Submitted:
25 September 2024
Posted:
26 September 2024
You are already at the latest version
Abstract

Keywords:
1. Introduction
2. Materials and Methods
2.1. Study Design
2.2. Sample
2.3. Materials and Measures
Sociodemographic data
Commuting to school
Distance to school
2.4. Statistical Analysis
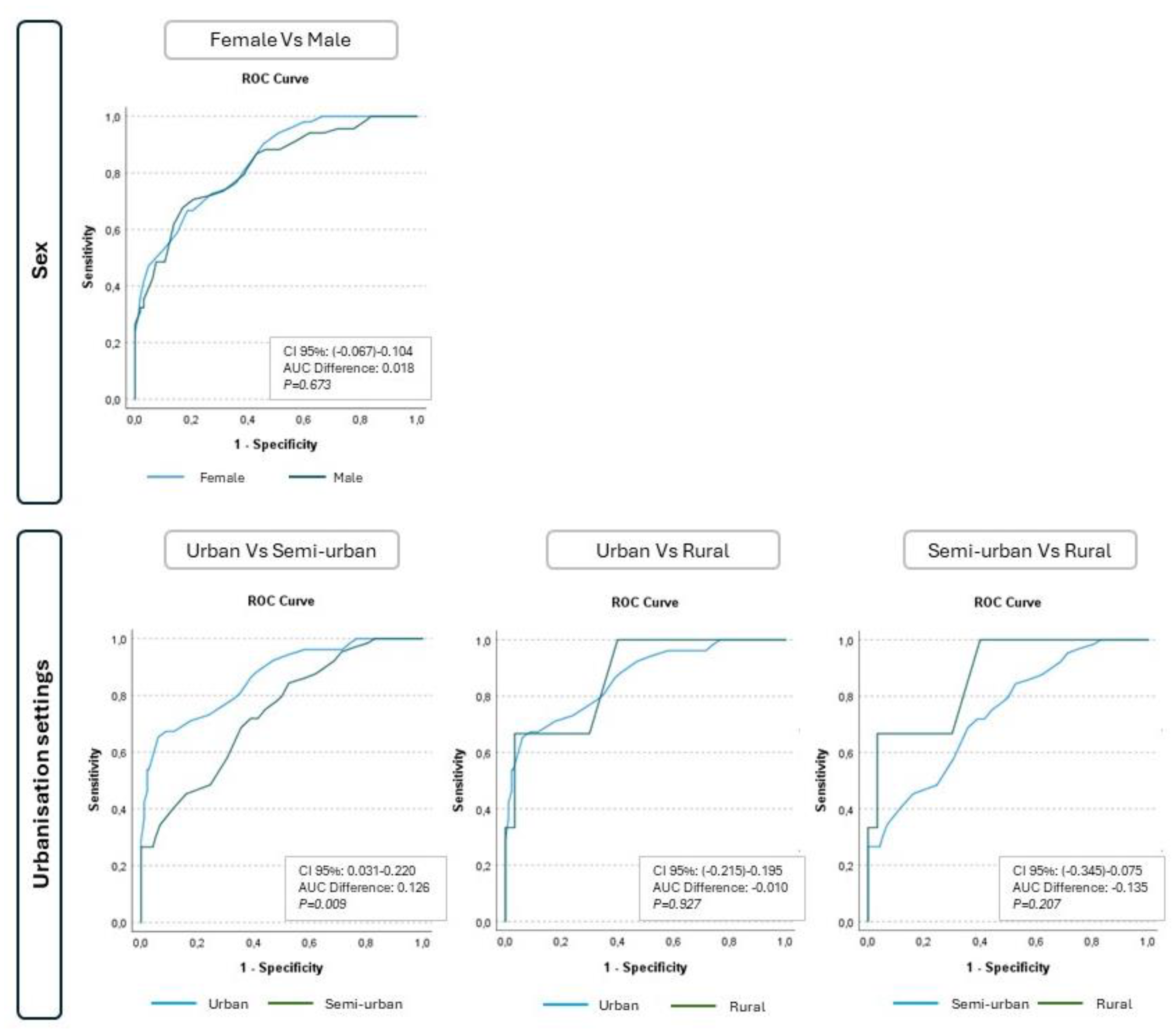
3. Results
4. Discussion
Strengths
Limitations
5. Conclusions
Author Contributions
Funding
Institutional Review Board Statement
Informed Consent Statement
Data Availability Statement
Acknowledgments
Conflicts of Interest
References
- White, B.; Bengoechea, E.G.; Spence, J.C.; Coppell, K.J.; Mandic, S. Comparison of physical activity patterns across large, medium and small urban areas and rural settings in the Otago Region, New Zealand. New Zealand Medical Journal 2021, 134, 51–65. [Google Scholar] [PubMed]
- Timperio, A.; Ball, K.; Salmon, J.; Roberts, R.; Giles-Corti, B.; Simmons, D.; Baur, L.A.; Crawford, D. Personal, family, social, and environmental correlates of active commuting to school. Am J Prev Med 2006, 30, 45–51. [Google Scholar] [CrossRef] [PubMed]
- Kwon, S.; Mason, M.; Wang-Schweig, M.; Morrissey, J.; Bartell, T.; Kandula, N.R. The Association Between Adolescent Active Commuting to School and Parent Walking Behavior: The FLASHE Study. Am J Health Promot 2022, 36, 1265–1274. [Google Scholar] [CrossRef] [PubMed]
- Költő, A.; Gavin, A.; Kelly, C.; Nic Gabhainn, S. Transport to School and Mental Well-Being of Schoolchildren in Ireland. Int J Public Health 2021, 66. [Google Scholar] [CrossRef]
- Larsen, K.; Gilliland, J.; Hess, P.; Tucker, P.; Irwin, J.; He, M. The Influence of the Physical Environment and Sociodemographic Characteristics on Children's Mode of Travel to and From School. American Journal of Public Health 2009, 99, 520–526. [Google Scholar] [CrossRef]
- Marzi, I.; Demetriou, Y.; Reimers, A. Social and physical environmental correlates of independent mobility in children: a systematic review taking sex/gender differences into account. INTERNATIONAL JOURNAL OF HEALTH GEOGRAPHICS 2018, 17. [Google Scholar] [CrossRef]
- Panter, J.R.; Jones, A.P.; van Sluijs, E.M.F.; Griffin, S.J. Attitudes, social support and environmental perceptions as predictors of active commuting behaviour in school children. Journal of Epidemiology & Community Health 2010, 64, 41–48. [Google Scholar] [CrossRef]
- Nelson, N.M.; Foley, E.; O'Gorman, D.J.; Moyna, N.M.; Woods, C.B. Active commuting to school: how far is too far? Int J Behav Nutr Phys Act 2008, 5, 1. [Google Scholar] [CrossRef]
- Rothman, L.; Macpherson, A.K.; Ross, T.; Buliung, R.N. The decline in active school transportation (AST): A systematic review of the factors related to AST and changes in school transport over time in North America. Preventive Medicine 2018, 111, 314–322. [Google Scholar] [CrossRef]
- Wong, B.Y.-M.; Faulkner, G.; Buliung, R. GIS measured environmental correlates of active school transport: A systematic review of 14 studies. International Journal of Behavioral Nutrition and Physical Activity 2011, 8. [Google Scholar] [CrossRef] [PubMed]
- Campos-Sánchez, F.S.; Abarca-Álvarez, F.J.; Molina-García, J.; Chillón, P. A GIS-Based Method for Analysing the Association Between School-Built Environment and Home-School Route Measures with Active Commuting to School in Urban Children and Adolescents. Int J Environ Res Public Health 2020, 17. [Google Scholar] [CrossRef] [PubMed]
- Hunter, S.; Battista, K.; Leatherdale, S.T.; Spence, J.C.; Carson, V. Longitudinal associations between the school built environment and adolescents’ physical activity: Evidence from the COMPASS study. Journal of Transport and Health 2023, 29. [Google Scholar] [CrossRef]
- Mandic, S.; García-Bengoechea, E.; Hopkins, D.; Coppell, K.; Spence, J.C. Adolescents’ perceptions of walking and cycling to school differ based on how far they live from school. Journal of Transport and Health 2022, 24. [Google Scholar] [CrossRef]
- Martín-Moraleda, E.; Pinilla-Quintana, I.; Romero-Blanco, C.; Hernández-Martínez, A.; Jiménez-Zazo, F.; Dorado-Suárez, A.; García-Coll, V.; Cabanillas-Cruz, E.; Martínez-Romero, M.T.; Herrador-Colmenero, M.; et al. Lifestyle Behaviours Profile of Spanish Adolescents Who Actively Commute to School. Children (Basel) 2023, 10. [Google Scholar] [CrossRef] [PubMed]
- Molina-García, J.; Campos, S.; García-Massó, X.; Herrador-Colmenero, M.; Gálvez-Fernández, P.; Molina-Soberanes, D.; Queralt, A.; Chillón, P. Different neighborhood walkability indexes for active commuting to school are necessary for urban and rural children and adolescents. International Journal of Behavioral Nutrition & Physical Activity 2020, 17, N. [Google Scholar] [CrossRef]
- Falb, M.D.; Kanny, D.; Powell, K.E.; Giarrusso, A.J. Estimating the proportion of children who can walk to school. American Journal of Preventive Medicine 2007, 33, 269–275. [Google Scholar] [CrossRef]
- Bungum, T.J.; Lounsbery, M.; Moonie, S.; Gast, J. Prevalence and Correlates of Walking and Biking to School Among Adolescents. Journal of Community Health 2009, 34, 129–134. [Google Scholar] [CrossRef] [PubMed]
- Babey, S.H.; Hastert, T.A.; Huang, W.; Brown, E.R. Sociodemographic, family, and environmental factors associated with active commuting to school among US adolescents. J Public Health Policy 2009, 30 Suppl 1, S203–220. [Google Scholar] [CrossRef]
- Dalton, M.A.; Longacre, M.R.; Drake, K.M.; Gibson, L.; Adachi-Mejia, A.M.; Swain, K.; Xie, H.; Owens, P.M. Built environment predictors of active travel to school among rural adolescents. Am J Prev Med 2011, 40, 312–319. [Google Scholar] [CrossRef]
- Ozbil, A.; Yesiltepe, D.; Argin, G.; Rybarczyk, G. Children’s active school travel: Examining the combined perceived and objective built-environment factors from space syntax. International Journal of Environmental Research and Public Health 2021, 18, 1–22. [Google Scholar] [CrossRef]
- Silva, A.A.d.P.; Lopes, A.A.D.S.; Silva, J.S.B.; Prado, C.V.; Reis, R.S. Characteristics of the schools' surrounding environment, distance from home and active commuting in adolescents from Curitiba, Brazil. Revista brasileira de epidemiologia = Brazilian journal of epidemiology 2020, 23, e200065–e200065. [Google Scholar] [CrossRef] [PubMed]
- Zaragoza, J.; Corral, A.; Estrada, S.; Abós, Á.; Aibar, A. Active or Passive Commuter? Discrepancies in Cut-off Criteria among Adolescents. Int J Environ Res Public Health 2019, 16. [Google Scholar] [CrossRef]
- Rodríguez-López, C.; Salas-Fariña, Z.M.; Villa-González, E.; Borges-Cosic, M.; Herrador-Colmenero, M.; Medina-Casaubón, J.; Ortega, F.B.; Chillón, P. The Threshold Distance Associated With Walking From Home to School. Health Educ Behav 2017, 44, 857–866. [Google Scholar] [CrossRef]
- Martins, J.; Sallis, J.F.; Marques, A.; Diniz, J.; Da Costa, F.C. Potential correlates and outcomes of active commuting to school among adolescents. Motricidade 2016, 12, 62–72. [Google Scholar] [CrossRef]
- Pizarro, A.N.; Schipperijn, J.; Andersen, H.B.; Ribeiro, J.C.; Mota, J.; Santos, M.P. Active commuting to school in Portuguese adolescents: Using PALMS to detect trips. Journal of Transport & Health 2016, 3, 297–304. [Google Scholar]
- Chillón, P.; Panter, J.; Corder, K.; Jones, A.P.; Van Sluijs, E.M. A longitudinal study of the distance that young people walk to school. Health Place 2015, 31, 133–137. [Google Scholar] [CrossRef]
- Mandic, S.; Leon de la Barra, S.; García Bengoechea, E.; Stevens, E.; Flaherty, C.; Moore, A.; Middlemiss, M.; Williams, J.; Skidmore, P. Personal, social and environmental correlates of active transport to school among adolescents in Otago, New Zealand. Journal of Science & Medicine in Sport 2015, 18, 432–437. [Google Scholar] [CrossRef]
- Carlson, J.A.; Sallis, J.F.; Kerr, J.; Conway, T.L.; Cain, K.; Frank, L.D.; Saelens, B.E. Built environment characteristics and parent active transportation are associated with active travel to school in youth age 12-15. Br J Sports Med 2014, 48, 1634–1639. [Google Scholar] [CrossRef] [PubMed]
- Mandic, S.; García-Bengoechea, E.; Hopkins, D.; Coppell, K.; Smith, M.; Moore, A.; Keall, M.; Ergler, C.; Sandretto, S.; Wilson, G.; et al. Examining the transport to school patterns of New Zealand adolescents by home-to-school distance and settlement types. Journal of Transport & Health 2023, 30, 12. [Google Scholar] [CrossRef]
- Martin, S.L.; Lee, S.M.; Lowry, R. National prevalence and correlates of walking and bicycling to school. Am J Prev Med 2007, 33, 98–105. [Google Scholar] [CrossRef]
- McDonald, N.C. Active transportation to school: trends among U.S. schoolchildren, 1969-2001. Am J Prev Med 2007, 32, 509–516. [Google Scholar] [CrossRef] [PubMed]
- Pabayo, R.; Gauvin, L.; Barnett, T. Longitudinal Changes in Active Transportation to School in Canadian Youth Aged 6 Through 16 Years. PEDIATRICS 2011, 128, E404–E413. [Google Scholar] [CrossRef] [PubMed]
- Booth, M.L.; Okely, A.D.; Denney-Wilson, E.; Hardy, L.L.; Dobbins, T.; Wen, L.M.; Rissel, C. Characteristics of travel to and from school among adolescents in NSW, Australia. Journal of Paediatrics and Child Health 2007, 43, 755–761. [Google Scholar] [CrossRef] [PubMed]
- Rahman, M.L.; Pocock, T.; Moore, A.; Mandic, S. Active Transport to School and School Neighbourhood Built Environment across Urbanisation Settings in Otago, New Zealand. International Journal of Environmental Research and Public Health 2020, 17. [Google Scholar] [CrossRef]
- Chillón, P.; Molina-García, J.; Castillo, I.; Queralt, A. What distance do university students walk and bike daily to class in Spain. Journal of Transport & Health 2016, 3, 315–320. [Google Scholar] [CrossRef]
- Estevan, I.; Queralt, A.; Molina-Garcia, J. Biking to School: The Role of Bicycle-Sharing Programs in Adolescents. Journal of School Health 2018, 88, 871–876. [Google Scholar] [CrossRef]
- Mandic, S.; García Bengoechea, E.; Coppell, K.J.; Keall, M.; Smith, M.; Hopkins, D.; Sandretto, S.; Wilson, G.; Kidd, G.; Flaherty, C.; et al. Travel to school patterns and perceptions of walking to school in New Zealand adolescents before versus during the COVID-19 pandemic. Journal of Transport & Health 2024, 36, 101803. [Google Scholar] [CrossRef]
- Martín-Moraleda, E.; Pinilla-Quintana, I.; Jiménez-Zazo, F.; Martínez-Romero, M.; Dorado-Suárez, A.; Romero-Blanco, C.; García-Coll, V.; Cabanillas, E.; Mota-Utanda, C.; Gómez, N.; et al. THE PACO&PACA CLM (CYCLE AND WALK TO SCHOOL AND CYCLE AND WALK HOME IN CASTILLA-LA MANCHA) PROJECT PROTOCOL. Revista Iberoamericana De Ciencias De La Actividad Fisica Y El Deporte 2023, 12, 1–22. [Google Scholar] [CrossRef]
- World Medical Association. World Medical Association Declaration of Helsinki: ethical principles for medical research involving human subjects. Jama 2013, 310, 2191–2194. [Google Scholar] [CrossRef]
- MARM. Población y Sociedad Rural. Análisis y Prospectiva - Serie AgrInfo nº12. 2009.
- von Elm, E.; Altman, D.G.; Egger, M.; Pocock, S.J.; Gøtzsche, P.C.; Vandenbroucke, J.P. The Strengthening the Reporting of Observational Studies in Epidemiology (STROBE) Statement: guidelines for reporting observational studies. Int J Surg 2014, 12, 1495–1499. [Google Scholar] [CrossRef]
- Chillón, P.; Herrador-Colmenero, M.; Migueles, J.H.; Cabanas-Sánchez, V.; Fernández-Santos, J.R.; Veiga Ó, L.; Castro-Piñero, J. Convergent validation of a questionnaire to assess the mode and frequency of commuting to and from school. Scand J Public Health 2017, 45, 612–620. [Google Scholar] [CrossRef] [PubMed]
- Gálvez-Fernández, P.; Saucedo-Araujo, R.G.; Campos-Garzón, P.; Aranda-Balboa, M.J.; Molina-Soberanes, D.; Segura-Díaz, J.M.; Herrador-Colmenero, M.; Huertas-Delgado, F.J.; Villa-González, E.; Barranco-Ruiz, Y.; et al. Active commuting to school and associated health indicators: Evaluation protocol of the PACO study «Cycle and Walk to School» and its implementation in secondary school. Retos 2021, 649–657. [Google Scholar] [CrossRef]
- Mandic, S.; Williams, J.; Moore, A.; Hopkins, D.; Flaherty, C.; Wilson, G.; Bengoechea, E.G.; Spence, J.C. Built Environment and Active Transport to School (BEATS) Study: Protocol for a cross-sectional study. BMJ Open 2016, 6. [Google Scholar] [CrossRef]
- Villa-González, E.; Rodríguez-López, C.; Barranco-Ruiz, Y.; Cabezas-Arévalo, L.F.; Chillón, P. Evaluating of the agreement between two methods to determine the distance of the active commuting to school in schoolchildren. Nutricion Hospitalaria 2016, 33, 713–718. [Google Scholar] [CrossRef]
- Komori, O.; Eguchi, S. A boosting method for maximizing the partial area under the ROC curve. BMC Bioinformatics 2010, 11, 314. [Google Scholar] [CrossRef]
- Schisterman, E.F.; Perkins, N.J.; Liu, A.; Bondell, H. Optimal cut-point and its corresponding youden index to discriminate individuals using pooled blood samples. Epidemiology 2005, 16, 73–81. [Google Scholar] [CrossRef] [PubMed]
- Pocock, T.; Moore, A.; Keall, M.; Mandic, S. Physical and spatial assessment of school neighbourhood built environments for active transport to school in adolescents from Dunedin (New Zealand). Health & Place 2019, 55, 1–8. [Google Scholar] [CrossRef]



| Whole Sample | Sex | Urbanisation settings | |||||||
|---|---|---|---|---|---|---|---|---|---|
| Females | Males | p-value | Urban | Semi-urban | Rural | p-value | |||
| N (%) | 448 | 219 (48.9) | 229 (51.1) | - | 233 (51.9) | 183 (40.8) | 33 (7.3) | - | |
| Age | Mean (SD) | 14.80 (0.60) | 14.76 (0.62) | 14.83 (0.562) | 0.127 | 14.74 (0.55) | 14.86 (0.634) | 14.84 (0.60) | 0.113 |
| Modes to commute to school | |||||||||
| n (%) | Walk | 326 (73.1) | 166 (76.1) | 160 (70.2) | 0.432 | 178 (77.1) | 118 (64.8) | 30 (90.9) | 0.001 |
| Cycle | 1 (0.2) | 1 (0.5) | 0 (0.0) | 1 (0.4) | 0 (0.0) | 0 (0.0) | |||
| Car | 94 (21.1) | 39 (17.9) | 55 (24.1) | 43 (18.6) | 48 (26.4) | 3 (9.1) | |||
| School bus | 20 (4.5) | 10 (4.6) | 10 (4.4) | 4 (1.7) | 16 (8.8) | 0 (0.0) | |||
| Public bus | 5 (1.1) | 2 (0.9) | 3 (1.3) | 5 (2.2) | 0 (0.0) | 0 (0.0) | |||
| Active vs. motorised | |||||||||
| n (%) | Active | 327 (73.3) | 167 (76.6) | 160 (70.2) | 0.125 | 179 (77.5) | 118 (64.8) | 30 (90.9) | 0.001 |
| Motorised | 119 (26.7) | 51 (23.4) | 68 (29.8) | 52 (22.5) | 64 (35.2) | 3 (9.1) | |||
| Distance | Mean (SD) | 1167.77 (963.00) | 1085.80 (912.17) | 1245.79 (1004.80) | 0.073 | 1027.01 (746.17) | 1469.56 (1158.73) | 478.82 (365.93) | <0.001 |
| Variables | Determinant factors of active commuting | ||
| Coef. B | p-value | OR (95% CI) | |
| Sex (female) | -0.186 | 0.479 | 0.830 (0.496-1.389) |
| Urbanisation settings: urban, semi-urban or rural (1) | -0.182 | 0.797 | --- |
| Urbanisation settings: urban, semi-urban or rural (2) | -0.082 | 0.500 | 0.934 (0.492-1.414) |
| Urbanisation settings: urban, semi-urban or rural (3) | -0.002 | 0.905 | 0.921 (0.239-3.557) |
| Distance (meters) | -0.002 | <0.001 | 0.998 (0.998-0.999) |
| Age (years) | 0.326 | 0.168 | 1.386 (0.872-2.203) |
| Const. | -1.266 | 0.717 | 0.282 (---) |
Disclaimer/Publisher’s Note: The statements, opinions and data contained in all publications are solely those of the individual author(s) and contributor(s) and not of MDPI and/or the editor(s). MDPI and/or the editor(s) disclaim responsibility for any injury to people or property resulting from any ideas, methods, instructions or products referred to in the content. |
© 2024 by the authors. Licensee MDPI, Basel, Switzerland. This article is an open access article distributed under the terms and conditions of the Creative Commons Attribution (CC BY) license (http://creativecommons.org/licenses/by/4.0/).
