Submitted:
20 February 2025
Posted:
21 February 2025
You are already at the latest version
Abstract
Keywords:
1. Introduction
2. Materials and Methods
2.1. Study Site and Plant Varieties
2.2. Pollen Viability
2.3. Pollen Staining and Measurement of Pollen Size
2.4. Flower and Seed Size
2.5. Statistical Analysis
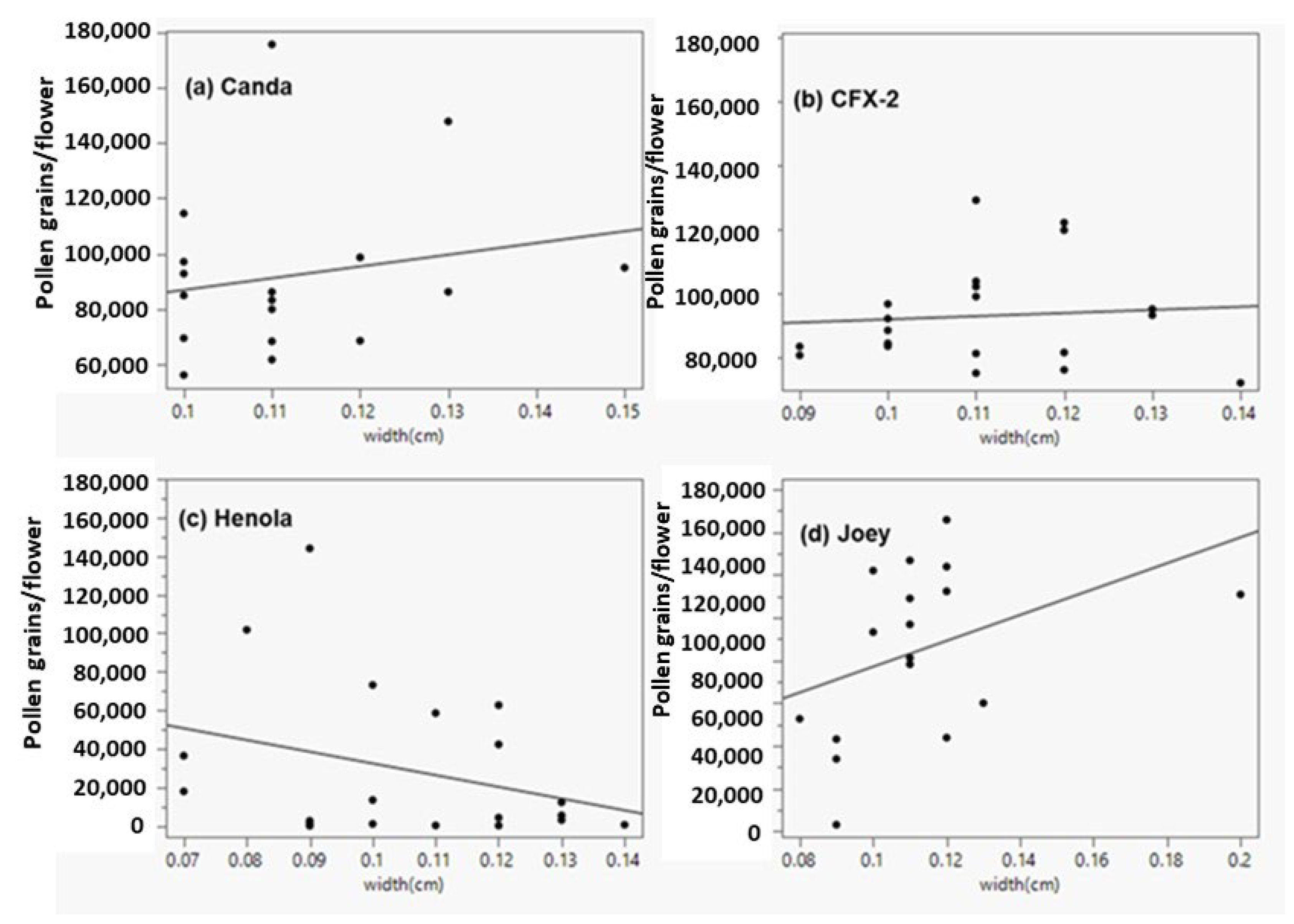
3. Results
4. Discussion
5. Conclusions
Author Contributions
Funding
Data Availability Statement
Acknowledgments
Conflicts of Interest
References
- Amaducci, S.; Gusovious, H.J. Hemp—Cultivation, Extraction and Processing. In Industrial Applications of Natural Fibres: Structure, Properties and Technical Applications; Müssig, J., Ed.; John Wiley and Sons Ltd.: Chichester, UK, 2010; pp. 109–134. [Google Scholar]
- Salentijn, E.M.; Zhang, Q.; Amaducci, S.; Yang, M.; Trindade, L.M. New developments in fiber hemp (Cannabis sativa L.) breeding. Ind. Crop. Prod. 2015, 68, 32–41. [Google Scholar] [CrossRef]
- Schluttenhofer, C.; Yuan, L. Challenges towards revitalizing hemp: A multifaceted crop. Trends Plant Sci. 2017, 22, 917–929. [Google Scholar] [CrossRef] [PubMed]
- Market Data Forecast. Global Industrial Hemp Market Size, Share, Trends, COVID-19 Impact & Growth Analysis Report—Segmented by Type, Application and Region (North America, Europe, Asia-Pacific, Latin America, Middle East, and Africa)—Industry Forecast (2022 to 2027). Available online: https://www.marketdataforecast.com/market-reports/industrial-hemp-market (accessed on 13 August 2024).
- Johnson, R. Defining Hemp: A Fact Sheet; Congressional Research Service: Washington, DC, USA, 2019. [Google Scholar]
- Malone, T.; Gomez, K. Hemp in the United States: A Case Study of Regulatory Path Dependence. Appl. Econ. Perspect. Policy 2019, 41, 199–214. [Google Scholar] [CrossRef]
- USDA-NASS. Agricultural Statistic 2023; National Hemp Report; USDA-NASS: Washington, DC, USA, 2023. [Google Scholar]
- Dingha, B.; Sandler, L.; Bhowmik, A.; Akotsen-Mensah, C.; Jackai, L.; Gibson, K.; Turco, R. Industrial Hemp Knowledge and Interest among North Carolina Organic Farmers in the United States. Sustainability 2019, 11, 2691. [Google Scholar] [CrossRef]
- Kaur, G.; Kander, R. The Sustainability of Industrial Hemp: A Literature Review of Its Economic, Environmental, and Social Sustainability. Sustainability 2023, 15, 6457. [Google Scholar] [CrossRef]
- Farinon, B.; Molinari, R.; Costantini, L.; Merendino, N. The Seed of Industrial Hemp (Cannabis sativa L.): Nutritional Quality and Potential Functionality for Human Health and Nutrition. Nutrients 2020, 12, 1935. [Google Scholar] [CrossRef]
- Fiani, B.; Sarhadi, K.J.; Soula, M.; Zafar, A.; Quadri, S.A. Current application of cannabidiol (CBD) in the management and treatment of neurological disorders. Neurol. Sci. Off. J. Ital. Neurol. Soc. Ital. Soc. Clin. Neurophysiol. 2020, 41, 3085–3098. [Google Scholar] [CrossRef]
- Britch, S.C.; Babalonis, S.; Walsh, S.L. Cannabidiol: Pharmacology and therapeutic targets. Psychopharmacology 2021, 238, 9–28. [Google Scholar] [CrossRef]
- Castillo-Arellano, J.; Canseco-Alba, A.; Cutler, S.J.; León, F. The Polypharmacological Effects of Cannabidiol. Molecules 2023, 28, 3271. [Google Scholar] [CrossRef]
- Wang, X.; Zhang, H.; Liu, Y.; Xu, Y.; Yang, B.; Li, H.; Chen, L. An overview on synthetic and biological activities of cannabidiol (CBD) and its derivatives. Bioorg. Chem. 2023, 140, 106810. [Google Scholar] [CrossRef]
- Chundawat, S.P.S.; Beckham, G.T.; Himmel, M.E.; Dale, B.E. Deconstruction of lignocellulosic biomass to fuels and chemicals. Annu. Rev. Chem. Biomol. Eng. 2011, 2, 121–145. [Google Scholar] [CrossRef] [PubMed]
- Hu, R.; Lim, J.K. Fabrication and mechanical properties of completely biodegradable hemp fiber reinforced polylactic acid composites. J. Compos. Mater. 2016, 41, 1655–1669. [Google Scholar] [CrossRef]
- Angelini, L.G.; Tavarini, S.; Candilo, M.D. Performance of new and traditional fiber hemp (Cannabis sativa L.) cultivars for novel application: Stem bark, and core yield and chemical composition. J. Nat. Fibers 2016, 13, 238–252. [Google Scholar] [CrossRef]
- Cherney, J.H.; Small, E. Industrial Hemp in North America: Production, Politics and Potential. Agronomy 2016, 6, 58. [Google Scholar] [CrossRef]
- Zhao, J.; Xu, Y.; Wang, W.; Griffin, J.; Roozeboom, K.; Wang, D. Bioconversion of industrial hemp biomass for bioethanol production: A review. Fuel 2020, 281, 118725. [Google Scholar] [CrossRef]
- Placido, D.F.; Lee, C.C. Potential of Industrial Hemp for Phytoremediation of Heavy Metals. Plants 2022, 11, 595. [Google Scholar] [CrossRef] [PubMed]
- Pollastro, F.; Minassi, A.; Fresu, L.G. Cannabis phenolics and their bioactivities. Curr. Med. Chem. 2018, 25, 1160–1185. [Google Scholar] [CrossRef] [PubMed]
- Leonard, W.; Zhang, P.; Ying, D.; Fang, Z. Hempseed in food industry: Nutritional value, health benefits, and industrial applications. Compr. Rev. Food Sci. Food Saf. 2020, 19, 282–308. [Google Scholar] [CrossRef]
- Chen, T.; He, J.; Zhang, J.; Zhang, H.; Qian, P.; Hao, J.; Li, L. Analytical Characterization of Hempseed (Seed of Cannabis sativa L.) Oil from Eight Regions in China. J. Diet. Suppl. 2010, 7, 117–129. [Google Scholar] [CrossRef]
- House, J.D.; Neufeld, J.; Leson, G. Evaluating the Quality of Protein from Hemp Seed (Cannabis sativa L.) Products Through the Use of the Protein Digestibility-Corrected Amino Acid Score Method. J. Agric. Food Chem. 2010, 58, 11801–11807. [Google Scholar] [CrossRef]
- Vonapartis, E.; Aubin, M.P.; Seguin, P.; Mustafa, A.F.; Charron, J.B. Seed composition of ten industrial hemp cultivars approved for production in Canada. J. Food Compos. Anal. 2015, 39, 8–12. [Google Scholar] [CrossRef]
- Saini, R.K.; Keum, Y.S. Omega-3 and omega-6 polyunsaturated fatty acids: Dietary sources, metabolism, and significance-A review. Life Sci. 2018, 203, 255–267. [Google Scholar] [CrossRef]
- Alonso-Esteban, J.I.; González-Fernández, M.J.; Fabrikov, D.; Sánchez-Mata, M.; Torija-Isasa, E.; Guil-Guerrero, J.L. Fatty acids and minor functional compounds of hemp (Cannabis sativa L.) seeds and other Cannabaceae species. J. Food Compos. Anal. 2023, 115, 104962. [Google Scholar] [CrossRef]
- Orlando, G.; Recinella, L.; Chiavaroli, A.; Brunetti, L.; Leone, S.; Carradori, S.; Di Simone, S.; Ciferri, M.C.; Zengin, G.; Ak, G.; et al. Water Extract from Inflorescences of Industrial Hemp Futura 75 Variety as a Source of Anti-Inflammatory, Anti-Proliferative and Antimycotic Agents: Results from In Silico, In Vitro and Ex Vivo Studies. Antioxidants 2020, 9, 437. [Google Scholar] [CrossRef] [PubMed]
- di Giacomo, V.; Recinella, L.; Chiavaroli, A.; Orlando, G.; Cataldi, A.; Rapino, M.; Di Valerio, V.; Politi, M.; Antolini, M.D.; Acquaviva, A.; et al. Metabolomic Profile and Antioxidant/Anti-Inflammatory Effects of Industrial Hemp Water Extract in Fibroblasts, Keratinocytes and Isolated Mouse Skin Specimens. Antioxidants 2021, 10, 44. [Google Scholar] [CrossRef]
- Alonso-Esteban, J.I.; Pinela, J.; Ćirić, A.; Calhelha, R.C.; Soković, M.; Ferreira, I.C.F.R.; Barros, L.; Torija-Isasa, E.; Sánchez-Mata, M.d.C. Chemical composition and biological activities of whole and dehulled hemp (Cannabis sativa L.) seeds. Food Chem. 2022, 374, 131754. [Google Scholar] [CrossRef] [PubMed]
- Serventi, L.; Flores, G.A.; Cusumano, G.; Barbaro, D.; Tirillini, B.; Venanzoni, R.; Angelini, P.; Acquaviva, A.; Di Simone, S.C.; Orlando, G.; et al. Comparative Investigation of Antimicrobial and Antioxidant Effects of the Extracts from the Inflorescences and Leaves of the Cannabis sativa L. cv. strawberry. Antioxidants 2023, 12, 219. [Google Scholar] [CrossRef] [PubMed]
- Small, E.; Antle, T. A Preliminary Study of Pollen Dispersal in Cannabis sativa in Relation to Wind Direction. J. Ind. Hemp. 2003, 8, 37–50. [Google Scholar] [CrossRef]
- Kurtz, L.E.; Brand, M.H.; Lubell-Brand, J.D. Production of tetraploid and triploid hemp. HortScience 2020, 55, 1703–1707. [Google Scholar] [CrossRef]
- Gómez-Mena, C.; Honys, D.; Datla, R.; Testillano, P.S. Advances in pollen research: Biology, biotechnology, and plant breeding applications. Front. Plant Sci. 2022, 13, 876502. [Google Scholar] [CrossRef]
- Todd, J.; Song, H.; Van Acker, R. Does pollination alter the cannabinoid composition and yield of extracts from hemp (Cannabis sativa L. cv. Finola) flowers? Ind. Crop. Prod. 2022, 183, 114989. [Google Scholar] [CrossRef]
- Ushiyama, T.; Du, M.; Inoue, S.; Shibaike, H.; Yonemura, S.; Kawashima, S.; Amano, K. Three-dimensional prediction of maize pollen dispersal and cross-pollination, and the effects of windbreaks. Environ. Biosaf. Res. 2009, 8, 183–202. [Google Scholar] [CrossRef] [PubMed]
- Meier, C.; Mediavilla, V. Factors influencing the yield and the quality of hemp essential oil. J. Int. Hemp Assoc. 1998, 5, 16–20. [Google Scholar]
- Capital Press. Hemp boom spurs cross-pollination disputes. Available online: https://oregoncbdseeds.com/news/?post=hemp-boom-spurs-cross-pollination-disputes (accessed on 6 July 2024).
- National Cannabis Industry Association (NCIA). Cross-pollination poised to prompt litigation in light of new USDA hemp rules. Available online: https://thecannabisindustry.org/member-blog-cross-pollination-poised-to-prompt-litigation-in-light-of-new-usda-hemp-rules/ (accessed on 6 July 2024).
- Chabbert, B.; Kurek, B.; Beherec, O. Physiology and botany of industrial hemp. In Hemp Industrial Production and Uses; Bouloc, P., Ed.; Cabi Publication: Wallingford, UK, 2013; pp. 27–47. [Google Scholar]
- Amaducci, S.; Scordia, D.; Liu, F.H.; Zhang, Q.; Guo, H.; Testa, G.; Cosentino, S.L. Key cultivation techniques for hemp in Europe and China. Ind. Crop. Prod. 2015, 68, 2–16. [Google Scholar] [CrossRef]
- Leme, F.M.; Schönenberger, J.; Staedler, Y.M.; Teixeira, S.P. Comparative floral development reveals novel aspects of structure and diversity of flowers in Cannabaceae. Bot. J. Linn. Soc. 2020, 193, 64–83. [Google Scholar] [CrossRef]
- Hesami, M.; Pepe, M.; Jones, A.M.P. Morphological Characterization of Cannabis sativa L. Throughout Its Complete Life Cycle. Plants 2023, 12, 3646. [Google Scholar] [CrossRef]
- Cheung, K.C.; Di Berardino, M.; Schade-Kampmann, G.; Hebeisen, M.; Pierzchalski, A.; Bocsi, J.; Mittag, A.; Tárnok, A. Microfluidic impedance-based flow cytometry. Cytometry A 2010, 77, 648–666. [Google Scholar] [CrossRef]
- Xu, Y.; Xie, X.; Duan, Y.; Wang, L.; Cheng, Z.; Cheng, J. A review of impedance measurements of whole cells. Biosens. Bioelectron. 2016, 77, 824–836. [Google Scholar] [CrossRef]
- Renner, S.S.; Ricklefs, R.E. Dioecy and its correlates in the flowering plants. Am. J. Bot. 1995, 82, 596–606. [Google Scholar] [CrossRef]
- Barcaccia, G.; Palumbo, F.; Scariolo, F.; Vannozzi, A.; Borin, M.; Bona, S. Potentials and Challenges of Genomics for Breeding Cannabis Cultivars. Front Plant Sci. 2020, 11, 573299. [Google Scholar] [CrossRef]
- Frankowski, J.; Wawro, A.; Batog, J.; Burczyk, H. New Polish Oilseed Hemp Cultivar Henola—Cultivation, Properties and Utilization for Bioethanol Production. J. Nat. Fibers. 2021, 19, 7283–7295. [Google Scholar] [CrossRef]
- Salentijn, E.M.J.; Petit, J.; Trindade, L.M. The Complex Interactions between Flowering Behavior and Fiber Quality in Hemp. Front Plant Sci. 2019, 10, 614. [Google Scholar] [CrossRef] [PubMed]
- Pinheiro-Costa, B.K.; Mesquita-Neto, J.N.; Rego, J.O.; Schlindwein, C. Trade off between quantity and size of pollen grains in the heterandrous flowers of Senna pendula (Fabaceae). Acta Bot. Bras. 2018, 32, 446–453. [Google Scholar] [CrossRef]
- Trevizan, R.; Caetano, A.P.S.; Brito, V.L.G.; Oliveira, P.E.; Telles, F.J. Stamen and pollen heteromorphism linked to the division of labour in Melastomataceae species. Flora 2023, 305, 152315. [Google Scholar] [CrossRef]
- Dingha, B.N.; Jackai, L.E. Chemical Composition of Four Industrial Hemp (Cannabis sativa L.) Pollen and Bee Preference. Insects 2023, 14, 668. [Google Scholar] [CrossRef]
- Fernández-Illescas, F.; Nieva, J.; Márquez-García, B.; Muñoz-Rodríguez, A. Pollen production in halophytic species of the Chenopodiaceae in a Mediterranean marsh. Grana 2010, 49, 300–307. [Google Scholar] [CrossRef]
- Bhowmik, S.; Datta, B.K. Pollen production in relation to ecological class of some hydrophytes and marsh plants. Am. J. Plant Sci. 2013, 4, 324–332. [Google Scholar] [CrossRef]
- Milatović, D.; Nikolić, D.; Janković, S.; Janković, D.; Stanković, J. Morphological characteristics of male reproductive organs in some walnut (Juglans regia L.) genotypes. Sci. Hortic. 2020, 272, 109587. [Google Scholar] [CrossRef]
- Velloso, M.D.S.C.; Brito, V.L.G.; Caetano, A.P.S.; Romero, R. Anther specializations related to the division of labor in Microlicia cordata (Spreng.) Cham. (Melastomataceae). Acta Bot. Bras. 2018, 32, 349–358. [Google Scholar] [CrossRef]
- Hao, K.; Tian, Z.X.; Wang, Z.C.; Huang, S.Q. Pollen grain size associated with pollinator feeding strategy. Proc. Biol. Sci. 2020, 287, 20201191. [Google Scholar] [CrossRef]
- Wizenberg, S.B.; Dang, M.; Campbell, L.G. Methods for characterizing pollen fitness in Cannabis sativa L. PLoS ONE 2022, 17, e0270799. [Google Scholar] [CrossRef] [PubMed]
- Novara, C.; Ascari, L.; LaMorgia, V.; Reale, L.; Genre, A.; Siniscalco, C. Viability and germinability in long term storage of Corylus avellana pollen. Sci. Hortic. 2017, 214, 295–303. [Google Scholar] [CrossRef]
- Ge, Y.; Fu, C.; Bhandari, H.; Bouton, J.; Brunner, E.C.; Wang, Z.Y. Pollen viability and longevity of switchgrass (Panicum virgatum L.). Crop Sci. 2011, 51, 2698–2705. [Google Scholar] [CrossRef]
- Du, G.; Xu, J.; Gao, C.; Lu, J.; Li, Q.; Du, J.; Lv, M.; Sun, X. Effect of low storage temperature on pollen viability of fifteen herbaceous peonies. Biotechnol. Rep. 2019, 21, e00309. [Google Scholar] [CrossRef]
- Anuwong, C. The effect of timing and storage temperature on pollen viability and pollen germination in Zephyranthes Hybrid. Intl. J. Agric. Technol. 2022, 18, 447–458. [Google Scholar]
- Martínez-Gómez, P.; Gradziel, T.M.; Ortega, E.; Dicenta, F. Low temperature storage of almond pollen. Hortsci. 2002, 37, 691–692. [Google Scholar] [CrossRef]
- Faegri, K.; Iverson, J.; Kaland, P.E.; Krzywinski, K. Textbook of pollen analysis, 4th ed.; John Wiley and Sons: Chichester, UK, 1989; p. 328. [Google Scholar]
- Shinwari, Z.K.; Tanveer, M.; Yusuf, O.; Perveen, A.; Khan, M. Protein estimation and Palynlogical studies of Cannabis sativa L. pollen in relation to respiratory allergies. Pak. J. Bot. 2015, 47, 1517–1520. [Google Scholar]
- Ackerman, J.D. Abiotic pollen and pollination: Ecological, functional, and evolutionary perspectives. Plant Syst. Evol. 2000, 222, 167–185. [Google Scholar] [CrossRef]
- Floraflex. Hemp Farming Regulations and Licensing: Navigating Legal Requirements. Available online: https://floraflex.com/default/blog/post/hemp-farming-regulations-and-licensing-navigating-legal-requirements (accessed on 16 August 2024).
- Cabezudo, B.; Recio, M.; Sánchez-Laulhé, J.M.; Trigo, M.D.M.; Toro, F.J.; Polvorinos, F. Atmospheric transportation of marihuana pollen from North Africa to the southwest of Europe. Atmos. Environ. 1997, 31, 3323–3328. [Google Scholar] [CrossRef]
- Brunet, Y.; Foueillassar, X.; Audran, A.; Garrigou, D.; Dayau, S.; Tardieu, L. Evidence for long-range transport of viable maize pollen. In Proceedings of the 1st European Conference on the Coexistence of Genetically Modified Crops with Conventional and Organic Crops, Helsingor, Denmark, 13-14 November 2003; Boelt, B.S., Ed.; Danish Institute of Agricultural Sciences: Helsingor, Denmark, 2003; pp. 74–76. [Google Scholar]
- Hofmann, F.; Epp, R.; Kruse, L.; Kalchschmied, A.; Maisch, B.; Müller, E.; Kuhn, U.; Kratz, W.; Ober, S.; Radtke, J.; et al. Monitoring of Bt-Maize pollen exposure in the vicinity of the nature reserve Ruhlsdorfer Bruch in northeast Germany 2007 to 2008. Environ. Sci. Eur. 2010, 22, 229–251. [Google Scholar] [CrossRef]
- DeDecker, J. Hemp Production Weighing the Risk of Cannabis Cross-Pollination. Michigan State University Extension. Available online: https://www.canr.msu.edu/news/weighing-the-risk-of-cannabis-cross-pollination (accessed on 16 August 2024).
- Moon, Y.; Cha, Y.; Lee, J.; Kim, K.; Kwon, D.; Kang, Y. Investigation of Suitable Seed Sizes, Segregation of Ripe Seeds, and Improved Germination Rate for the Commercial Production of Hemp Sprouts (Cannabis sativa L.). J. Sci. Food Agric. 2020, 100, 2819–2827. [Google Scholar] [CrossRef] [PubMed]
- Sieracka, D.; Zaborowicz, M.; Frankowski, J. Identification of Characteristic Parameters in Seed Yielding of Selected Varieties of Industrial Hemp (Cannabis sativa L.) Using Artificial Intelligence Methods. Agriculture 2023, 13, 1097. [Google Scholar] [CrossRef]
- Impe, D.; Reitz, J.; Köpnick, C.; Rolletschek, H.; Börner, A.; Senula, A.; Nagel, M. Assessment of pollen viability for wheat. Front. Plant Sci. 2020, 10, 1588. [Google Scholar] [CrossRef]
- Teleszko, M.; Zając, A.; Rusak, T. Hemp Seeds of the Polish ‘Bialobrzeskie’ and ‘Henola’ Varieties (Cannabis sativa L. var. sativa) as Prospective Plant Sources for Food Production. Molecules 2022, 27, 1448. [Google Scholar]
- Stramkale, V.; Morozova, I.; Černova, L.; Stramkalis, A. Industrial Hemp Varieties Productivity Potential in the Latvian Climatic Conditions. In Proceedings of the 14th International Scientific and Practical Conference, Rezekne, Latvia, 15–16 June 2023. [Google Scholar]
- Lan, Y.; Zha, F.; Peckrul, A.; Hanson, B.; Johnson, B.; Rao, J.; Chen, B. Genotype x Environmental Effects on Yielding Ability and Seed Chemical Composition of Industrial Hemp (Cannabis sativa L.) Varieties Grown in North Dakota, USA. J. Am. Oil. Chem. Soc. 2019, 96, 1417–1425. [Google Scholar] [CrossRef]
- Bajwa, P.; Singh, S.; Singh, M.; Kafle, A.; Parkash, V.; Saini, R. Assessing the production potential of industrial hemp in the semi-arid west Texas. Technol. Agron. 2023, 3, 17. [Google Scholar] [CrossRef]
- Matthews, F.R.; Bramlett, D.L. Pollen Quantity and Viability Affect Seed Yields from Controlled Pollinations of Loblolly Pine. South. J. Appl. For. 1986, 10, 78–80. [Google Scholar] [CrossRef]
- Gimeno-Martínez, D.; Igual, M.; García-Segovia, P.; Martínez-Monzó, J.; Navarro-Rocha, J. Characterisation of the Fat Profile of Different Varieties of Hemp Seeds (Cannabis sativa L.) for Food Use. Biol. Life Sci. Forum 2023, 26, 89. [Google Scholar] [CrossRef]













Disclaimer/Publisher’s Note: The statements, opinions and data contained in all publications are solely those of the individual author(s) and contributor(s) and not of MDPI and/or the editor(s). MDPI and/or the editor(s) disclaim responsibility for any injury to people or property resulting from any ideas, methods, instructions or products referred to in the content. |
© 2025 by the authors. Licensee MDPI, Basel, Switzerland. This article is an open access article distributed under the terms and conditions of the Creative Commons Attribution (CC BY) license (http://creativecommons.org/licenses/by/4.0/).
