Preprint
Article

This version is not peer-reviewed.

Identification of Soil Quality Factors and Indicators in Mediterranean Agro-ecosystems

A peer-reviewed article of this preprint also exists.

Submitted:

21 October 2024

Posted:

24 October 2024

You are already at the latest version

Abstract
Soil quality offers a holistic approach to understanding the relationships between soil’s biological, chemical, and physical properties, which is crucial for the sustainable land use and the management of non-renewable soil resources. This study evaluates the impact of land use on 23 physicals, chemicals, and biologicals soil quality indicators (SQIs) across five land uses of the Mediterranean agro-ecosystems: forest, olive groves, wheat fields, and a corn / wheat crop rotation system. Over two consecutive years, seasonal soil samplings were conducted across three conventionally farmed fields for each land use. Through multivariate analysis, five key soil quality factors—organic matter, microbial biomass, nutrients, the C/N ratio, and compaction—were identified as reflective alterations in soil quality due to land use change. Discriminant analysis revealed the soil properties of total nitrogen (Ntot) and the C/N ratio, which highlights the quantity and quality of soil organic matter, as particularly sensitive indicators of soil quality changes in Mediterranean agroecosystems incorporating most of the information derived from the entire set of initials SQIs. These proposed indicators offer a simplified yet effective means of assessing soil resource sustainability in the Mediterranean agroecosystems, providing practical tools for monitoring and managing soil quality.
Keywords: 
;  ;  ;  

1. Introduction

The concept of soil quality was first defined as “the capacity of soil to function within an ecosystem and under various land uses in such a way that it sustains biological productivity, maintains water and air quality, and promotes the health of animals and plants” [1]. Larson and Pierce [2] further argued that the combination of a soil’s physical, chemical, and biological properties enables it to fulfill three key functions: (1) provide a medium for plant growth, (2) control and regulate water flow in the environment, and (3) serve as an environmental filter.
Although soil quality appears to be a straightforward concept, defining and quantifying it presents significant challenges [3]. Some researchers argue that the notion of “quality” cannot be easily applied to such a complex, dynamic, and diverse system as soil [4,5,6]. However, a growing number of studies highlight the importance of soil quality for environmental sustainability and human well-being e.g [7,8,9,10,11,12,13]. Soil quality offers a holistic approach to understanding the relationships between soil’s biological, chemical, and physical properties, which is crucial for sustainable land use and the management of non-renewable soil resources [1,14].
Assessing soil quality requires consideration of both inherent and dynamic soil properties and processes. For any given region, soil quality assessment is influenced by a combination of factors, including management practices like crop rotation and manure application, as well as climate and soil type [13]. The first step in soil quality assessment is selecting appropriate soil quality indicators (SQIs) to form a minimum data set (MDS) for evaluation [15]. It is essential to choose indicators that represent a broad spectrum of physical, chemical, and biological properties to accurately assess soil quality, while ensuring that the selected parameters effectively capture the information provided by all relevant indicators.
Many soil attributes that contribute to soil quality, however, are highly correlated, working in concert with other soil properties [2,16]. Given this correlation, a stronger assessment of soil quality can be achieved through statistical methods that account for relationships among these attributes. Multivariate statistical analyses, for instance, allow for the simultaneous evaluation of correlated variables, offering insights that might be overlooked if each variable were analyzed individually [17]. Numerous researchers have focused on using multivariate statistical methods to identify a minimal number of soil quality indices capable of describing changes in soil quality [18,19,20,21]. Zhou et al., [22] used ANOVA and factor analysis to identify a subset of four key soil indicators from an initial group of 26 to build an MDS for evaluating soil quality in wheat-producing regions of China. Similarly, Brejda et al. [23] employed principal component and discriminant analyses to identify sensitive soil indicators at a regional scale.
Research on soil quality assessments based on MDS has been effectively applied to various land use types, including coastal areas [24], agricultural zones [23], and grasslands [20]. However, in the Mediterranean region, only a few studies have developed specific sets of soil quality indicators [25,26,27,28,29], and even fewer have incorporated biological parameters [29].
Nevertheless, soil function is significantly influenced by seasonal variations in temperature and moisture, as well as by management practices in agricultural systems. The majority of studies aimed at identifying MDS do not account for the seasonal variability of soil quality indicators, as soil samplings is typically conducted during one specific season. This is particularly important in Mediterranean regions, which are characterized by a pronounced seasonal contrast in rainfall between winter and summer. Soil quality indicators in such regions often exhibit significant seasonal variability that is frequently overlooked in efforts to establish MDS at a regional scale [30,31]. Furthermore, Mediterranean agroecosystems are notable for their highly variable soil cover, spatial diversity, and long history of continuous human settlement and intensive cultivation [32], which further influence soil quality.
To address these challenges, the present study introduces a statistics-based methodology for identifying an MDS for soil quality assessment, incorporating seasonal samplings across five different land use types over two consecutive years. The objectives of the study were: (i) to identify regional-scale soil quality “factors” from a set of 23 physicals, chemicals, and biologicals soil quality indicators, (ii) to determine which soil quality factors vary significantly with land use, and (iii) to identify sensitive soil attributes that can serve as reliable indicators for monitoring soil quality at a regional scale, accounting for the seasonal variation of soil functions in Mediterranean agroecosystems.

2. Materials and Methods

2.1. Study Area

The study was conducted in the Kaloni Gulf watershed, located on Lesvos Island (Longitude: 26° 06ʹ 51 E; Latitude: 39° 12ʹ 40 N), in the northern Aegean Sea (Figure 1).
Lesvos, the third-largest Greek island and seventh-largest in the Mediterranean, has a dry to sub-humid Mediterranean climate. The area experiences moderate water surplus in winter, with an annual rainfall of 650 mm and a mean annual temperature of 17.7°C. (Figure 2).
The total watershed area is 49,260 hectares, consisting of 33.5% cropland, 39.4% pasture, 21.6% forest, and 5.5% for other uses. Olive cultivation accounts for 70% of croplands, with the remaining areas dedicated to arable crops, mainly wheat. The region’s soils derive from Mio-Pliocene volcanic pyroclastics, with common soil-forming factors across agricultural lands surrounding the Kalloni Gulf.
Five land covers representing forest, cropland, and pasture were selected to reflect the island’s ecosystem diversity: pine forests (Pinus brutia), olive groves, wheat fields, crop rotations of corn-wheat (referred to as double cultivation), and shrubland pastures. Preliminary soil samples were collected from 75 representative fields (20 pastures, 15 forests, 40 arable) covering all land use/cover types, with slopes of less than 3% to minimize erosion effects. Three fields (3 hectares each) for each land cover were selected after cluster analysis to ensure similar soil texture and pH (data not shown). All selected soils were classified as Entisols, with Typic Xerofluvents for forest, olive trees, wheat, and wheat/maize double cultivation soils, and Lithic Xerorthents for pastures. All soil textures were sandy-clay-loam.
Soil samples were collected from conventionally farmed fields according to local practices. Forest sites received minimal management, except for resin collection that ceased thirty years ago. Olive grove sites were tilled to a depth of 15 cm in April to incorporate annual vegetation and minimize water competition. Composite 15–15–15 fertilizer was applied every 3 years to each tree (45 kg N ha−1), with soil samples taken before fertilizer application.
For wheat cultivation, seedbeds were prepared using a moldboard plow to invert the soil to a depth of 20–30 cm at the end of October, incorporating plant residues from previous cultivation. No preplant fertilization was applied, with in-season ammonium nitrate (NH4NO3) applied at a rate of 90–100 kg N ha−1 in February. Wheat is harvested in June, and fields remain bare until the next seeding in autumn.
Crop rotation was used for forage production in a restricted area, with cereals sown in October after deep tillage with a moldboard plow (40–50 cm). Pre-plant fertilization with 11–15–15 fertilizer was applied (110 kg N ha−1), and no in-season fertilization was performed, as harvest occurred in late April. Second deep tillage was performed between May 10th and 20th before maize seedling, with pre-plant fertilization of 110 kg ha−1 applied using composite 11–15–15 fertilizer. Maize cultivation was drip irrigated every 8–10 days from the end of June until the end of August, receiving a total volume of 550–600 mm water. In-season N fertilization was performed through irrigation water (fertigation) 3–4 times, totaling 165 kg N ha−1 as NH4NO3. Maize was harvested in late September.
Pasture sites, dominated by “Sarcopoterium spinosum”, had shallow soils in a region with severe degradation through erosion. These soils did not receive any particular management except for grazing by sheep and goats.

2.2. Soil Sampling and Analysis

Over two consecutive years, soil sampling was conducted eight times, seasonally, on the same day and under consistent precipitation conditions for all land uses. Soil samplings performed in early May, August, October, and February. At each sampling site, three composite surface soil samples (0–15 cm depth) were collected randomly from the central area of the site, with each composite sample comprising 8 soil cores (2.5 cm diameter). Prior to sampling, all vegetation and plant residues were cleared from soil surface. The collected soil sub-samples were thoroughly mixed to ensure homogeneity, roots and visible plant residues were removed, and the composite samples were stored at 4°C for 3 days before soil microbial biomass determinations. Additionally, subsamples of the soils were air-dried, ground, sieved through a 2 mm sieve, and stored separately for chemical analysis.
Bulk density (BD) /porosity (Vp) estimated after sampling undisturbed soil samples. Soil moisture (gravimetric water content) was determined by drying at 105°C of triplicate 10 g samples. Water Holding Capacity (WHC) estimated by the Gardner, 1986 method [33]. Soil texture was determined by physical fractionation (particle- size analysis, PSA) using the Bouyoucos method, after the destruction of organic matter with hydrogen peroxide and dispersion with sodium hexametaphosphate [34]. Organic C was determined by the Walkley – Black procedure [35] and total N by the semimicro-Kjeldahl method [36]. Nitrate and ammonium nitrogen estimated chromatographically by the “cadmium reduction” and indophenol blue method respectively [37]. Soil-available P was extracted by employing the method suggested by Olsen and Sommers [38] and determined using spectrophotometry. Soil pH and electrical conductivity (EC) was measured in 1:1 suspension with water. Microbial biomass carbon (Cmic) and nitrogen (Nmic) were determined using the fumigation-extraction method developed by Vance, Brookes, and Jenkinson [39] for Cmic, and Brookes, Landman, and Jenkinson [40] for Nmic. Active carbon (Cact) estimated by the permanganate-oxidizable carbon method [41]. All data are expressed on an oven-dry (at 105°C) soil weight basis.

2.3. Statistical Analysis

The statistical analysis was conducted using the SPSS statistical software. In order to identify differences among physical, chemical and biological soil quality indicators in different land uses, analysis of variance (ANOVA) was chosen. The identification of samples showing significant statistical differences was performed using the LSD post hoc test for multiple comparisons. The Pearson correlation test was used to examine the relationships among SQIs in all land uses. Prior to these analyses, the data were tested for ANOVA assumptions, and were log-transformed when necessary. Principal component analysis (PCA) was used to extract a small number of factors from the set of 23 soil quality indicators studied and identify the most significant properties explaining the majority of the variance in the original data. PCA was used to extract the factors, as it does not require prior assessment of the variance of each soil property explained by the factors [23]. PCA was performed on standardized variables using the correlation matrix to neutralize the effects of different measurement units on determining the weight of each factor loading [42,43]. Factors with eigenvalues > 1 were distinguished from the analysis using “varimax” rotation. Discriminant analysis (DA) was performed on the full set of physical, chemical, and biological soil quality indicators, which includes the effects of land use and season as recorded by seasonal measurements throughout the entire measurement period (8 samples per land use). DA was used to identify the distinction between land uses in relation to their physical, chemical, and biological soil quality indicators, analyze their spatial relationships, and recognize the properties that predominantly affect this distinction.

3. Results

3.1. Land use effect on Soil Quality Indicators

The results of this study highlight significant variations in SQIs across different land-use types, underscoring the strong influence of land use on soil function. Table 1 provides average values for all SQIs measured, revealing distinct patterns in soil characteristics. For example, forested soils show the highest values for moisture content, Vp, WHC, Corg, Cmic, and Cact. Pasture soils similarly exhibit high values for Cmic and Cact but are particularly notable for the highest levels of Nmic, Nmic/Ntot ratio, and Nmin, as well as a high Cmic/Corg ratio, similar to wheat soils. Wheat soils also demonstrate high Vp and Cact/Corg ratios, while double-cropping systems show elevated values for electrical conductivity EC, NO3-N, NH4-N, P, and BD.
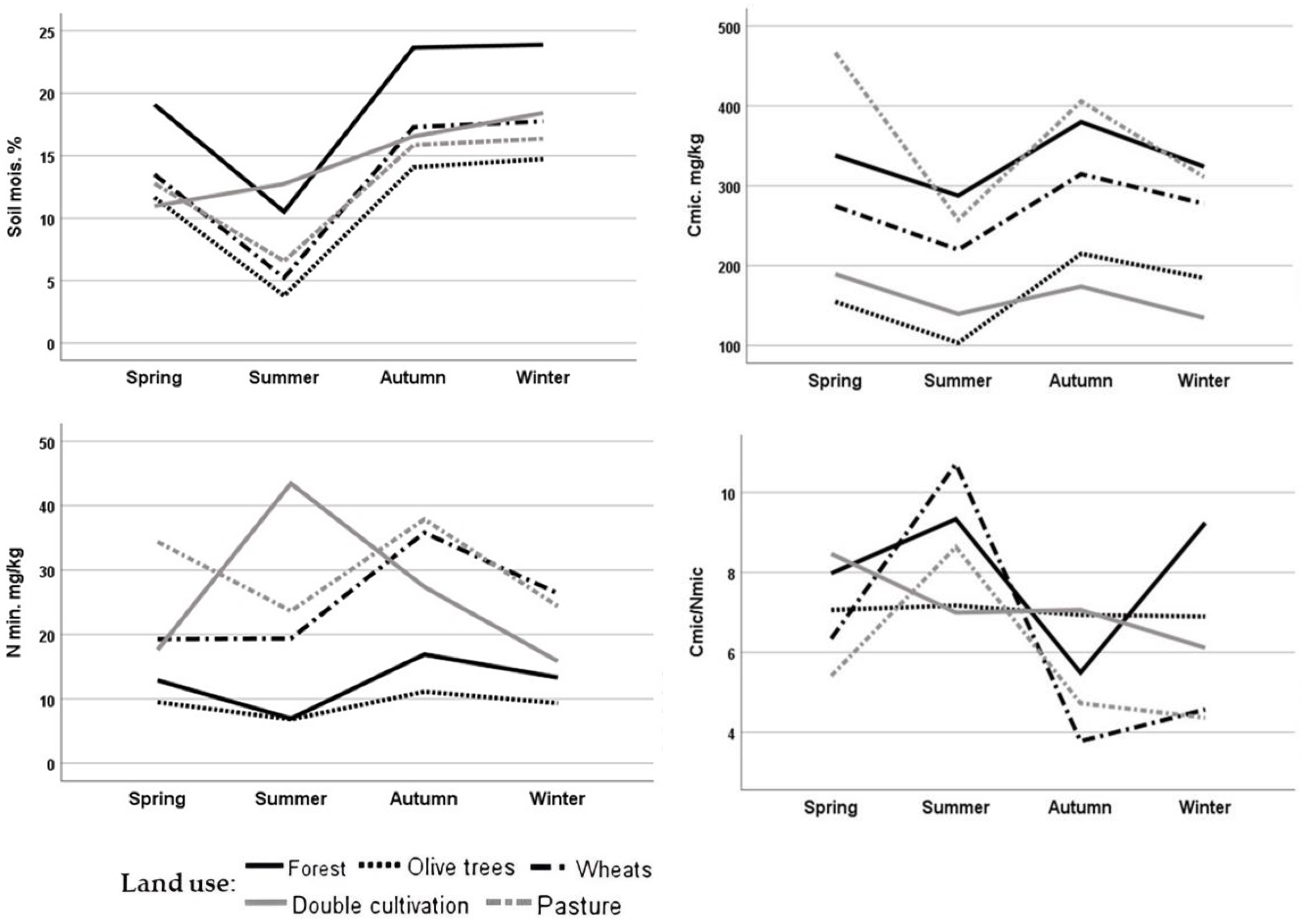
Seasonal variations in SQIs were substantial, driven by the Mediterranean climate’s fluctuations in temperature and rainfall, as well as agricultural practices such as irrigation, fertilization, and tillage. Of the 24 SQIs studied, 13 exhibited significant seasonal variability in at least one land-use type, including the indicators of soil moisture, NO3-N, NH4-N, Nmin, P, EC, Cmic, Nmic, and various ratios such as Cmic/Nmic, Cmic/Corg, Nmic/Ntot, Cact, and Cact/Corg. Figure 3 illustrates the seasonal variability for four selected SQIs, highlighting how these fluctuations impact soil function.
Table 2 shows the correlation coefficients between SQIs, with significant correlations found in 189 of 253 pairs. This high correlation frequency suggests that SQIs can be grouped into fewer factors, based on their correlation structure. For instance, soil moisture content was strongly correlated (r2>0.5) with sand, Corg, and the Cact/Corg ratio, while Corg showed strong correlations with multiple variables, including soil moisture content, clay, Ntot, P, Cmic, and Cact. Similarly, NO3-N had a very strong correlation with Nmin (r = 0.95), and NH4-N was strongly correlated with clay, Cmic, and Nmic. P showed a strong correlation with Clay, Corg, and Cmic, pH correlated with soil moisture content, and Cmic strongly correlated with Clay, Corg, Ntot, NH4-N, P, Cmic/Corg, Nmic, Nmic/Ntot, and Cact/Corg. Cmic/Corg correlated with Cmic, Nmic, and the Mmic/Ntot where Nmic showed a strong correlation with Clay, NH4-N, Cmic, Cmic/Corg, Nmic/Ntot, and Cmic/Nmic. Cmic/Nmic showed a strong correlation with Nmic, and Nmic/Ntot. Finally, Cact exhibited a strong correlation with soil moisture content, Clay, Corg, Ntot, and Cmic.

3.2. Distinction of Land Uses Based on Physical, Chemical, and Biological Soil Quality Indicators

Discriminant analysis (DA) was used to identify the key SQIs that differentiate land uses. Using land use as a grouping parameter, DA produced four significant functions, explaining 100% of the total variability (Table 3).
The first two functions accounted for 80.9% and 11.1% of the variability, respectively, with P, Cmic, Cact, and NO3-N being the most influential properties for land-use differentiation. Figure 4 illustrates how land-use types are distinctly clustered, with crops forming a separate group from forests and pastures.
While crops showed some overlap, particularly between double-cropping and wheats, the centroids for all land-use types remained distinct (Table 4).

3.3. Factor Analysis

Principal component analysis (PCA) revealed six main factors that explained 82.9% of the total variance, with eigenvalues greater than 1 (Table 5).
If there were no correlation between soil properties, the identification of factors would not be possible (Johnson and Wichern, 1992). However, as significant correlations (P < 0.05) were found in 189 out of the 283 pairs of soil properties studied, PCA revealed six main factors with eigenvalues > 1, explaining 82.9% of the total variance. Communalities of soil properties indicate that the six main factors explain > 90% of the variance in properties such as Corg, Nmic, Nmic/Ntot, Cmic, Nmin, Vp, and BD, and > 80% of the variance for Ntot, P, Cmic/Corg, N03-N, and C/N. The six main factors however, explain < 70% of the total variability in soil moist and NH4-N properties (Table 6).
These factors were named based on the soil properties they most strongly correlated with. The first factor, “organic matter,” was strongly correlated (r2>0.70) to Ntot, Corg, and Cact, as well as WHC. The second factor, “ microbial biomass,” was associated with microbial biomass indicators like Cmic/Corg, Nmic/Ntot, Nmic, and Cmic. Third factor “nutrients” strongly associated with Nmin, N03-N, and EC, which expresses the concentration of soil nutrients in the soil solution. The fourth factor, “compaction,” strongly associated with the bulk density and porosity of the soil which are key indexes of soil compaction. Sixth factor “C/N ratio,” and seventh factor “active carbon” was determined solely by the C/N and Cact/Corg respectively.
Each factor’s performance was evaluated across land uses using analysis of variance (ANOVA), which showed that all factors except for “active carbon” varied significantly by land use (Table 7).
The ANOVA results indicate that, with the exception of the “active carbon”, the performance of all other soil quality factors varied significantly across different land uses (Table 7). The “organic matter” factor showed positive scores for forest and pasture soils but negative scores for other land uses, with the highest value in the forest and the lowest in crops, particularly in olive trees. The “microbial biomass” factor exhibited positive scores in pasture and crop soils, but negative scores were observed in forest, olive grove, and double-cropping systems, with pasture scoring the highest and double-cropping the lowest. Similarly, the “ nutrients “ factor showed positive scores for double-cropping, crops, and pasture, while forests and olive groves recorded negative scores. The “compaction” factor revealed positive scores for crops, forests, and olive groves, but negative scores for double-cropping and pasture, with the highest score in crops and the lowest in double-cropping. The “C/N ratio” factor presented the highest positive scores in forest and pasture, with lower and negative scores in wheat and olive tree soils (Table 7).
To determine which factors most significantly contributed to distinguishing between land uses, DA was performed using land use as the grouping variable. DA generated four discriminant functions that explained 100% of the total variability (p < 0.001, Table 8).
The first function accounted for 75.9% of the total variance, the second 11.9%, the third 8.9%, and the fourth 3.3% (Table 8). The linear discriminant function for the first factor is presented in Equation 1 (Table 9).
Y1 =2.50(organic matter) + 0.41(soil nutrients) + 0.10(soil compaction) + 1.43(C/N) -0.20(active carbon)
DA identified the “organic matter” and “C/N ratio” factors as the most influential in distinguishing between land uses (Equation (1)). The discrimination coefficient for the “organic matter” factor was approximately five times greater than that for the “ soil nutrients” and “microbial biomass” factors, and over ten times higher than those for the “active carbon” and “soil compaction” factors. Similarly, the discrimination coefficient for the “C/N ratio” was roughly three times higher than that of the “ nutrients “ and “microbial biomass” factors, and more than seven times higher than the coefficients for “active carbon” and “ compaction.”

3.4. Identification of “minimum set of soil quality indicators”

Further DA on the “organic matter” factor, which consists of seven soil properties, was conducted to determine which properties contributed most significantly to distinguishing land uses. This analysis produced four functions explaining 100% of the total variability (p < 0.001, Table 10), with the first function accounting for 84.2%, the second 12.8%, the third 1.9%, and the fourth 1.0% of the variance.
The linear discriminant function for the first factor is given in Equation 2 (Table 11). The analysis revealed that Ntot was the most important SQI for distinguishing land uses, with a discriminant coefficient several times larger than that of any other soil property (Equation [2]).
Y2=0.324(Corg)+2.0(Ntot)+0.19(WHC)+0.004(moist)+0.136(NH4−N)−0.234(P)−0.003(Cact)
In conclusion, based on the results of PCA, DA, and the derived equations, it is evident that Ntot and the C/N ratio play a pivotal role in differentiating between land uses. These two indicators can be considered highly sensitive SQIs and are recommended for monitoring soil quality changes in relation to land use in the study area.

4. Discussion

In this study, the dataset used in the multivariate analyses incorporates the effects of both land use and season on the examined SQI. Land use within the same climate and soil type influences soil function, not only through climatic conditions but also through management practices such as tillage, irrigation, fertilization, and biomass removal. Additionally, species composition and vegetation cover play a role, as they determine the quantity and quality of plant residues. While land use appears to affect individual SQIs, it significantly influences the combined set of indices (physical, chemical, and biological), categorizing soil functions of each land use into distinct groups. For example, crop soil functions, though varying among crops, stand out more significantly compared to those of forests and pastures.
PCA identified NO3-N and P as key indicators that differentiate soil functions among land uses. Differences observed, may be attributed to soil management practices: systematic fertilization, which accumulates inorganic phosphorus through continuous use of chemical fertilizers (e.g., 11-15-15 type), animal excretions in pastures that increase nitrate nitrogen, and closed nutrient cycling in forests. Two other indicators, Cmic and Cact, representing labile organic carbon in soils [44,45,46,47], also distinguish soil functions among land uses. These indicators are influenced by practices such as tillage and biomass removal in crops, animal excretions in pastures, and nutrient cycling in forests, which affect labile carbon pools in the soil. Crop residues serve as a crucial source of energy and nutrients for microbial proliferation, contributing to the formation of soil organic carbon. Labile organic carbon pools represent a small part of soil organic carbon but serve as sensitive indicators of soil biogeochemical processes under agricultural management [48].
In the current study, six key soil quality factors were identified: “organic matter”, “microbial biomass”, “nutrients”, “compaction”, “C/N ratio”, and “Cact/Corg ratio”. Each of these factors plays a role in supporting one or more essential soil functions. The “organic matter” factor, in particular, reflects both long-term and short-term changes associated with land use transitions [49]. Soil organic matter (SOM) underpins crucial ecosystem services, such as food production, climate regulation, water filtration, erosion control, nutrient cycling, and providing energy for soil organisms [50,51]. It is widely regarded as a vital indicator of soil quality for the Mediterranean agroecosystems [52,53,54,55].
The “microbial biomass” factor governs ecological processes that drive carbon and nutrient cycles, making it a sensitive measure of soil management impacts. It has been extensively recognized as a critical soil quality indicator [56,57,58] and has been reported among the most important ecological indicators of soil quality in the Mediterranean ecosystem [30]. The “nutrients” factor affects nutrient availability, while the “compaction” factor influences water retention, aeration, and soil physical, chemical, and biological properties.
The C/N and Cact/Corg ratios, while unidimensional in factor analysis, represent complex and dynamics soil functions. The C/N ratio is a key indicator of the quality of organic substrates available for decomposition [59], while the Cact/Corg ratio reflects the mineralization dynamics of organic matter [41]. Together, these factors provide a comprehensive assessment of soil quality in Mediterranean agroecosystems.
The differentiation of these factors based on land use reflects dynamic soil qualities [16] and assesses the impact of land use and management practices on soil quality. The “organic matter” and “compaction” factors have been previously recognized by other researchers [23,60]. In this study, four additional factors are identified: “microbial biomass”, “nutrients”, “C/N”, and “Cact/Corg”. Evaluating these soil quality factors identifies five of the six as significant for assessing changes in soil quality due to land use changes. The Cact/Corg factor appears less important, as it does not effectively express soil quality dynamics.
In general, soil quality factors exhibit similar behavior across different land uses, consistent with the dominant indicators that comprise them. The “organic matter” factor is significantly affected by cultivation practices within the same agro-climatic zone. The “microbial biomass” factor is influenced by carbon and nitrogen incorporation into microbial biomass, while the “nutrients” factor is impacted by nitrogen availability (via fertilization or mineralization). Soil management practices affect the “compaction” factor, and the “C/N” factor is influenced by the quantity and composition of plant residues. Among these, the “organic matter”and “C/N” factors, which reflect the quantity and quality of soil organic matter, appear to be the most crucial determinants of soil quality in Mediterranean agroecosystems. Changes in soil quality, resulting from land use and management practices, are reflected in all components of each factor [61]. In this study, Ntot highlighed as critical for determining shifts in soil quality within the soil organic matter factor. Its significance as a fundamental property for soil quality is noted in numerous studies [23,62,63] due to its incorporation of a large portion of the information related to interacting soil parameters. In this study forest soils show the highest Ntot stocks, followed by grasslands and croplands similar to other researchers findings [64,65]. Ntot was significantly correlated with soil moisture, clay, Corg, Cmic, and Cact, indicating its influence on both labile and stable forms of soil organic matter. Ntot is a SQI that incorporates soil organic matter dynamics, and furthermore, is a significant and direct contributor to plant nitrogen nutrition, even in agricultural contexts [66]. Ntot as a sensitive SQI among diferent land uses has been reported by Zhao et al., [67] for other types of climatic zones.
In this study, the soil C/N ratio emerged as a second crucial factor for assessing changes in soil quality. Its significance lies in its ability to reflect the dynamics of organic matter decomposition, which plays a pivotal role in overall soil quality. The soil C/N ratio has long been recognized as a key indicator of organic matter quality and nitrogen mineralization-immobilization processes [68]. Shifts in soil C/N stoichiometry are known to significantly influence carbon dynamics in agroecosystems [59]. Microorganisms use labile carbon as an energy source to produce extracellular enzymes, facilitating nitrogen extraction from soil organic matter (SOM) and leading to SOM mineralization [69,70]. Thus, the C/N ratio, though often underestimated, plays a fundamental role in regulating soil organic matter decomposition, indirectly impacting soil quality. The C/N ratio also serves as a common proxy for organic matter stability [71], offering insights into soil quality changes. While interpreting shifts in C/N ratios in bulk soils is complex, especially in response to land use or climate change, it is essential for understanding potential soil organic carbon (SOC) sequestration or losses, as well as nutrient cycling and availability in agroecosystems. This makes the C/N ratio a valuable indicator for tracking soil quality changes in agricultural systems.
From a set of 23 physical, chemical, and biological SQIs, this study identifies soil properties of total nitrogen and C/N ratio as sensitive key indicators, capturing most of the variability across the all 23 SQIs among land uses. These two indicators provide valuable insights into soil quality changes resulting from land use changes or the application of specific management practices. The proposed indicators are sufficient for assessing long-term soil quality changes.

5. Conclusions

The concept of soil quality, which encompasses the holistic relationships and functions of physical, chemical, and biological soil properties, aligns with the sustainable management of non-renewable soil resources. In this study, the influence of land use on soil function and overall SQIs is emphasized, particularly under the unique conditions imposed by different land uses incorporating any seasonal variation of the SQIs in the Mediterranean agroecosystems. Agricultural use, in particular, is shown to significantly affect soil parameters, differentiating them from the natural ecosystem of the forest. Moreover, considerable differences are observed even within agricultural systems. Cultivation practices appear to have a consistent impact on soil parameters, with olive trees, wheat, and double-cropping systems grouped in a distinct manner, indicating that land cultivation affects soil function and differentiates it from other agricultural uses such as pasture.
The study identifies five key factors that depict soil function: “organic matter”, “microbial biomass”, “nutrients”, the “C/N ratio”, and “compaction”. These factors influence one or more soil functions and can be used to comparatively reflect changes in soil quality due to land use change. Soil properties of total soil nitrogen (Ntot) and C/N ratio, which determine the quantity and quality of organic matter in the soil, emerge as particularly sensitive indicators of soil quality changes in Mediterranean agroecosystems. By assessing Ntot and the C/N ratio, valuable insights into soil quality can be obtained, incorporating valuable evidence that can be derived by a biger set of physical, chemical, and biological indicators. The comparison of soils based on these two indicators reveals the impact of land use changes and management practices on soil quality.
The proposed indicators, which condense complex information about changes in soil quality, can serve as practical tools for assessing the sustainability of soil resources. Their use enables producers and land management entities to swiftly and accurately determine shifts in soil quality following land use changes or the adoption of new cultivation practices, providing an opportunity to reassess and optimize management strategies.

Author Contributions

“Conceptualization, E.E and C.G.; methodology, E.E.; writing—original draft preparation, Ε.Ε.; writing—review and editing, E.E and C.G.; supervision, C.G.; All authors have read and agreed to the published version of the manuscript.”

Funding

Please add: “This research received no external funding”.

Acknowledgments

In this section, you can acknowledge any support given which is not covered by the author contribution or funding sections. This may include administrative and technical support, or donations in kind (e.g., materials used for experiments).

Conflicts of Interest

“The authors declare no conflicts of interest.”

References

  1. Doran, J.W. , Parkin, T.B. Defining and assessing soil quality. In: Defining Soil Quality for Sustainable Environment. Doran, J.W., Ed.; SSSA Special Publication, Madison, WI USA, 1994; pp. 3–23.
  2. Larson, W.E., and F.J. Pierce. Conservation and enhancement of soil quality. In Evaluation for Sustainable Land Management in the Developing World. J. Dumanski, E. Pushparajah, M. Latham, and R. Myers, Eds, Int Board for Soil Res. and Management, Bangkok, Thailand Technical Papers. Proc. Int. Workshop., Chiang Rai, Thailand 1991; Vol. 2: 15-21.
  3. Karlen, D.L. , Mausbach, M.J., Doran J.W., Cline, R.G., Harris R.F., Schumann G.F., Soil quality: a concept, definition and framework for evaluation. Soil Sci. Soc. Am. J. 1997, 61, 4–10. [Google Scholar] [CrossRef]
  4. Sojka, R.E. , and D.R. Upchurch. Reservations regarding the soil quality concept. Soil Sci. Soc. Am. J. 1999, 63, 1039–1054. [Google Scholar] [CrossRef]
  5. Singer, M.J. , and S. Ewing. Soil Quality. In: Handbook of Soil Science. M.E. Sumner (Ed.-in-Chief). CRC Press, Boca Raton, FL 2000.
  6. Sojka, R.E. R. Upchurch, and N.E. Borlaug. Quality soil management or soil quality management: Performance versus semantics. In Advances in Agronomy. D.L. Sparks Ed. Academic Press, New York 2003 Vol. 79. p. 1–68.
  7. Qiao, L.; et al. Soil quality both increases crop production and improves resilience to climate change. Nat. Clim. Change 2022. [Google Scholar] [CrossRef]
  8. Lehmann J, Bossio DA, Kögel-Knabner I, Rillig MC. The concept and future prospects of soil health. Nat Rev Earth Environ. 2020; Oct;1(10):544-553. [CrossRef]
  9. Santiago Bonilla-Bedoya a f, Kevin Valencia a, Miguel Ángel Herrera b, Magdalena López-Ulloa c, David A. Donoso d, José Eduardo Macedo Pezzopane. Mapping 50 years of contribution to the development of soil quality biological indicators. Ecological Indicators 2023, 148, 110091. [CrossRef]
  10. A. H.C. van Bruggen, A.M. Semenov. In search of biological indicators for soil health and disease suppression. Appl. Soil Ecol. 2000, 15, 13–24. [Google Scholar] [CrossRef]
  11. Webb, K.T. Wang, T. Astatkie, and D.R. Langille. Spatial and temporal trends in soil properties at a soil quality benchmark site in Central Nova-Scotia. Can. J. Soil Sci. 2000, 80, 567–575. [Google Scholar] [CrossRef]
  12. Doran, J.W. Soil health and global sustainability: Translating science into practice. Agric. Ecosyst. Environ. 2002, 88, 119–127. [Google Scholar] [CrossRef]
  13. Karlen, D.L. , Ditzler C.A. Andrews S.S. Soil quality: why and how? Geoderma 2003, 114, 145–156. [Google Scholar] [CrossRef]
  14. Karlen, D.L. , Mausbach, M.J., Doran, J.W., Cline, R.G., Harris, R.F., Schumann G.F., Soil quality: a concept, definition and framework for evaluation. Soil Sci. Soc. Am. J. 1997, 61, 4–10. [Google Scholar] [CrossRef]
  15. Andrews, S. , Karlen D.L., Cambardella C.A. The soil management-assessment framework: A quantitative soil quality evaluation method. Soi Sci. Soc. Am. J. 2004, 68, 1945–1962. [Google Scholar] [CrossRef]
  16. Seybold, C.A. J. Mausbach, D.L. Karlen, and H.H. Rogers. Quantification of soil quality. In Soil processes and the carbon cycle R. Lal Ed. CRC Press LLC, Boca Raton, FL 1998 p. 387–404.
  17. James, F.C. , McCulloch C.E. Multivariate analysis in ecology and systematics: panacea or pandora’s box? Annu. Rev. Ecol. Syst. 1990, 21, 129–166. [Google Scholar] [CrossRef]
  18. M. M Sena, R.T.S Frighetto, P.J Valarini, H Tokeshi, R.J Poppi. Discrimination of management effects on soil parameters by using principal component analysis: a multivariate analysis case study. Soil Tillage Res. 2002, 67, 171–181. [Google Scholar] [CrossRef]
  19. Wang Z., A. C. Chang, L. Wu, D. Crowley Assessing the soil quality of long-term reclaimed wastewater-irrigated cropland. Geoderma 2003, 114, 261–278. [Google Scholar] [CrossRef]
  20. Shukla M.K., R. Lal and M. Ebinger. Soil quality indicators for reclaimed minesoils in southeastern Ohio. Soil Sci. 2004, 169, 133–142. [Google Scholar] [CrossRef]
  21. Seyed ata Rezaei Seyed ata RezaeiR. J. GilkesR. J. GilkesSusan S. Andrews A minimum data set for assessing soil quality in rangelands. Geoderma 2006, 136, 229–234. [Google Scholar] [CrossRef]
  22. Yao Zhou a, Hongbin Ma a b, Yingzhong Xie a b, Xiyang Jia a, Tingting Su a, Jianping Li a b, Yan Shen. Assessment of soil quality indexes for different land use types in typical steppe in the loess hilly area. China Ecological Indicators 2020, 118, 106743. [Google Scholar] [CrossRef]
  23. Brejda, J.J. B. Moorman, D.L. Karlen, and T.H. Dao. Identification of regional soil quality factors and indicators: I. Central and southern high plains. Soil Sci. Soc. Am. J. 2000, 64, 2115–2124. [Google Scholar] [CrossRef]
  24. Benrong Peng a, Huasheng Hong a, Xiongzhi Xue a, Di Jin. On the measurement of socioeconomic benefits of integrated coastal management (ICM): Application to Xiamen. China Ocean. Coast. Manag. 2006, 49, 93–109. [Google Scholar] [CrossRef]
  25. Zornoza R., J. Mataix-Solera, C. Guerrero, V. Arcenegui, A.M. Mayoral, J. Morales, J. Mataix-Beneyto Soil properties under natural forest in the Alicante Province of Spain. Geoderma 2007, 142, 334–341. [Google Scholar] [CrossRef]
  26. Zornoza, R. , Zornoza, J. Mataix-Solera, C. Guerrero, V. Arcenegui, J. Mataix-Beneyto, I. Gómez. Validating the effectiveness and sensitivity of two soil quality índices based on natural forest soils under Mediterranean conditions. Soil Biol. Biochem. 2008, 40, 2079–2087. [Google Scholar] [CrossRef]
  27. Armenise E., M.A. Redmile-Gordon, A.M. Stellacci, A. Ciccarese, P. Rubino. Developing a soil quality index to compare soil fitness for agricultural use under different managements in the Mediterranean environment. Soil Tillage Res. 98. [CrossRef]
  28. Salomé Clémence, Patrice Coll, Egidio Lardo, Aurélie Metay, Cécile Villenave, Claire Marsden, Eric Blanchart, Philippe Hinsinger, Edith Le Cadre. The soil quality concept as a framework to assess management practices in vulnerable agroecosystems: A case study in mediterranean vineyards. Ecological Indicators. [CrossRef]
  29. Herencia.F. Soil quality indicators in response to long-term cover crop management in a Mediterranean organic olive system. Biological Agriculture & Horticulture 2018; 34 (4), pp. 211–231. [CrossRef]
  30. Babur E., T. Dindaroglu. Seasonal changes of soil organic carbon and microbial biomass carbon in different forest ecosystems. In Environmental Factors Affecting Human Health; Ivan Uher Ed., Intech Open, 2020. [CrossRef]
  31. Evangelou E., Tsadilas C., and Giourga C. Soil Microbial Carbon and Nitrogen as Affected by Land Use and Seasonal Patterns in a Mediterranean agro-ecosystem. Commun. Soil Sci. 2018; Plant Anal, 52, 222-234. [CrossRef]
  32. Yaalon, D.H. Soils in the Mediterranean region: what makes them different? Catena 1997, 28, 157–656. [Google Scholar] [CrossRef]
  33. Gardner, W. H. Water content. In Methods of Soil Analysis: Part 1—Physical and Mineralogical Methods, 2nd Edn, A. Klute Ed. Madison, WI: SSSA, 1986 493–544. https://doi.org/10.2136/sssabookser5.1. 2ed.c21.
  34. Bouyoukos, G.H. A recalibration of the hydrometer method for making mechanical analysis of soils. Agronomy. J. 1951, 43, 434–438. [Google Scholar] [CrossRef]
  35. Nelson, D.W. , Sommers, L.E., Total carbon, organic carbon, and organic matter. In: Methods of soil analysis, Part 2, A.L Page, R.H. Miller and D.R. Keeney Eds., 2nd ed. Agron. Monogr. 9. ASA and SSSA, Madison, WI. 1982. [Google Scholar]
  36. Bremner, J.M., Mulvaney, C.S. Nitrogen-Total. In Methods of soil analysis. Part 2. Chemical and microbiological properties in A.L. Page, R H., Miller, and D.R., Keeny, editors., 2nd edition. Number 9 in the series Agronomy. American Society of Agronomy and Soil Science Society of America, Inc. Madison, Wisconsin 1982; Pages 595-624.
  37. Keeney, D.R. and Nelson, D.W. Nitrogen-inorganic forms. In Methods of soil analysis Part 2. Chemical and Microbiological Properties. Miller, R.H., Keeney D.R., Eds. Agronomy Monographs Second Edition. Madison, Wisconsin USA 1982; No9: Page 643-698.
  38. Olsen, S.R and L.E Sommers. Phosphorus. In: Methods of soil analysis, Part 2Chemical and Microbiological Properties Miller et al.l Eds 1982; Agronomy Series Mad.WI.
  39. Vance ED, Brookes PC, Jenkinson DS. An extraction method for measuring soil microbial biomass. Soil Biol. Biochem 1987, 19, 703–707. [Google Scholar] [CrossRef]
  40. Brooks, P. , Landman A., Jenkinson D. Chloroform fumigation and the release of soil nitrogen: a rapid direct extraction method to measure microbial biomass nitrogen in soil. Soil Biol. Biochem. 1985, 17, 837–842. [Google Scholar] [CrossRef]
  41. Weil, R.R. Islam K.R, Stine M.A, Gruver J.B and Samson-Liebig S.E. Estimating active carbon for soil quality assessment: a simplified method for laboratory and field use. Am. J. Alt. Ag. 2003, 18, 3–17. [Google Scholar]
  42. James, F.C. , McCulloch C.E. Multivariate analysis in ecology and systematics: panacea or pandora’s box? Annu. Rev. Ecol. Syst. 1990, 21, 129–166. [Google Scholar] [CrossRef]
  43. Johnson R.A., Wichern D.W. Applied multivariate statistical analysis. 1992; Englewood Cliffs, NJ: Prentice-Hall.
  44. Gregorich, E.G. R. Carter, D.A. Angers. Towards a minimum data set to assess soil organic matter quality in agricultural soils. Canadian J. Soil Sci. 1994, 74, 367–385. [Google Scholar] [CrossRef]
  45. Blair N., R. D. Faulkner, A.R. Till, G.J. Crocker Long-term management impacts on soil C, N and physical fertility. Part III. Tamworth crop rotation experiment. Soil Till. Res. 2006, 91, 48–56. [Google Scholar] [CrossRef]
  46. Junliang Zou, Juying Wu, Bruce Osborne, Yiqi Luo. The response of ecosystem carbon and nitrogen pools to experimental warming in grasslands: a meta-analysis. Journal of Plant Ecology 2022, Volume 15, Issue 4, August, Pages 733–742. [CrossRef]
  47. Haynes, RJ. Labile organic matter fractions as central components of the quality of agricultural soils: An overview. Advances in Agronomy 2005; Vol 85 85 221-268. [CrossRef]
  48. Ninghui Xie, Tingting An., Xiaolong Liang, Sean Schaeffer, Liangjie Sun, Shifeng Fu, Jingkuan Wang. Interaction between maize residues and initial soil carbon status on soil labile organic carbon pools, Applied Soil Ecology 2024; Volume 202. [CrossRef]
  49. Lal R. Digging deeper: a holistic perspective of factors affecting soil organic carbon sequestration in agroecosystems. Glob. Chang. Biol., 2018; 24, pp. 3285–3301. [CrossRef]
  50. Kabindra Adhikari, Alfred E. Hartemink Linking soils to ecosystem services — A global review. Geoderma 2016, 262, 101–111. [Google Scholar] [CrossRef]
  51. Klaus Lorenz, Rattan Lal, Rattan Lal, Knut Ehlers. Soil organic carbon stock as an indicator for monitoring land and soil degradation in relation to United Nations’ Sustainable Development Goals. Land Degradation and Development 2019; 30 (Suppl. 1). [CrossRef]
  52. Roberta Farina, Chiara Piccini, Claudia Di Bene, Flavio Fornasier, Rosa Francaviglia, Bruno Pennelli, Silvia Vanino, Mario Russo, Marianna Cerasuolo, Antonio Troccoli. No tillage and leguminous cover crop improve soil quality in a typical rainfed Mediterranean system. Can. J. Soil Sci. 2024, 104, 257–272. [Google Scholar] [CrossRef]
  53. Germán, A. Durán, Daniel Sacristán, Edelweis Farrús, Jaume Vadell. Towards defining soil quality of Mediterranean calcareous agricultural soils: Reference values and potential core indicator set. Int. Soil Water Conserv. Res. 2024, 12, 145–155. [Google Scholar]
  54. Jesús Aguilera-Huertas, Luis Parras-Alcántara, Manuel González-Rosado, Beatriz Lozano-García Intercropping in rainfed Mediterranean olive groves contributes to improving soil quality and soil organic carbon storage. Agric. Ecosyst. Environ. 2023, 361, 108826. [CrossRef]
  55. Raquel Luján Soto a b, Joris de Vente a, Mamen Cuéllar Padilla b Learning from farmers’ experiences with participatory monitoring and evaluation of regenerative agriculture based on visual soil assessment. J. Rural. Stud. 2021, 88, 192–204. [CrossRef]
  56. Jenkinson DS and Ladd JN. Microbial biomass. In Soil: measurement and turnover. In Soil Biochemistry Paul E.A. and Ladd J.N. Eds, Marcel Dekker, Inc, New York and Basel 1981 vol. 5: 415-471.
  57. Brookes, P.C. Measurement, properties and role of the soil microbial biomass in organic matter dynamics and the maintenamce of soil fertility. In: Integrated plant nutrition systems, Report of an Expert Consultation, R. Dudal and R.N. Roy. Eds., Rome 1995; 993pp 113-128.
  58. Moore, J.M. Klose, and M.A. Tabatabai. Soil microbial biomass carbon and nitrogen as affected by cropping systems. Biol. Fertil. 2000, 31, 200–210. [Google Scholar] [CrossRef]
  59. Chen Shengxian, Jian Huang, Ruijia Guo, Hongliang Ma, Junjie Guo, Ning Ling, Qicheng Xu, Min Wang, Qirong Shen, Shiwei Guo. Soil net carbon balance depends on soil C: N: P stoichiometry. Soil Tillage Res. 2025, 245, 106298. [Google Scholar] [CrossRef]
  60. A. C.R. de Lima, W. Hoogmoed, L. Brussaard. Soil quality assessment in rice production systems: Establishing a minimum data set. J. Environ. Qual. 2008, 37, 623–630. [Google Scholar] [CrossRef]
  61. Brejda, J. J. and T. B. Moorman. Identification and Interpretation of Regional Soil Quality Factors for the Central High Plains of the Midwestern USA. Sustaining the Global Farm, Selected Papers from the 10th International Soil Conservation Organization Meeting, 2001; p. 535-540.
  62. Bram Govaerts a b, Monica Mezzalama b, Ken D. Sayre b 1, Jose Crossa b, Julie M. Nicol b, Jozef Deckers. Long-term consequences of tillage, residue management, and crop rotation on maize/wheat root rot and nematode populations in subtropical highlands. Appl. Soil Ecol. 2006, 32, 305–315. [Google Scholar] [CrossRef]
  63. Sparling, G.P. , Schipper, L.A., Hill, R., Bettjeman, W. Soil quality monitoring in New Zealand: practical lessons from a six-year trial. Agric. Ecosyst. Environ. 2004, 104, 523–534. [Google Scholar] [CrossRef]
  64. Paltineanu Cristian, Sorina Dumitru, Olga Vizitiu, Victoria Mocanu, Anca-Rovena Lăcătusu, Stelian Ion, Horia Domnariu. Soil organic carbon and total nitrogen stocks related to land use and basic environmental properties − assessment of soil carbon sequestration potential in different ecosystems. CATENA 2024, 246, 108435. [Google Scholar] [CrossRef]
  65. Chatterjee N., P.K.R. Nair, S. Chakraborty, V.D. Nair. Changes in soil carbon stocks across the Forest-Agroforest-Agriculture/Pasture continuum in various agroecological regions: A meta-analysis. Agric. Ecosyst. Environ 2018, 266, 55–67. [CrossRef]
  66. Farzadfar S., J. D. Knight, K.A. Congreves Soil organic nitrogen: an overlooked but potentially significant contribution to crop nutrition. Plant and Soil 2021, 462, 7–23. [Google Scholar] [CrossRef] [PubMed]
  67. Xiaohong Zhao a, Miaomiao Tong a b, Yuejun He c, Xiuru Han c, Lingqing Wang. A comprehensive, locally adapted soil quality indexing under different land uses in a typical watershed of the eastern Qinghai-Tibet Plateau. Ecological Indicators 2021, 125, 107445. [Google Scholar] [CrossRef]
  68. Ingrid, K. Thomsen Bjørn Molt Petersen Bjørn Molt Petersen Sander Bruun Sander Bruun Bent T. Christensen. Estimating soil C loss potentials from the C to N ratio. Soil Biology and Biochemistry 2008; 40(3):849-852. [CrossRef]
  69. Chao Li, Chunwang Xiao, Mingxu Li b, Li Xu b, Nianpeng He. The quality and quantity of SOM determines the mineralization of recently added labile C and priming of native SOM in grazed grasslands. Geoderma 2023, 432, 116385. [Google Scholar] [CrossRef]
  70. Wu, X., Nguyen-Sy, T., Sun, Z. et al. Soil Organic Matter Dynamics as Affected by Land Use Change from Rice Paddy to Wetland. Wetlands 2020; 40, 2199–2207. [CrossRef]
  71. Helen C. S. Amorim Marla Alessandra Araujo Rattan Lal Yuri L. Zinn Yuri L. Zinn What C:N ratios in soil particle-size fractions really say: N is preferentially sorbed by clays over organic C. CATENA 2023; 230, 107230. [CrossRef]
Figure 1. The Study area in the watershed of Kaloni Gulf (Lesvos Island,Greece).
Figure 1. The Study area in the watershed of Kaloni Gulf (Lesvos Island,Greece).
Preprints 121838 g001
Figure 2. Mean monthly air temperature (line) and rainfall (bars), starting from March (M) 1st year to February (F) 2nd year.
Figure 2. Mean monthly air temperature (line) and rainfall (bars), starting from March (M) 1st year to February (F) 2nd year.
Preprints 121838 g002
Figure 3. Seasonal variation of soil moisture Cmic, Nmic and the Cmic/Nim ratio. The values represent the means of two samplings conducted during the same season across two consecutive years of the study.
Figure 3. Seasonal variation of soil moisture Cmic, Nmic and the Cmic/Nim ratio. The values represent the means of two samplings conducted during the same season across two consecutive years of the study.
Preprints 121838 g003
Figure 4. Scatter plot of land uses regarding the discriminant scores of the first two functions.
Figure 4. Scatter plot of land uses regarding the discriminant scores of the first two functions.
Preprints 121838 g004
Table 1. Soil quality indicators for each land use. Average values of the 8 soil samplings.
Table 1. Soil quality indicators for each land use. Average values of the 8 soil samplings.
Soil quality indicator Forest Olive Trees Wheats Double Cultivation Pasture
Physical SQIs Bulk density, g/cm3 1,25 c 1,39 b 1,21 c 1,49 a 1,40 b
Porosity, % 52,65 a 47,67 b 54,38 a 43,64 c 47,00 b
moisture, % 19,28 a 11,07 c 13,44 bc 14,67 b 12,89 bc
WHC, % 79,09 a 49,13 c 60,29 b 56,99 b 51,93 c
Clay, % 30,85 a 22,96 b 26,86 a 24,42 a 29,87 a
Silt, % 23,88 ab 24,48 ab 24,92 27,47 a 21,43 b
Sand, % 45,27 b 52,56 a 48,22 a 48,11 a 48,71 a
Chemical SQIs Corg, g kg-1 17,49 a 9,68 d 10,55 c 8,77 e 13,44 b
Ntot, g kg-1 1,14 a 0,76 c 0,97 b 0,78 c 0,95 b
CN 15,64 a 13,08 bc 11,81 c 11,60 c 14,31 ab
NO3_N, mg kg-1 3,75 b 6,53 b 19,52 a 20,75 a 20,59 a
NH4_N, mg kg-1 8,75 a 2,66 c 5,68 b 5,32 b 9,49 a
Nmin, mg kg-1 12,50 c 9,19 c 25,21 b 26,07 ab 30,07 a
P, mg kg-1 2,93 d 20,76 b 24,17 a 24,74 a 6,45 c
EC, dS m-1 0,40 a 0,19 b 0,39 a 0,45 a 0,38 a
Ph 7,00 a 6,17 b 6,13 b 6,27 b 6,03 b
Biological SQIs Cmic, mg kg-1 332,26 a 164,31 c 271,57 b 159,26 c 360,13 a
Cmic/Corg % 1,90 b 1,70 b 2,64 a 1,85 b 2,70 a
Nmic, mg kg−1 49,95 b 24,48 c 53,28 b 23,31 c 69,62 a
Nmic/Ntot, % 4,44 c 3,34 cd 5,68 b 3,13 d 7,29 a
Cmic/Nmic 8,01 a 7,02 ab 6,35 ab 7,16 ab 5,78 b
Cact, mg kg−1 411,27 a 291,64 bc 331,57 b 265,55 c 374,23 a
Cact/Corg % 2,36 b 3,03 a 3,15 a 3,07 a 2,81 a
Values for each indicator with the same later does not differ significantly for p<0.05 according to LSD post hoc test.
Table 2. Correlation coefficients for soil quality indicators (n=120).
Table 2. Correlation coefficients for soil quality indicators (n=120).
BD Vp moist WHC clay silt sand Corg Ntot C/N NO3-N NH4-N Nmin P EC pH Cmic Cmc/
Corg
Nmic Nmic/Ntot Cmic/Nmic Cact
Vp -1,00**
moist -0,13* 0,13*
WHC -0,43** 0,43** 0,39**
clay -0,35** 0,35** 0,28** 0,48**
silt ns ns ns ns -0,52**
sand 0,38** -0,38** -0,32** -0,62** -0,65** -0,31**
Corg -0,41** 0,41** 0,33** 0,69** 0,77** -0,37** -0,53**
Ntot -0,32** 0,32** 0,40** 0,60** 0,54** -0,29** -0,34** 0,65**
C/N -0,15* 0,15* ns 0,13* 0,29** ns -0,23** 0,38** -0,30**
NO3-N ns ns ns -0,13* ns ns ns -0,25** ns -0,29**
NH4-N ns ns 0,27** 0,27** 0,61** -0,30** -0,41** 0,47** 0,33** 0,16* ns
Nmin ns ns ns ns 0,15* ns -0,20** ns 0,19** -0,23** 0,95** 0,33**
P 0,14* -0,14* -0,19** -0,36** -0,77** 0,45** 0,45** -0,78** -0,36** -0,42** 0,41** -0,47** 0,24**
EC -0,15* 0,15* 0,27** 0,26** 0,20** ns -0,29** ns 0,24** ns 0,39** 0,24** 0,45** ns
pH -0,27** 0,27** 0,25** 0,52** 0,29** ns -0,38** 0,44** 0,33** ns -0,28** ns -0,23** -0,34** 0,23**
Cmic -0,27** 0,27** 0,38** 0,36** 0,68** -0,47** -0,33** 0,60** 0,59** ns 0,16* 0,57** 0,33** -0,52** 0,19** ns
Cmic/Corg ns ns 0,20** ns 0,25** -0,28** ns ns 0,24** -0,16* 0,36** 0,31** 0,43** ns ns -0,19** 0,75**
Nmic -0,22** 0,22** 0,43** ns 0,55** -0,42** -0,23** 0,39** 0,45** ns 0,28** 0,51** 0,43** -0,35** 0,16* ns 0,72** 0,56**
Nmic/Ntot ns ns 0,27** -0,15* 0,39** -0,34** -0,13* 0,16* ns 0,35** 0,22** 0,42** 0,34** -0,25** ns -0,19** 0,53** 0,52** 0,85**
Cmic/Nmic ns ns -0,19** 0,24** ns ns ns ns ns ns -0,15* -0,14* -0,18** ns ns 0,13* ns ns -0,52** -0,53**
Cact -0,28** 0,28** 0,21** 0,60** 0,52** -0,29** -0,32** 0,64** 0,62** ns ns 0,35** ns -0,47** ns 0,18** 0,56** 0,20** 0,30** ns 0,19**
Cact/Corg 0,18** -0,18** -0,13* ns -0,28** ns 0,22** -0,40** ns -0,37** 0,25** -0,13* 0,20** 0,33** ns -0,27** ns 0,28** -0,16* -0,19** 0,20** 0,41**
ns: not significant, * p<005, **p<0.001.
Table 3. Standardized coefficients and properties of the discriminant analysis for physical, chemical, and biological SQI.
Table 3. Standardized coefficients and properties of the discriminant analysis for physical, chemical, and biological SQI.
Soil quality indicator Function 1 Function 2 Function 3 Function 4
BD 0,511 0,307 -0,353 0,734
moist -0,146 0,244 -0,486 0,186
WHC 0,356 0,754 -0,073 0,020
clay 0,690 0,595 0,495 0,306
silt -0,318 0,857 0,229 0,417
Corg 0,511 0,406 -0,638 -0,266
Ntot 0,281 0,371 0,410 -0,358
C/N -0,284 0,483 -0,130 0,123
NO3-N 0,397 -0,952 -0,161 0,687
NH4-N 0,402 -0,180 0,081 0,215
P -1,096 0,767 0,510 -0,118
EC 0,438 0,094 0,074 0,234
pH -0,161 0,105 -0,224 -0,063
Cmic -1,053 -0,515 -1,229 0,546
Cmic/Corg 0,849 0,523 1,306 -0,572
Nmic -0,217 0,491 0,067 0,182
Nmic/Ntot 0,599 -0,584 0,575 -0,656
Cmic/Nmic 0,235 -0,030 0,182 -0,093
Cact 0,474 -1,087 1,581 -0,456
Cact/Corg -0,786 0,682 -1,442 0,245
Cmic/Nmic 8,01 a 7,02 ab -0,353 0,734
Cact 411,27 a 291,64 bc -0,486 0,186
Eigenvalues 41,596 5,727 2,362 1,744
Commulative
variation %
80,9 92,0 96,6 100,0
Sig. < 0,001 < 0,001 < 0,001 < 0,001
Table 4. Pairwise comparison of land uses for existence significant difference of their centroids.
Table 4. Pairwise comparison of land uses for existence significant difference of their centroids.
Land Use Forest Olive Trees Wheats Double Cultivation
Forest F 357,378
Sig. ,000
Olive trees F 207,950 57,095
Sig. ,000 ,000
Wheats F 281,162 36,172 34,197
Sig. ,000 ,000 ,000
Double cultivation F 70,362 260,748 165,884 230,242
Sig. ,000 ,000 ,000 ,000
Table 5. The first 10 factors of principal component analysis.
Table 5. The first 10 factors of principal component analysis.
Component Initial Eigenvalues
Total % of Variance Cumulative %
1 5,57 29,34 29,34
2 3,46 18,19 47,53
3 2,38 12,51 60,04
4 1,83 9,64 69,68
5 1,36 7,17 76,85
6 1,15 6,04 82,89
7 0,87 4,58 87,47
8 0,73 3,86 91,33
9 0,55 2,90 94,24
10 0,42 2,18 96,42
Table 6. “Weights” and percentage of explained variance of the SQI of the 6 factors.
Table 6. “Weights” and percentage of explained variance of the SQI of the 6 factors.
Soil Properties Factors Communalities
1 2 3 4 5 6
Ntot 0,82 0,16 0,10 0,19 -0,26 -0,09 0,82
Corg 0,82 0,08 -0,10 0,22 0,44 -0,05 0,93
WHC 0,80 -0,18 0,08 0,30 0,08 0,13 0,79
Cact 0,73 0,30 0,00 0,15 -0,07 0,36 0,78
P -0,61 -0,24 0,34 0,05 -0,52 0,02 0,81
Soil moist 0,54 0,11 0,05 0,01 -0,16 -0,50 0,58
NH4-N 0,49 0,41 0,22 -0,22 0,35 -0,14 0,65
Cmic/Corg 0,07 0,85 0,16 -0,02 -0,21 0,13 0,82
Nmic/Ntot -0,07 0,78 0,10 0,04 0,32 -0,45 0,93
Nmic 0,29 0,75 0,15 0,12 0,06 -0,52 0,95
Cmic 0,56 0,74 0,11 0,12 0,13 0,04 0,90
Nmin -0,01 0,39 0,87 -0,05 -0,12 -0,03 0,93
NO3-N -0,18 0,28 0,85 0,01 -0,24 0,02 0,89
EC 0,29 -0,15 0,76 0,07 0,05 -0,14 0,70
VP 0,21 0,05 0,01 0,96 0,08 -0,04 0,98
BD -0,21 -0,05 -0,01 -0,96 -0,08 0,04 0,98
C/N -0,05 0,08 -0,15 0,12 0,88 0,12 0,84
Cact/Corg -0,06 0,22 0,07 -0,13 -0,61 0,52 0,73
Table 7. Effect of land use on the factors score derived from principal component analysis.
Table 7. Effect of land use on the factors score derived from principal component analysis.
Factor score ANOVA
Factors Forest Olive trees Wheats Double Cultiv. Pasture F Sig.
Organic Matter 1,53 a -0,80 d -0,38 c -0,46 c 0,10 b 121,24 0,00
Microbial Biomass -0,36 c -0,41 cd 0,43 b -0,79 d 1,12 a 52,76 0,00
Nutrients -0,47 c -0,96 d 0,31 b 0,78 a 0,33 b 37,99 0,00
Compaction 0,23 b 0,04 b 0,99 a -0,74 c -0,51 c 34,41 0,00
C/N 0,63 a -0,33 b -0,59 b -0,31 b 0,60 a 21,04 0,00
Active Carbon -0,11a 0,13 a -0,01 a 0,02 a -0,03 a 0,35 0,84
Values for each factor with the same later does not differ significantly for p<0.05 according to LSD post hoc test.
Table 8. Eigenvalues and percentages of the explained variance of the four functions when discriminating land uses by soil quality factors.
Table 8. Eigenvalues and percentages of the explained variance of the four functions when discriminating land uses by soil quality factors.
Functions Eigenvalue % of Variance Cumulative %
1 7,903 75,9 75,9
2 1,237 11,9 87,8
3 ,924 8,9 96,7
4 ,347 3,3 100,0
Table 9. Unstandardized coefficients of discrete functions of soil quality factors.
Table 9. Unstandardized coefficients of discrete functions of soil quality factors.

Factos
Functions
1 2 3 4
1 Organic matter 2,504 -0,150 -0,117 0,385
2 Microbial biomass 0,416 1,069 0,756 -0,346
3 Nutrients -0,460 0,903 -0,406 0,799
4 Compaction 0,104 -0,383 1,045 0,527
5 C/N 1,431 0,264 -0,221 -0,366
6 Active carbon -0,203 -0,046 0,003 -0,082
(Constant) ,000 ,000 ,000 ,000
Table 10. Eigenvalues and percentages of the explained variance of the four functions when discriminating land uses by organic matter factor.
Table 10. Eigenvalues and percentages of the explained variance of the four functions when discriminating land uses by organic matter factor.
Function Eigenvalue % of Variance Cumulative %
1 13,646 84,2 84,2
2 2,078 12,8 97,0
3 0,313 1,9 99,0
4 0,169 1,0 100,0
Table 11. Unstandardized coefficients of discrete functions of the organic matter factor.
Table 11. Unstandardized coefficients of discrete functions of the organic matter factor.
SQI Functions
1 2 3 4
Corg 0,324 -0,098 -0,237 0,271
Ntot 2,000 -0,099 3,187 3,318
WHC 0,019 0,169 0,008 -0,039
moist 0,004 0,035 -0,036 -0,064
NH4-N 0,136 -0,021 0,312 -0,116
P -0,234 0,043 0,031 0,089
Cact -0,003 -0,010 0,000 0,004
(Constant) -3,201 -6,596 -2,564 -5,163
Disclaimer/Publisher’s Note: The statements, opinions and data contained in all publications are solely those of the individual author(s) and contributor(s) and not of MDPI and/or the editor(s). MDPI and/or the editor(s) disclaim responsibility for any injury to people or property resulting from any ideas, methods, instructions or products referred to in the content.
Copyright: This open access article is published under a Creative Commons CC BY 4.0 license, which permit the free download, distribution, and reuse, provided that the author and preprint are cited in any reuse.
Prerpints.org logo

Preprints.org is a free preprint server supported by MDPI in Basel, Switzerland.

Subscribe

Disclaimer

Terms of Use

Privacy Policy

Privacy Settings

© 2026 MDPI (Basel, Switzerland) unless otherwise stated