |
| Parameter | Value | Description |
| Diffusion rate | 0.7 | Rate at which pheromones diffuse |
| Evaporation rate | 0.06 | Rate at which pheromones evaporate |
| Initial pheromone | 30 units | Initial amount of pheromone deposited |
| Parameter | Value | Description |
| projectile-motion | off | Ants have constant energy |
| start-nest-only | off | Ants start randomly |
| max-food | 0 | Food is infinite, food will disappear if this is greater than 0 |
| constant-ants | on | Number of ants is constant |
| world-size | 40 | World ranges from -20 to +20, note that the true world size is 41x41 |
| Parameter | Value | Description |
| food-nest-size | 5 | The length and width of the food and nest boxes |
| foodx | -18 | The position of the food in the x-direction |
| foody | 0 | The position of the food in the y-direction |
| nestx | +18 | The position of the nest in the x-direction |
| nesty | 0 | The position of the nest in the y-direction |
| variables | a | b | |
| vs. Q | |||
| vs. i | |||
| vs. | |||
| vs. | |||
| vs. | |||
| vs. | |||
| vs. N | |||
| Q vs. i | |||
| Q vs. | |||
| Q vs. | |||
| Q vs. | |||
| Q vs. | |||
| Q vs. N | |||
| i vs. | |||
| i vs. | |||
| i vs. | |||
| i vs. | |||
| i vs. N | |||
| vs. | 0.873 | ||
| vs. N | 0.864 | ||
| vs. | |||
| vs. | |||
| vs. | |||
| vs. N | |||
| vs. | |||
| vs. | |||
| vs. N | |||
| vs. N | |||
| vs. N | |||
| vs. N | |||
| vs. | |||
| vs. | |||
| vs. N | |||
| vs. N |
Disclaimer/Publisher’s Note: The statements, opinions and data contained in all publications are solely those of the individual author(s) and contributor(s) and not of MDPI and/or the editor(s). MDPI and/or the editor(s) disclaim responsibility for any injury to people or property resulting from any ideas, methods, instructions or products referred to in the content. |
© 2024 by the authors. Licensee MDPI, Basel, Switzerland. This article is an open access article distributed under the terms and conditions of the Creative Commons Attribution (CC BY) license (http://creativecommons.org/licenses/by/4.0/).