Preprint
Article

This version is not peer-reviewed.

Innovative Seatbelt-Integrated Metasurface Radar for Enhanced In-Car Healthcare Monitoring

A peer-reviewed article of this preprint also exists.

Submitted:

18 October 2024

Posted:

18 October 2024

You are already at the latest version

Abstract
This study introduces a novel seatbelt-integrated, non-invasive beam-focusing metamaterial sensing system characterized by its thinness and flexibility. The system comprises a flexible transmitarray lens and an FMCW radar sensor, enabling accurate detection and analysis of seatbelt usage and positioning through human tissue. The metasurface design remains effective even when subjected to different bending angles. Our system closely tracks heart rate and respiration, validated against standard reference methods, highlighting its potential for enhancing in-car healthcare monitoring. Experimental results demonstrate the system’s reliability in monitoring physiological signals within dynamic vehicular environments.
Keywords: 
;  ;  ;  

1. Introduction

As the demand for smarter vehicles increases, manufacturers are incorporating a growing number of sensors to enhance functionality and safety [1]. However, the extensive wiring required for these sensors complicates installation and maintenance, particularly for driver and passenger monitoring systems [2]. Current solutions predominantly rely on wired connections [3] or battery-powered wearable sensors [4,5], both of which present significant drawbacks in terms of complexity, reliability, and maintenance.
Far-field radars have been widely used for monitoring physiological parameters, such as heart and lung movements, by detecting changes in electromagnetic waves reflected from a person’s body [6,7]. However, implementing this method in a vehicular environment presents several challenges [8,9]. Engine vibrations and road noise can lead to inaccurate readings, while the movement of the driver and passengers within the vehicle further complicates the radar’s ability to accurately capture vital sign data [10,11].
To tackle these challenges, recent research has explored various approaches. Zheng et al. [12] developed an ultra-wide band (UWB) radar for detecting drivers’ heart rates (HR) by analyzing Doppler frequency shifts in UWB signals caused by heartbeat, breathing, and ambient noise. Shyu et al. [13] proposed a method that simultaneously detects breathing and heartbeat information from a slightly swinging human (driver) using novel multi-feature alignment (MFA) two-layer Ensemble Empirical Mode Decomposition (EEMD). While these techniques offer precise detection, they face limitations such as sensitivity to ambient noise, constraints in sampling rates, and accuracy issues with errors exceeding 50 ms.
Metasurfaces, known for their ability to manipulate electromagnetic waves with high precision, present a promising alternative [14,15]. These engineered surfaces offer unique capabilities in controlling wave propagation, including beam steering, focusing, and shaping of electromagnetic waves. Such properties make metasurfaces particularly suitable for enhancing radar performance in complex environments. However, the application of beam-focusing metasurfaces in vehicular sensor systems requires further investigation to fully assess their effectiveness in in-vehicle applications.
Previous studies have explored the use of metasurfaces for vehicular sensing applications. For instance, Kang et al. [16] developed a seatbelt-integrated multibeam metasurface lens antenna and multifunctional metasurface tags designed to estimate the respiration rates of multiple targets within a vehicle. However, this research did not address heart rate detection or seat occupancy determination. Moreover, it lacked long-term performance results under various driving conditions. Additional research on in-vehicle monitoring radar [17,18] [19,20,21,22,23,24] and seatbelt-integrated sensors [25] has been conducted, but limitations persist. These studies primarily focus on a single vital parameter and face challenges in adjusting beam direction and intensity [26], which hinders comprehensive vital signs monitoring in the dynamic and noisy environment of a moving vehicle. The lack of precision impedes reliable detection of target seat occupancy and physiological parameters, such as cardiac and pulmonary movements, leading to inconsistent monitoring outcomes [27,28,29]. The complexity and variability of conditions inside the vehicle, including passenger movement and fluctuating levels of ambient noise, exacerbate these limitations. The referenced studies focus on the development and application of radar-based sensors for various health and occupancy monitoring applications.[30,31,32,33,34,35], While these studies provide valuable insights and advancements in signal processing and algorithm development, they often fall short in addressing the fundamental hardware issues that can impact the overall performance and reliability of the sensors. These challenges include signal stability, noise reduction, interference, power management, environmental robustness, and component durability. Addressing these hardware issues is crucial for ensuring consistent and reliable performance of radar-based sensors in real-world applications.
To overcome these limitations, our research introduces a novel seatbelt-integrated, contactless beam-focusing metamaterial sensing system. This system offers several key advantages:
  • Precise beam positioning: Integrating the metasurface into the seatbelt ensures accurate and stable positioning of the radar beam on the driver’s or passenger’s chest. This beam focusing technology concentrates radar energy on the target area, minimizing background noise and environmental interference. As a result, the system generates a cleaner signal, enabling more reliable detection of subtle variations in physiological parameters, even in the dynamic conditions of a moving vehicle, where maintaining sensor accuracy is challenging.
  • Enhanced sensitivity and selectivity: Our system leverages the unique properties of metamaterials to enhance the sensitivity and selectivity of the radar. These engineered surfaces enable tight beam focusing and couple confined electromagnetic waves with subtle chest movements, allowing precise detection of cardiac and pulmonary activity compared to the prior research [16,36,37]
  • Multi-parameter detection: Unlike previous systems limited to detecting a single physiological parameter, our radar sensor system, integrated with metamaterials, can accurately monitor multiple parameters simultaneously. This is achieved through advanced beam-focusing technology, which improves signal precision and reduces interference. As a result, the system can reliably detect various vital signs, even in challenging environments with noise or passenger movement, such as in vehicles. By focusing the radar beam, the system can clearly differentiate between different physiological signals—for example, separating the smaller movements of heartbeats from the larger movements of breathing. This ability to distinguish between signals enables the system to monitor multiple parameters at once.
  • Seat occupancy detection: The integration of metamaterials into the seatbelt allows the system to precisely detect whether a seat is occupied. This ensures that safety features, such as seatbelt reminders and airbag deployment systems, are activated correctly, enhancing overall passenger safety.
  • Advanced signal processing: To effectively process the captured data and accurately extract respiration and heartbeat signals from the complex sensor output, we have employed Variational Mode Decomposition (VMD) [36,37]. This technique enhances the system’s ability to isolate and analyze individual vital sign components.
Variational Mode Decomposition (VMD) combined with metamaterial design significantly enhances the detection and monitoring of vital signs in challenging vehicular settings. VMD decomposes a signal into distinct modes, each with its own central frequency, allowing it to isolate vital sign components such as respiration and heartbeat from noise and irrelevant signals. This decomposition is particularly effective in vehicular environments, where non-stationary and non-linear signals are common. VMD’s ability to separate noise, which typically spans a broad frequency range, ensures that vital signs can be accurately extracted without interference. Furthermore, VMD distinguishes between stable vital sign frequencies and motion-induced variations, reducing the impact of motion artifacts.
Metamaterials enhance this process by improving the initial signal capture. Engineered to have unique properties, metamaterials in sensors can focus and amplify specific signals, increasing the signal-to-noise ratio and making it easier for VMD to process the data. These materials act as spatial filters, targeting the region of interest, such as the chest area of a passenger, and ignoring irrelevant areas. This spatial selectivity reduces extraneous data and associated noise. Additionally, our metasurface can be easily adapted to different vehicle interiors.
The combination of VMD and metamaterial design results in superior noise filtering and effective motion artifact mitigation. The metamaterial-enhanced sensors capture cleaner signals, which VMD then refines by isolating the respiration and heartbeat components from residual noise. This dual-layer approach ensures high accuracy and reliability in detecting vital signs, even in dynamic vehicular environments where traditional methods often fail. By leveraging the strengths of both technologies, the system provides robust monitoring capabilities, overcoming challenges that have previously limited the effectiveness of vital sign detection in vehicles.
Our approach integrates metamaterial sensing within seatbelts with a 60 GHz FMCW radar system and advanced signal processing, representing a major leap forward in non-contact monitoring of drivers and passengers. With its wireless, battery-free, and unobtrusive on-body unitthis solution overcomes key challenges found in current radar systems, such as limited beam focusing and single-parameter detection, while also enabling seat occupancy detection. By enhancing the accuracy and scope of health monitoring in smart vehicles, our research makes a substantial contribution to the evolution of vehicle sensor systems.

2. Transmitarray Lens Design

In this study, we use a transmitarray lens to precisely control the electromagnetic wavefront’s phase, amplitude, and polarization, essential for accurately focusing the radar beam on a specific area on the chest. The lens’ unit cell, shown in Figure 1 (a), is a 1.6 mm square, with approximately 0 . 6 λ g , where λ g is the guided wavelength in the polyimide film substrate ( ε r = 3 . 5 ). At the operating frequency 60 GHz, λ g is λ g = λ o / ε r = 2 . 67 mm. This subwavelength unit cell size is crucial for minimizing grating lobes while maintaining a sufficiently wide phase range for effective wavefront manipulation.
The transmitarray lens was designed and optimized using ANSYS HFSS software, employing periodic boundary conditions and Floquet port excitations. The unit cell consists of two layers: an even layer with a square copper pattern and a circular hole, and an odd layer with a square copper pattern, as illustrated in Figure 1 (b). To account for the impact of human tissue on the lens performance, simulations incorporated a multi-layer human tissue model comprising 10 mm of skin ( ε r = 35 ) , 20 mm of fat ( ε r = 9 ) , 20 mm of muscle ( ε r = 52 ) , and 15 mm of bone ( ε r = 14 ) [38]. This comprehensive model ensures accurate prediction of the lens behavior in close proximity to the human body.
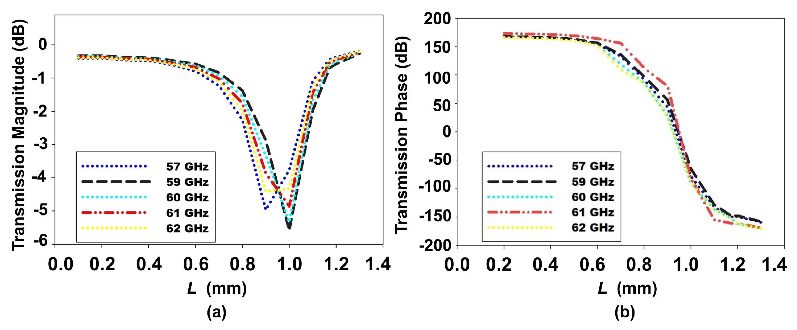
Figure 2 (a) and (b) present the transmission magnitude and phase characteristics across the 57-62 GHz band as a function of the unit cell dimension L. Our primary design objective was to achieve a wide phase range approaching 350 while maintaining a transmission magnitude above -3 dB. This wide phase range is crucial for effective beam focusing and steering, allowing for precise wavefront manipulation in our transmitarray design. We systematically adjusted L from 0.2 to 1.2 mm to explore the range of achievable transmission characteristics. Notably, the wide phase range and high transmission magnitude were consistently maintained across the entire frequency band, demonstrating the broadband capability of our design. This consistency is critical for stable performance across the operational bandwidth of the radar system and highlights the robustness of our unit cell design to frequency variations.
Based on these results, we investigate the concept of non-uniform transmitarray lens configurations. Our goal is to achieve a uniform phase distribution of 0 across a finite-size transmitarray lens, which is essential for optimal directivity and beam focus. A key challenge is to implement phase corrections by strategically modifying the unit cells. Figure 3 (a) illustrates a carefully designed beam-focusing transmitarray lens, optimized using MATLAB for precise electromagnetic interactions. This advanced design, fabricated on a flexible polyimide substrate as depicted in Figure 3 (b), consists of 37 × 37 elements over an area of 59 . 2 mm × 59 . 2 mm , specifically engineered for 60 GHz operation. This transmitarray lens, operating in the millimeter-wave spectrum, holds significant promise for medical and radar applications, where precise wave focusing and manipulation are crucial.
The tilt angle of the metal-dielectric composite metasurface (MDCM) [39] is related to the phase delay gradient p i introduced in the phase of the electric field as it propagates through the metasurface, given by:
p i = sin δ i × k 0
where δ i is the angle of tilt of the surface, k 0 = 2 π λ 0 is the wave number in free space, and λ 0 is the wavelength in free space at the operating frequency.
For focusing the beam at a 0-degree angle, the wave propagates in the direction of the antenna beam, characterized by the projected wave numbers k x and k y along the unit vectors k x and k y in the direction of the unit vectors x ^ and y ^ ,respectively.These wavenumbers are related to the phase delay gradients and the physical rotation angles of the MDCMs as follows:
k x = p 1 cos α 1 + p 2 cos α 2 k y = p 1 sin α 1 + p 2 sin α 2
To achieve a beam focus at 0 , the azimuth ( ϕ ) and elevation angles ( θ ) are calculated [34] using the wavenumbers:
θ = sin 1 k x 2 + k y 2 k 0 ϕ = tan 1 k y k x
Substituting k x and k y from the above equations into the expressions for θ and ϕ , we get:
θ = sin 1 1 k 0 p 1 2 + p 2 2 + 2 p 1 p 2 cos α 1 α 2 ϕ = tan 1 p 1 sin α 1 + p 2 sin α 2 p 1 cos + p 2 cos α 2
For 0 beam focusing, θ must be zero, which simplifies the expression for the tilt angles α 1 and α 2 such that:
p 1 2 + p 2 2 + 2 p 1 p 2 cos α 1 α 2 = 0
This condition implies that the phase delay gradients must cancel each other out, and thus the MDCMs need to be aligned appropriately [40]. Using these relationships, the elevation and azimuth angles of the output beam can be analytically determined, ensuring the beam focuses at a 0 angle by properly selecting the rotation angles of the two MDCMs while keeping the base antenna fixed.
Figure 4 (left side) shows the 3D radiation pattern, revealing a highly directional beam with significant gain concentrated along the vertical axis. The narrow and elongated shape of the main lobe suggests a pencil beam, advantageous for targeting specific areas with minimal spread. The color gradient ranges from red (0 dB) at the highest gain to blue (-30 dB) at the lowest, with the red region at the top indicating the area of maximum gain, essential for achieving high precision and accuracy in target detection [41,42] . Figure 4 (right side) illustrating how the gain is distributed radially from the center. This pattern helps to understand how the energy disperses on a plane perpendicular to the beam’s main axis. The concentric rings with varying colors indicate different gain levels, with the central red region representing the highest gain, surrounded by rings of decreasing gain, ensuring consistent performance in different orientations.
To design greater performance metasurface beam focusing with normal incident, the following phase profile of hyperbolical expression along one direction should be satisfied, i.e.:
φ ( x ) = 2 π λ x 2 + F 2 F
Where λ is working wavelength, F is designed focal distance and φ ( x ) is phase distribution in the coordinate related to location x.
The provided figures illustrate the focusing performance of a 60 GHz metasurface lens with dimensions of 37 × 37 elements. The analysis focuses on the normalized power distribution along the z-axis and the full-width at half-maximum (FWHM) [43] of the focused beam along the x-axis. In Figure 5 (a), the power intensity profile along the z -axis demonstrates the behavior of the focused beam as it propagates. The profile shows an initial dip in intensity close to the lens, followed by a gradual increase, peaking around 150 mm , corresponding to the focal length. This peak signifies the point of maximum focus, after which the intensity drops off, indicating the beam’s divergence beyond the focal point. This behavior confirms the effective convergence of the beam by the metasurface elements, which manipulate the incoming waves to focus them precisely.
Figure 5 (b) analyzes the beam width through the FWHM, a critical metric quantifying the beam’s width at half of its maximum intensity. The bell-shaped curve in the profile, with maximum intensity at the center ( x = 0 mm ) and symmetrical fall-off on both sides, indicates a well-focused beam. The measured FWHM is approximately 20 mm, reflecting the beam’s lateral resolution. A smaller FWHM value is desirable for a tightly focused beam, beneficial for applications requiring high spatial resolution. The symmetry of the intensity profile suggests a uniform and well-focused beam, crucial for consistent performance across the focal plane.
The performance characteristics demonstrated by the metasurface lens at 60 GHz have several significant implications [44]. In high-resolution imaging applications, such as medical imaging and precision radar systems, the sharp focus and small FWHM enable detailed imaging of small objects or fine features [45]. For sensing applications, a tightly focused beam can improve detection sensitivity and accuracy, especially in scenarios requiring pinpoint targeting or small area coverage [46]. The enhanced focus at 60 GHz is advantageous for material characterization and surface profiling, where detailed spatial information is critical.
The coordinates of any element on the focused transmitarray can be expressed as x i j , y i j and the focal length is recorded as F t , the transmission phase difference Δ φ i for the i th element is shown in Equation (1).
Δ φ i = 2 · k · R i 2 + F t 2 F t
R i = x i j 2 + y i j 2
where k is the propagation constant and Equation (2) denotes the distance from the center of the focused transmit array to any element [47]. The color gradients indicative of the intensity of the electric field within the tissue, measured in volts per meter ( V / m )
The metasurface demonstrates good precision in focusing the 60 GHz beam through human tissue across various bending angles as shown in Figure 6. Although the focusing effect is strongest and most symmetric at lower angles 10 and 20 , the metasurface still maintains a focused beam at higher angles 30 and 40 , albeit with increased pattern complexity and slight divergence.
Across all bending angles, the colormap consistently shows the electric field intensity ranging from -1 to 1. The intensity peaks in the central regions for all angles, indicating that the metasurface is successfully directing the beam energy to the focal point. The consistency in intensity suggests that the metasurface design is robust against variations in bending angle. These results indicate that the metasurface design is effective for practical applications where the beam needs to be focused through human tissue, even when subjected to different bending angles.

3. Radar System Integration and Implementation

We integrated the BGT60TR13C FMCW radar sensor, which operates in the frequency range of 58 to 63.5 GHz, with a custom metasurface transmitarray lens. This transmitarray is strategically attached to the seatbelt, as illustrated in Figure 7. We conducted experiments with five subjects to validate the performance of this setup. The BGT60TR13C sensor provides high-precision measurements due to its frequency-modulated continuous-wave (FMCW) technology [48], which is well suited for detecting micro movements and proximity. The metasurface transmitarray lens enhances the directional capabilities and resolution of radar signals, ensuring more accurate detection and analysis of seatbelt usage and positioning. This integration aims to improve passenger safety and comfort by providing real-time monitoring and feedback. Table 1 lists the key parameters of the FMCW radar used in this setup. The parameters include the number of ADC samples, the chirp time, the number of transmit and receive antennas, the total bandwidth, the frame time, and the azimuth antenna field of view [49].
Figure 8 illustrates the signal processing block diagram for the FMCW radar system. The process begins with transmitting the FMCW signal and receiving the reflected signal. The received signal is then mixed with the transmitted signal and passed through a low-pass filter. The signal then undergoes quadrature mixing and analog-to-digital conversion (ADC). After downconversion, beam separation is performed, followed by segmentation of time periods. Fast Fourier Transform (FFT) is applied, and range bins are extracted to form a distance matrix. The distance matrix is then processed using Variational Mode Decomposition (VMD) [48,49] to isolate the modes that represent different intrinsic components of the signal. Subsequently, phase extraction and frequency analysis are performed to detect vital signs such as respiration and heartbeat. The final results are displayed for monitoring.
The lightweight and flexible nature of our transmitarray lens allows it to bend between 5 and 15 without affecting antenna performance or vital sign detection accuracy. The transmitted signal from the FMCW radar is defined as [50] follows:
S T X ( t ) = exp j 2 π f c t + π B T f t 2 + φ ( t )
where f c denotes the center frequency, B represents the bandwidth of the signal, T f is the ramp duration, and φ ( t ) indicates the initial phase of the signal [51]. Given the seatbelt’s position, the displacement between the antenna and the human body due to respiration and heartbeat is modeled as:
R ( τ ) = d 0 + A sin 2 π f r τ + B sin 2 π f h τ
where d 0 is the initial distance between the antenna and the body, A and B are the peak amplitudes of respiratory and heartbeat-induced displacements, respectively, and f r and f h are the frequencies of respiration and heart rate [52].
The signal received back at the radar, considering a time delay t d , is:
S R X ( t ) = exp j 2 π f c t t d + π B T f t t d 2 + φ t t d t d = 2 R ( τ ) c
The resulting signal x ( t ) , formed by the convolution of S T X ( t ) and S R X ( t ) , simplifies to:
x ( t ) = S T X ( t ) * S R X ( t ) exp j 4 π B R ( τ ) c T f t + 4 π f c R ( τ ) c = exp j f b t + φ b f b = 2 B R ( τ ) c T f φ b = 4 π f c R ( τ ) c = 4 π R ( τ ) λ
where c is the speed of light, φ b indicates the phase of the intermediate frequency (IF) [53] signal, and f b is the frequency of the IF signal. The displacement data R ( τ ) , influenced by the body’s movements, are embedded in both f b and φ b . As the movement of the body caused by heartbeat and respiration is subtle, it cannot be effectively captured by f b due to the resolution limitations of the radar. Consequently, it is derived from φ b with greater precision for shorter wavelengths.
After quadrature mixing, the intermediate frequency (IF) [51] signal can be approximately expressed as:
S I F ( t ) = A I F exp j 2 π B T c t d t + 2 π f c t d + π B T c t d 2 + Δ ϕ ( t ) = A I F exp j 2 π f b t + ϕ b ( t ) + Δ ϕ ( t )
where A I F is the amplitude of the IF signal, f b is the bandwidth of the IF signal which can be expressed as:
f b = 2 B R ( t ) c T c
and the phase is
ϕ b ( t ) = 2 π f c t d + π B T c t d 2 2 π f c t d
The residual phase noise that is Δ ϕ ( t ) = ϕ ( t ) ϕ ( t 2 R / c ) ) can be neglected, and because the time t d is very small, the term π B T c t d 2 can also be neglected. After sampling, the final signal can be expressed as
y [ n , m ] = A I F exp j 2 π f b n T f + 4 π λ n T f + m T s
where n is the sampling points, T f is the ADC sampling rate, m is the sampling points of the slow time, T s is the sampling frequency of the slow time dimension, which is equal to the reciprocal of the frame interval. The frame interval is the time duration between consecutive radar frames. This setup allows the radar system to capture detailed temporal variations in the signal, essential for accurately extracting physiological movements such as respiration and heartbeat.
To effectively process the captured data and accurately extract respiration and heartbeat signals from the complex sensor output, we employ VMD [48]. VMD is a signal processing technique that decomposes a signal into a finite number of sub-signals or modes, each representing a distinct frequency component. This method allows for the isolation and extraction of subtle physiological signals amidst substantial noise from the vehicle environment.
The VMD algorithm operates by iteratively searching for modes that minimize the total bandwidth. This is achieved through the following steps: 1. Initialization: Initialize the modes and their center frequencies. 2. Decomposition: Iteratively update the modes by solving the constrained variational problem to minimize the sum of the bandwidths of the modes. 3. Mode Extraction: Extract the modes which represent different intrinsic components of the signal. Mathematically [48,49], the VMD process is described by:
min u k , ω k k t δ ( t ) + j 1 π t * u k ( t ) e j ω k t 2 2
subject to:
k u k = f
where u k are the modes, ω k are the center frequencies, and f is the input signal. By decomposing the radar signal using VMD, we can effectively isolate the components corresponding to respiration and heartbeat. This enables accurate detection of these physiological signals, which previous works could not achieve due to limitations in signal processing and noise reduction techniques.

4. Results

Experiments were conducted to validate the practicality and effectiveness of the proposed system. The radar sensor was strategically positioned to directly face the driver’s seat, as illustrated in Figure 7, ensuring optimal detection of vital signs. The implemented algorithm was applied to process the radar signals, allowing for accurate monitoring of physiological parameters. The radar acquisition range was configured to cover a span of 0.5 to 1 meter, a distance that is ideal for capturing the necessary data from the driver. This setup was chosen to ensure that the radar could effectively detect subtle physiological movements, such as respiration and heartbeat, without interference from surrounding objects or environmental noise. The results of these experiments confirmed the system’s ability to operate reliably within the specified range, demonstrating its potential for practical application in real-world driving conditions.

4.1. Seat Occupancy

Radar sensors are crucial for detecting occupants or objects in vehicle seats, ensuring safety and functionality. These sensors identify subtle changes in distance and movement, distinguishing between a person and items. To improve radar accuracy, we are developing a beam-focusing metasurface attached to the seatbelt, which enhances signal reflection. This design boosts the radar’s ability to detect small movements and better differentiate between objects and human occupants, improving overall system reliability and reducing false detections.
When no occupant is present, the radar sensor measures the distance to the seat surface or any objects placed on it, such as a bag. If the object remains still, the sensor detects a relatively constant distance, with only minor fluctuations due to environmental factors such as noise and vibrations within the vehicle, rather than any significant object movement. To determine if a person is present, the standard deviation of the envelope amplitude component is calculated as follows:
σ 2 ( t ) = 0 t d y d t 2 d t
This equation can be implemented digitally using the sampled peak amplitude values, y [ n ] , measured by the radar during each sweep. This type of moving average filter functions similarly to an infinite impulse response (IIR) filter. The formula for implementing Equation (19) with an exponentially weighted moving average (EWMA) filter is:
σ 2 [ n ] = α y [ n ] y [ n 1 ] T s 2 + ( 1 α ) σ 2 [ n 1 ]
In this case, the derivative is estimated using the finite difference between two consecutive samples. The smoothing coefficient, α , can be derived from the cut-off frequency [54] using the equation:
α = cos 2 Ω 3 d B 4 cos Ω 3 d B + 3 + cos Ω 3 d B 1
Where Ω 3 d B represents the normalized angular frequency, which is given by:
Ω 3 d B = f c T s 2 π
The seat is classified as occupied by a person if the value of σ exceeds a predetermined threshold, σ t h . In the case of a stationary object, the difference between consecutive samples should be zero, with only noise contributing to the signal. Consequently, σ serves as an indicator of noise deviation. The threshold is initially determined based on the average value of σ when the seat is occupied. If the threshold is set too low, it may lead to a higher likelihood of false alarms, while setting it too high could result in detection errors or delayed sensor responses.
Figure 9 illustrates the process of seat occupancy detection using a flexible transmitarray lens integrated with a 60 GHz frequency modulated continuous wave radar system (FMCW). The figure contains two key plots. The top plot shows the signal amplitude over a 120-second time interval, capturing both noise and the breathing signal, while the bottom plot displays the seat occupancy indicator, which reflects whether the seat is empty or occupied over time.
In the first 20 seconds, the seat remains empty, indicated by the low amplitude fluctuating around 0.2 units, suggesting the absence of any significant object. Minor fluctuations are present due to environmental noise, but the system accurately detects the seat as unoccupied. Between 20 and 40 seconds, a bag is placed on the seat, causing a slight increase in the signal amplitude. However, this increase remains below 0.5 units, indicating that the radar system is capable of distinguishing between an inanimate object, such as a bag, and a person. This reflects the system’s robustness in avoiding false positives for seat occupancy detection.
From 40 to 80 seconds, a person occupies the seat, causing the amplitude to rise sharply to around 0.5 units. During this period, the system detects fine variations in the signal, corresponding to the person’s breathing and slight movements. This demonstrates the radar’s capability to capture micro-movements, which is essential for accurately identifying both presence and physiological signals, like breathing. After 80 seconds, when the person vacates the seat, the amplitude returns to the lower level, once again signaling an empty seat. The seat occupancy indicator in the second plot also mirrors these changes, clearly switching between empty, bag placement, and occupied states throughout the time interval. This shows the radar system’s ability to reliably differentiate between unoccupied, object placement, and true occupancy by a person, highlighting its sensitivity and accuracy in detecting seat occupancy and physiological movements.

4.2. Vital Sign Detection

In this section, we present the results of our experimental evaluation demonstrating the performance of the seatbelt-integrated, contactless beam-focusing metamaterial sensing system.
Figure 10 illustrates the enhanced accuracy in detecting vital signs achieved through the use of a flexible lens. This advanced lens improves the targeting of beam signals onto the heart valve, leading to clearer and more distinct measurements of vital signs. With the flexible lens, the amplitudes of the detected signals for both respiration and heart rate are significantly higher, demonstrating better detection sensitivity. Specifically, the respiration signal shows a pronounced peak, and the heart rate signal is notably more distinct. In comparison, without the flexible lens, the amplitudes of these signals are considerably lower, indicating less accurate and less reliable vital sign monitoring. This highlights the effectiveness of the flexible lens in enhancing the clarity and reliability of physiological signal detection in dynamic vehicular environments.
Figure 11 compares the amplitude and temporal patterns of respiratory and heart rate signals obtained from radar measurements against those from standard reference methods (ECG and respiration belt from Biopac MP160), taken from the same subjects. The upper graph displays the respiration signals, with the blue line representing the radar-detected respiration (Radar Resp) and the black line showing the respiration belt measurements (Resp Belt). The radar signal closely follows the reference respiration belt signal, indicating a high level of accuracy in detecting respiratory patterns. The lower panel illustrates the heart rate signals, with the radar-detected heart rate (Radar Heart) shown in blue and the ECG measurements in black. The radar heart rate signal aligns well with the ECG signal, demonstrating the radar system’s effectiveness in accurately capturing heart rate information. These comparisons underscore the reliability of the radar-based method in monitoring vital signs, both for respiration and heart rate, when validated against traditional measurement techniques.
Figure 12 shows comparison radar-based measurements without using traditional methods to monitor heart rate and respiration, revealing notable differences in accuracy and stability. The radar-derived respiration data closely follow the pattern of the respiration belt data, though there are minor discrepancies in amplitude and slight phase shifts, suggesting that while the radar system is relatively accurate in tracking respiration, its precision may be compromised without the aid of a flexible lens. In contrast, the comparison between radar-derived heart rate data and ECG, the gold standard for heart rate monitoring, shows more significant issues. The radar signal struggles to capture the sharp peaks and consistent amplitude seen in the ECG trace, indicating a lack of precision and stability.
Figure 13 presents the analysis of the amplitude and frequency of the respiration and heart rate signals under three conditions: car standby, driving, and bumpy condition. In the car standby condition, the time-domain signal shows consistent amplitude variations over the observed period. The corresponding frequency-domain plot illustrates respiration and heart rate frequencies of 0.476 Hz and 1.21 Hz, respectively.
During driving conditions, the amplitude of the time-domain signal is more variable and pronounced, indicating increased physiological activity. This change is reflected in the frequency-domain analysis, where the respiration frequency is recorded at 0.513 Hz and the heart rate at 1.117 Hz. In bumpy conditions, the time-domain signal displays even more irregular and noisy amplitude variations, suggesting heightened physiological responses due to bumpy driving conditions. The frequency-domain analysis shows a respiration frequency of 0.521 Hz and a heart rate of 1.31 Hz.
Figure 14 presents a box plot analysis of inter-beat interval (IBI) errors across three different conditions: standby, driving, and bumpy. The IBI error is measured in milliseconds (ms) and reflects the deviation of radar-based IBI measurements from the reference standard. In the standby condition, the IBI error is relatively low and consistent, with most values clustering around the median and few outliers. During driving, the IBI error distribution is similar to the standby condition but exhibits slightly more variability, indicating minor increases in measurement error due to movement. The bumpy condition shows a significant increase in IBI error variability, with a broader range and higher median error, indicating that rough driving conditions substantially impact the accuracy of radar-based IBI measurements. This analysis highlights the challenges of maintaining precise vital sign monitoring in dynamic and unstable environments. While this suggests potential limitations in the reliability of the proposed approach for certain applications, it also underscores the need for further development. Defining the severity of "bumpy" conditions and proposing remedies such as enhanced signal processing, multi-sensor fusion, adaptive calibration, and environmental compensation are crucial steps toward improving robustness. Additionally, understanding the likelihood of encountering such conditions will help in assessing and mitigating these challenges effectively.
The Bland-Altman plots presented in Figure 15 illustrate the agreement between the BBI (beat-to-beat interval) measurements obtained from the ECG (Electrocardiogram) and Radar under three different conditions: Car Standby (a), Driving (b), and Bumpy Condition (c). In each plot, the difference between the BBI ECG and BBI Radar measurements is plotted against their average, allowing for a visual assessment of the agreement between the two methods. In the Car Standby condition Figure 15 (a), the points are relatively tightly clustered around the mean difference line (solid red line), with the majority of the differences falling within the limits of agreement (dashed black lines at ± 1.96 standard deviations). This suggests a good agreement between the two measurement methods in a stable environment. The estimated radar heart rate for Car Standby is 72.0661 bpm, compared to the estimated ECG heart rate of 72.6271 bpm, highlighting minimal discrepancies between the two methods.
In the Driving condition Figure 15 (b), there is a slight increase in the spread of the differences between the BBI measurements from ECG and Radar. While the mean difference remains close to zero, the broader range of differences suggests that the agreement between the two methods is slightly less consistent compared to the Car Standby condition. This increased variability can be attributed to the dynamic nature of driving, which introduces additional noise and movement artifacts. The estimated radar heart rate during driving is 78.7428 bpm, compared to the ECG heart rate of 78.1955 bpm, indicating a small but noticeable variability. Figure 15 (c) shows the highest dispersion of points, with a noticeable trend of increasing difference values as the average BBI increases. This trend, along with the wider spread of points, indicates a reduced agreement between the measurement methods under more challenging conditions with significant motion. The limits of agreement are wider, reflecting the increased variability and potential measurement errors introduced by the bumpy environment. The estimated radar heart rate in bumpy conditions is 84.2739 bpm, while the ECG heart rate is 84.9816 bpm, demonstrating the greatest variability among the conditions tested.
The Bland-Altman plots in Figure 16 illustrate the agreement between respiration rate measurements obtained using a breath-breath interval respiration belt and radar under three different conditions: Car Standby, Driving, and Bumpy Condition. In Figure 16 (a), the plot reveals that the differences between the belt and radar measurements are minimal and centered around zero, indicating negligible systematic bias. The estimated respiratory rates are nearly identical, with the radar measuring 14.9948 breaths per minute and the belt measuring 15.0026 breaths per minute. The majority of the data points fall within the limits of agreement, suggesting a strong correlation between the two methods in a stationary state. For the Driving condition depicted in Figure 16 (b), the Bland-Altman plot continues to show a small mean difference close to zero, with data points closely clustered around the mean difference line. This clustering indicates high consistency and reliability between the belt and radar measurements during driving. The estimated respiratory rates are again very similar, with the radar at 18.001 breaths per minute and the belt at 18.0026 breaths per minute, further underscoring the strong agreement between the two measurement techniques. In the Bumpy Condition shown in Figure 16 (c), there is a slight increase in the mean difference, though it remains close to zero, indicating minimal bias even under more dynamic conditions. The estimated respiratory rates are 20.0068 breaths per minute for the radar and 19.9966 breaths per minute for the belt. While the data points are more spread out compared to the other conditions, they still fall mostly within the limits of agreement. This slight increase in variability can be attributed to the increased movement and instability in bumpy conditions but does not significantly detract from the overall agreement between the two methods.
Figure 17 (a) shows that the error percentages, representing the deviation between the ECG and Radar methods, are consistently low in all subjects and driving conditions, generally below 1.5%. This low level of error further supports the accuracy of Radar compared to the traditional ECG method. Although there is some variation in the percentages of errors between subjects, with certain individuals showing slightly higher errors under specific conditions, these differences are minimal and do not detract from the overall reliability of the Radar method. Additionally, the error percentages remain stable across the various driving conditions, suggesting that the accuracy of Radar is not significantly impacted by different types of driving activities, even in more challenging environments like bumpy roads.
The percentages of error in Figure 17 (b), representing the discrepancies between the Belt and Radar measurements, are shown for each subject under the three driving conditions. These errors are generally low, with most values remaining below 1.2%, further confirming the accuracy of the Radar method compared to the traditional Belt sensor. Although there are slight variations in the percentages of errors between subjects, some showing higher errors under certain conditions, particularly in more dynamic environments such as driving and bumpy roads, these differences are minimal. The error percentages remain relatively stable across the different driving conditions, suggesting that the Radar sensor accuracy is not significantly affected by the type of driving activity.

5. Discussion

The results from seat occupancy detection using the flexible transmitarray lens with 60 GHz FMCW radar provide valuable insights into the system’s ability to monitor seat occupancy and physiological signals, such as heart rate and breathing. The data demonstrated that the radar system reliably differentiated between an empty seat and an occupied one, with minimal interference from noise, highlighting its reliability for this purpose. These findings align with previous studies that have shown the effectiveness of radar in capturing micro-movements like breathing and heart rate, and in detecting the presence of occupants.
The broader implications of these results suggest that such non-invasive, radar-based monitoring systems with transmitarray lens could play a significant role in the future of smart vehicle technology. As automakers continue to develop safer and more autonomous vehicles, radar systems for occupancy detection, vital sign monitoring, and safety checks could become standard features. This capability not only improves passenger safety, but also provides continuous, real-time health monitoring.
Future research should focus on improving the robustness of the system in more dynamic driving conditions, such as bumpy roads or sudden changes in occupant behavior. Advanced noise reduction techniques, such as variational mode decomposition (VMD), could help isolate physiological signals from environmental noise, improving system performance. Furthermore, incorporating machine learning algorithms to distinguish between real and false detections, such as differentiating between a small object and a human occupant, could further enhance accuracy. Investigating the long-term durability and performance of the system in varying vehicle environments, including extreme weather, will be crucial to its widespread adoption.

6. Conclusions

Our study demonstrates the effectiveness of a seatbelt-integrated beam-focused metamaterial sensing system for the accurate detection of vital signs in an automotive environment. Integrating a flexible transmitarray lens with a 60 GHz FMCW radar sensor significantly improves the precision of physiological signal measurements. Validated against standard reference methods, the radar system closely tracks heart rate and respiration, underscoring its potential for enhancing in-car healthcare monitoring and suitable to implement to the seatbelt for seat occupancy detection. Future work will focus on further refining the robustness of the system and exploring broader applications.

Funding

This work was supported by Novo Nordisk Foundation under Grant NNF20OC0063573.

References

  1. A. Gharamohammadi, A. Khajepour and G. Shaker, "In-Vehicle Monitoring by Radar: A Review," in IEEE Sensors Journal, vol. 23, no. 21, pp. 25650-25672, 1 Nov.1, 2023, doi: 10.1109/JSEN.2023.3316449. [CrossRef]
  2. J. Albesa and M. Gasulla, “Occupancy and belt detection in removable vehicle seats via inductive power transmission,” IEEE Trans. Veh. Technol., vol. 64, no. 8, pp. 3392–3401, Aug. 2015.
  3. C. Yang, X. Wang and S. Mao, "Respiration Monitoring With RFID in Driving Environments," in IEEE Journal on Selected Areas in Communications, vol. 39, no. 2, pp. 500-512, Feb. 2021, doi: 10.1109/JSAC.2020.3020606. [CrossRef]
  4. S. Mondal et al., "A Wireless Battery-less Seat Sensor for Autonomous Vehicles," 2020 IEEE 70th Electronic Components and Technology Conference (ECTC), Orlando, FL, USA, 2020, pp. 2289-2294, doi: 10.1109/ECTC32862.2020.00357. [CrossRef]
  5. C. Gouveia, C. Loss, P. Pinho, J. Vieira and D. Albuquerque, "Low-Profile Textile Antenna for Bioradar Integration Into Car Seat Upholstery: Wireless acquisition of vital signs while on the road," in IEEE Antennas and Propagation Magazine, vol. 66, no. 1, pp. 22-33, Feb. 2024, doi: 10.1109/MAP.2023.3254484. [CrossRef]
  6. M. Mercuri et al., “2-D localization, angular separation and vital signs monitoring using a SISO FMCW radar for smart long-term health monitoring environments,” IEEE Internet Things J., vol. 8, no. 14,pp. 11065–11077, Jul. 2021.
  7. J. -M. Muñoz-Ferreras, Z. Peng, R. Gómez-García and C. Li, "Random body movement mitigation for FMCW-radar-based vital-sign monitoring," 2016 IEEE Topical Conference on Biomedical Wireless Technologies, Networks, and Sensing Systems (BioWireleSS), Austin, TX, USA, 2016, pp. 22-24, doi:10.1109/BIOWIRELESS.2016.7445551. [CrossRef]
  8. Y. Chen, Y. Luo, A. Qi, M. Miao and Y. Qi, "In-cabin monitoring based on millimeter wave FMCW radar", Proc. 13th Int. Symp. Antennas Propag. EM Theory (ISAPE), pp. 1-3, Dec. 2021.
  9. S. Yue, H. He, H. Wang, H. Rahul, and D. Katabi, “Extracting multiperson respiration from entangled RF signals,” Proc. ACM Interact. Mobile Wearable Ubiquitous Technol., vol. 2, no. 2, p. 86, 2018.
  10. S. D. D. Cruz, H. -P. Beise, U. Schröder and U. Karahasanovic, "Detection of Vital Signs in Presence of Car Vibrations and RADAR-Based Passenger Classification," 2018 19th International Radar Symposium (IRS), Bonn, Germany, 2018, pp. 1-10, doi: 10.23919/IRS.2018.8447952. [CrossRef]
  11. S. Dias Da Cruz, H. -P. Beise, U. Schröder and U. Karahasanovic, "A Theoretical Investigation of the Detection of Vital Signs in Presence of Car Vibrations and RADAR-Based Passenger Classification," in IEEE Transactions on Vehicular Technology, vol. 68, no. 4, pp. 3374-3385, April 2019, doi: 10.1109/TVT.2019.2898512. [CrossRef]
  12. T. Zheng, Z. Chen, C. Cai, J. Luo, and X. Zhang, “V2iFi: In-vehicle vital sign monitoring via compact RF sensing,” Proc. ACM Interact., Mobile, Wearable Ubiquitous Technol., vol. 4, no. 2, pp. 1–27, Jun. 2020.
  13. K. -K. Shyu, L. -J. Chiu, P. -L. Lee and L. -H. Lee, "UWB Simultaneous Breathing and Heart Rate Detections in Driving Scenario Using Multi-Feature Alignment Two-Layer EEMD Method," in IEEE Sensors Journal, vol. 20, no. 17, pp. 10251-10266, 1 Sept.1, 2020, doi: 10.1109/JSEN.2020.2992687. [CrossRef]
  14. A. Kiourti et al., "Next-Generation Healthcare: Enabling Technologies for Emerging Bioelectromagnetics Applications," in IEEE Open Journal of Antennas and Propagation, vol. 3, pp. 363-390, 2022, doi: 10.1109/OJAP.2022.3162110. [CrossRef]
  15. R. A. I. Asyari, K. -Y. Lee, R. E. Arif, T. -S. J. Horng and D. Teichmann, "A Novel Approach to Remote Detection in Medical Radar Applications Using Flexible Transmit Array Lenses," in IEEE Journal of Electromagnetics, RF and Microwaves in Medicine and Biology, vol. 8, no. 1, pp. 36-50, March 2024, doi: 10.1109/JERM.2023.3347395. [CrossRef]
  16. W. Kang, Y. Li and W. Wu, "In-Vehicle Multiple Passengers Respiration Monitoring Based on Surface-Circuit Metasurface Tags Using Time-Division FMCW Radar," in IEEE Internet of Things Journal, vol. 11, no. 5, pp. 7756-7771, 1 March1, 2024, doi: 10.1109/JIOT.2023.3315312. [CrossRef]
  17. M. -J. López, C. Palacios Arias, J. Romeu and L. Jofre-Roca, "In-Cabin MIMO Radar System for Human Dysfunctional Breathing Detection," in IEEE Sensors Journal, vol. 22, no. 24, pp. 23906-23914, 15 Dec.15, 2022, doi: 10.1109/JSEN.2022.3221052. [CrossRef]
  18. R. Kawasaki and A. Kajiwara, "Driver’s vital-signs monitoring with a single 60GHz sensor," 2023 IEEE Radio and Wireless Symposium (RWS), Las Vegas, NV, USA, 2023, pp. 163-166, doi: 10.1109/RWS55624.2023.10046292. [CrossRef]
  19. S. K. Leem, F. Khan, and S. H. Cho, “Vital sign monitoring and mobile phone usage detection using IR-UWB radar for intended use in car crash prevention,” Sensors, vol. 17, no. 6, p. 1240, 2017.
  20. F. Wang, X. Zeng, C. Wu, B. Wang, and K. J. R. Liu, “Driver vital signs monitoring using millimeter wave radio,” IEEE Internet Things J., vol. 9, no. 13, pp. 11283–11298, Jul. 2022.
  21. Y.-K. Yoo and H.-C. Shin, “Movement compensated driver’s respiratory rate extraction,” Appl. Sci., vol. 12, no. 5, p. 2695, Mar. 2022.
  22. Q. T. Tran, T. L. Ton, N. T. M. Nguyen, and B. D. Nguyen, “A K-band noninvasive vital signs monitoring system in automotive applications,” in Proc. Int. Symp. Elect. Electron. Eng., 2019, pp. 85–88.
  23. R. Kawasaki and A. Kajiwara, "Driver’s vital-signs monitoring with a single 60GHz sensor," 2023 IEEE Radio and Wireless Symposium (RWS), Las Vegas, NV, USA, 2023, pp. 163-166, doi: 10.1109/RWS55624.2023.10046292. [CrossRef]
  24. T. Yamada, S. Imai, K. Tsuji, R. Takao, and Y. Kamiya, “Respiration monitoring of multiple car passengers by using one Doppler sensor with ARS,” in Proc. IEEE 8th Global Conf. Consum. Electron. (GCCE), Oct. 2019, pp. 729–731.
  25. Q. Zeng et al., "Seatbelt-Embroidered Metamaterials for In-Vehicle Vital Sign Monitoring," 2023 IEEE/MTT-S International Microwave Symposium - IMS 2023, San Diego, CA, USA, 2023, pp. 1085-1088, doi: 10.1109/IMS37964.2023.10188037. [CrossRef]
  26. M. -J. López, C. Palacios Arias, J. Romeu and L. Jofre-Roca, "In-Cabin MIMO Radar System for Human Dysfunctional Breathing Detection," in IEEE Sensors Journal, vol. 22, no. 24, pp. 23906-23914, 15 Dec.15, 2022, doi: 10.1109/JSEN.2022.3221052. [CrossRef]
  27. J. h. Huh and S. h. Cho, "Seat Belt Reminder System In Vehicle Using IR-UWB Radar," 2018 International Conference on Network Infrastructure and Digital Content (IC-NIDC), Guiyang, China, 2018, pp. 256-259, doi: 10.1109/ICNIDC.2018.8525708. [CrossRef]
  28. M. Alizadeh, H. Abedi and G. Shaker, "Low-cost low-power in-vehicle occupant detection with mm-wave FMCW radar", Proc. IEEE SENSORS, pp. 1-4, 2019.
  29. A. Lazaro, M. Lazaro, R. Villarino and D. Girbau, "Seat-occupancy detection system and breathing rate monitoring based on a low-cost mm-wave radar at 60 GHz", IEEE Access, vol. 9, pp. 115403-115414, 2021.
  30. N. Munte, A. Lazaro, R. Villarino and D. Girbau, "Vehicle Occupancy Detector Based on FMCW mm-Wave Radar at 77 GHz," in IEEE Sensors Journal, vol. 22, no. 24, pp. 24504-24515, 15 Dec.15, 2022, doi: 10.1109/JSEN.2022.3218454. [CrossRef]
  31. D. Jung, S. Cheon, D. Kim, J. Yoon and B. Kim, "Short-Time Remote Heart Rate Measurement Based on mmWave FMCW Radar Frame Structure," in IEEE Antennas and Wireless Propagation Letters, vol. 22, no. 6, pp. 1301-1305, June 2023, doi: 10.1109/LAWP.2023.3241153. [CrossRef]
  32. D. K. Kim, "Wireless Vital Signal Tracking for Drivers Using Micro-Doppler Seatback Radar," 2018 9th IFIP International Conference on New Technologies, Mobility and Security (NTMS), Paris, France, 2018, pp. 1-5, doi: 10.1109/NTMS.2018.8328724. [CrossRef]
  33. K. J. Lee, C. Park, and B. Lee, “Tracking driver’s heart rate by continuous-wave Doppler radar,” in Proc. 2016 38th Annu. Int. Conf.IEEE Eng. Med. Biol. Soc. (EMBC), Aug. 2016, pp. 5417–5420.
  34. A. Hashemi, A. Ahmadian, and M. Baboli, “An efficient algorithm for remote detection of simulated heart rate using ultra-wide band signals,”Amer. J. Biomed. Eng., vol. 3, no. 6, pp. 199–207, 2013.
  35. F. Khan and S. Cho, “A detailed algorithm for vital sign monitoring of a stationary/non-stationary human through IR-UWB radar,” Sensors, vol. 17, no. 2, p. 290, Feb. 2017.
  36. M. Yang, X. Yang, L. Li, and L. Zhang, “In-car multiple targets vital sign monitoring using location-based VMD algorithm,” in Proc. 10th Int. Conf. Wireless Commun. Signal Process. (WCSP), Oct. 2018, pp. 1–6.
  37. K. J. Wu and C. -L. Yang, "Heart Rate Extraction with VMD Algorithm in Non-Stationary Clutter Environment Based on FMCW Radar Systems," 2021 IEEE International Symposium on Radio-Frequency Integration Technology (RFIT), Hualien, Taiwan, 2021, pp. 1-3, doi: 10.1109/RFIT52905.2021.9565243. [CrossRef]
  38. Gabriel S, Lau RW, Gabriel C. The dielectric properties of biological tissues: III. Parametric models for the dielectric spectrum of tissues. Phys Med Biol. 1996 Nov;41(11):2271-93. doi: 10.1088/0031-9155/41/11/003. PMID: 8938026. [CrossRef] [PubMed]
  39. F. Ahmed, T. Hayat, M. U. Afzal, S. Zhang, K. P. Esselle and W. G. Whittow, "3-D Printable Synthetic Metasurface to Realize 2-D Beam-Steering Antenna," in IEEE Open Journal of Antennas and Propagation, vol. 4, pp. 506-519, 2023, doi: 10.1109/OJAP.2023.3274782. [CrossRef]
  40. F. Qin, L. Wan, L. Li, H. Zhang, G. Wei and S. Gao, "A Transmission Metasurface for Generating OAM Beams," in IEEE Antennas and Wireless Propagation Letters, vol. 17, no. 10, pp. 1793-1796, Oct. 2018, doi: 10.1109/LAWP.2018.2867045. [CrossRef]
  41. M. Singh and M. S. Parihar, "One-Dimensional Radiation Beam Tilting Using Thin Planner Phase Gradient Metasurfaces Array Lens at millimeter-Wave Band for 5G Applications," 2023 IEEE Wireless Antenna and Microwave Symposium (WAMS), Ahmedabad, India, 2023, pp. 1-4, doi: 10.1109/WAMS57261.2023.10242959. [CrossRef]
  42. H. Taghvaee et al., "Multiwideband Terahertz Communications Via Tunable Graphene-Based Metasurfaces in 6G Networks: Graphene Enables Ultimate Multiwideband THz Wavefront Control," in IEEE Vehicular Technology Magazine, vol. 17, no. 2, pp. 16-25, June 2022, doi: 10.1109/MVT.2022.3155905. [CrossRef]
  43. O. M. Hoel Rindal, A. Austeng and A. Rodriguez-Molares, "Resolution Measured as Separability Compared to Full Width Half Maximum for Adaptive Beamformers," 2020 IEEE International Ultrasonics Symposium (IUS), Las Vegas, NV, USA, 2020, pp. 1-4, doi: 10.1109/IUS46767.2020.9251787. [CrossRef]
  44. C. L. Holloway, E. F. Kuester, J. A. Gordon, J. O’Hara, J. Booth and D. R. Smith, "An Overview of the Theory and Applications of Metasurfaces: The Two-Dimensional Equivalents of Metamaterials," in IEEE Antennas and Propagation Magazine, vol. 54, no. 2, pp. 10-35, April 2012, doi: 10.1109/MAP.2012.6230714. [CrossRef]
  45. A. Kiourti et al., "Next-Generation Healthcare: Enabling Technologies for Emerging Bioelectromagnetics Applications," in IEEE Open Journal of Antennas and Propagation, vol. 3, pp. 363-390, 2022, doi: 10.1109/OJAP.2022.3162110. [CrossRef]
  46. J. Wang et al., "Metantenna: When Metasurface Meets Antenna Again," in IEEE Transactions on Antennas and Propagation, vol. 68, no. 3, pp. 1332-1347, March 2020, doi: 10.1109/TAP.2020.2969246. [CrossRef]
  47. S. Tiwari, A. K. Singh and A. Dubey, "Millimeter-Wave Wide-Angle Beamsteerable Transmission-Type Metasurface Lens Antenna," 2022 IEEE Microwaves, Antennas, and Propagation Conference (MAPCON), Bangalore, India, 2022, pp. 1680-1683, doi: 10.1109/MAPCON56011.2022.10047310. [CrossRef]
  48. K. J. Wu and C. -L. Yang, "Heart Rate Extraction with VMD Algorithm in Non-Stationary Clutter Environment Based on FMCW Radar Systems," 2021 IEEE International Symposium on Radio-Frequency Integration Technology (RFIT), Hualien, Taiwan, 2021, pp. 1-3, doi: 10.1109/RFIT52905.2021.9565243. [CrossRef]
  49. M. Yang, X. Yang, L. Li and L. Zhang, "In-Car Multiple Targets Vital Sign Monitoring Using Location-Based VMD Algorithm," 2018 10th International Conference on Wireless Communications and Signal Processing (WCSP), Hangzhou, China, 2018, pp. 1-6, doi: 10.1109/WCSP.2018.8555567. [CrossRef]
  50. A. Santra et al., "Short-range multi-mode continuous-wave radar for vital sign measurement and imaging," 2018 IEEE Radar Conference (RadarConf18), Oklahoma City, OK, USA, 2018, pp. 0946-0950, doi: 10.1109/RADAR.2018.8378688. [CrossRef]
  51. M. Arsalan, A. Santra and C. Will, "Improved Contactless Heartbeat Estimation in FMCW Radar via Kalman Filter Tracking," in IEEE Sensors Letters, vol. 4, no. 5, pp. 1-4, May 2020, Art no. 7001304, doi: 10.1109/LSENS.2020.2983706. [CrossRef]
  52. M. Alizadeh, G. Shaker, J. C. M. D. Almeida, P. P. Morita and S. Safavi-Naeini, "Remote Monitoring of Human Vital Signs Using mm-Wave FMCW Radar," in IEEE Access, vol. 7, pp. 54958-54968, 2019, doi: 10.1109/ACCESS.2019.2912956. [CrossRef]
  53. S. Ayhan, S. Scherr, A. Bhutani, B. Fischbach, M. Pauli and T. Zwick, "Impact of Frequency Ramp Nonlinearity, Phase Noise, and SNR on FMCW Radar Accuracy," in IEEE Transactions on Microwave Theory and Techniques, vol. 64, no. 10, pp. 3290-3301, Oct. 2016, doi: 10.1109/TMTT.2016.2599165. [CrossRef]
  54. Chaudhuri, D., Mukherjee, M., Khondekar, M.H. and Ghosh, K., 2019. Simple exponential smoothing and its control parameter: A reassessment. In Recent Trends in Signal and Image Processing: Proceedings of ISSIP 2018 (pp. 63-77). Springer Singapore.
Figure 1. (a) Unit cell design of the transmitarray lens. (b) Unit cell setup in HFSS incorporating the human phantom model.
Figure 1. (a) Unit cell design of the transmitarray lens. (b) Unit cell setup in HFSS incorporating the human phantom model.
Preprints 121629 g001
Figure 2. Transmission response at frequency 57 - 62 GHz: (a) Transmission magnitude for varying unit cell dimensions L = 0.15-1.4 mm, W = 1.6 mm, R = 0.6 mm. (b) Transmission phase.
Figure 2. Transmission response at frequency 57 - 62 GHz: (a) Transmission magnitude for varying unit cell dimensions L = 0.15-1.4 mm, W = 1.6 mm, R = 0.6 mm. (b) Transmission phase.
Preprints 121629 g002
Figure 3. (a) Phase distribution optimization through MATLAB. (b) Fabricated metasurface odd-layer & even-layer.
Figure 3. (a) Phase distribution optimization through MATLAB. (b) Fabricated metasurface odd-layer & even-layer.
Preprints 121629 g003
Figure 4. Metasurface beam direction in 0 phase.
Figure 4. Metasurface beam direction in 0 phase.
Preprints 121629 g004
Figure 5. (a) The normalized power distributions along the z axis in the center. The inset is the focused pattern on the x-y plane. (b) The simulated spot size FWHM of focused 60 GHz wave along the x axis.
Figure 5. (a) The normalized power distributions along the z axis in the center. The inset is the focused pattern on the x-y plane. (b) The simulated spot size FWHM of focused 60 GHz wave along the x axis.
Preprints 121629 g005
Figure 6. Different bending condition 10 , 20 , 30 , and 40 through human tissue of flexible transmitarray lens.
Figure 6. Different bending condition 10 , 20 , 30 , and 40 through human tissue of flexible transmitarray lens.
Preprints 121629 g006
Figure 7. Experimental setup showing the integration of the metasurface lens with the seatbelt.
Figure 7. Experimental setup showing the integration of the metasurface lens with the seatbelt.
Preprints 121629 g007
Figure 8. Signal Processing Block Diagram.
Figure 8. Signal Processing Block Diagram.
Preprints 121629 g008
Figure 9. Seat occupancy detection using 60 GHz FMCW radar, showing range, amplitude (with noise and breathing signal), amplitude deviation, and seat occupancy indicator over time.
Figure 9. Seat occupancy detection using 60 GHz FMCW radar, showing range, amplitude (with noise and breathing signal), amplitude deviation, and seat occupancy indicator over time.
Preprints 121629 g009
Figure 10. Heartrate and respiration comparison with or without the flexible lens.
Figure 10. Heartrate and respiration comparison with or without the flexible lens.
Preprints 121629 g010
Figure 11. Heartrate and respiration comparison with flexible transmitarray lens.
Figure 11. Heartrate and respiration comparison with flexible transmitarray lens.
Preprints 121629 g011
Figure 12. Heartrate and respiration comparison without flexible transmitarray lens.
Figure 12. Heartrate and respiration comparison without flexible transmitarray lens.
Preprints 121629 g012
Figure 13. Comparison of heart rate and respiration detection using a flexible lens in different driving conditions: standby, driving, and bumpy.
Figure 13. Comparison of heart rate and respiration detection using a flexible lens in different driving conditions: standby, driving, and bumpy.
Preprints 121629 g013
Figure 14. Comparison of inter-beat interval (IBI) errors during different driving conditions (standby, driving, and bumpy) using a flexible lens.
Figure 14. Comparison of inter-beat interval (IBI) errors during different driving conditions (standby, driving, and bumpy) using a flexible lens.
Preprints 121629 g014
Figure 15. Bland-Altman plots showing the heart rate agreement between Beat-to-beat interval ECG and Radar measurements under different conditions from 5 subjects: (a) Car Standby, (b) Driving, and (c) Bumpy Condition.
Figure 15. Bland-Altman plots showing the heart rate agreement between Beat-to-beat interval ECG and Radar measurements under different conditions from 5 subjects: (a) Car Standby, (b) Driving, and (c) Bumpy Condition.
Preprints 121629 g015
Figure 16. Bland-Altman plots showing the respiration rate agreement between Breath-to-breath interval respiration belt and Radar measurements under different conditions from 5 subjects: (a) Car Standby, (b) Driving, and (c) Bumpy Condition.
Figure 16. Bland-Altman plots showing the respiration rate agreement between Breath-to-breath interval respiration belt and Radar measurements under different conditions from 5 subjects: (a) Car Standby, (b) Driving, and (c) Bumpy Condition.
Preprints 121629 g016
Figure 17. Error percentages of (a) heartrate and (b) respiration measurements under different conditions Car Standby, Driving, and Bumpy from 5 subjects.
Figure 17. Error percentages of (a) heartrate and (b) respiration measurements under different conditions Car Standby, Driving, and Bumpy from 5 subjects.
Preprints 121629 g017
Table 1. FMCW Radar Parameters.
Table 1. FMCW Radar Parameters.
Parameter Symbol Value
Number of ADC samples NTS 64
Number of Chirps N c 1
Chirp Time T c 32 μ s
Transmit Antenna N T X 1
Receiver Antenna N R X 3
Total Bandwidth B 5 GHz
Frame Time T f 75.476 ms
Azimuth Antenna Field of View Θ FOV 70
Disclaimer/Publisher’s Note: The statements, opinions and data contained in all publications are solely those of the individual author(s) and contributor(s) and not of MDPI and/or the editor(s). MDPI and/or the editor(s) disclaim responsibility for any injury to people or property resulting from any ideas, methods, instructions or products referred to in the content.
Copyright: This open access article is published under a Creative Commons CC BY 4.0 license, which permit the free download, distribution, and reuse, provided that the author and preprint are cited in any reuse.
Prerpints.org logo

Preprints.org is a free preprint server supported by MDPI in Basel, Switzerland.

Subscribe

Disclaimer

Terms of Use

Privacy Policy

Privacy Settings

© 2026 MDPI (Basel, Switzerland) unless otherwise stated