Submitted:
06 January 2025
Posted:
07 January 2025
You are already at the latest version
Abstract
Keywords:
1. Introduction
2. Collapse of a Uniform Spherical Mass Distribution
2.1. Uniform Cloud
2.2. Newtonian Equivalence
2.3. Spherical Collapse
2.4. Dynamics Close to the Ground State
2.5. A Closed FLRW Perturbation
2.6. White Holes (WH)
3. Numerical Simulations
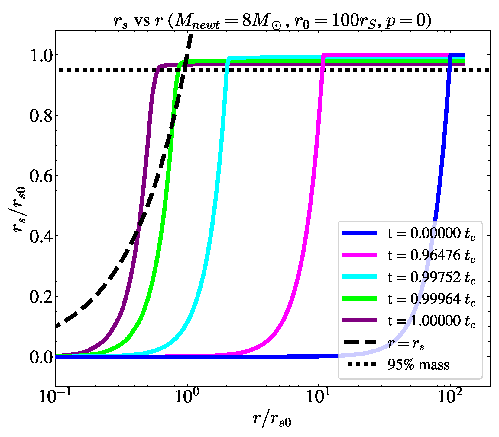
3.1. Pressureless Collapse
Results
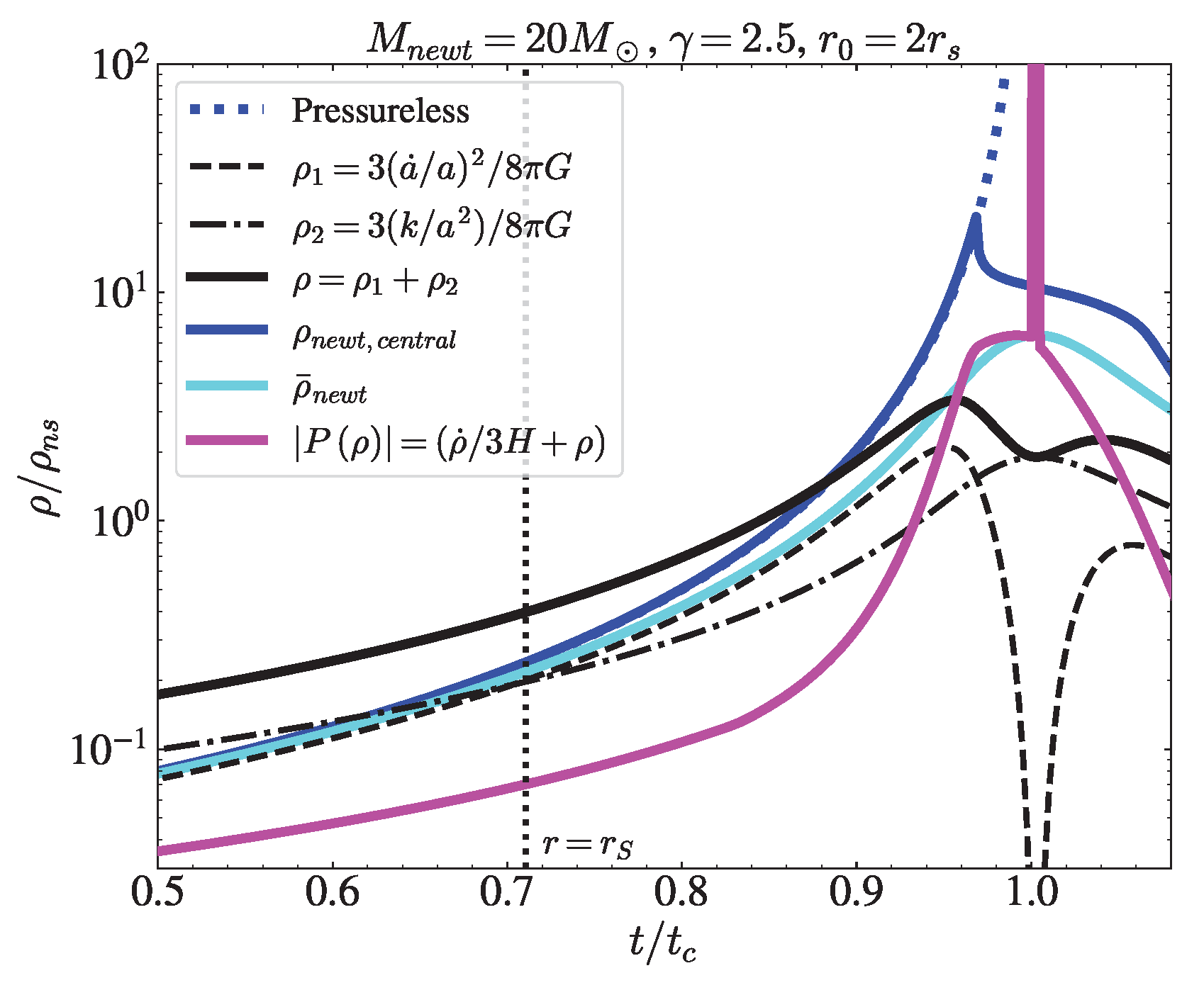
3.2. Collapse with a Polytropic EoS
Results
4. Discussion
4.1. Newtonian vs GR Equivalence
4.2. BHU vs Cosmological Coupling
4.3. Potential Signatures in the CMB
- -
- A portion or even the entirety of Dark Matter (DM) might consist of primordial black holes or primordial neutron stars formed during the bounce.
- -
- The bounce mechanism could offer insights into the measured entropy of the Universe, particularly the observed baryon-to-photon ratio.
5. Conclusions
Data Availability Statement
Acknowledgments
Appendix A. Relativist and Newtonian Mass
Appendix B. Scalar Fields in Curved Space-Time
Appendix C. The GHY Boundary and Λ Term
| 1 | Here, we assume the fluid to be barotropic, i.e. the pressure is assumed to not depend on the temperature. How far this holds during the collapse has to be investigated. |
| 2 | CASTRO is a Newtonian code that solves multi-component compressible hydrodynamic equations for astrophysical flows using the unsplit second-order Godunov method. For details, see Almgren et al. [48] |
References
- Hawking, S.W.; Penrose, R.; Bondi, H. The singularities of gravitational collapse and cosmology. Proceedings of the Royal Society of London. A. Mathematical and Physical Sciences 1970, 314, 529–548. [Google Scholar] [CrossRef]
- Brandenberger, R.; Peter, P. Bouncing Cosmologies: Progress and Problems. Foundations of Physics 2017, 47, 797–850. [Google Scholar] [CrossRef]
- Burd, A.B.; Barrow, J.D. Inflationary Models with Exponential Potentials. Nucl. Phys. B 1988, 308, 929–945. [Erratum: Nucl. Phys. B 324, 276–276 (1989)]. [Google Scholar] [CrossRef]
- Barrow, J.D. The inflationary universe - Modern developments. R. Astron. Soc. Q. J. 1988, 29, 101–117. [Google Scholar]
- Riess, A.G.; Filippenko, A.V.; Challis, P.; Clocchiatti, A.; Diercks, A.; Garnavich, P.M.; Gilliland, R.L.; Hogan, C.J.; Jha, S.; Kirshner, R.P.; et al. Observational Evidence from Supernovae for an Accelerating Universe and a Cosmological Constant. Astron. J. 1998, 116, 1009–1038. [Google Scholar] [CrossRef]
- Schmidt, B.P.; Suntzeff, N.B.; Phillips, M.M.; Schommer, R.A.; Clocchiatti, A.; Kirshner, R.P.; Garnavich, P.; Challis, P.; Leibundgut, B.; Spyromilio, J.; et al. The High-Z Supernova Search: Measuring Cosmic Deceleration and Global Curvature of the Universe Using Type Ia Supernovae*. The Astrophysical Journal 1998, 507, 46. [Google Scholar] [CrossRef]
- Perlmutter, S.; Aldering, G.; Goldhaber, G.; Knop, R.A.; Nugent, P.; Castro, P.G.; Deustua, S.; Fabbro, S.; Goobar, A.; Groom, D.E.; et al. Measurements of Ω and Λ from 42 High-Redshift Supernovae. The Astrophysical Journal 1999, 517, 565. [Google Scholar] [CrossRef]
- Jimenez, R.; Loeb, A. Constraining Cosmological Parameters Based on Relative Galaxy Ages. The Astrophysical Journal 2002, 573, 37. [Google Scholar] [CrossRef]
- Fosalba, P.; Gaztañaga, E.; Castander, F.J. Detection of the Integrated Sachs-Wolfe and Sunyaev-Zeldovich Effects from the Cosmic Microwave Background-Galaxy Correlation. ApJL 2003, 597, L89–L92. [Google Scholar] [CrossRef]
- Eisenstein, D.J.; Zehavi, I.; Hogg, D.W.; Scoccimarro, R.; Blanton, M.R.; Nichol, R.C.; Scranton, R.; Seo, H.J.; Tegmark, M.; Zheng, Z.; et al. Detection of the Baryon Acoustic Peak in the Large-Scale Correlation Function of SDSS Luminous Red Galaxies. The Astrophysical Journal 2005, 633, 560. [Google Scholar] [CrossRef]
- Betoule, M. .; Kessler, R..; Guy, J..; Mosher, J..; Hardin, D..; Biswas, R..; Astier, P..; El-Hage, P..; Konig, M..; Kuhlmann, S..; et al. Improved cosmological constraints from a joint analysis of the SDSS-II and SNLS supernova samples. A&A 2014, 568, A22. [Google Scholar] [CrossRef]
- Rovelli, C. Quantum Gravity; Cambridge University Press, 2007.
- Olmedo, J.; Saini, S.; Singh, P. From black holes to white holes: a quantum gravitational, symmetric bounce. Classical and Quantum Gravity 2017, 34, 225011. [Google Scholar] [CrossRef]
- Malafarina, D. Black Hole Bounces on the Road to Quantum Gravity. Universe 2018, 4. [Google Scholar] [CrossRef]
- Gaztañaga, E. The Black Hole Universe, Part I. Symmetry 2022, 14, 1849. [Google Scholar] [CrossRef]
- Gaztañaga, E. The Black Hole Universe, Part II. Symmetry 2022, 14, 1984. [Google Scholar] [CrossRef]
- Gaztañaga, E. The cosmological constant as a zero action boundary. MNRAS 2021, 502, 436–444. [Google Scholar] [CrossRef]
- Gaztañaga, E. The Cosmological Constant as Event Horizon. Symmetry 2022, 14, 300. [Google Scholar] [CrossRef]
- Hebeler, K.; Lattimer, J.M.; Pethick, C.J.; Schwenk, A. EQUATION OF STATE AND NEUTRON STAR PROPERTIES CONSTRAINED BY NUCLEAR PHYSICS AND OBSERVATION. The Astrophysical Journal 2013, 773, 11. [Google Scholar] [CrossRef]
- Ferreira, M.; Providência, C. Constraints on high density equation of state from maximum neutron star mass. Physical Review D 2021, 104, 063006. [Google Scholar] [CrossRef]
- Bethe, H.A. Supernova mechanisms. Reviews of Modern Physics 1990, 62, 801–866. [Google Scholar] [CrossRef]
- Burrows, A.; Hayes, J.; Fryxell, B.A. On the Nature of Core-Collapse Supernova Explosions. arXiv 1995, 450, 830. [Google Scholar] [CrossRef]
- Janka, H.T.; Hanke, F.; Hüdepohl, L.; Marek, A.; Müller, B.; Obergaulinger, M. Core-collapse supernovae: Reflections and directions. Progress of Theoretical and Experimental Physics 2012, 2012, 01A309. [Google Scholar] [CrossRef]
- Foglizzo, T. Explosion Physics of Core-Collapse Supernovae. In Handbook of Supernovae; Alsabti, A.W.; Murdin, P., Eds.; Springer International Publishing AG, 2017; p. 1053. [CrossRef]
- Janka, H.T. Neutrino-Driven Explosions. In Handbook of Supernovae; Alsabti, A.W.; Murdin, P., Eds.; Springer International Publishing AG, 2017; p. 1095. [CrossRef]
- Limongi, M. Supernovae from Massive Stars. In Handbook of Supernovae; Alsabti, A.W.; Murdin, P., Eds.; Springer International Publishing AG, 2017; p. 513. [CrossRef]
- Gaztañaga, E. The mass of our observable Universe. MNRAS 2023, 521, L59–L63. [Google Scholar] [CrossRef]
- Gaztañaga, E. How the Big Bang Ends Up Inside a Black Hole. Universe 2022, 8, 257. [Google Scholar] [CrossRef]
- Escrivà, A. Simulation of primordial black hole formation using pseudo-spectral methods. Phys. Dark Univ. 2020, 27, 100466. [Google Scholar] [CrossRef]
- Seidel, E.; Suen, W.M. Towards a singularity-proof scheme in numerical relativity. Phys. Rev. Lett. 1992, 69, 1845–1848. [Google Scholar] [CrossRef]
- Marsa, R.L.; Choptuik, M.W. Black-hole—scalar-field interactions in spherical symmetry. Phys. Rev. D 1996, 54, 4929–4943. [Google Scholar] [CrossRef]
- Alcubierre, M.; Brügmann, B.; Pollney, D.; Seidel, E.; Takahashi, R. Black hole excision for dynamic black holes. Physical Review D 2001, 64. [Google Scholar] [CrossRef]
- Duez, M.D.; Shapiro, S.L.; Yo, H.J. Relativistic hydrodynamic evolutions with black hole excision. Phys. Rev. D 2004, 69, 104016. [Google Scholar] [CrossRef]
- Montero, P.J.; Janka, H.T.; Müller, E. RELATIVISTIC COLLAPSE AND EXPLOSION OF ROTATING SUPERMASSIVE STARS WITH THERMONUCLEAR EFFECTS. The Astrophysical Journal 2012, 749, 37. [Google Scholar] [CrossRef]
- Campanelli, M.; Lousto, C.O.; Marronetti, P.; Zlochower, Y. Accurate Evolutions of Orbiting Black-Hole Binaries without Excision. Physical Review Letters 2006, 96. [Google Scholar] [CrossRef] [PubMed]
- Baker, J.G.; Centrella, J.; Choi, D.I.; Koppitz, M.; van Meter, J. Gravitational-Wave Extraction from an Inspiraling Configuration of Merging Black Holes. Physical Review Letters 2006, 96. [Google Scholar] [CrossRef]
- Brügmann, B.; González, J.A.; Hannam, M.; Husa, S.; Sperhake, U.; Tichy, W. Calibration of moving puncture simulations. Physical Review D—Particles, Fields, Gravitation, and Cosmology 2008, 77, 024027. [Google Scholar] [CrossRef]
- Tolman, R.C. Effect of Inhomogeneity on Cosmological Models. Proc. of the Nat. Academy of Science 1934, 20, 169–176. [Google Scholar] [CrossRef]
- Oppenheimer, J.R.; Snyder, H. On Continued Gravitational Contraction. Phys. Rev. 1939, 56, 455–459. [Google Scholar] [CrossRef]
- Misner, C.W.; Sharp, D.H. Relativistic Equations for Adiabatic, Spherically Symmetric Gravitational Collapse. Phys. Rev. 1964, 136, B571–B576. [Google Scholar] [CrossRef]
- Lemaître, G. Un Univers homogène de masse constante et de rayon croissant rendant compte de la vitesse radiale des nébuleuses extra-galactiques. Annales de la S.S. de Bruxelles 1927, 47, 49–59. [Google Scholar]
- Johansen, N.; Ravndal, F. On the discovery of Birkhoff’s theorem. General Relativity and Gravitation 2006, 38, 537–540. [Google Scholar] [CrossRef]
- Faraoni, V.; Atieh, F. Turning a Newtonian analogy for FLRW cosmology into a relativistic problem. Phys. Rev. D 2020, 102, 044020. [Google Scholar] [CrossRef]
- Padmanabhan, T. Gravitation, Cambridge Univ. Press; 2010.
- Bernardeau, F.; Colombi, S.; Gaztañaga, E.; Scoccimarro, R. Large-scale structure of the Universe and cosmological perturbation theory. PhysRep 2002, 367, 1–248. [Google Scholar] [CrossRef]
- Gaztañaga, E. Do White Holes Exist? Universe 2023, 9, 194. [Google Scholar] [CrossRef]
- Gaztañaga, E. On the Interpretation of Cosmic Acceleration. Symmetry 2024, 16, 1141. [Google Scholar] [CrossRef]
- Almgren, A.S.; Beckner, V.E.; Bell, J.B.; Day, M.S.; Howell, L.H.; Joggerst, C.C.; Lijewski, M.J.; Nonaka, A.; Singer, M.; Zingale, M. CASTRO: A NEW COMPRESSIBLE ASTROPHYSICAL SOLVER. I. HYDRODYNAMICS AND SELF-GRAVITY. The Astrophysical Journal 2010, 715, 1221–1238. [Google Scholar] [CrossRef]
- Kothari, D.S.; Saha, M.N. The theory of pressure-ionization and its applications. Proceedings of the Royal Society of London. Series A. Mathematical and Physical Sciences 1938, 165, 486–500. [Google Scholar] [CrossRef]
- Chandrasekhar, S. The maximum mass of ideal white dwarfs. Astrophys. J. 1931, 74, 81–82. [Google Scholar] [CrossRef]
- Monchmeyer, R.; Muller, E. A Conservative Second-Order Difference Scheme for Curvilinear Coordinates - Part One - Assignment of Variables on a Staggered Grid. Astronomy and Astrophysics 1989, 217, 351. [Google Scholar]
- Lattimer, J.M.; Prakash, M. Neutron star observations: Prognosis for equation of state constraints. PhysRep 2007, 442, 109–165. [Google Scholar] [CrossRef]
- Bondi, H. Gravitational bounce in general relativity. MNRAS 1969, 142, 333. [Google Scholar] [CrossRef]
- McVittie, G.C. The mass-particle in an expanding universe. Mon. Not. Roy. Astron. Soc. 1933, 93, 325–339. [Google Scholar] [CrossRef]
- Faraoni, V.; Jacques, A. Cosmological expansion and local physics. Phys. Rev. D 2007, 76, 063510. [Google Scholar] [CrossRef]
- Croker, K.S.; Weiner, J.L. Implications of Symmetry and Pressure in Friedmann Cosmology. I. Formalism. Astrophys. J. 2019, 882, 19. [Google Scholar] [CrossRef]
- Croker, K.S.; Zevin, M.J.; Farrah, D.; Nishimura, K.A.; Tarle, G. Cosmologically Coupled Compact Objects: A Single-parameter Model for LIGO–Virgo Mass and Redshift Distributions. Astrophys. J. Lett. 2021, 921, L22. [Google Scholar] [CrossRef]
- Farrah, D.; Croker, K.S.; Zevin, M.; Tarlé, G.; Faraoni, V.; Petty, S.; Afonso, J.; Fernandez, N.; Nishimura, K.A.; Pearson, C.; et al. Observational Evidence for Cosmological Coupling of Black Holes and its Implications for an Astrophysical Source of Dark Energy. The Astrophysical Journal Letters 2023, 944, L31. [Google Scholar] [CrossRef]
- Faraoni, V.; Rinaldi, M. Black hole event horizons are cosmologically coupled. Phys. Rev. D 2024, 110, 063553. [Google Scholar] [CrossRef]
- Cadoni, M.; Sanna, A.P.; Pitzalis, M.; Banerjee, B.; Murgia, R.; Hazra, N.; Branchesi, M. Cosmological coupling of nonsingular black holes. JCAP 2023, 11, 007. [Google Scholar] [CrossRef]
- DESI Collaboration.; Adame, A.G.; Aguilar, J.; Ahlen, S.; Alam, S.; Alexander, D.M.; Alvarez, M.; Alves, O.; Anand, A.; Andrade, U.; et al. DESI 2024 VI: Cosmological Constraints from the Measurements of Baryon Acoustic Oscillations. arXiv e-prints 2024, p. arXiv:2404.03002, [arXiv:astro-ph.CO/2404.03002]. [CrossRef]
- Gaztañaga, E.; Camacho-Quevedo, B. What moves the heavens above? Physics Letters B 2022, 835, 137468. [Google Scholar] [CrossRef]
- Gaztañaga, E.; Sravan Kumar, K. Finding origins of CMB anomalies in the inflationary quantum fluctuations. Journal of Cosmology and Astroparticle Physics 2024, 2024, 001. [Google Scholar] [CrossRef]
- Landau, L.D.; Lifshitz, E.M. The classical theory of fields; 1971.
- Weinberg, S. Cosmology, Oxford University Press; 2008.
- Dodelson, S. Modern cosmology, Academic Press, NY; 2003.
- Daghigh, R.G.; Kapusta, J.I.; Hosotani, Y. False Vacuum Black Holes and Universes, 2000, [arXiv:gr-qc/gr-qc/0008006].
- Gonzalez-Diaz, P.F. The space-time metric inside a black hole. Nuovo Cimento Lettere 1981, pp. 161–163.
- Blau, S.K.; Guendelman, E.I.; Guth, A.H. Dynamics of false-vacuum bubbles. PRD 1987, 35, 1747–1766. [Google Scholar] [CrossRef]
- Grøn; Soleng, H.H. Dynamical instability of the González-Díaz black hole model. Physics Letters A 1989, 138, 89–94. [Google Scholar] [CrossRef]
- Frolov, V.P.; Markov, M.A.; Mukhanov, V.F. Through a black hole into a new universe? Phys Let B 1989, 216, 272–276. [Google Scholar] [CrossRef]
- Aguirre, A.; Johnson, M.C. Dynamics and instability of false vacuum bubbles. PRD 2005, 72, 103525. [Google Scholar] [CrossRef]
- Farhi, E.; Guth, A.H. An obstacle to creating a universe in the laboratory. Physics Letters B 1987, 183, 149–155. [Google Scholar] [CrossRef]
- Mazur, P.O.; Mottola, E. Surface tension and negative pressure interior of a non-singular `black hole’. Classical and Quantum Gravity 2015, 32, 215024. [Google Scholar] [CrossRef]
- Kusenko, A.e. Exploring Primordial Black Holes from the Multiverse with Optical Telescopes. PRL 2020, 125, 181304. [Google Scholar] [CrossRef]
- York, J.W. Role of Conformal Three-Geometry in the Dynamics of Gravitation. Phy.Rev.Lett. 1972, 28, 1082–1085. [Google Scholar] [CrossRef]
- Gibbons, G.W.; Hawking, S.W. Cosmological event horizons, thermodynamics, and particle creation. PRD 1977, 15, 2738–2751. [Google Scholar] [CrossRef]
- Hawking, S.W.; Horowitz, G.T. The gravitational Hamiltonian, action, entropy and surface terms. Class Quantum Gravity 1996, 13, 1487. [Google Scholar] [CrossRef]








| M | EoS | K | |||||||
| [M⊙] | [g cm−3] | [g cm−3] | [ cm] | [ cm] | [ cm s−1] | ||||
| 8 | approximately zero pressure |
- | - | 100 | 239 | 300 | |||
| 5 | polytropic | 2 2.5 3 |
cm2 cm3 cm4 |
2 | |||||
| 20 | polytropic | 2 2.5 3 |
cm2 cm3 cm4 |
2 | 13 | ||||
| 1000 | polytropic | 2 2.5 3 |
cm2 cm3 cm4 |
143 | 18 |
| M | Quantity | |||
| M⊙ | 41 | 12 | 6 | |
| P [dyne cm−2] | 13 | 4 | 2 | |
| M⊙ | 74 | 21 | 6 | |
| P [ dyne cm−2] | 43 | 19 | 3 | |
| M⊙ | 4580 | 162 | 42 | |
| P [dyne cm−2] | 1650 | 29 | 8 |
Disclaimer/Publisher’s Note: The statements, opinions and data contained in all publications are solely those of the individual author(s) and contributor(s) and not of MDPI and/or the editor(s). MDPI and/or the editor(s) disclaim responsibility for any injury to people or property resulting from any ideas, methods, instructions or products referred to in the content. |
© 2025 by the authors. Licensee MDPI, Basel, Switzerland. This article is an open access article distributed under the terms and conditions of the Creative Commons Attribution (CC BY) license (http://creativecommons.org/licenses/by/4.0/).
