1. Introduction
This research was created for the purpose of answering questions about physics phenomena that have not been answered. Such as explaining the phenomenon of the quantum jump of the electron and the phenomenon of cumulative entanglement. What happens in the phenomenon of the quantum jump of the electron is that when we give the electron energy, this energy causes the electron to move from the energy level that it occupies to the higher energy level without crossing the distance between the two orbits,
which leads to the occurrence of the phenomenon of the quantum jump of the electron.[
1] (Svidzinsky et al., 2014)
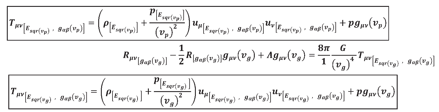
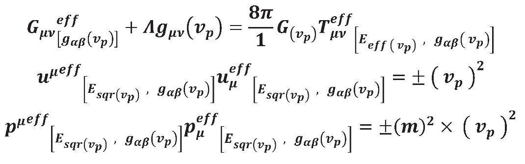
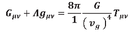
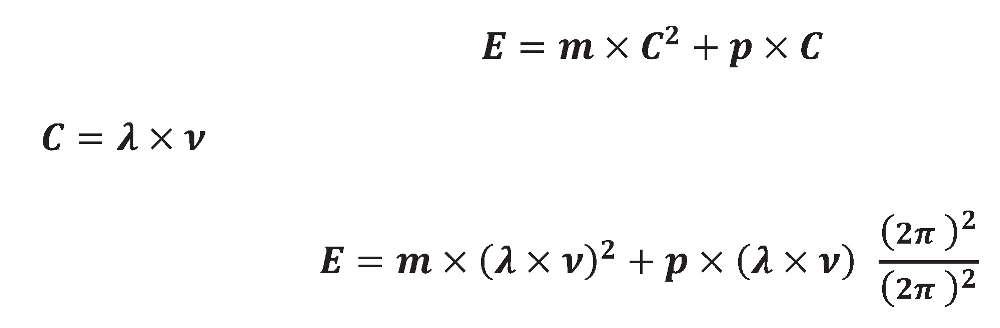
The role of this scientific paper is to provide a scientific explanation of how the quantum leap occurs without crossing the distance between the orbits. The theory of quantum entanglement is a connection between two quantum entangled particles. If one particle is observed, the other particle is affected by it at the same moment. This is what Einstein objected to; because when the electron traveled this distance in the same period of time, this would lead to the existence of a speed faster than the speed of light. Einstein proved it in special relativity. The maximum speed in the universe is the speed of light. Therefore, the phenomenon of quantum entanglement does not agree with Einstein’s laws. After the validity of quantum laws was proven. There has become a conflict between the laws of relativity that apply to the universe and the quantum laws that apply to atoms. This scientific paper aims to resolve this conflict between the laws of relativity and quantum laws. By establishing a law derived from the laws of relativity to apply to quantum laws. (Equation number 1)
This law in equation 1 is known as quantum relativity because it links the laws of relativity and quantum theory. This law is derived from general relativity. The law works to explain the phenomenon of the quantum leap and the phenomenon of quantum entanglement, as it explains that when energy is given to the atom, the atom does not gain energy, but rather space-time gains that energy. We will discuss the interpretation of this theory in detail later.
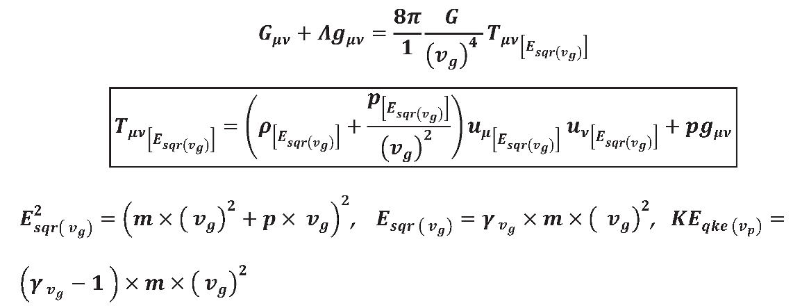
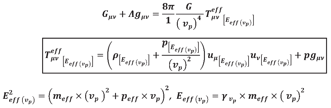
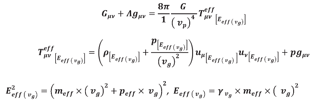
2. Equations
These laws want to explain the results of the final derivation process of this research and what this research wants to prove.

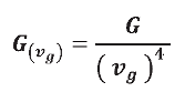
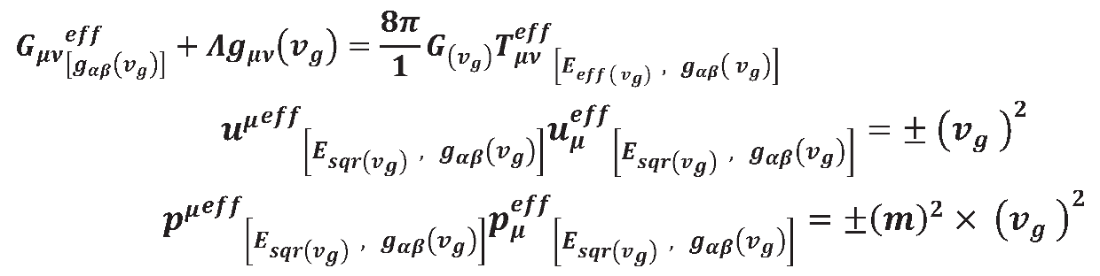
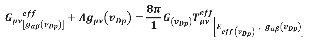
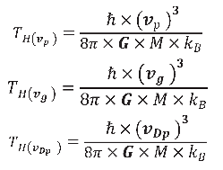
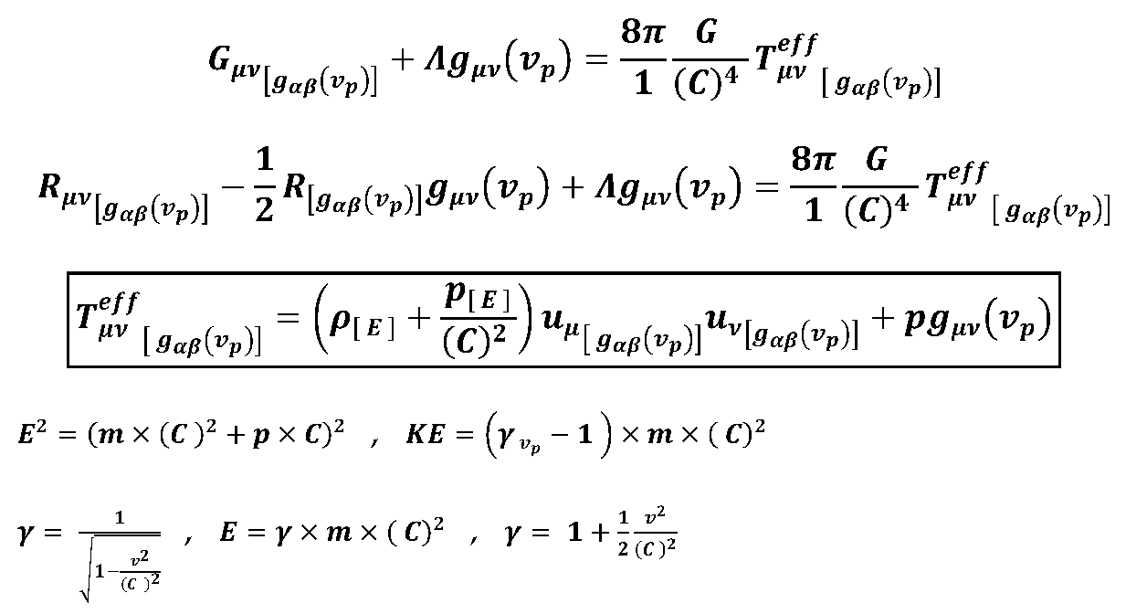
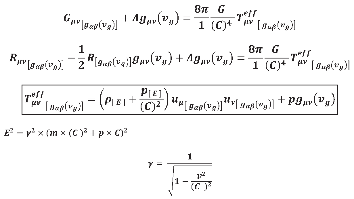
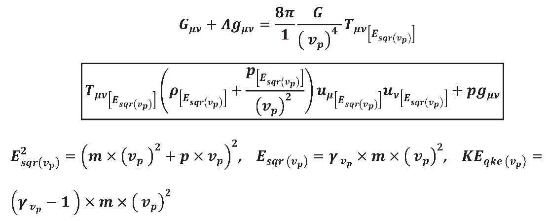
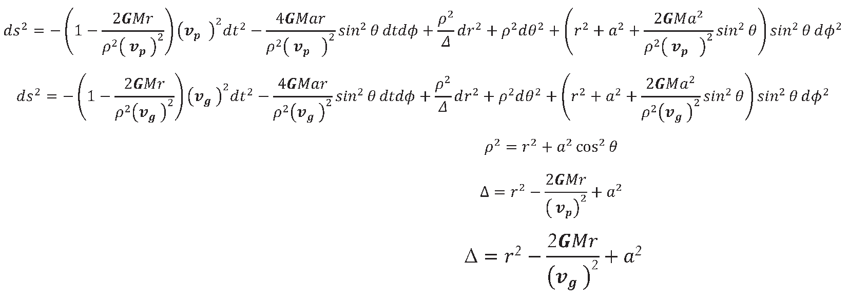
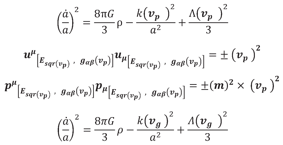
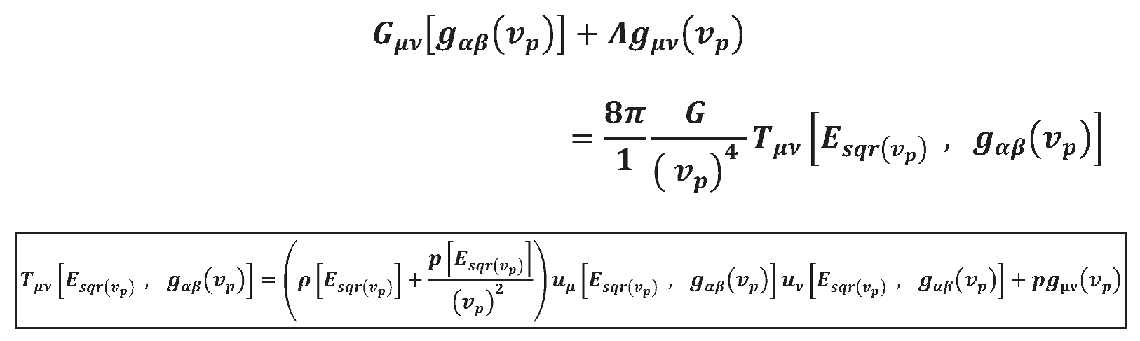
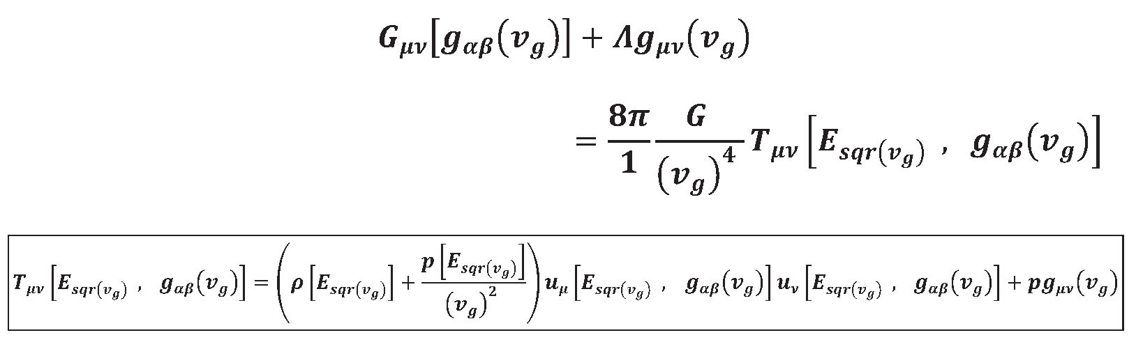
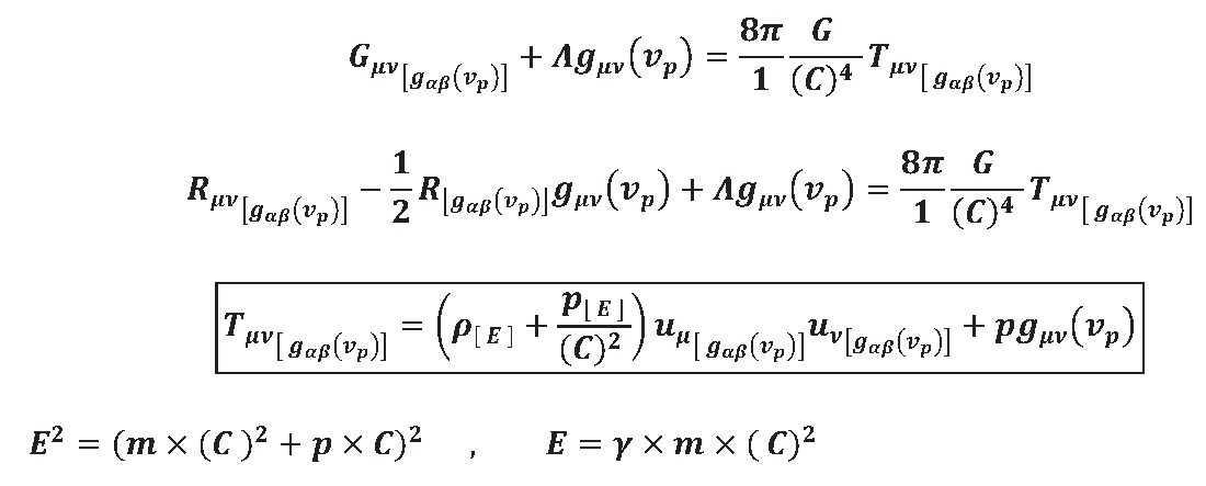
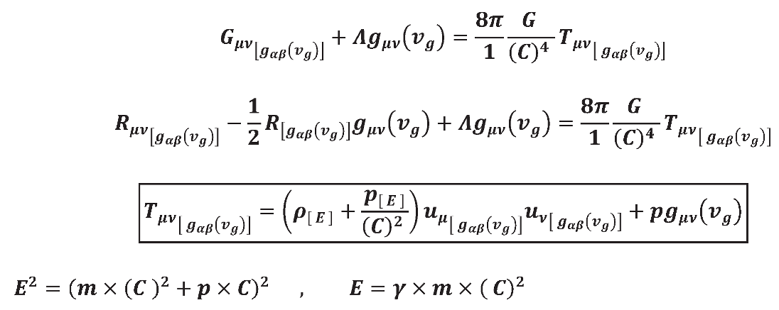
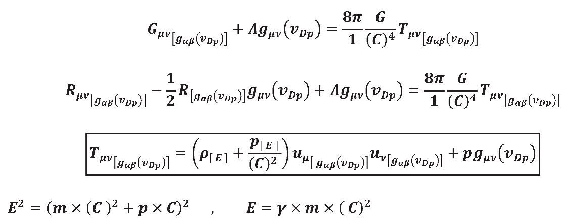
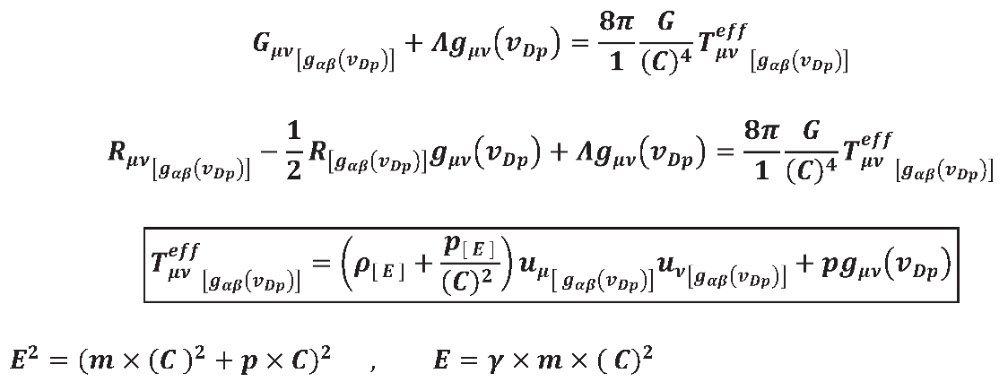
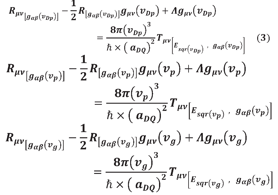
Whererepresents the Einstein tensor for phase velocity, is the energy-momentum tensor phase velocity, represents the Einstein tensor for group velocity, represents the Einstein tensor for David's velocity of the stationary phase, is the energy-momentum tensor group velocity, is the energy-momentum tensor David's velocity of the stationary phase
is the gravitational coefficient for Phase Velocity,is the Phase Velocity,Gis the universal gravitational constant,is the gravitational coefficient for Group Velocity,is the gravitational coefficient for David's velocity of the stationary phase.
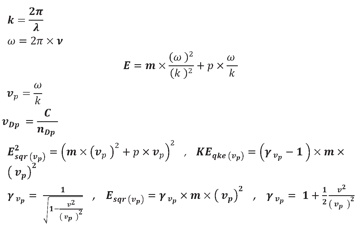
Whererepresents the electron charge,is the Phase Velocity,is the Group Velocity,David's Quantum Acceleration,
, is the David's quantum refractive index,is the David's velocity of the stationary phase, is the Phase Velocity


What does the equation tell us?
1) The refractive index determines the medium in which the equation operates.
2) Planck's refractive index is n = 1. This is known as the quantum vacuum medium (the quantum David medium), meaning a real medium. Everything within the Planck medium is governed by Planck's laws in a medium of n = 1.
3) Wherever relativity operates in this medium, its maximum value is the Planck value.
4) The universal gravitational constant and the speed of light will remain constants because they are within a Planck medium (n = 1). This means that anything within a Planck medium obeys Planck's constants.
5) Gravity will be a universal constant as long as it is within this medium. Therefore, when gravity is applied to Planck's constants, it produces an antigravity, just as antienergy or quantum vacuum energy does, because of the refractive index (n); this leads to a rebound.
6) Dark mass is formed as a result of this medium due to the presence of virtual particles.
7) These virtual particles are produced by dark energy, and a portion of dark energy can produce dark mass, and dark mass can produce dark energy.
The new equation will be known as general quantum relativity, and it defines the medium in which it will operate. Each medium is defined by its refractive index, and all the equation does is follow the properties of that medium.
The classical general equation of relativism does not specify the medium in which it will operate; therefore, singularity arises because it takes infinite values. However, if it operates within a quantum vacuum, it obeys the laws of that medium; that is, that medium governs it. For example, if this medium has a refractive index of 1, it is governed by Planck's constants and cannot exceed them because the medium itself determines them.
A singularity will not occur because the curvature is Planck's curvature, and the hole will not completely evaporate because the temperature is Planck's temperature. Therefore, the hole is a stable object (a Planck point) that stores information, and this solves the Hawking radiation problem.
The reversal occurs at the Planck point, resulting in multiple universes. This is because the reversal occurs in two directions: a normal direction and an opposing direction, creating a universe in dark energy. The other side represents the opposing dark energy.
This explains how a rebound occurs in a medium where antigravity is formed or because the ultimate values of Planck's constants do not exceed the recoil event; for every action there is an equal and opposite reaction because of the refractive index (n). This causes gravity at the Planck scale to cease and act as antigravity, or quantum vacuum energy, due to the refractive index creating dark energy. The problem of the cosmological constant is solved by the fact that it has become dark energy due to recoil. In this way, time does not reach zero, but it allows the universe to expand again because the shortest time is the Planck time, and this time occurs within the Planck point.
Holography means that spacetime does not exceed the Planck length, Planck curvature, and Planck volume. This prevents the formation of information exceeding the Planck limit; that is, the number of bits within the volume and on its surface corresponds to the Planck length and volume.
Virtual particles may be part of David's quantum medium, or they may be virtual particles with Planck mass, Planck density, and Planck volume—that is, they reach Planck constants. This may explain the addition of a hidden mass known as dark mass.
Dirac quantitative equation
This explains why Planck's orbit appears in the equation.
Properties of a David Quantum Medium (n = 1)
1) Within this medium, Planck's constants are applied and are not exceeded
2) Virtual particles are part of this medium.
3) Infinite absolute values cannot be assumed within this medium because the maximum values attainable are Planck's constants.
4) Virtual particles act as a hidden space because the refractive index of the medium is 1. They behave like a glass test cup inside another glass test cup, with oil in between. Therefore, they are neglected and not considered part of the medium; they are called a vacuum. This means that n=1 represents the disappearance of molecules from the medium and does not represent a vacuum.
5) Another important characteristic of the medium is that it is a real medium.
6) This medium is the fundamental component of all other mediums; in other words, this medium determines the stability of the force of four or five (if it exists in nature).
3. These Laws Have Been Modified from the Mix Planck Laws
What happens is that the electron connects to the other electron through space-time, as space-time acts like a quantum tunnel that connects the two electrons. In this way, the electron does not penetrate the speed of light, But in relation to large objects, you see that it has crossed the speed of light.
1) the connection between relativity and quantum mechanics occurs via quantum entanglement and loop gravitational entanglement.
2) quantum entanglement occurs by the contraction of space-time.
3) space-time contraction occurs by space-time absorbing energy.
4) the quantum jump of the electron occurs as a result of the contraction of space-time.
4. Derivation of Equations
Completing the derivation of the laws resulting from quantum relativity ( quantum world )


This is derivation number 1

is the Phase Velocity

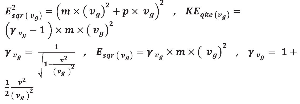
𝒗𝒈 𝒊𝒔 𝒕𝒉𝒆 𝑮𝒓𝒐𝒖𝒑 𝑽𝒆𝒍𝒐𝒄𝒊𝒕𝒚
This is derivation number 2

is the gravitational coefficient for Phase Velocity

This is derivation number 3


is the gravitational coefficient for Group Velocity

This is derivation number 4

is the gravitational coefficient for David's velocity of the stationary phase

This is derivation number 5

This is derivation number 6


is the special quantum relativity for phase velocity , is the quantum kinetic energy for phase velocity

is the special quantum relativity for group velocity, is the quantum kinetic energy for group velocity

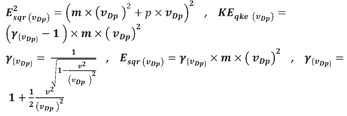
is the special quantum relativity for David's velocity of the stationary phase, is the quantum kinetic energy for David's velocity of the stationary phase
This is derivation number 7

is the Phase Velocity,is thefor phase velocity
This is derivation number 8

is the special quantum relativity phase velocity, is the quantum kinetic energy phase velocity

is the special quantum relativitygroup velocity,is the quantum kinetic energygroup velocity

is the special quantum relativityDavid's velocity of the stationary phase, is the quantum kinetic energyDavid's velocity of the stationary phase

• General quantitative relativity of effective phase velocity

• General quantitative relativity of effective group velocity

is the special quantum relativity for phase velocity

is the special quantum relativity for group velocity

is the special quantum relativity phase velocity

is the special quantum relativity group velocity

is the special quantum relativityphase velocity
is the special quantum relativity of effective group velocityphase velocity
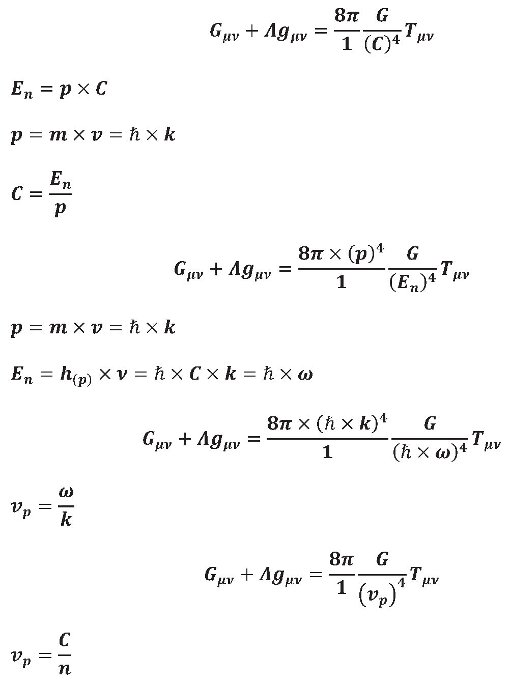
These are some equations after removing the speed of light and putting in the phase speed. The phase velocity was included because it became clear from the derivation, I made that from Einstein's perspecve on the speed of light he was focusing on the speed of light in a vacuum and did not consider other media such as water which affect the speed of light as Christian Huygens explained it and therefore this had to be into account in the calculations.

• General quantitative relativity for David′s velocity of the stationary phase

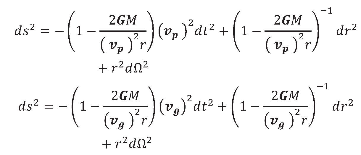
2. (𝑆𝑐ℎ𝑤𝑎𝑟𝑧𝑠𝑐ℎ𝑖𝑙𝑑 𝑀𝑒𝑡𝑟𝑖𝑐)

3. (𝐾𝑒𝑟𝑟 𝑀𝑒𝑡𝑟𝑖𝑐)


4. (𝐾𝑒𝑟𝑟 − 𝑁𝑒𝑤𝑚𝑎𝑛 𝑀𝑒𝑡𝑟𝑖𝑐)

5. (𝑆𝑐ℎ𝑤𝑎𝑟𝑧𝑠𝑐ℎ𝑖𝑙𝑑 𝑅𝑎𝑑𝑖𝑢𝑠)

6. (𝐺𝑟𝑎𝑣𝑖𝑡𝑎𝑡𝑖𝑜𝑛𝑎𝑙 𝑇𝑖𝑚𝑒 𝐷𝑖𝑙𝑎𝑡𝑖𝑜𝑛)

7. (𝐺𝑟𝑎𝑣𝑖𝑡𝑎𝑡𝑖𝑜𝑛𝑎𝑙 𝑅𝑒𝑑𝑠ℎ𝑖𝑓𝑡)

8. (𝐸𝑖𝑛𝑠𝑡𝑒𝑖𝑛 𝑅𝑖𝑛𝑔 𝑜𝑟 𝐺𝑟𝑎𝑣𝑖𝑡𝑎𝑡𝑖𝑜𝑛𝑎𝑙 𝐿𝑒𝑛𝑠𝑖𝑛𝑔 𝐴𝑛𝑔𝑙𝑒)

9. (𝐹𝑟𝑖𝑒𝑑𝑚𝑎𝑛𝑛 𝐸𝑞𝑢𝑎𝑡𝑖𝑜𝑛)

Δφ is the additional precession per orbit
10. (𝑃𝑒𝑟𝑖ℎ𝑒𝑙𝑖𝑜𝑛 𝑃𝑟𝑒𝑐𝑒𝑠𝑠𝑖𝑜𝑛 𝑜𝑓 𝑀𝑒𝑟𝑐𝑢𝑟𝑦)

• General quantitative relativity for phase velocity

• General quantitative relativity for group velocity

is the energy-momentum tensorgroup velocity
The electron generates a constant field while rotating around the nucleus, but when it gains energy, it generates a changing field. This explains why it has a torque resulting from the energy during the experiment. Therefore, if the electron is observed in its normal state without being excited, the electron will behave as a particle, and if it is excited, it will behave as a wave.
The Mössbauer effect proved that general relativity is true. Relativity explains that the fastest speed is the speed of light. However, if the Mössbauer effect differs depending on the medium it is in, due to the refractive index, then relativity will differ.
Metal-organic frameworks (MOFs) can trap molecules like water inside them. What if they were modified to trap electrons to provide electricity, neutrinos, nuclei, neutrons, or antimatter? This would ensure they exist to work on.

• 𝐺𝑒𝑛𝑒𝑟𝑎𝑙 𝑞𝑢𝑎𝑛𝑡𝑖𝑡𝑎𝑡𝑖𝑣𝑒 𝑟𝑒𝑙𝑎𝑡𝑖𝑣𝑖𝑡𝑦 𝑓𝑜𝑟 𝑝ℎ𝑎𝑠𝑒 𝑣𝑒𝑙𝑜𝑐𝑖𝑡𝑦

• 𝐺𝑒𝑛𝑒𝑟𝑎𝑙 𝑞𝑢𝑎𝑛𝑡𝑖𝑡𝑎𝑡𝑖𝑣𝑒 𝑟𝑒𝑙𝑎𝑡𝑖𝑣𝑖𝑡𝑦 𝑓𝑜𝑟 𝑔𝑟𝑜𝑢𝑝 𝑣𝑒𝑙𝑜𝑐𝑖𝑡𝑦

• 𝐺𝑒𝑛𝑒𝑟𝑎𝑙 𝑞𝑢𝑎𝑛𝑡𝑖𝑡𝑎𝑡𝑖𝑣𝑒 𝑟𝑒𝑙𝑎𝑡𝑖𝑣𝑖𝑡𝑦 𝑓𝑜𝑟 𝐷𝑎𝑣𝑖𝑑′𝑠 𝑣𝑒𝑙𝑜𝑐𝑖𝑡𝑦 𝑜𝑓 𝑡ℎ𝑒 𝑠𝑡𝑎𝑡𝑖𝑜𝑛𝑎𝑟𝑦 𝑝ℎ𝑎𝑠𝑒
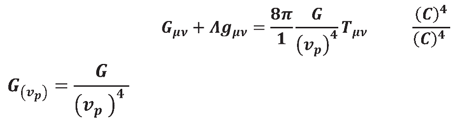
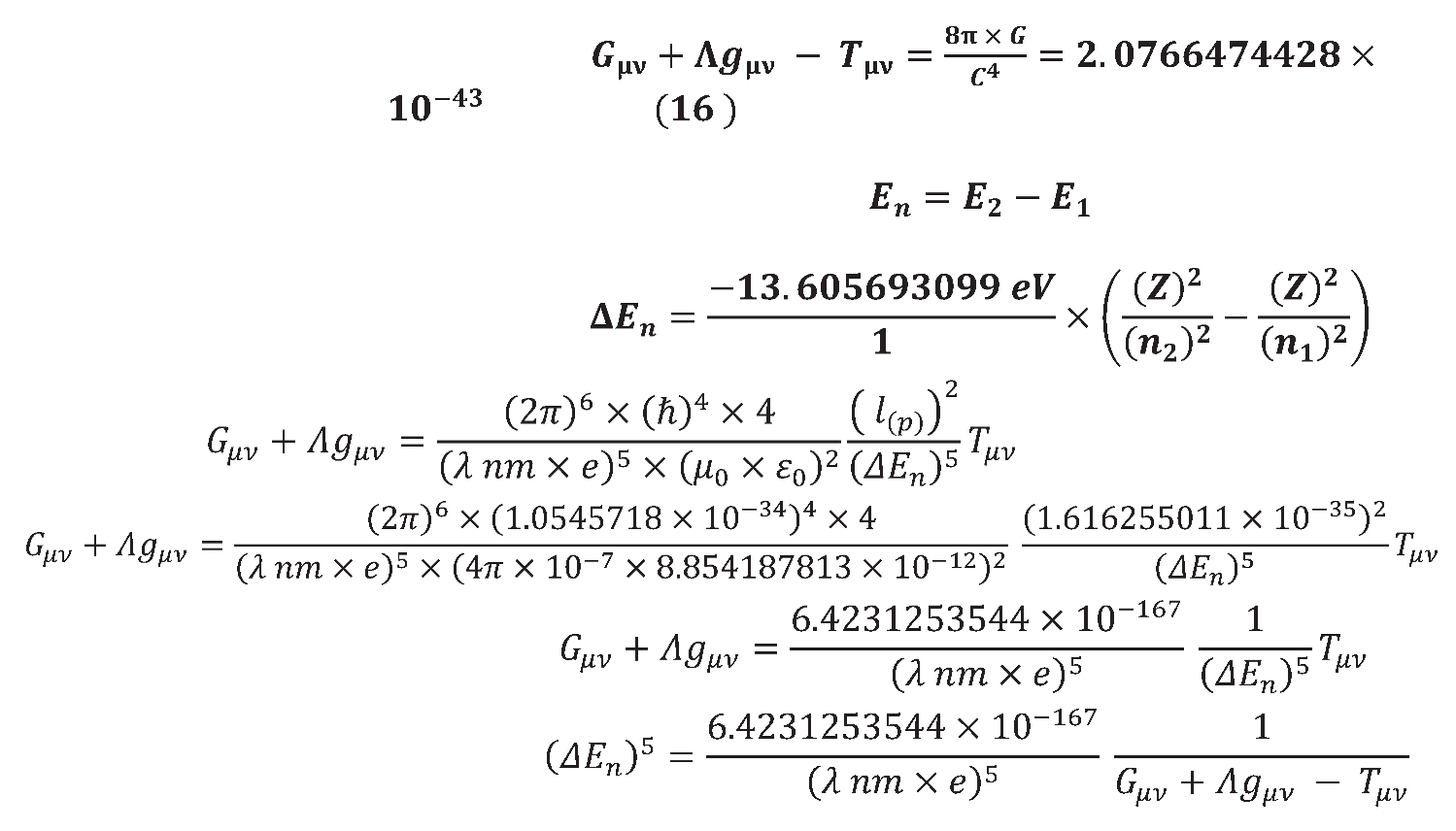
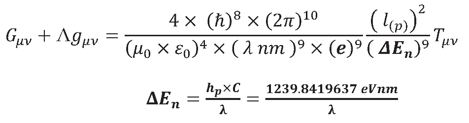
This equation represents a new perspective in terms of adopting the refractive index n = 1, which represents the maximum value for numerical values, namely Planck values, thus preventing access to infinite values.
•
depends on the phase speed and the group speed

Vacuum permittivity,Vacuum permeability

• 𝐆𝐞𝐧𝐞𝐫𝐚𝐥 𝐪𝐮𝐚𝐧𝐭𝐢𝐭𝐚𝐭𝐢𝐯𝐞 𝐫𝐞𝐥𝐚𝐭𝐢𝐯𝐢𝐭𝐲 𝐟𝐨𝐫 𝐩𝐡𝐚𝐬𝐞 𝐯𝐞𝐥𝐨𝐜𝐢𝐭𝐲

• 𝐆𝐞𝐧𝐞𝐫𝐚𝐥 𝐪𝐮𝐚𝐧𝐭𝐢𝐭𝐚𝐭𝐢𝐯𝐞 𝐫𝐞𝐥𝐚𝐭𝐢𝐯𝐢𝐭𝐲 𝐟𝐨𝐫 𝐠𝐫𝐨𝐮𝐩 𝐯𝐞𝐥𝐨𝐜𝐢𝐭𝐲

• 𝐆𝐞𝐧𝐞𝐫𝐚𝐥 𝐪𝐮𝐚𝐧𝐭𝐢𝐭𝐚𝐭𝐢𝐯𝐞 𝐫𝐞𝐥𝐚𝐭𝐢𝐯𝐢𝐭𝐲 𝐟𝐨𝐫 𝐃𝐚𝐯𝐢𝐝′𝐬 𝐯𝐞𝐥𝐨𝐜𝐢𝐭𝐲 𝐨𝐟 𝐭𝐡𝐞 𝐬𝐭𝐚𝐭𝐢𝐨𝐧𝐚𝐫𝐲 𝐩𝐡𝐚𝐬𝐞

• 𝐆𝐞𝐧𝐞𝐫𝐚𝐥 𝐪𝐮𝐚𝐧𝐭𝐢𝐭𝐚𝐭𝐢𝐯𝐞 𝐫𝐞𝐥𝐚𝐭𝐢𝐯𝐢𝐭𝐲 𝐨𝐟 𝐞𝐟𝐟𝐞𝐜𝐭𝐢𝐯𝐞 𝐃𝐚𝐯𝐢𝐝′𝐬 𝐯𝐞𝐥𝐨𝐜𝐢𝐭𝐲 𝐨𝐟 𝐭𝐡𝐞 𝐬𝐭𝐚𝐭𝐢𝐨𝐧𝐚𝐫𝐲 𝐩𝐡𝐚𝐬𝐞
5. Method
My name is Ahmed. I have made a theoretical derivation of the equation of general relativity as explained in this research for the purpose of obtaining an equation that can be applied within the quantum world so that it describes the movement of the electron during the quantum jump in the Bohr model. After that, the researcher Samira reviewed the research and verified it, and then she worked on applying this theory to the movement of the electron during the occurrence of the quantum leap, using previous research and matching it with the results of this equation to determine its validity.
This part of the research will explain the spectrum of the hydrogen atom in a new way, as the results presented in these tables from previous research match the results extracted from the equation, and this is consistent with the validity of this equation. Because the new equation is consistent with the photon energy equation. We will discuss that part of the research in the results and discussion.
Table 5 shows
the measurement results tested.[3] (Nanni, 2015)
Table 5 it represents the theoretical and experimental value of the hydrogen atom. Using the photon energy law mentioned above, this table.

My scientific research explains how the universe initially expanded so quickly that the change in phase velocity from the speed of light led to this expansion in spacetime. Since I put the phase velocity in place of the speed of light in general relativity because of the derivative I did, and this equation will be known as general quantum relativity, then this means that the speed of light was moving differently, and this will lead to spacetime being affected by different media, as my equations show, so the universe was initially expanding, and then inflation occurred as a result of the phase velocity differing from the speed of light, which led to the expansion of spacetime faster than light, and this led to homogeneity in the cosmic background.
Figure 1.
Bohr hydrogen atomic model incorporating de Broglie’s .[
4] (Jordan, 2024).
Figure 1.
Bohr hydrogen atomic model incorporating de Broglie’s .[
4] (Jordan, 2024).
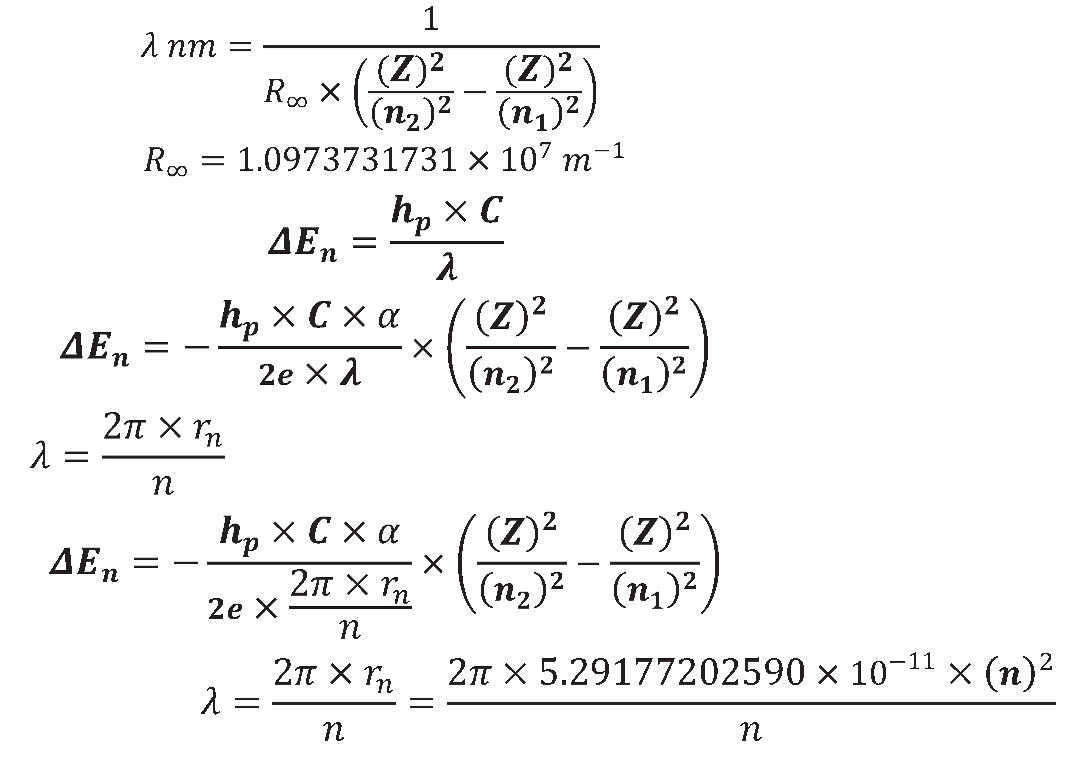
This drawing, taken from previous research, shows how the quantum leap occurs through interference, as my equation showed. When interference occurs between the orbit occupied by the electron and the energy level higher than the electron’s orbit, it occurs in the form of wave interference of this type as a result of a contraction in the fabric of space-time. The black circle represents the orbit occupied by the electron, while the red color represents how interference occurs from the orbit higher to the orbit occupied by the electron in the form of wave interference. In other words, the upper level works to contract, forming a wave equal to the same wave as the level occupied by the electron through the de Broglie equation. n × λ = 2π × r
If we make the electron quantum entangled in particle accelerators, then if we make one of these electrons be in a short line and the other be in a long line, when one approaches the speed of light, the other must exceed the speed of light. In other words, the two entangled bodies are in two dimensions, that is, different dimensions, and this happens as a result, a distortion of space-time, which makes during the measurement that the speed is breached, but in reality it does not exceed the speed. This is the same idea as the distortion of the orbits that I explained. Because it is assumed that the electron does not move from its position, however, a distortion occurs in the orbit with the highest energy, and it forms a wave similar to the orbit occupied by the electron, according to De Broglie’s laws. This occurs through the distortion of space-time as a result of the increase in energy.
Because the equation connects more than one equation into a single equation. As
Figure 2.
The observed emission line spectrum of atomic hydrogen in chapter 2 atoms.[
5] (Manini, 2020).
Figure 2.
The observed emission line spectrum of atomic hydrogen in chapter 2 atoms.[
5] (Manini, 2020).

Table (6) shows the measurement results of one of the previous researches related to the spectrum of the hydrogen atom in chapter 2 atoms.[
5] (Manini, 2020)
This shape is a result of the fact that the electron, after a quantum leap occurred as a result of an interference between the orbital that it occupies and the energy level above it, was in an unstable state. Therefore, when the highest level of energy returns to its position, it releases energy in the form of spectral lines. These lines are determined according to the amount of energy, as shown in the picture.
6. Results Obtained
This scientific research aims to prove a theory by comparing the practical results of this theory with the original results and making the comparison in a table. We will discuss that here .
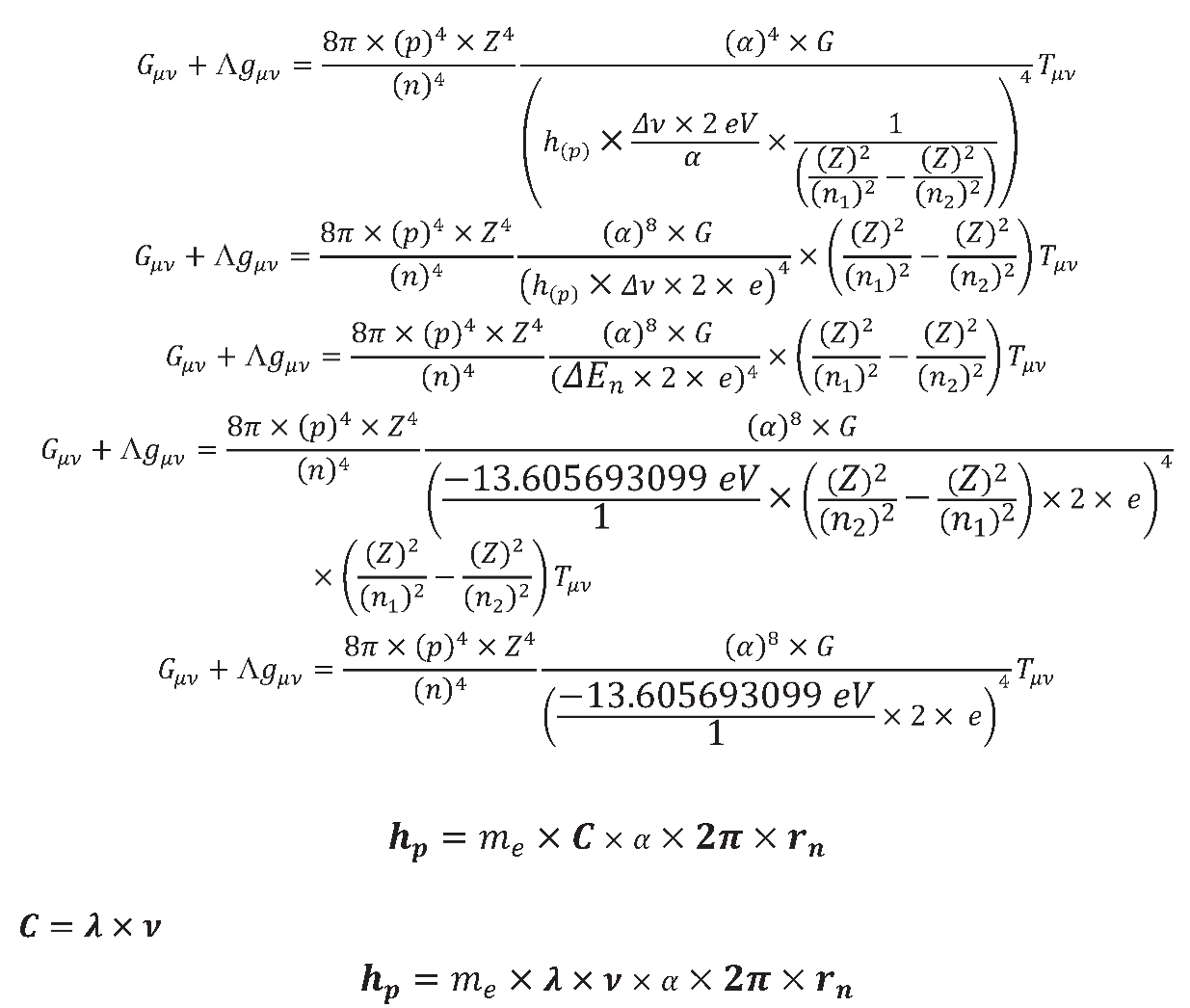
My theory is based on introducing the curvature of spacetime into the equation, but quantum mechanics shows that it is not affected by gravity. How to interact with the curvature of spacetime has not yet been proven. As a result, my equations show a way to conduct an experiment that enables direct interaction with the curvature of spacetime. Therefore, this experiment practically proves that quantum mechanics made a mistake in its concept when it showed gravity does not interact with it. How to conduct an experimental experiment to prove the validity of my equations
Steps to conduct the experiment
1) The place where the experiment will take place must be chosen, and it must be at a high altitude, such as Mount Everest because the higher the altitude, the less gravity.
2) The experiment is about creating a quantum leap for the electron so that we can know the emission lines that represent the fingerprint of the element and compare them at different heights. Let us take the example of the hydrogen atom. After knowing the choice of the element, the device that will measure the spectral lines of the element must be taken to Mount Everest, where the experiment will be conducted.
3) We will excite the element keeping all elements constant as energy and the comparison will be between wavelength and curvature of spacetime. The first measurement is at the bottom of the mountain, that is, before climbing the mountain first. Then we measure in the middle of the mountain, then we test at the top of the mountain and compare the atomic spectra. If my theoretical results are correct, there will be skewing of the spectral lines at different heights due to distortion of the fabric of space-time.
4) If we measure atomic spectra, we also measure the Zeeman, Stark, and magneto-stark effects separately.
The reason they were not previously able to measure the curvature of space-time is because my equations show that the effect of energy and wavelength when measured as two variables will cancel each other out, so space-time will not be affected.
Gravitational Effect on Atomic Energy Levels
Objective: Measure the effect of gravity on atomic energy levels
Equipment:
A gas sample (e.g., hydrogen or cesium) in a vacuum chamber.
A laser to excite electrons at specific energy levels.
A high-precision spectrometer.
A variable gravitational field (e.g., using aircraft simulating microgravity).
Procedure:
.1 Measure the atomic spectrum in a normal gravitational environment.
.2 Measure the spectrum in a reduced-gravity environment (e.g., during parabolic flights).
.3 Compare the energy levels and emission lines.
Expected Outcome:
If the spectrum shifts at different gravitational strengths, it indicates that gravity affects atomic energy levels
My equations clearly show that if proven in practical experiments, it indicates that the gravitational constant G is not a cosmic constant in quantum mechanics, but is affected by the wavelength and the energy difference, that is, it is variable. In other words, gravity is not an absolute quantity, but rather the quantum state is influenced by me. For this reason, quantum mechanics is not related to general relativity.
My equations explain the effect (magnetic attraction) and Bayfield-Brown effect My equations confirm the effect of electromagnetism on gravity.
Well, with these experiments, the Pound-Rebecca experiments, also known as gravitational redshift, will prove what the equation tells you.


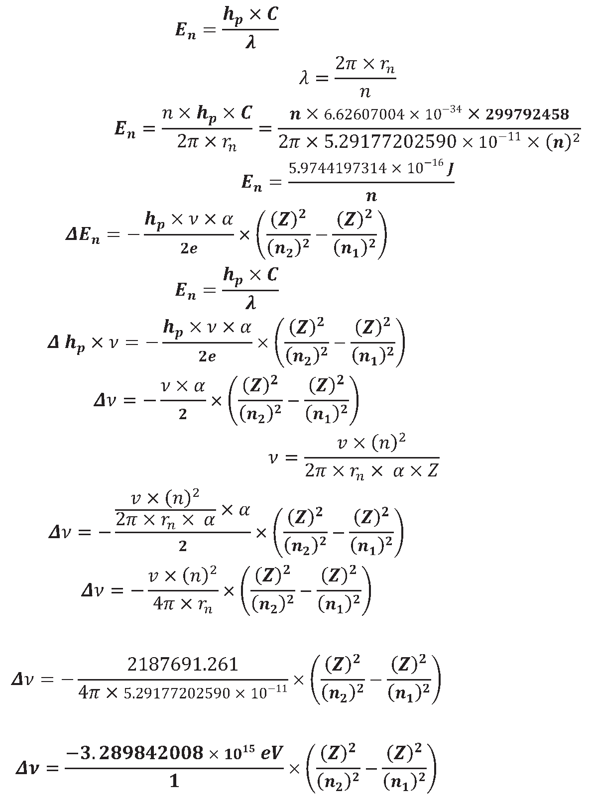
• This example of a hydrogen atom in the Balmer series.

Photon energy equation.

Example of a hydrogen atom.

The unit of measurement for photon energy is electron volt (eV), the wavelength is (nm)


unit of measurement for 𝜟𝑬𝒏 photon energy is electron volt (eV)


Space-time represents in the equation the force of attraction of the nucleus for the electron. Where we take the hydrogen atom compared to the sodium atom. We find after comparison that the undulations that occur in the sodium atom are higher than those that occur in the hydrogen atom. That is, during the occurrence of the quantum jump of the electron, the higher energy level than the level occupied by the electron undulates. So the number of ripples (ripple amplitude) is higher than that of the hydrogen atom during the occurrence of the quantum jump, and this is consistent with the de Broglie equation. n × λ is represented by a ratio to space-time. It is the number of ripples that occur in the energy level higher than the level occupied by the electron until interference occurs between the two levels, the higher energy level and the level occupied by the electron. In other words, as the number of orbitals occupied by the electron increases, the number of ripples that occur at the higher energy levels increases, causing the curvature (contraction) of the fabric of space-time. The interference between the two levels occurs in a wave form so that the quantum jump of the electron occurs. The photon's energy is represented by a ratio to the fabric of space-time, the force that causes the fabric of space-time to bend (contract). The more energy increases, the more space-time contracts through the occurrence of quantum disturbances at the highest energy level, which makes the highest energy level generate waves similar to the orbital number occupied by the electron. Because of these disturbances that occur at the highest energy level, the two levels interfere with each other, the highest energy level, and the level occupied by the electron. A quantum leap occurs, and this is consistent with the quantum Zeno effect, where the electron will remain fixed in its position. This is what my equation indicates, as I explain that these quantum fluctuations occur through a contraction in the fabric of space-time. This contraction occurs as a result of this tissue absorbing energy. Because of this, contraction affects the energy levels in the atom. This contraction works to contract the energy level higher than the level occupied by the electron. Wave interference occurs between the highest energy level and the level occupied by the electron, and a quantum jump occurs from the observer’s perspective. But from the electron's perspective, it remains fixed in its position.
The Casimir effect is according to a law that states that after all the objects acting on the plates disappear until imaginary particles are detected. My equation proves that there is one thing that was not included in the calculations, which is the effect of space-time. Since the plates have a static mass that works to curve space-time, and the presence of imaginary particles works when they collide with each other, they disappear. But according to the law of conservation of energy, the energy will not disappear and will affect the fabric of space-time, making it turbulent like a water wave, and these disturbances that occur on it form waves. This wave works to impact the panels from moving in and out, and because the external disturbances are higher than the internal ones, they cause the panels to move towards each other.
This relationship shows that although we cannot measure what happens when an electronic quantum jump occurs. This law also shows that there is a relationship between the energy of the photon and the fabric of space-time, even if it is not measured by measuring devices. Because measuring devices are considered primitive devices when making the process of measuring the quantitative world. What is being measured are the spectra of the elements being measured, not what happens to the electron when the quantum jump of the electron to the higher level. Second, Maxwell told Rutherford that the electron changes direction as it orbits the nucleus, so it must lose energy to cause a collision with the nucleus, which it does not. My equation tells me the electron moves in a large circle around the nucleus. A body moving in a large circle whose direction of motion is in a straight line. Thus, the electron moves in a straight line. Newton's law states that an object at rest remains at rest unless acted upon by an external or internal force. Likewise, an object in motion stays in motion unless an external or internal force affects its movement, the electron does not lose energy.
Table 7.
Comparing my theoretical results through my equation with previous results. Theoretical value (My work) ---------Experimental value
Table 7.
Comparing my theoretical results through my equation with previous results. Theoretical value (My work) ---------Experimental value
| Spectral Line |
Energy |
|
λ |
|
λ |
|
λ(n’=2, n=1) |
10.204269824 |
eV |
121.50227268 |
nm |
121.5 nm |
|
λ(n’=3, n=1) |
12.093949421 |
eV |
102.51754257 |
nm |
102.5 nm |
|
λ(n’=4, n=1) |
12.75533728 |
eV |
97.20181814 |
nm |
97.20 nm |
|
λ(n’=3, n=2) |
1.8896795971 |
eV |
656.11227245 |
nm |
656.1 nm |
|
λ(n’=4, n=2) |
2.5510674561 |
eV |
486.0090907 |
nm |
486.0 nm |
|
λ(n’=4, n=3) |
0.66138785898 eV |
1874.6064927 |
nm |
1874.6 nm |
The results of the experimental value were obtained by using the results of previous research on the hydrogen atom. I prove in
Table 7 that the results of the equations are identical to their original results in Table 5, which indicates the validity of this law

Photon energy equation.

These are the results of a relationship between energy and wavelength. The observed results show that whenever the energy increases, the wavelength decreases, as shown by this equation in the hydrogen atom.
7. Conclusions
After the idea of research has been clarified using theoretical and practical scientific evidence to explain the phenomenon of the quantum leap and quantum entanglement from a new perspective, these equations would be used in the following:
1) serving humanity in the advancement of scientific research.
2) using these equations to explore space and quantum world.
3) using these equations in developing communications machines .
References
- Svidzinsky, A. Scully, M. Bohrʹs molecular model, a century later. Physics T. 2014, 67, 33-39. [CrossRef]
- Udema, I. I. Renaissance of Bohr's model via derived alternative equation. American J. Mod. Phys 2017, 6, 23–31. [Google Scholar] [CrossRef]
- Nanni, L. The hydrogen atom: A review on the birth of modern quantum mechanics. Physics 2015. [Google Scholar] [CrossRef]
- Jordan, R. B. Principles of Inorganic Chemistry; Springer N., 2024; p. pp. 1--18. [Google Scholar] [CrossRef]
- Manini, N. Introduction to the physics of matter: basic atomic, molecular, and solid-state physics; Springer N., 2020; p. pp. 11--16. [Google Scholar] [CrossRef]
|
Disclaimer/Publisher’s Note: The statements, opinions and data contained in all publications are solely those of the individual author(s) and contributor(s) and not of MDPI and/or the editor(s). MDPI and/or the editor(s) disclaim responsibility for any injury to people or property resulting from any ideas, methods, instructions or products referred to in the content. |
© 2026 by the authors. Licensee MDPI, Basel, Switzerland. This article is an open access article distributed under the terms and conditions of the Creative Commons Attribution (CC BY) license (http://creativecommons.org/licenses/by/4.0/).