Submitted:
26 September 2024
Posted:
27 September 2024
You are already at the latest version
Abstract
Keywords:
1. Introduction
2. Study Area
3. Materials and Methods
3.1. Experimental Design and Sampling
3.2. Chemical Study
3.3. Mineralogical Characterization
4. Results and Discussion
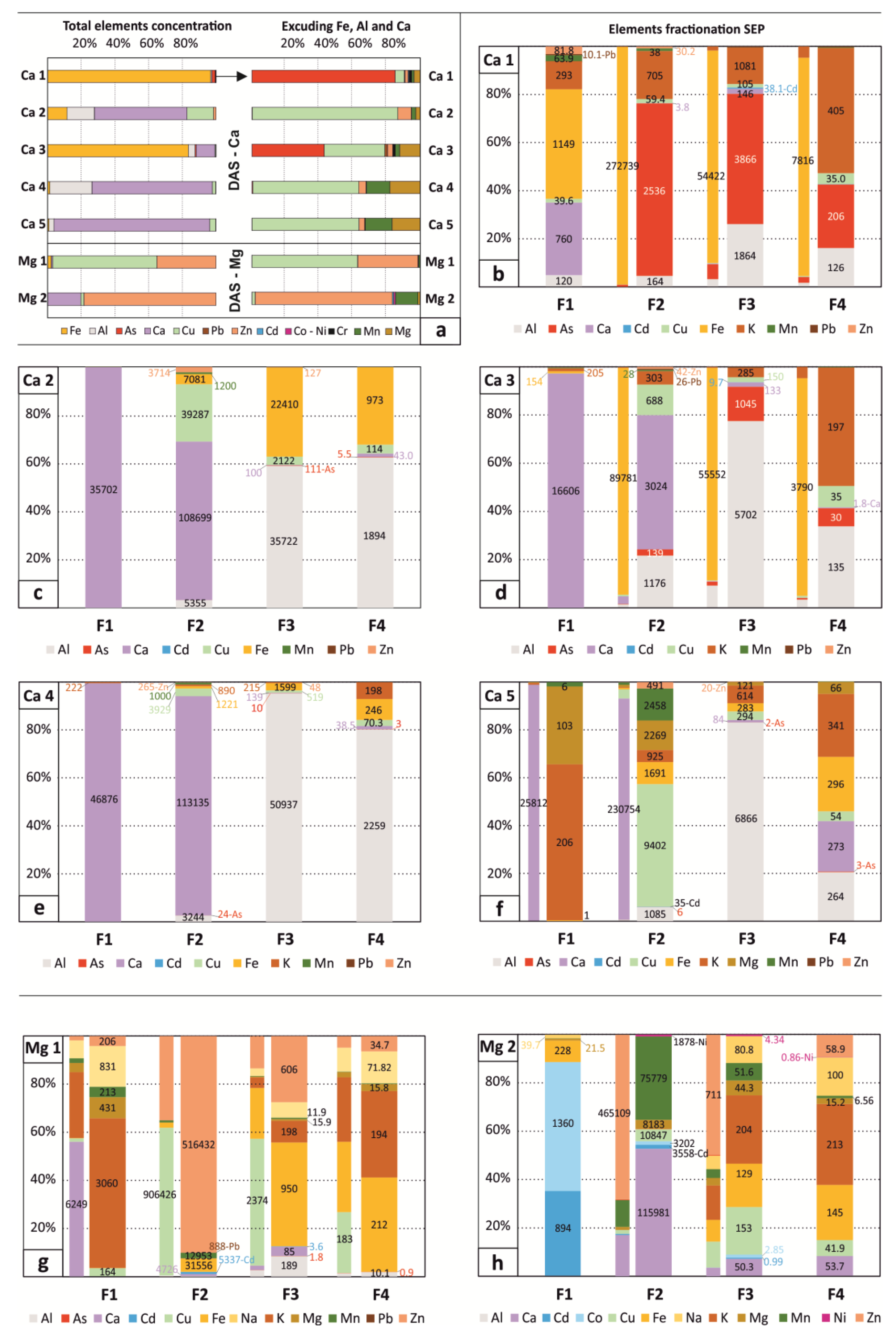
4.1. Metal Partition from AMD to Solid Phases
4.2. DAS Mineralogical Assemblages
4.3. Possible Environmental Implication of Residues Management
5. Conclusions
Supplementary Materials
Author Contributions
Funding
Data Availability Statement
Acknowledgments
Conflicts of Interest
References
- Nordstrom, D.K., Blowes, D.W., Ptacek, C.J. Hydrogeochemistry and microbiology of mine drainage: An update. Appl. Geochem. 2015, 57, 3–16. [CrossRef]
- Delgado, J., Barba-Brioso, C., Ayala, D., Boski, T., Torres, S., Calderón, E., López, F. Remediation experiment of Ecuadorian acid mine drainage: geochemical models of dissolved species and secondary minerals saturation. ESPR 2019. [CrossRef]
- Park, I., Tabelin, C.B., Magaribuchi, K., Seno, K., Ito, M., Hiroyoshi, N. Suppression of the release of arsenic from arsenopyrite by carrier-microencapsulation using Ti-catechol complex. J Hazard Mater 2018, 344, 322–332. [CrossRef]
- Jouini, M., Rakotonimaro, T. V, Neculita, C.M., Genty, T., Benzaazoua, M. Stability of metal-rich residues from laboratory multi-step treatment system for ferriferous acid mine drainage. ESPR 2019, 26, 588–601. [CrossRef]
- Genty, T., Bussière, B., Benzaazoua, M., Zagury, G.J. Capacity of Wood Ash Filters to Remove Iron from Acid Mine Drainage: Assessment of Retention Mechanism. Mine Water Environ 2012, 31, 273–286. [CrossRef]
- Neculita, C.-M., Zagury, G.J., Bussière, B. Effectiveness of sulfate-reducing passive bioreactors for treating highly contaminated acid mine drainage: II. Metal removal mechanisms and potential mobility. Appl. Geochem 2008, 23, 3545–3560. [CrossRef]
- Rakotonimaro, T. V, Neculita, C.M., Bussière, B., Genty, T., Zagury, G.J. Performance assessment of laboratory and field-scale multi-step passive treatment of iron-rich acid mine drainage for design improvement. ESPR 2018, 25, 17575–17589. [CrossRef]
- Jouini, M., Benzaazoua, M., Neculita, C.M., Genty, T. Performances of stabilization/solidification process of acid mine drainage passive treatment residues: Assessment of the environmental and mechanical behaviors. J Environ Manage 2020, 269, 110764. [CrossRef]
- Skousen, J., Zipper, C.E., Rose, A., Ziemkiewicz, P.F., Nairn, R., McDonald, L.M., Kleinmann, R.L. Review of Passive Systems for Acid Mine Drainage Treatment. Mine Water Environ 2017, 36, 133–153. [CrossRef]
- Ayora, C., Caraballo, M.A., Macias, F., Rötting, T.S., Carrera, J., Nieto, J.-M. Acid mine drainage in the Iberian Pyrite Belt: 2. Lessons learned from recent passive remediation experiences. ESPR 2013, 20, 7837–7853. [CrossRef]
- Caraballo, M.A., Macías, F., Nieto, J.M., Castillo, J., Quispe, D., Ayora, C. Hydrochemical performance and mineralogical evolution of a dispersed alkaline substrate (DAS) remediating the highly polluted acid mine drainage in the full-scale passive treatment of Mina Esperanza (SW Spain). Am Min 2011, 96, 1270–1277.
- Macías, F., Pérez-López, R., Caraballo, M.A., Cánovas, C.R., Nieto, J.M. Management strategies and valorization for waste sludge from active treatment of extremely metal-polluted acid mine drainage: A contribution for sustainable mining. J Clean Prod 2017, 141, 1057–1066. [CrossRef]
- Rakotonimaro, T. V, Neculita, C.M., Bussière, B., Zagury, G.J. Effectiveness of various dispersed alkaline substrates for the pre-treatment of ferriferous acid mine drainage. Appl. Geochem. 2016, 73, 13–23. [CrossRef]
- Rötting, T.S., Thomas, R.C., Ayora, C., Carrera, J. Passive Treatment of Acid Mine Drainage with High Metal Concentrations Using Dispersed Alkaline Substrate. J Environ Qual 2008, 37, 1741–1751. [CrossRef]
- Macías, F., Caraballo, M.A., Nieto, J.M., Rötting, T.S., Ayora, C. Natural pretreatment and passive remediation of highly polluted acid mine drainage. J Environ Manage 2012, 104, 93–100. [CrossRef]
- Rakotonimaro, T. V, Neculita, C.M., Bussière, B., Benzaazoua, M., Zagury, G.J. Recovery and reuse of sludge from active and passive treatment of mine drainage-impacted waters: a review. ESPR 2017, 24, 73-91. [CrossRef]
- Jouini, M., Benzaazoua, M., Neculita, C.M., Genty, T. Performances of stabilization/solidification process of acid mine drainage passive treatment residues: Assessment of the environmental and mechanical behaviors. J Environ Manage 2020, 269, 110764. [CrossRef]
- Fanfani, L., Zuddas, P., Chessa, A. Heavy metals speciation analysis as a tool for studying mine tailings weathering. J Geochem Explor 1997, 58, 241–248. [CrossRef]
- Khorasanipour, M., Tangestani, M.H., Naseh, R., Hajmohammadi, H. Hydrochemistry, mineralogy and chemical fractionation of mine and processing wastes associated with porphyry copper mines: A case study from the Sarcheshmeh mine, SE Iran. Appl. Geochem. 2011, 26, 714–730. [CrossRef]
- Ribeta, I., Ptacek, C.J., Blowes, D.W., Jambor, J.L. The potential for metal release by reductive dissolution of weathered mine tailings. J Contam Hydrol 1995, 17, 239–273. [CrossRef]
- Dold, B. Speciation of the most soluble phases in a sequential extraction procedure adapted for geochemical studies of copper sulfide mine waste. J Geochem Explor 2003, 80, 55–68. [CrossRef]
- Sahuquillo, A., Rigol, A., Rauret, G. Overview of the use of leaching/extraction tests for risk assessment of trace metals in contaminated soils and sediments. TrAC 2003, 22, 152–159. [CrossRef]
- U.S. EPA (U.S. Environmental Protection Agency). 2019. Guidelines for Human Exposure Assessment. (EPA/100/B-19/001). Washington, D.C.: Risk Assessment Forum, U.S. EPA.
- Betancourt, O., Narváez, A., Roulet, M. Small-scale Gold Mining in the Puyango River Basin,Southern Ecuador: A Study of Environmental Impacts andHuman Exposures. Ecohealth 2005, 2, 323–332. [CrossRef]
- Delgado, Joaquín, Ayala, Di., Páez, H.S. Treatment system to improve the drainage water quality of the Puyango River environmental liabilities. Geogaceta 2018, 64, 63–66 .
- Delgado, J, Barba-Brioso, C., Boski, T. Mine wastes characterisation and experimental design of a controlled tailing storage in the Zaruma-Portovelo mining district (SE Ecuador). Geogaceta 2018, 64, 135–138.
- Guimaraes, J.R.D., Betancourt, O., Miranda, M.R., Barriga, R., Cueva, E., Betancourt, S. Long-range effect of cyanide on mercury methylation in a gold mining area in southern Ecuador. STOTEN 2011, 409, 5026–5033. [CrossRef]
- Tarras-Wahlberg, N.H., Flachier, A., Lane, S.N., Sangfors, O. Environmental impacts and metal exposure of aquatic ecosystems in rivers contaminated by small scale gold mining: the Puyango River basin, southern Ecuador. STOTEN 2001, 278, 239–261. [CrossRef]
- Tarras-Wahlberg, N.H., Lane, S.N. Suspended sediment yield and metal contamination in a river catchment affected by El Niño events and gold mining activities: the Puyango river basin, southern Ecuador. Hydrol Process 2003, 17, 3101–3123. [CrossRef]
- Rötting, T.S., Ayora, C., Carrera, J. Improved Passive Treatment of High Zn and Mn Concentrations Using Caustic Magnesia (MgO): Particle Size Effects. Environ Sci Technol 2008, 42, 9370–9377. [CrossRef]
- Cabrera, G., Pérez, R., Gómez, J.M., Ábalos, A., Cantero, D. Toxic effects of dissolved heavy metals on Desulfovibrio vulgaris and Desulfovibrio sp. strains. J Hazard Mater 2006, 135, 40–46. [CrossRef]
- Cortina, J.L., Lagreca, I.H., de Pablo, J., Cama, J., Ayora, C. Passive in situ remediation of metal-polluted water with caustic magnesia: evidence from column experiments. Environ Sci Technol 2003, 37 9, 1971–7.
- Gibert, O., de Pablo, J., Cortina, J.L., Ayora, C. Sorption studies of Zn(II) and Cu(II) onto vegetal compost used on reactive mixtures for in situ treatment of acid mine drainage. Water Res 2005, 39, 2827–2838. [CrossRef]
- Rötting, T.S., Cama, J., Ayora, C., Cortina, J.L., Pablo, J. De. Use of caustic magnesia to remove cadmium, nickel, and cobalt from water in passive treatment systems: Column experiments. Environ Sci Technol 2006, 40, 6438–6443. [CrossRef]
- Caraballo, M.A., Rötting, T.S., Nieto, J.M., Ayora, C. Sequential extraction and DXRD applicability to poorly crystalline Fe- and Al-phase characterization from an acid mine water passive remediation system. Am Min 2009, 94, 1029–1038.
- Delgado, J., Barba-Brioso, C., Nieto, J.M., Boski, T. Speciation and ecological risk of toxic elements in estuarine sediments affected by multiple anthropogenic contributions (Guadiana saltmarshes, SW Iberian Peninsula): I. Surficial sediments. STOTEN 2011, 409. [CrossRef]
- Tessier, A., Campbell, P.G.C., Bisson, M. Sequential extraction procedure for the speciation of particulate trace metals. Anal Chem 1979, 51, 844–851. [CrossRef]
- Dold, B. Speciation of the most soluble phases in a sequential extraction procedure adapted for geochemical studies of copper sulfide mine waste. J Geochem Explor 2003, 80, 55–68. [CrossRef]
- Sahuquillo, A., Rigol, A., Rauret, G. Overview of the use of leaching/extraction tests for risk assessment of trace metals in contaminated soils and sediments. TrAC 2003, 22, 152–159. [CrossRef]
- Hernández, J., Meurer, E. Óxidos de hierro en los suelos: sus propiedades y su caracterización con énfasis en los estudios de retención de fósforo. Agrociencia 1997, 1, 1-14.
- Sánchez-España, J., Yusta, I., Gray, J., Burgos, W.D. Geochemistry of dissolved aluminum at low pH: Extent and significance of Al–Fe(III) coprecipitation below pH 4.0. Geochim Cosmochim Acta 2016, 175, 128–149. [CrossRef]
- Hammarstrom, J.M., Seal, R.R., Meier, A.L., Kornfeld, J.M. Secondary sulfate minerals associated with acid drainage in the eastern US: recycling of metals and acidity in surficial environments. Chem Geol 2005, 215, 407–431. [CrossRef]
- Marescotti, P., Carbone, C., Comodi, P., Frondini, F., Lucchetti, G. Mineralogical and chemical evolution of ochreous precipitates from the Libiola Fe–Cu-sulfide mine (Eastern Liguria, Italy). Appl Geochem 2012, 27, 577–589. [CrossRef]
- Nordstrom, D.K., Alpers, C.N. 1999. Geochemistry of Acid Mine Drainage. The Environmental Geochemistry of Mineral Deposits.
- Delgado, J., Sarmiento, A.M., Condesso De Melo, M.T., Nieto, J.M. Environmental impact of mining activities in the southern sector of the Guadiana Basin (SW of the Iberian Peninsula). Water Air Soil Pollut 2009, 199. [CrossRef]
- Baes, C.F., Mesmer, R.S. 1977. The Hydrolysis of Cations. John Wiley & Sons, New York, London, Sydney, Toronto 1976. 489 pp., Berichte der Bunsengesellschaft für physikalische Chemie. John Wiley & Sons, Ltd. [CrossRef]
- Carbone, C., Dinelli, E., Marescotti, P., Gasparotto, G., Lucchetti, G. The role of AMD secondary minerals in controlling environmental pollution: Indications from bulk leaching tests. J Geochem Explor 2013, 132, 188–200. [CrossRef]
- Zachara, J.M., Cowan, C.E., Resch, C.T. Sorption of divalent metals on calcite. Geochim Cosmochim Acta 1991, 55, 1549–1562. [CrossRef]
- Papassiopi, N., Zaharia, C., Xenidis, A., Adam, K., Liakopoulos, A., Romaidis, I. Assessment of contaminants transport in a watershed affected by acid mine drainage, by coupling hydrological and geochemical modeling tools. Miner Eng 2014, 64, 78–91. [CrossRef]
- Hudson-Edwards, K.A., Jamieson, H.E., Lottermoser, B.G. Mine wastes: past, present, future. Elements 2011, 7, 375–380.
- Behum, P. and Kim, K., 1999, “Workshop for the application of passive technology to the treatment of acid mine drainage,” Office of Surface Mines, Alton, Illinois, presented at Jasper, Indiana.
- Barba-Brioso, C., Martín, D., Romero-Baena, A., Campos, P., Delgado, J. Revalorisation of Fine Recycled Concrete in Acid Mine Water Treatment: A Challenge to a Circular Economy. Minerals 2023, 13. [CrossRef]
- Katsioti, M., Tsakiridis, P.E., Leonardou-Agatzini, S., Oustadakis, P. Examination of the jarosite–alunite precipitate addition in the raw meal for the production of sulfoaluminate cement clinker. J Hazard Mater 2006, 131, 187–194. [CrossRef]
- Shum, M., Lavkulich, L. Speciation and solubility relationships of Al, Cu and Fe in solutions associated with sulfuric acid leached mine waste rock. Environ Geol 1999, 38, 59–68. [CrossRef]
- Warr, L.N. IMA–CNMNC approved mineral symbols. Mineral Mag 2021, 85, 291–320. DOI: . [CrossRef]
- Jensen, D.L., Boddum, J.K., Tjell, J.C., Christensen, T.H. The solubility of rhodochrosite (MnCO3) and siderite (FeCO3) in anaerobic aquatic environments. Appl Geochem 2002, 17, 503–511. [CrossRef]
- Jambor, J.L., Nordstrom, D.K., Alpers, C.N. Metal-sulfate Salts from Sulfide Mineral Oxidation. Rev Mineral Geochem 2000, 40, 303–350. [CrossRef]
- Mehdaoui, H.Y., Guesmi, Y., Jouini, M., Neculita, C.M., Pabst, T., Benzaazoua, M. Passive treatment residues of mine drainage: Mineralogical and environmental assessment, and management avenues. Miner Eng 2023, 204, 108362. [CrossRef]
- Lounate, K., Coudert, L., Genty, T., Mercier, G., Blais, J.F. Geochemical behavior and stabilization of spent sulfate-reducing biofilter mixtures for treatment of acid mine drainage. STOTEN 2020, 718, 137394.
- McCann, J.I., Nairn, R.W. Characterization of residual solids from mine water passive treatment oxidation ponds at the tar creek superfund site, Oklahoma, USA: Potential for reuse or disposal. Clean. Waste Syst. 2022, 3, 100031. [CrossRef]
- Jouini, M., Benzaazoua, M., Neculita, C.M., 2022. Chapter 12 - Stabilization/solidification of acid mine drainage treatment sludge, in: Tsang, D.C.W., Wang, L. (Eds.), Low Carbon Stabilization and Solidification of Hazardous Wastes. Elsevier, pp. 175–199. [CrossRef]
- Caraballo, M.A., Serna, A., Macías, F., Pérez-López, R., Ruiz-Cánovas, C., Richter, P., Becerra-Herrera, M. Uncertainty in the measurement of toxic metals mobility in mining/mineral wastes by standardized BCR®SEP. J Hazard Mater 2018, 360, 587–593. [CrossRef]
- U.S. EPA (U.S. Environmental Protection Agency). (2016). National Recommended Water Quality Criteria - Aquatic Life Criteria Table. https://www.epa.gov/wqc/national-recommended-water-quality-criteria-aquatic-life-criteria-table.
- EC Decision 2003/33/CE, 16/01/2003. Council decision of 19 december 2002 establishing criteria and procedures for the acceptance of waste at landfills pursuant to Article16 of an Annex II to Directive 1999/31/EC. Off. J. L 011, 0027-0049.
- Vasquez, Y., Neculita, C.M., Caicedo, G., Cubillos, J., Franco, J., Vásquez, M., Hernández, A., Roldan, F. Passive multi-unit field-pilot for acid mine drainage remediation: Performance and environmental assessment of post-treatment solid waste. Chemosphere 2022, 291, 133051. [CrossRef]
- Real Decreto 646/2020, de 7 de julio, por el que se regula la eliminación de residuos mediante depósito en vertedero. Boletín Oficial del Estado, n. 187, de 8 de julio de 2020.
- Vass, C.R., Noble, A., Ziemkiewicz, P.F. The Occurrence and Concentration of Rare Earth Elements in Acid Mine Drainage and Treatment By-products: Part 1—Initial Survey of the Northern Appalachian Coal Basin. Min Metall Explor 2019, 36, 903–916. [CrossRef]
- Vaziri Hassas, B., Shekarian, Y., Rezaee, M., Pisupati, S. V. Selective recovery of high-grade rare earth, Al, and Co-Mn from acid mine drainage treatment sludge material. Miner Eng 2022, 187, 107813. [CrossRef]






| Sequential extraction step | * Dissolved phases | Elements released to the solution |
Possible Dissolved phases |
|---|---|---|---|
| 1. Water soluble fraction: 200 mg of sample and 20 ml deionized water, shake for 12 h at room temperature. | Gypsum | Ca and SO₄²⁻; Also Fe, K, Mg, Mn, Zn, and Cd-Co | Gypsum, Secondary sulfates and other salts, hydroxides, Fe-amorphous |
| 2. Sorbed and exchangeable fraction: 20 ml of 1 M NH₄-acetate (4.5 pH buffer), shake for 1 h at RT. | Calcite | Ca and adsorbed elements; Fe and Al-K, As, Cu, Mn, Zn |
Metal-divalent carbonate type, including calcite; Fe-amorphous or very poorly ordered Fe(III) precipitates |
| 3. Poorly ordered Fe(III) oxyhydroxides and oxyhydroxysulfates: 20 ml of 0.2 M NH₄-oxalate (3 pH buffer), 30 minutes shake in darkness at RT. | Schwertmannite, hydrobasaluminite, and gibbsite |
Fe, Al, and SO₄²⁻ and trace associated Residual Ca |
Schwertmannite; jarosite-Alunite group |
| 4. Highly ordered Fe(III) hydroxides and oxides: 20 ml of 0.2 M NH₄-oxalate (3 pH buffer), 80°C water bath for 1 h. | Goethite | K, Fe, Al, and SO₄²⁻; also As, Cu, Zn, Mn, Mg, Residual Ca |
Jarosite-Alunite group; residual Ca-Mg-Mn oxides |
| 5. Residue digestion: 3 ml of HNO₃ + 7.5 ml of HF + 2.5 ml of HClO₄ | Residue (wood chips) |
Organic elements | Wood and residual silicates and clay assimilated |
| Element (mg/kg) | Das - Ca | Das - Mg | |||||
|---|---|---|---|---|---|---|---|
| Ca 1 | Ca 2 | Ca 3 | Ca 4 | Ca 5 | Mg 1 | Mg 2 | |
| Ag | 9.74 | 23.23 | 16.33 | 36.15 | 100.76 | 11.82 | 60.00 |
| Fe | 336422 | 30527 | 149324 | 3096 | 2324 | 32842 | 727 |
| Al | 2497 | 43040 | 7091 | 56474 | 8288 | 1576 | 162 |
| As | 6616 | 127 | 1215 | 37.6 | 11.2 | 43.0 | 31.1 |
| Ca | 1085 | 145278 | 19878 | 160770 | 257355 | 11060 | 116385 |
| Cd | 39.6 | 0.71 | 9.75 | <d.l. | 34.7 | 5347 | 4453 |
| Co | 3.49 | <d.l. | 2.41 | <d.l. | <d.l. | 773 | 4565 |
| Cr | 118 | 21.4 | 28.6 | 14.0 | 19.2 | 20.2 | 68.4 |
| Cu | 423 | 41688 | 1015 | 4632 | 9842 | 909599 | 11385 |
| K | 2626 | 1227 | 1114 | 1672 | 3603 | 4023 | 943 |
| Mg | 290 | 1305 | 347 | 1330 | 2597 | 916 | 8253 |
| Mn | 107 | 1223 | 74 | 1024 | 2471 | 13181 | 75841 |
| Mo | <d.l. | 17.7 | 1.27 | 25.3 | 24.9 | 0.86 | 4.87 |
| Na | 745 | 554 | 492 | 579 | 1174 | 1257 | 460 |
| Ni | 4.01 | 12.4 | 2.29 | 1.49 | <d.l. | 486 | 1883 |
| Pb | 39.0 | 1.80 | 47.3 | <d.l. | <d.l. | 92.3 | 112 |
| Sb | 112 | 62.3 | 70.2 | 68.1 | 68.6 | 92.3 | 112 |
| Sr | 21.1 | 574 | 36 | 588 | 1130 | 69.8 | 1364 |
| Zn | 139 | 3860 | 86 | 320 | 517 | 517344 | 465916 |
![]() |
![]() |
Disclaimer/Publisher’s Note: The statements, opinions and data contained in all publications are solely those of the individual author(s) and contributor(s) and not of MDPI and/or the editor(s). MDPI and/or the editor(s) disclaim responsibility for any injury to people or property resulting from any ideas, methods, instructions or products referred to in the content. |
© 2024 by the authors. Licensee MDPI, Basel, Switzerland. This article is an open access article distributed under the terms and conditions of the Creative Commons Attribution (CC BY) license (http://creativecommons.org/licenses/by/4.0/).


