Submitted:
23 September 2024
Posted:
24 September 2024
You are already at the latest version
Abstract
Keywords:
1. Introduction
2. Calculation Method and Verification
2.1. Gaussian Diffusion Model
2.1.1. Stabilized Point Source Dispersion Model
2.1.2. Moving Point Source Dispersion Model
2.2. Calculation Verification
2.2.1. Calculation Domain and Conditions
2.2.2. Results of the Verification
2.3. Particle Sedimentation
2.4. Calculation of Emissions
2.4.1. Black Carbon
- 1)
- Mass of BC per unit volume of exhaust gas ()
- 2)
- Exhaust gas volume per unit mass of fuel consumed ()
- 3)
- Combining Eq. (11) with Eq. (12) yields the black carbon emission index EI (mg/kg) as
2.4.2. NOx and CO
2.5. Calculation Process
3. Results and Discussion
3.1. Emissions during the LTO Phase
3.2. Pollutant Concentration Distribution
3.2.1. Influence of Diffusion Time on Pollutant Distribution
3.2.2. Effect of Wind Direction and Wind Speed on Pollutant Distribution
3.2.3. Effect of Temperature Gradient on Pollutant Distribution
| Pasquill stability class | Richardson number |
| a | |
| b | |
| c | |
| d | |
| e | |
| f |
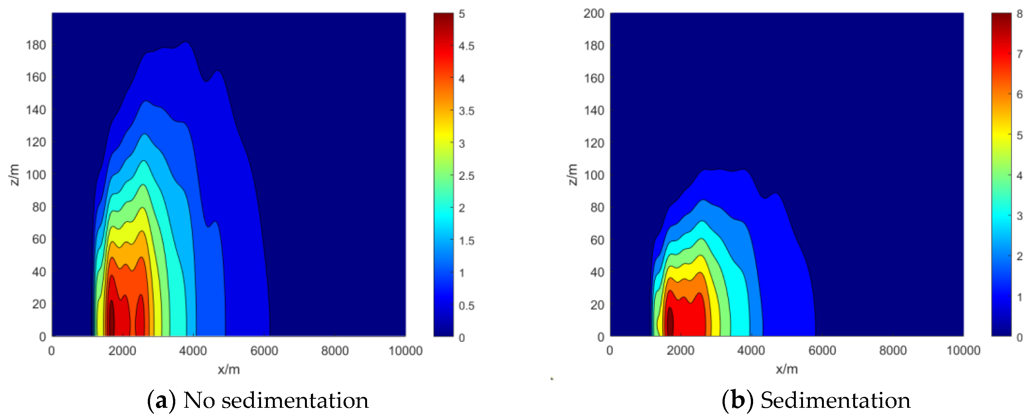
3.2.4. Effect of Sedimentation on Pollutant Distribution
4. Conclusions
Author Contributions
Data Availability
Conflicts of Interest
References
- Masiol, M.; Harrison, R. M.,Aircraft engine exhaust emissions and other airport-related contributions to ambient air pollution: A review. Atmospheric Environment 2014, 95, 409-455.
- D.S. Lee, D. W. F., P.M. Forster,Aviation and Global Climate Change in the 21st Century. Atmospheric Environment 2009, 43 (22-23), 3520-3537.
- FAA, Aviation Emissions, Impacts & Mitigation A Primer. FAA office of Environment and Energy: Washington, DC, USA, 2015.
- Sutkus, D. J.; Baughcum, S. L.; Dubois, D. P. Scheduled Civil Aircraft Emission Inventories for 1999: Database Development and Analysis; NASA/CRm2001-211216; 2001.
- Rituraj, N.; Kumar, T. A.,The Toxicological Mechanisms of Environmental Soot (Black Carbon) and Carbon Black: Focus on Oxidative Stress and Inflammatory Pathways. Frontiers in Immunology 2017, 8, 763.
- Wayson, R. L.; Fleming, G. G.; Lovinelli, R.,Methodology to estimate particulate matter emissions from certified commercial aircraft engines. Journal of the Air & Waste Management Association 2009, 59 (1), 91-100. [CrossRef]
- Orhan, I.,Passenger aircraft emissions analysis at Ordu-Giresun International Airport, Turkey in 2017. Aircraft Engineering and Aerospace Technology 2021, 93 (4), 682-689.
- Lobo, P.; Hagen, D. E.; Whitefield, P. D.; Raper, D.,PM emissions measurements of in-service commercial aircraft engines during the Delta-Atlanta Hartsfield Study. Atmospheric Environment 2015, 21 (5), 237-245. [CrossRef]
- Yu, J. L.; Jia, Q.; Gao, C.; Hu, H. Q.,Air pollutant emissions from aircraft landing and take-off cycles at Chinese airports. Aeronautical Journal 2021, 125 (3), 578-592. [CrossRef]
- Xu, H.; Xiao, K.; Cheng, J.; Yu, Y.; Liu, Q.; Pan, J.; Chen, J.; Chen, F.; Fu, Q.,Characterizing aircraft engine fuel and emission parameters of taxi phase for Shanghai Hongqiao International Airport with aircraft operational data. Science of The Total Environment 2020, 720, 137431. [CrossRef]
- Sheikhi, M. R.; Aygun, H.,Assessment of emission and environmental parameters of different commercial high by-pass turbofan engines throughout landing and take-off cycle. Environmental Progress & Sustainable Energy 2022, 42 (1). [CrossRef]
- Liang, M.; Chao, Y.; Tu, Y.; Xu, T.,Vehicle Pollutant Dispersion in the Urban Atmospheric Environment: A Review of Mechanism, Modeling, and Application. 2023, 14 (2), 279. [CrossRef]
- Leelőssy, Á.; Molnár, F.; Izsák, F.; Havasi, Á.; Lagzi, I.; Mészáros, R.,Dispersion modeling of air pollutants in the atmosphere: a review. 2014, 6 (3), 257-278.
- Wedding, J.; Lombardi, D. J.; Cermak, J.,A Wind Tunnel Study of Gaseous Pollutants in City Street Canyons. Journal of the Air Pollution Control Association: A Monthly Journal Devoted to Air Management 1977, 27 (6), 557-566.
- Ehm, C.; Frohmüller, M. O.; Flassak, T.; Stephan, D.,On-site reduction of nitrogen oxides at an emission hotspot using actively vented photocatalytic reactors in a highway tunnel. SN Applied Sciences 2022, 4. [CrossRef]
- Li, J.; Yu, Y.; Wang, Y.; Zhao, L.; He, C.,Prediction of Transient NOx Emission from Diesel Vehicles Based on Deep-Learning Differentiation Model with Double Noise Reduction. 2021, 12 (12), 1702. [CrossRef]
- Sun, D. J.; Wu, S.; Shen, S.; Xu, T.,Simulation and assessment of traffic pollutant dispersion at an urban signalized intersection using multiple platforms. Atmospheric Pollution Research 2021, 12 (7), 101087. [CrossRef]
- Wang, H.; Furtak-Cole, E.; Ngan, K.,Fast Models for Predicting Pollutant Dispersion inside Urban Canopies. 2023, 14 (9), 1337. [CrossRef]
- Gan, L.; Lu, T.; Shu, Y.,Diffusion and Superposition of Ship Exhaust Gas in Port Area Based on Gaussian Puff Model: A Case Study on Shenzhen Port. 2023, 11 (2), 330. [CrossRef]
- Micallef, A.; Micallef, C.,The Gaussian Plume Model Equation for Atmospheric Dispersion Corrected for Multiple Reflections at Parallel Boundaries: A Mathematical Rewriting of the Model and Some Numerical Testing. 2024, 6 (3), 48. [CrossRef]
- Kuzu, S. L.,Estimation and dispersion modeling of landing and take-off (LTO) cycle emissions from Atatürk International Airport. Air Qual Atmos Health 2018, 11, 153-161. [CrossRef]
- Makridis, M.; Lazaridis, M.,Dispersion modeling of gaseous and particulate matter emissions from aircraft activity at Chania Airport, Greece. Air Quality Atmosphere and Health 2019, 12 (8), 933-943. [CrossRef]
- Kurtenbach, R.; Zaporozhets, O.; Wiesen, P.; Synylo, K.,Comparison between modelled and measured NOX concentrations in aircraft plumes at Athens International Airport. International Journal of Sustainable Aviation 2017, 3 (4), 279.
- Synylo, K.; Krupko, A.; Zaporozhets, O.; Makarenko, R.,CFD simulation of exhaust gases jet from aircraft engine. Energy 2020, 213, 118610. [CrossRef]
- Pecorari, E.; Mantovani, A.; Franceschini, C.; Bassano, D.; Palmeri, L.; Rampazzo, G.,Analysis of the effects of meteorology on aircraft exhaust dispersion and deposition using a Lagrangian particle model. Science of The Total Environment 2016, 541, 839-856. [CrossRef]
- Abdel-Rahman, A. A. In On the Atmospheric Dispersion and Gaussian Plume Model, The Second Wseas/iasme International Conference on Waste Management, Water Pollution, Air Pollution, and Indoor Climate, Corfu, Greece, Corfu, Greece, 2008.
- Demael, E.; Carissimo, B.,Comparative Evaluation of an Eulerian CFD and Gaussian Plume Models Based on Prairie Grass Dispersion Experiment. J.appl.meteor.climatol 2005, 47 (3), 888-900. [CrossRef]
- Arya, S., Air pollution meteorology and dispersion. . Oxford University Press: 1999. [CrossRef]
- Davidson, G. A.,A modified power law representation of the Pasquill-Gifford dispersion coefficients. Journal of The Air&Waste Management Association 1990, 40, 1146-1147.
- Chen, D. Y.; Nie, B. J.; Ran, Y. L.; Wang, Y. X.; Li, H. Y.; Gu, W. G.; Wang, D. Z.,Improved Gaussian plume model for atmospheric dispersion considering buoyancy and gravitational deposition: The case of multi-form tritium. Applied Radiation and Isotopes 2023, 199. [CrossRef]
- ICAO, Aircraft Engine Emission Data Bank. 2018.
- Stettler, M. E. J.; Eastham, S.; Barrett, S. R. H.,Air quality and public health impacts of UK airports. Part I: Emissions. Atmospheric Environment 2011, 45 (31), 5415-5424. [CrossRef]
- Taha, K. E. a. H.,Study Gaussian plume model and the Gradient Transport (K) of the advection-diffusion equation and its applications. MAUSAM 2024, 74 (3), 663-672.
- Tokuslu, A.,Estimation of aircraft emissions at Georgian international airport. Energy 2020, 206 (9), 118219.
- Zaporozhets, O.; Synylo, K.,Improvements on aircraft engine emission and emission inventory asesessment inside the airport area. Energy 2017, 140 (2), 1350-1357. [CrossRef]
- Kiefer, M. T.; Andresen, J. A.; Rozeboom, D. W.; Bian, X.,Development of a Wind and Pasquill Stability Class Climate Dataset for the North American Great Lakes Region. International Journal of Climatology 2022, 42 (10), 5306-5320. [CrossRef]
- Mohan, M.; Siddiqui, T. A.,Analysis of various schemes for the estimation of atmospheric stability classification. Atmospheric Environment 1998, 32 (21), 3775-3781. [CrossRef]













| Mode | Power Setting(%N1) | Time(min) | Fuel Flow (kg/s) | Emission Indices(g/kg) | SN | AFR | ||
| HC | CO | NOx | ||||||
| Take-off | 100 | 0.7 | 2.970 | 0.00 | 0.18 | 31.25 | 1.9 | 45 |
| Climb out | 85 | 2.2 | 2.430 | 0.01 | 0.15 | 24.66 | 2.0 | 51 |
| Approach | 30 | 4.0 | 0.810 | 0.01 | 1.02 | 10.01 | 0.7 | 83 |
| Idle | 7 | 26.0 | 0.270 | 1.89 | 20.22 | 4.52 | 0.2 | 106 |
| Taxi | Take-off | Climb | Approach | Total | ICAO Total | |
| HC/g | 551.7 | 0.4358 | 1.4807 | 577.5 | 1131.1 | 801 |
| CO/g | 8528.2 | 13.3 | 26.0 | 4083.5 | 12651 | 8786 |
| NOx/g | 4986.2 | 2175.2 | 4090.2 | 5060.5 | 16312.1 | 15658 |
| BC/mg | 6773.4 | 2980.9 | 7170.5 | 7897.5 | 24822.3 | 22644.0 |
Disclaimer/Publisher’s Note: The statements, opinions and data contained in all publications are solely those of the individual author(s) and contributor(s) and not of MDPI and/or the editor(s). MDPI and/or the editor(s) disclaim responsibility for any injury to people or property resulting from any ideas, methods, instructions or products referred to in the content. |
© 2024 by the authors. Licensee MDPI, Basel, Switzerland. This article is an open access article distributed under the terms and conditions of the Creative Commons Attribution (CC BY) license (http://creativecommons.org/licenses/by/4.0/).