Submitted:
11 October 2024
Posted:
15 October 2024
You are already at the latest version
Abstract
Keywords:
1. Introduction
2. Materials and Methods
2.1. Viruses and Cells
2.2. Phylogenetic and Evolutionary Analyses
2.3. Animal Experiments
2.4. Clinical Evaluation and Sample Collection
2.5. Postmortem Sample Collection
2.6. Viral RNA Detection
2.7. Detection of Viral Antigen
2.8. Virus Isolation
2.9. Serum Neutralization Assay
2.10. Sequencing
3. Results
3.1. Genomic Analysis
3.2. Clinical Assessment
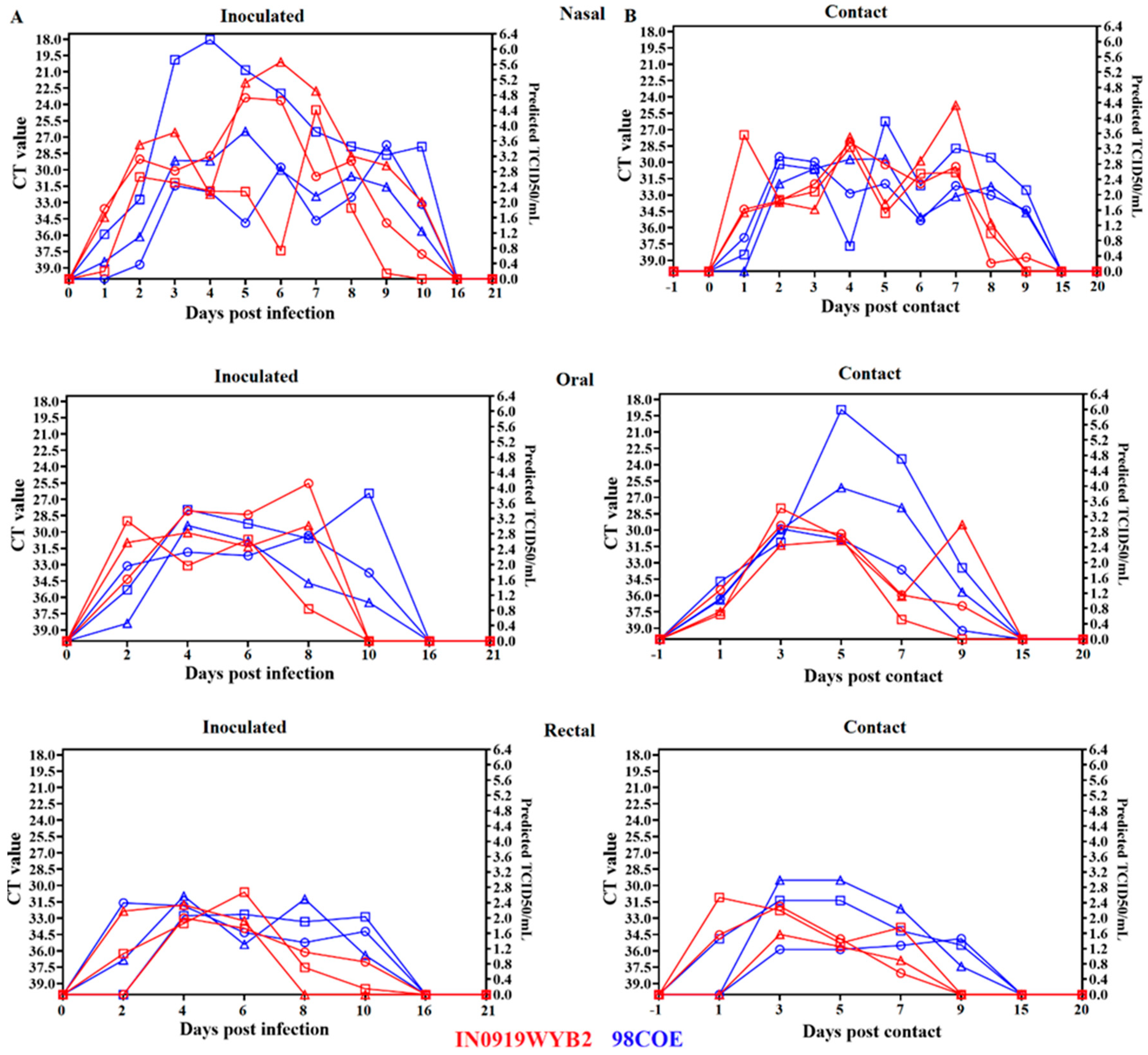
3.3. Viral Shedding
3.4. Detection of Infectious Virus
3.5. Postmortem Sample Evaluation
3.6. Neutralizing Antibody Response
3.7. Evolutionary Dynamics of 98COE and IN0919WYB2 during Infection in Pigs
4. Discussion
Supplementary Materials
Author Contributions
Funding
Institutional Review Board Statement
Data Availability Statement
Acknowledgments
Conflicts of Interest
References
- Rodriguez, L.L., 2002. Emergence and re-emergence of vesicular stomatitis in the United States. Virus Res 85, 211-219. [CrossRef]
- Bertram, M.R., Rodgers, C., Reed, K., Velazquez-Salinas, L., Pelzel-McCluskey, A., Mayo, C., Rodriguez, L., 2023. Vesicular stomatitis Indiana virus near-full-length genome sequences reveal low genetic diversity during the 2019 outbreak in Colorado, USA. Front Vet Sci 10, 1110483. [CrossRef]
- Pelzel-McCluskey, A., Christensen, B., Humphreys, J., Bertram, M., Keener, R., Ewing, R., Cohnstaedt, L.W., Tell, R., Peters, D.P.C., Rodriguez, L., 2021. Review of Vesicular Stomatitis in the United States with Focus on 2019 and 2020 Outbreaks. Pathogens 10. [CrossRef]
- Rainwater-Lovett, K., Pauszek, S.J., Kelley, W.N., Rodriguez, L.L., 2007. Molecular epidemiology of vesicular stomatitis New Jersey virus from the 2004-2005 US outbreak indicates a common origin with Mexican strains. J Gen Virol 88, 2042-2051. [CrossRef]
- Rodriguez, L.L., Bunch, T.A., Fraire, M., Llewellyn, Z.N., 2000. Re-emergence of vesicular stomatitis in the western United States is associated with distinct viral genetic lineages. Virology 271, 171-181. [CrossRef]
- Velazquez-Salinas, L., Pauszek, S.J., Zarate, S., Basurto-Alcantara, F.J., Verdugo-Rodriguez, A., Perez, A.M., Rodriguez, L.L., 2014. Phylogeographic characteristics of vesicular stomatitis New Jersey viruses circulating in Mexico from 2005 to 2011 and their relationship to epidemics in the United States. Virology 449, 17-24. [CrossRef]
- Velazquez-Salinas, L., Zarate, S., Eschbaumer, M., Pereira Lobo, F., Gladue, D.P., Arzt, J., Novella, I.S., Rodriguez, L.L., 2016. Selective Factors Associated with the Evolution of Codon Usage in Natural Populations of Arboviruses. PLoS One 11, e0159943. [CrossRef]
- Dietzgen, R.G., 2012. Morphology. Genome Organization, Transcription and Replication of Rhabdoviruses, in: Kuzmin, R.G.D.a.I.V. (Ed.), Rhabdoviruses, pp. 5-11.
- Spiropoulou, C.F., Nichol, S.T., 1993. A small highly basic protein is encoded in overlapping frame within the P gene of vesicular stomatitis virus. J Virol 67, 3103-3110. [CrossRef]
- Jayakar, H.R., Whitt, M.A., 2002. Identification of two additional translation products from the matrix (M) gene that contribute to vesicular stomatitis virus cytopathology. J Virol 76, 8011-8018. [CrossRef]
- Stallknecht, D.E., Greer, J.B., Murphy, M.D., Mead, D.G., Howerth, E.W., 2004. Effect of strain and serotype of vesicular stomatitis virus on viral shedding, vesicular lesion development, and contact transmission in pigs. Am J Vet Res 65, 1233-1239. [CrossRef]
- Morozov, I., Davis, A.S., Ellsworth, S., Trujillo, J.D., McDowell, C., Shivanna, V., Dasen, E.J., Nichols, R., Martin, B.K., Monath, T.P., Richt, J.A., 2019. Comparative evaluation of pathogenicity of three isolates of vesicular stomatitis virus (Indiana serotype) in pigs. J Gen Virol 100, 1478-1490. [CrossRef]
- Humphreys, J.M., Shults, P.T., Velazquez-Salinas, L., Bertram, M.R., Pelzel-McCluskey, A.M., Pauszek, S.J., Peters, D.P.C., Rodriguez, L.L., 2024. Interrogating Genomes and Geography to Unravel Multiyear Vesicular Stomatitis Epizootics. Viruses 16, 1118. [CrossRef]
- McCluskey, B.J., Hurd, H.S., Mumford, E.L., 1999. Review of the 1997 outbreak of vesicular stomatitis in the western United States. J Am Vet Med Assoc 215, 1259-1262. [CrossRef]
- Zarate, S., Bertram, M.R., Rodgers, C., Reed, K., Pelzel-McCluskey, A., Gomez-Romero, N., Rodriguez, L.L., Mayo, C., Mire, C., Pond, S.L.K., Velazquez-Salinas, L., 2024. Phylogenomic Signatures of a Lineage of Vesicular Stomatitis Indiana Virus Circulating During the 2019–2020 Epidemic in the United States. Preprints 2024, 2024100585. [CrossRef]
- Velazquez-Salinas, L., Pauszek, S.J., Stenfeldt, C., O’Hearn, E.S., Pacheco, J.M., Borca, M.V., Verdugo-Rodriguez, A., Arzt, J., Rodriguez, L.L., 2018. Increased Virulence of an Epidemic Strain of Vesicular Stomatitis Virus Is Associated With Interference of the Innate Response in Pigs. Front Microbiol 9, 1891. [CrossRef]
- Rozo-Lopez, P., Drolet, B.S., Londono-Renteria, B., 2018. Vesicular Stomatitis Virus Transmission: A Comparison of Incriminated Vectors. Insects 9. [CrossRef]
- Mead, D.G., Gray, E.W., Noblet, R., Murphy, M.D., Howerth, E.W., Stallknecht, D.E., 2004. Biological transmission of vesicular stomatitis virus (New Jersey serotype) by Simulium vittatum (Diptera: Simuliidae) to domestic swine (Sus scrofa). J Med Entomol 41, 78-82. [CrossRef]
- Smith, P.F., Howerth, E.W., Carter, D., Gray, E.W., Noblet, R., Mead, D.G., 2009. Mechanical transmission of vesicular stomatitis New Jersey virus by Simulium vittatum (Diptera: Simuliidae) to domestic swine (Sus scrofa). J Med Entomol 46, 1537-1540. [CrossRef]
- Smith, P.F., Howerth, E.W., Carter, D., Gray, E.W., Noblet, R., Smoliga, G., Rodriguez, L.L., Mead, D.G., 2011. Domestic cattle as a non-conventional amplifying host of vesicular stomatitis New Jersey virus. Med Vet Entomol 25, 184-191. [CrossRef]
- Velazquez-Salinas, L., Naik, S., Pauszek, S.J., Peng, K.W., Russell, S.J., Rodriguez, L.L., 2017. Oncolytic Recombinant Vesicular Stomatitis Virus (VSV) Is Nonpathogenic and Nontransmissible in Pigs, a Natural Host of VSV. Hum Gene Ther Clin Dev 28, 108-115. [CrossRef]
- Velazquez-Salinas, L., Pauszek, S.J., Holinka, L.G., Gladue, D.P., Rekant, S.I., Bishop, E.A., Stenfeldt, C., Verdugo-Rodriguez, A., Borca, M.V., Arzt, J., Rodriguez, L.L., 2020. A Single Amino Acid Substitution in the Matrix Protein (M51R) of Vesicular Stomatitis New Jersey Virus Impairs Replication in Cultured Porcine Macrophages and Results in Significant Attenuation in Pigs. Front Microbiol 11, 1123. [CrossRef]
- Kumar, S., Stecher, G., Li, M., Knyaz, C., Tamura, K., 2018. MEGA X: Molecular Evolutionary Genetics Analysis across Computing Platforms. Mol Biol Evol 35, 1547-1549. [CrossRef]
- Simmonds, P., 2012. SSE: a nucleotide and amino acid sequence analysis platform. BMC Res Notes 5, 50. [CrossRef]
- Hole, K., Nfon, C., Rodriguez, L.L., Velazquez-Salinas, L., 2021. A Multiplex Real-Time Reverse Transcription Polymerase Chain Reaction Assay With Enhanced Capacity to Detect Vesicular Stomatitis Viral Lineages of Central American Origin. Front Vet Sci 8, 783198. [CrossRef]
- Moniwa, M., Clavijo, A., Li, M., Collignon, B., Kitching, P.R., 2007. Performance of a foot-and-mouth disease virus reverse transcription-polymerase chain reaction with amplification controls between three real-time instruments. J Vet Diagn Invest 19, 9-20. [CrossRef]
- Hole K, Velazquez-Salinas L, Clavijo A. Improvement and optimization of a multiplex real-time reverse transcription polymerase chain reaction assay for the detection and typing of Vesicular stomatitis virus. J Vet Diagn Invest. 2010 May;22(3):428-33. [CrossRef]
- Hole, K., Clavijo, A., Pineda, L.A., 2006. Detection and serotype-specific differentiation of vesicular stomatitis virus using a multiplex, real-time, reverse transcription-polymerase chain reaction assay. J Vet Diagn Invest 18, 139-146. [CrossRef]
- Kruczkiewicz, P. CFIA-NCFAD/nf-villumina. (2023).
- Di Tommaso, P., Chatzou, M., Floden, E.W., Barja, P.P., Palumbo, E., Notredame, C., 2017. Nextflow enables reproducible computational workflows. Nat Biotechnol 35, 316-319. [CrossRef]
- Bushnell B. 2022. BBmap. SourceForge. Available from: https://sourceforge.net/projects/bbmap.
- Chen, S., Zhou, Y., Chen, Y., Gu, J., 2018. fastp: an ultra-fast all-in-one FASTQ preprocessor. Bioinformatics 34, i884-i890. [CrossRef]
- Wick, R.R., Judd, L.M., Gorrie, C.L., Holt, K.E., 2017. Unicycler: Resolving bacterial genome assemblies from short and long sequencing reads. PLoS Comput Biol 13, e1005595. [CrossRef]
- Seemann T, Edwards R, Goncalves da Silva A, Kiil K. 2020. Shovill v1.1.0. https://github.com/tseemann/shovill.
- Li, D., Luo, R., Liu, C.M., Leung, C.M., Ting, H.F., Sadakane, K., Yamashita, H., Lam, T.W., 2016. MEGAHIT v1.0: A fast and scalable metagenome assembler driven by advanced methodologies and community practices. Methods 102, 3-11. [CrossRef]
- Altschul, S.F., Gish, W., Miller, W., Myers, E.W., Lipman, D.J., 1990. Basic local alignment search tool. J Mol Biol 215, 403-410. [CrossRef]
- Kearse, M., Moir, R., Wilson, A., Stones-Havas, S., Cheung, M., Sturrock, S., Buxton, S., Cooper, A., Markowitz, S., Duran, C., Thierer, T., Ashton, B., Meintjes, P., Drummond, A., 2012. Geneious Basic: an integrated and extendable desktop software platform for the organization and analysis of sequence data. Bioinformatics 28, 1647-1649. [CrossRef]
- Li, H., 2018. Minimap2: pairwise alignment for nucleotide sequences. Bioinformatics 34, 3094-3100. [CrossRef]
- Katoh, K., Standley, D.M., 2013. MAFFT multiple sequence alignment software version 7: improvements in performance and usability. Mol Biol Evol 30, 772-780. [CrossRef]
- Stillman EA, Whitt MA. The length and sequence composition of vesicular stomatitis virus intergenic regions affect mRNA levels and the site of transcript initiation. J Virol. 1998 Jul;72(7):5565-72. [CrossRef]
- Weaver, S.C., Ferro, C., Barrera, R., Boshell, J., Navarro, J.-C., 2004. VENEZUELAN EQUINE ENCEPHALITIS*. Annual Review of Entomology 49, 141-174. [CrossRef]
- Smith, P.F., Howerth, E.W., Carter, D., Gray, E.W., Noblet, R., Berghaus, R.D., Stallknecht, D.E., Mead, D.G., 2012. Host predilection and transmissibility of vesicular stomatitis New Jersey virus strains in domestic cattle (Bos taurus) and swine (Sus scrofa). BMC Vet Res 8, 183. [CrossRef]
- Rodriguez, L.L., Pauszek, S.J., Bunch, T.A., Schumann, K.R., 2002. Full-length genome analysis of natural isolates of vesicular stomatitis virus (Indiana 1 serotype) from North, Central and South America. J Gen Virol 83, 2475-2483. [CrossRef]
- Flanagan, E.B., Zamparo, J.M., Ball, L.A., Rodriguez, L.L., Wertz, G.W., 2001. Rearrangement of the genes of vesicular stomatitis virus eliminates clinical disease in the natural host: new strategy for vaccine development. J Virol 75, 6107-6114. [CrossRef]
- Martinez, I., Rodriguez, L.L., Jimenez, C., Pauszek, S.J., Wertz, G.W., 2003. Vesicular stomatitis virus glycoprotein is a determinant of pathogenesis in swine, a natural host. J Virol 77, 8039-8047. [CrossRef]
- Weidmann, M., Sall, A.A., Manuguerra, J.C., Koivogui, L., Adjami, A., Traore, F.F., Hedlund, K.O., Lindegren, G., Mirazimi, A., 2011. Quantitative analysis of particles, genomes and infectious particles in supernatants of haemorrhagic fever virus cell cultures. Virol J 8, 81. [CrossRef]
- Vignuzzi, M., Lopez, C.B., 2019. Defective viral genomes are key drivers of the virus-host interaction. Nat Microbiol 4, 1075-1087. [CrossRef]
- Cave, D.R., Hendrickson, F.M., Huang, A.S., 1985. Defective interfering virus particles modulate virulence. J Virol 55, 366-373. [CrossRef]
- Rezelj, V.V., Carrau, L., Merwaiss, F., Levi, L.I., Erazo, D., Tran, Q.D., Henrion-Lacritick, A., Gausson, V., Suzuki, Y., Shengjuler, D., Meyer, B., Vallet, T., Weger-Lucarelli, J., Bernhauerova, V., Titievsky, A., Sharov, V., Pietropaoli, S., Diaz-Salinas, M.A., Legros, V., Pardigon, N., Barba-Spaeth, G., Brodsky, L., Saleh, M.C., Vignuzzi, M., 2021. Defective viral genomes as therapeutic interfering particles against flavivirus infection in mammalian and mosquito hosts. Nat Commun 12, 2290. [CrossRef]
- Ito, R., Suami, H., 2015. Lymphatic Territories (Lymphosomes) in Swine: An Animal Model for Future Lymphatic Research. Plast Reconstr Surg 136, 297-304. [CrossRef]
- Munis, A.M., Tijani, M., Hassall, M., Mattiuzzo, G., Collins, M.K., Takeuchi, Y., 2018. Characterization of Antibody Interactions with the G Protein of Vesicular Stomatitis Virus Indiana Strain and Other Vesiculovirus G Proteins. J Virol 92. [CrossRef]









Disclaimer/Publisher’s Note: The statements, opinions and data contained in all publications are solely those of the individual author(s) and contributor(s) and not of MDPI and/or the editor(s). MDPI and/or the editor(s) disclaim responsibility for any injury to people or property resulting from any ideas, methods, instructions or products referred to in the content. |
© 2024 by the authors. Licensee MDPI, Basel, Switzerland. This article is an open access article distributed under the terms and conditions of the Creative Commons Attribution (CC BY) license (http://creativecommons.org/licenses/by/4.0/).