Preprint
Article

This version is not peer-reviewed.

Quantum-Relativistic Diffusion in Nano-Transport

Submitted:

12 October 2024

Posted:

15 October 2024

You are already at the latest version

Abstract
In this paper we present the complete technical analysis of the diffusion function D(t) in the hypothesis of quantum-relativistic effects inside a nanostructure. The calculation is carried out through the use of a novel analytical model, known as DS model, that have a wide scale range of applicability and is usable for every oscillating process in Nature. The nanoscale will be considered in the paper, but the presence of a gauge term inside the model allows its application from sub-pico-level to macro-level. In addition to the theoretical framework, the graphical behavior of the function D(t) in some cases is considered and examples of application are performed.
Keywords: 
;  ;  ;  ;  ;  ;  

1. Introduction

Nanomaterials are largely utilized in various applications considering their special properties, which are dependent on size, composition, and structure; the deep understanding of the diffusion process is of high importance for its stability and controlled synthesis. Nanomaterials have peculiar optical, electronic, magnetic, and chemical properties, which significantly differ from that of their bulk counterparts; these particular properties (higher reactivity, higher saturation magnetization, modified electronic band structures, etc.) arise from the fact that they have a large surface-to-volume ratio. Therefore, the investigation of the local structure of nanomaterials is theoretically and technologically highly important. Both a need of new techniques probing the diffusion process for nanoparticles and nano-structures in general, and theoretical efforts in the profound comprehension of transport processes are useful and fruitful for the improve of innovation in science and technology.
X-rays have been widely utilized in imaging and structure determination of materials, in the range from biomolecules to electronics materials, for its penetrating power and short wavelength. With the synchrotron radiation sources and free electron lasers, progress in X-ray science is fast increasing and new imaging techniques are being realized.
The proper understanding of diffusion processes for nanomaterials is important in the synthesis and determination of the material suitability for specific applications, for obtaining desired properties. There are several conventional methods used to study the diffusion in solids (Table I) [1].
At the same time, the theoretical study at level of mathematical modeling is essential, considering always new models which incorporate the characteristics of the previous ones and offer new peculiarities too.
In this paper a generalization of the Drude-Lorentz model for transport processes in nanostructures, performed at classical [2], quantum [3], and relativistic level [4], is generalized to the case of quantum-relativistic effect inside a nanostructure.
Table 1. Conventional experimental methods for direct and indirect diffusion studies in solids [1].
Table 1. Conventional experimental methods for direct and indirect diffusion studies in solids [1].
Direct Methods Indirect Methods
Tracer diffusion
Chemical diffusion
Spreading resistance profiling (SRP)
Rutherford backscattering (RBS)
Nuclear reaction analysis (NRA)
Field gradient NMR (FG-NMR)
Pulsed field-gradient NMR (PFG-NMR)
Mechanical spectroscopy
Magnetic relaxation
Nuclear magnetic relaxation (NMR)
Impedance spectroscopy (IS)
Mössbauer spectroscopy (MBS)
Quasi-elastic neutron scattering (QENS)
The analysis of the function D ( t ) is considered, and this step completes the quantum-relativistic study together to that performed for the velocities correlation function v   ( t )     v   ( 0 ) T [5] and the mean square deviation of position R 2 ( t ) [6].
The paper considers the key elements of this recent generalization of the Drude-Lorentz model (§2), the general expressions of the quantum-relativistic diffusion function D(t) (§3), some examples of application (§4) and ends with the conclusion (§5).

2. A Recent Analytical Generalization of the Drude-Lorentz Model

A recent analytical generalization of the Drude-Lorentz model for transport processes is showing to fit very well with experimental data and presents interesting new predictions of various peculiarities in nanostructures. The model studies the dynamics of processes from sub-pico-level to macro-level; it is based on the complete Fourier transform of the frequency-dependent complex conductivity σ   ( ω ) , as deduced by linear response theory [7,8], through a Cauchy integration and the use of the residue theorem in the complex plane [9].
The new introduced key idea is to perform the integration on the entire time axis (-∞, +∞) and not on the half time axis (0, +∞), as usually considered in literature [10].
The new model has its core in the inversion of the Fourier transform in the complex plane considering the whole time axis:
<   v α   ( 0 )     v β   ( t ) > T   =   k B   T   V π   e 2     +   d ω     Re   σ β α ( ω )   e i   ω   t .
The carrier dynamics is studied considering, in addition to the velocities correlation function v   ( t )     v   ( 0 ) T , also the mean square deviation of position of particles R 2 ( t ) and the diffusion function D(t). R 2 ( t ) is defined as:
R 2 ( t ) = [ R   ( t )     R   ( 0 ) ] 2 .
Eq. (2) is connected to Eq. (1) by the relation:
R 2 ( t ) =   2   0 t d t '   t t '   v   ( t ' )     v   ( 0 ) .
With the residue theorem is therefore possible to obtain the analytical expressions of v   ( t )     v   ( 0 ) T , R 2 ( t ) and of the diffusion function D   ( t ) , defined as [2,3]:
D ( t ) =   1 2 d R 2 ( t ) d t   .

3. General Analytical Expressions of the Quantum-Relativistic Diffusion Function D(t)

About the quantum aspects, we considered a frequency-dependent electric field of the form E   =   E 0   e   i   ω   t in the contest of the time-dependent perturbation theory, with the factor e   E     r as perturbing potential.
Written the matrix elements of the dipole moment of the charge in the direction of the electric field as:
  x j   0   =   Φ j *   e   x   Φ 0   d r ,
defining the oscillator strength of the j-th transition as:
f j   =   2   m 2   j   ω j   x 0   j 2 ,
and keeping into account the relation between permittivity and conductivity of a system, we obtained the relation:
i   σ ( ω ) ω   =   1 4   π   i ω p i 2 ( ω i 2     ω 2 )     i   ω   Γ i     ,
with:
ω p i 2   =   4   π   N   e 2 m   f i
and:
- ω i   =   ( E i     E 0 ) / ;
- E i , E 0 energies of the excited and the ground states respectively;
- Γ i   =   1 / τ i inverse of the decay time of every mode;
- N density of carriers.
Unlike the classical case, the real part of conductivity is calculated at quantum level through the weights f i . The relaxation times can be obtained by τ i   =   1 / Γ i and weights f i . The calculation of N can be exactly obtained by Eq. (8), considering that it holds: i f i   =   1 .
About the relativistic behavior, we considered the possibility of relativistic velocities of carriers inside a nanostructure through the study of the condition of relativistic variation of the mass along the x-axis on which a nanostructure is placed, in the fixed ground reference frame. About the forces acting on the carrier (electrons, but this is not restrictive), we considered the following outer forces:
- a passive elastic-type force of the form F e l   =   K   x ;
- a passive friction-type force of the form F f r   =   λ   x ˙ , with λ   =   m p a r t / τ ;
- the force deriving by an oscillating electric field E   =   e   E 0   e   i   ω   t .
Performing the calculation as for the velocities correlation function v   ( t )     v   ( 0 ) T [5] and the mean square deviation of position R 2 ( t ) [6], the quantum-relativistic analytical expressions of D(t) are as follows:
Q-R1) Case Δ i   R Q     R   >   0
D   ( t )   =   2   k B   T m 0   1 γ   i f i   τ i α i   R Q     R   exp     1 2   ρ   t τ i   sin   α i   R Q     R 2   ρ   t τ i
with:
α i   R Q     R   =   4   γ   ω i 2   τ i 2     1     + ( positive real numbers ) ;
Q-R2) Case Δ i   I Q     R   <   0
D   ( t )   =   k B   T m 0     1 γ   i f i   τ i α i   I Q     R   exp     ( 1     α i   I Q     R ) 2   ρ   t τ i     exp     ( 1   +   α i   I Q     R ) 2   ρ   t τ i
with:
α i   I Q     R   =   1     4   γ   ω i 2   τ i 2   (   0 ,   1   )    
It holds: α i   I Q     R   =   Δ i   I Q     R   , α i   R Q     R   =   Δ i   R Q     R   , γ   =   1   / 1     β 2 , β   =   v / c , ρ   =   1   +   β 2   γ 2   =   γ 2 [5,6].

4. Examples of Application

As first example of application we considered relativistic velocities of electrons in ZnO nanowires [11,12]. Changing the nanomaterial, we must consider the right effective mass and relaxation time; for non-relativistic velocities, the electron rest mass m0 and the effective mass meff are practically the same. The used data in Eqs (9,10) are resumed in Table 2.
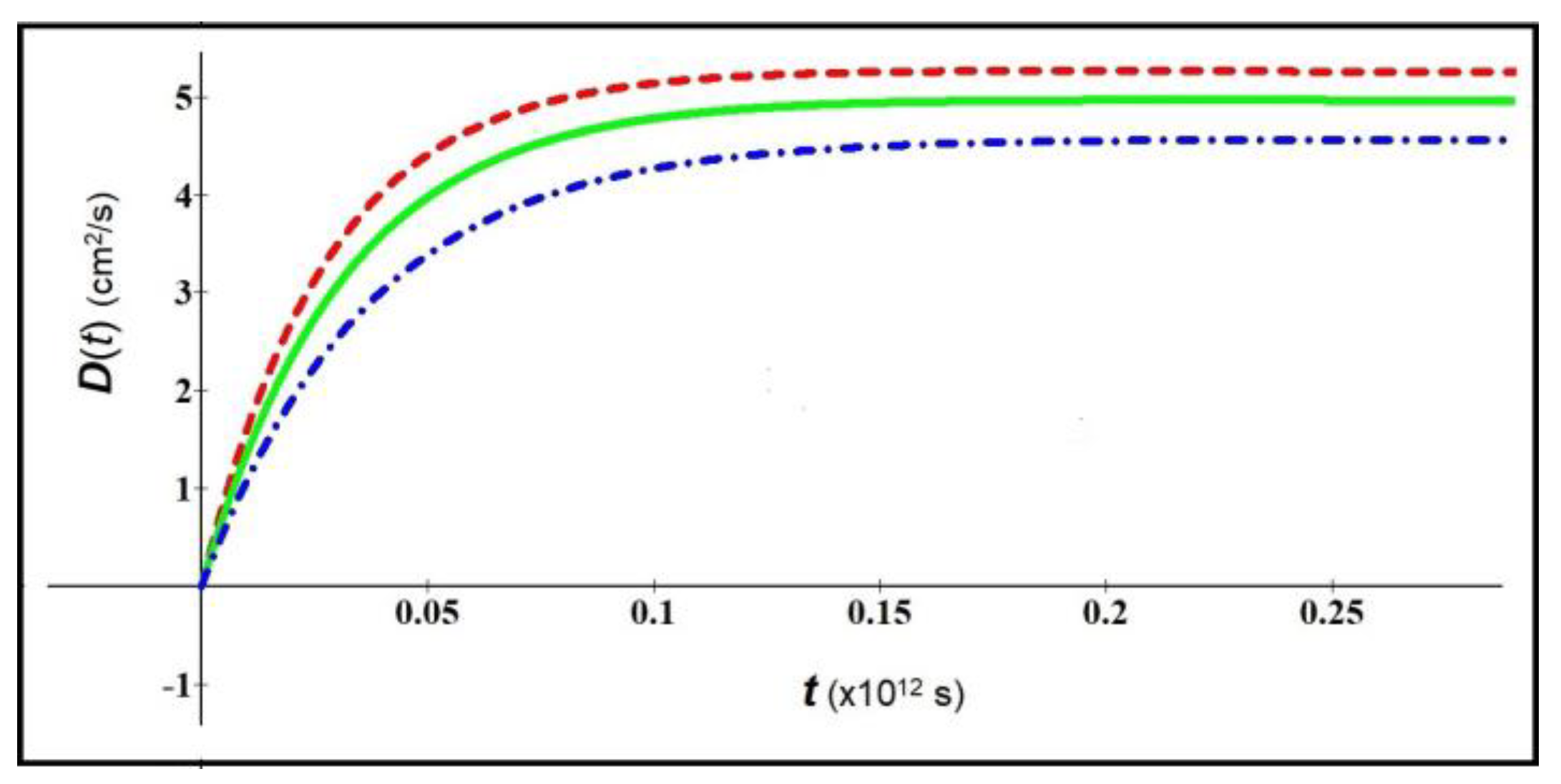
Figure 1 represents the behavior of D   ( t ) vs time for electrons inside a ZnO nanowire [11,12], considering the parameters: T   =   300   K , τ 1   =   0.28     10   13   s , v 1 , ω 1 (red dashed line), v 2 , ω 1 (green solid line), and v 3 , ω 1 (blue dot-dashed line).
With the increase of velocity, we note a decrease in diffusion, as expected considering that the mass increases with v (see Eqs (9,10)).
In Figure 2 we consider ZnO nanowires using the same parameters of Figure 1, with exception of the value of ω   =   ω 2 . We note that, in these conditions, the D function decreases more rapidly.
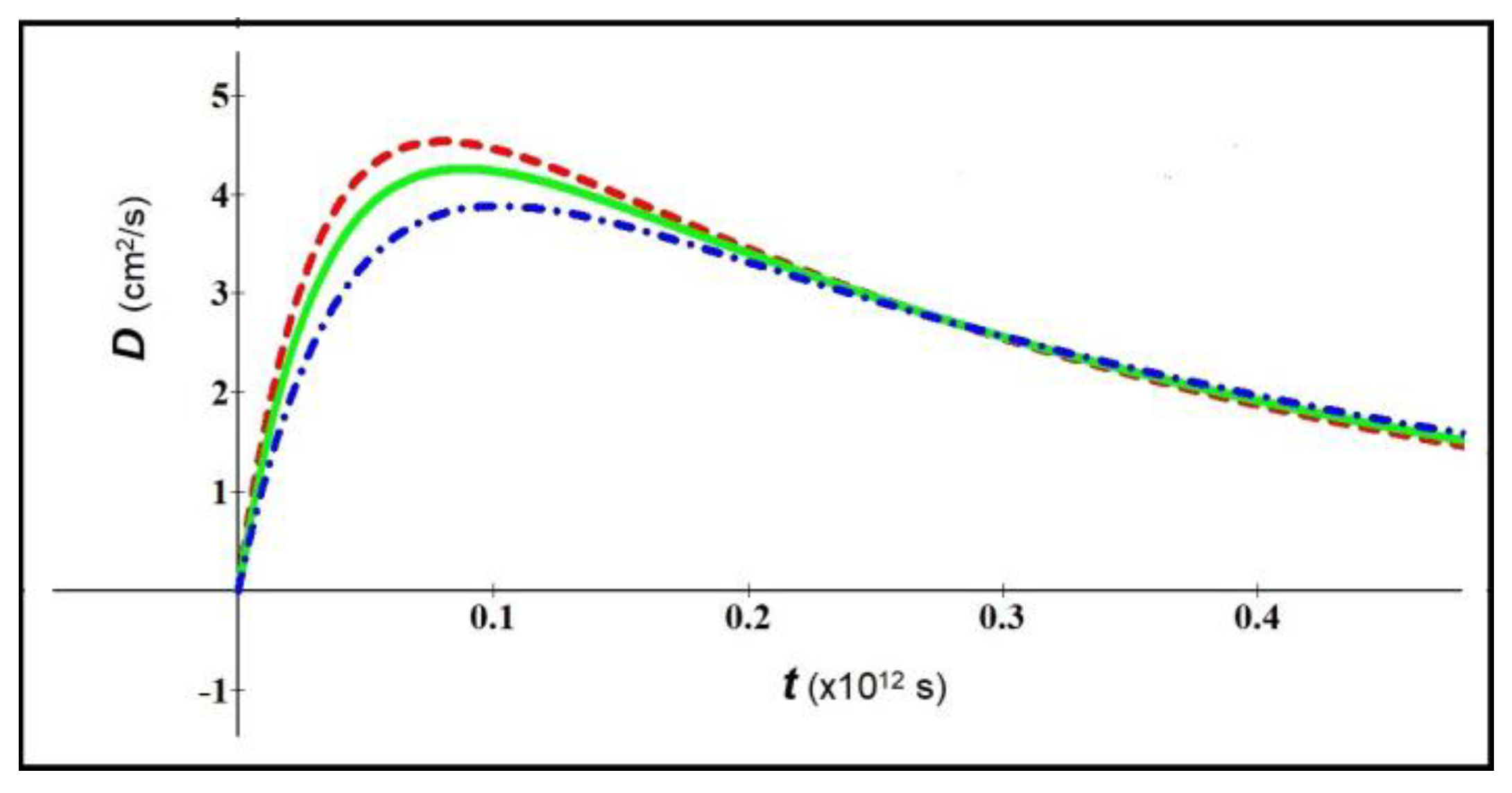
In Figure 3 we consider the parameters of Figure 1, with exception of the value of ω   =   ω 3 .
In this last case, the chosen parameters bring to the condition Δ   >   0 , therefore to Eq. 9; the oscillatory damped behavior is well visible for long times (Figure 4).
The obtained results can explain the ultra-short times and high mobilities, with which charges diffuse in mesoporous systems, of high interest in photocatalitic and photovoltaic systems. The short times of few τ show easy charge diffusion inside the nanoparticles. The undescribed experimental ultrashort injection of charge carriers, particularly in Grätzel’s cells, can be linked to this phenomenon [13]. Deviations by the Drude model become powerful in nanostructured materials, such as photoexcited TiO2 nanoparticles, ZnO films, InP nanoparticles, semiconducting polymer molecules and CNTs [14,15,16,17,18,19].
About the quantum-relativistic case, as examples of application, we considered experimental data by literature, from which three states were extracted through a personal elaboration (Table 3). Data are related to single-walled carbon nanotube films at the temperature of 300 K [20,21].
The corresponding values of α I     R , calculated for each considered velocity, are resumed in Table 4.
Figure 5, Figure 6 and Figure 7 show the behavior of each single weight fi (i = 1,2,3) considering v = v1, in Figure 8 the graph represents their sum. In this last one, the presence of both α I and α R implies that the D function is a mix of Eq. (9) and Eq. (10), with consequent damped oscillating increased behavior.
Figure 9 shows the general quantum-relativistic case, i.e. considering the quantum-relativistic behavior related to the presence of all considered states, with variation of velocity.
From the examples we understand that it is possible to perform a general fine-tuned quantum-relativistic study of the charge transport in nanostructures.
The assumption of quantum-relativistic aspects inside a nanostructure is a desirable feature; quantum processes with ultra-high velocities of carriers are concerning both the current science and technology and the future of theoretical and phenomenological (nano)physics.
What discussed here can be considered as the starting point of an investigation pathway linked to physical assumptions, i.e. how scattering, ballistic transport, influence of temperature [22], size effect, etc., can impact on the studied phenomenon. This research presents a challenge for phenomenologists, whose insights and inspirations could usefully support this theoretical effort, through, but not only, TRTS [23,24,25,26], Photon-Induced Near-Field Electron Microscopy [27,28] and Graphene based Plasmonics [29,30,31].

5. Conclusion

In this work it has been presented a new theoretical result: the complete analytical form of the function D   ( t ) considering the possibility of quantum-relativistic effects inside a nanostructure. We have generalized a new analytical model, appeared in classical, quantum and relativistic form [2,3,4], and tested during last years with fine accordance with experimental existing data. Eqs (9,10) become those of the classical case, when the carriers velocity is classic and we do not consider quantum effects. The introduced formulae for the diffusion function D   ( t ) complete the quantum-relativistic form of this model, said DS model [5,6].
The considered extension is mathematically accurate and fine, because of the analytical approach, which overcome time-consuming numerical approaches. It is able to give also new interesting information, potentially useful in the design phase of new nano-bio-devices with dedicated and specific features. These new information may be appropriately tested through current experimental techniques, like TRTS, PINEM, Graphene based Plasmonics.
Considering all parameters influencing the system at chemical, physical, structural and model-intrinsic level, as the system’s temperature T, the parameters α i   I Q     R and α i   R Q     R , the values of τ i and ω i , possible variations of the effective mass m * [32], variations of the chiral vector, the quantum weights f i of modes, the carrier density N, the velocity of carriers, it is possible to perform a precise tuning of the three fundamental functions related to the dynamics of charge transport, i.e. v   ( t )     v   ( 0 ) T , R 2 ( t ) , and D   ( t ) . The model works adequately on the theoretical analysis of phenomena of ultrafast carrier dynamics [33,34,35].

Funding

This research received no external funding.

Institutional Review Board Statement

Not applicable.

Informed Consent Statement

Not applicable.

Data Availability Statement

Used data have been recovered by scientific literature (see References).

Acknowledgments

The author warmly thanks Jian Liu of the Editorial Board Member of the international journal “Foundations” for his invitation to submit a paper.

Conflicts of Interest

The author declare no conflicts of interest.

References

  1. Mehrer, H. Diffusion in Solids, Fundamentals, Methods, Materials, Diffusion-Controlled Processes, Springer Series in Solid-State Sciences (vol. 155), Springer: Berlin, Heidelberg, Germany, 2009.
  2. Di Sia, P. An Analytical Transport Model for Nanomaterials, Journal of Computational and Theoretical Nanoscience 2011, 8, 84-89. [CrossRef]
  3. Di Sia, P. An Analytical Transport Model for Nanomaterials: The Quantum Version, Journal of Computational and Theoretical Nanoscience 2012, 9, 31-34. [CrossRef]
  4. Di Sia, P. Relativistic nano-transport and artificial neural networks: details by a new analytical model, International Journal of Artificial Intelligence and Mechatronics (IJAIM) 2014, 3(3), 96-100. https://www.ijaim.org/vol-issues.html?view=publication&task=show&id=95.
  5. Di Sia, P. Quantum-Relativistic Velocities in Nano-Transport, Applied Surface Science 2018, 446, 187-190. [CrossRef]
  6. Di Sia, P. Symmetry and the Nanoscale: Advances in Analytical Modeling in the Perspective of Holistic Unification, Symmetry (MDPI) 2013, 15(8), 1611. [CrossRef]
  7. Phillips, P. Advanced Solid State Physics, Cambridge University Press: Cambridge, UK, 2012.
  8. Dyson, F. Adavanced Quantum Mechanics, World Scientific Publishing: Singapore, 2007.
  9. Rudin, W. Real and Complex Analysis, McGraw-Hill Higher Education, New York, US, 3rd ed., 1987.
  10. Ventura, P.J.; Costa, L.C.; Carmo, M.C.; Roman, H.E.; Pavesi, L. AC Conductivity of Porous Silicon from Monte Carlo Simulations, Journal of Porous Materials 2000, 7, 107-110. [CrossRef]
  11. Baxter, J.B.; Schmuttenmaer, C.A. Conductivity of ZnO Nanowires, Nanoparticles, and Thin Films Using Time-Resolved Terahertz Spectroscopy, Journal of Physical Chemistry B 2006, 110(50), 25229-25239. [CrossRef]
  12. Baxter, J.B.; Schmuttenmaer, C.A. Carrier Dynamics in Bulk ZnO. I. Intrinsic Conductivity Measured by Terahertz Time Domain Spectroscopy, Physical Review B 2009, 80, 235205. [CrossRef]
  13. Grätzel, M. Dye-sensitized solar cells, Journal of Photochemistry and Photobiology C: Photochemistry Reviews 2003, 4(2), 31, 145-153. [CrossRef]
  14. Chen, X.; Lou, Y.; Dayal, S.; Qiu, X.; Krolicki, R.; Burda, C. Zhao, C.; Becker, J. Doped semiconductor nanomaterials, Journal of Nanoscience and Nanotechnology 2005, 5(9), 1408-1420. [CrossRef]
  15. Lin, A.; Shapiro, J.N.; Senanayake, P.N.; Scofield, A.C.; Wong, P.-S.; Liang B.; Huffaker, D.L. Extracting transport parameters in GaAs nanopillars grown by selective-area epitaxy, Nanotechnology 2012, 23(10), 105701. [CrossRef]
  16. Parkinson, P.; Lloyd-Hughes, J.; Gao, Q.; Tan, H.H.; Jagadish, C.; Johnston, M.B.; Herz, L.M. Transient Terahertz Conductivity of GaAs Nanowires, Nano Letters 2007, 7(7), 2162-2165. [CrossRef]
  17. Parkinson, P.; Joyce, H.J.; Gao, Q.; Tan, H.H.; Zhang, X.; Zou, J.; Jagadish, C.; Herz, L.M.; Johnston, M. B. Carrier Lifetime and Mobility Enhancement in Nearly Defect-Free Core−Shell Nanowires Measured Using Time-Resolved Terahertz Spectroscopy, Nano Letters 2009, 9(9), 3349-3353. [CrossRef]
  18. Altan, H.; Huang, F.; Federici, J.F.; Lan, A.; Grebel, H. Optical and electronic characteristics of single walled carbon nanotubes and silicon nanoclusters by tetrahertz spectroscopy, Journal of Applied Physics 2004, 96, 6685-6689. [CrossRef]
  19. Kwon, Y.; Kim, S. Indium phosphide magic-sized clusters: chemistry and applications. NPG Asia Materials 2021, 13, 37. [CrossRef]
  20. El Shabrawy, K.; Maharatna, K.; Bagnall, D.; Al-Hashimi, B.M. Modeling SWCNT Bandgap and Effective Mass Variation Using a Monte Carlo Approach, IEEE Transactions on Nanotechnology 2010, 9(2), 184-193. [CrossRef]
  21. Borondics, F.; Kamarás, K.; Nikolou, M.; Tanner, D.B.; Chen, Z.H.; Rinzler, A.G. Charge dynamics in transparent single-walled carbon nanotube films from optical transmission measurements, Physical Review B 2006, 74, 045431-045436. [CrossRef]
  22. Di Sia, P. About the Influence of Temperature in Single-Walled Carbon Nanotubes: Details from a new Drude-Lorentz-like Model, Applied Surface Science 2013, 275, 384-388. [CrossRef]
  23. Schmuttenmaer, C.A. Using Terahertz Spectroscopy to Study Nanomaterials, Terahertz Science and Technology 2008, 1(1), 1-8. [CrossRef]
  24. Dexheimer, S.L. (ed.). Terahertz Spectroscopy: Principles and Applications, CRC Press Taylor & Francis Group LLC, Boca Raton, US, 2008.
  25. Beard, M.C.; Turner, G.M.; Schmuttenmaer, C.A. Terahertz spectroscopy, Journal of Physical Chemistry B 2002, 106(29), 7146-7159. [CrossRef]
  26. Luferau, A.; Obst, M.; Winnerl, S.; Pashkin, A.; Kehr, S.C.; Dimakis, E.; Kaps, F.G.; Hatem, O.; Mavridou, K.; Eng, L.M.; Helm, M. Hot-Electron Dynamics in a Semiconductor Nanowire under Intense THz Excitation. ACS Photonics 2024, 11(8), 3123-3130. [CrossRef]
  27. Park, S.T.; Lin, M.; Zewail, A.H. Photon-induced near-field electron microscopy (PINEM): theoretical and experimental, New Journal of Physics 2010, 12, 123028. [CrossRef]
  28. Park, S.T.; Zewail, A.H. Relativistic Effects in Photon-Induced Near Field Electron Microscopy, Journal of Physical Chemistry A 2012, 116(46), 11128-11133. [CrossRef]
  29. Grigorenko, A.N.; Polini, M.; Novoselov, K.S. Graphene plasmonics, Nature Photonics 2012, 6, 749-758. [CrossRef]
  30. Koppens, F.H.L.; Chang, D.E.; García de Abajo, F.J. Graphene Plasmonics: A Platform for Strong Light-Matter Interactions, Nano Letters 2011, 11(8), 3370-3377. [CrossRef]
  31. Huang, S.; Song, C.; Zhang, G.; Yan, H. Graphene plasmonics: Physics and potential applications, Nanophotonics 2017, 6(6), 1191-1204. [CrossRef]
  32. Marulanda, J.M.; Srivastava, A. Carrier Density and Effective Mass Calculation for carbon Nanotubes, Physica Status Solidi b 2008, 245(11), 2558-2562. [CrossRef]
  33. Kovalev, S.; Green, B.; Golz, T.; Maehrlein, S.; Stojanovic, N.; Fisher, A.S.; Kampfrath, T.; Gensch, M. Probing ultra-fast processes with high dynamic range at 4th-generation light sources: Arrival time and intensity binning at unprecedented repetition rates, Structural Dynamics 2017, 4, 024301-(1-7). [CrossRef]
  34. Bennett, K.; Rouxel, J.R.; Mukamel, S. Linear and nonlinear frequency- and time-domain spectroscopy with multiple frequency combs, Journal of Chemical Physics 2017, 147, 094304. [CrossRef]
  35. Hafez, H.A.; Chai, X.; Sekine, Y.; Takamura, M.; Oguri, K.; Al-Naib, I.; Dignam, M.M.; Hibino, H.; Ozaki, T. Effects of environmental conditions on the ultrafast carrier dynamics in graphene revealed by terahertz spectroscopy, Physical Review B 2017, 95, 165428. [CrossRef]
Figure 1. D   ( t ) vs t for ZnO nanowires; v 1 , ω 1 : red dashed line; v 2 , ω 1 : green solid line; v 3 , ω 1 : blue dot-dashed line.
Figure 1. D   ( t ) vs t for ZnO nanowires; v 1 , ω 1 : red dashed line; v 2 , ω 1 : green solid line; v 3 , ω 1 : blue dot-dashed line.
Preprints 121026 g001
Figure 2. D   ( t ) vs t for ZnO nanowires; v 1 , ω 2 : red dashed line; v 2 , ω 2 : green solid line; v 3 , ω 2 : blue dot-dashed line.
Figure 2. D   ( t ) vs t for ZnO nanowires; v 1 , ω 2 : red dashed line; v 2 , ω 2 : green solid line; v 3 , ω 2 : blue dot-dashed line.
Preprints 121026 g002
Figure 3. D   ( t ) vs t for ZnO nanowires; v 1 , ω 3 : red dashed line; v 2 , ω 3 : green solid line; v 3 , ω 3 : blue dot-dashed line.
Figure 3. D   ( t ) vs t for ZnO nanowires; v 1 , ω 3 : red dashed line; v 2 , ω 3 : green solid line; v 3 , ω 3 : blue dot-dashed line.
Preprints 121026 g003
Figure 4. Figure 3 for long times.
Figure 4. Figure 3 for long times.
Preprints 121026 g004
Figure 5. D   ( t ) vs t for f1 with v = v1 (Table 3 and Table 4).
Figure 5. D   ( t ) vs t for f1 with v = v1 (Table 3 and Table 4).
Preprints 121026 g005
Figure 6. D   ( t ) vs t for f2 with v = v1 (Table 3 and Table 4).
Figure 6. D   ( t ) vs t for f2 with v = v1 (Table 3 and Table 4).
Preprints 121026 g006
Figure 7. D   ( t ) vs t for f3 with v = v1 (Table 3 and Table 4).
Figure 7. D   ( t ) vs t for f3 with v = v1 (Table 3 and Table 4).
Preprints 121026 g007
Figure 8. D   ( t ) vs t for the sum of the previous three states (Table 3 and Table 4).
Figure 8. D   ( t ) vs t for the sum of the previous three states (Table 3 and Table 4).
Preprints 121026 g008
Figure 9. D   ( t ) vs t for the general situation given by the sum of the three states (Table 3 and Table 4); v   =   10 7   c m / s (blue solid line), v   =   10 10   c m / s (red dashed line) and v   =   2.5     10 10   c m / s (green dot-dashed line)).
Figure 9. D   ( t ) vs t for the general situation given by the sum of the three states (Table 3 and Table 4); v   =   10 7   c m / s (blue solid line), v   =   10 10   c m / s (red dashed line) and v   =   2.5     10 10   c m / s (green dot-dashed line)).
Preprints 121026 g009
Table 2. Data used in Eqs (9,10); ω 1   =   10 12   s   1 , ω 2   =   10 13   s   1 , ω 3   =   10 14   s   1 , T   =   300   K .
Table 2. Data used in Eqs (9,10); ω 1   =   10 12   s   1 , ω 2   =   10 13   s   1 , ω 3   =   10 14   s   1 , T   =   300   K .
v     ( c m / s ) β 2 1 / ρ
v 1   = 107 0.11 × 10-6 0.998
v 2   = 1010 0.11 0.888
v 3   = 1.5 × 1010 0.25 0.750
γ τ   ( s )
[11,12]
ω   ( s   1 )
(fixed)
1.001 0.28 × 10-13 ω 1   ,     ω 2   ,   ω 3
1.061 0.28 × 10-13 ω 1   ,     ω 2   ,   ω 3
1.155 0.28 × 10-13 ω 1   ,     ω 2   ,   ω 3
Table 3. Values of parameters for each considered state.
Table 3. Values of parameters for each considered state.
States ωi (x 10 -12 Hz) τi (x 10 12 Hz) fi
1 6.59 0.0042 0.312
2 1166.01 0.0037 0.176
3 2000.05 0.0014 0.512
Table 4. Values of each considered state.
Table 4. Values of each considered state.
States αI-R (v1) αI-R (v2) αI-R (v3)
1 0.998 0.998 0.997
2 8.57 8.83 11.52
3 5.51 5.68 7.44
Disclaimer/Publisher’s Note: The statements, opinions and data contained in all publications are solely those of the individual author(s) and contributor(s) and not of MDPI and/or the editor(s). MDPI and/or the editor(s) disclaim responsibility for any injury to people or property resulting from any ideas, methods, instructions or products referred to in the content.
Copyright: This open access article is published under a Creative Commons CC BY 4.0 license, which permit the free download, distribution, and reuse, provided that the author and preprint are cited in any reuse.
Prerpints.org logo

Preprints.org is a free preprint server supported by MDPI in Basel, Switzerland.

Subscribe

Disclaimer

Terms of Use

Privacy Policy

Privacy Settings

© 2026 MDPI (Basel, Switzerland) unless otherwise stated