Submitted:
23 September 2024
Posted:
23 September 2024
You are already at the latest version
Abstract

Keywords:
1. Introduction
2. Governing Equations and Turbulence Model
3. Mesh and Boundary Conditions
3.1. Three Dimensional Baseline Model


3.2. Two Dimensional Baseline Model
4. Mass Flow and Pressure Momentum Terms Acting on the Jet at as It Enters the Mixing Chamber
5. Geometrical Modifications Considered
6. Results
6.1. Results from the 3D-CFD Simulation



6.2. Comparison between 3D and 2D Results
6.3. Mixing Chamber Angular Modifications (2D-CFD)


6.4. Feedback Channel Dimensional Modifications (2D-CFD)




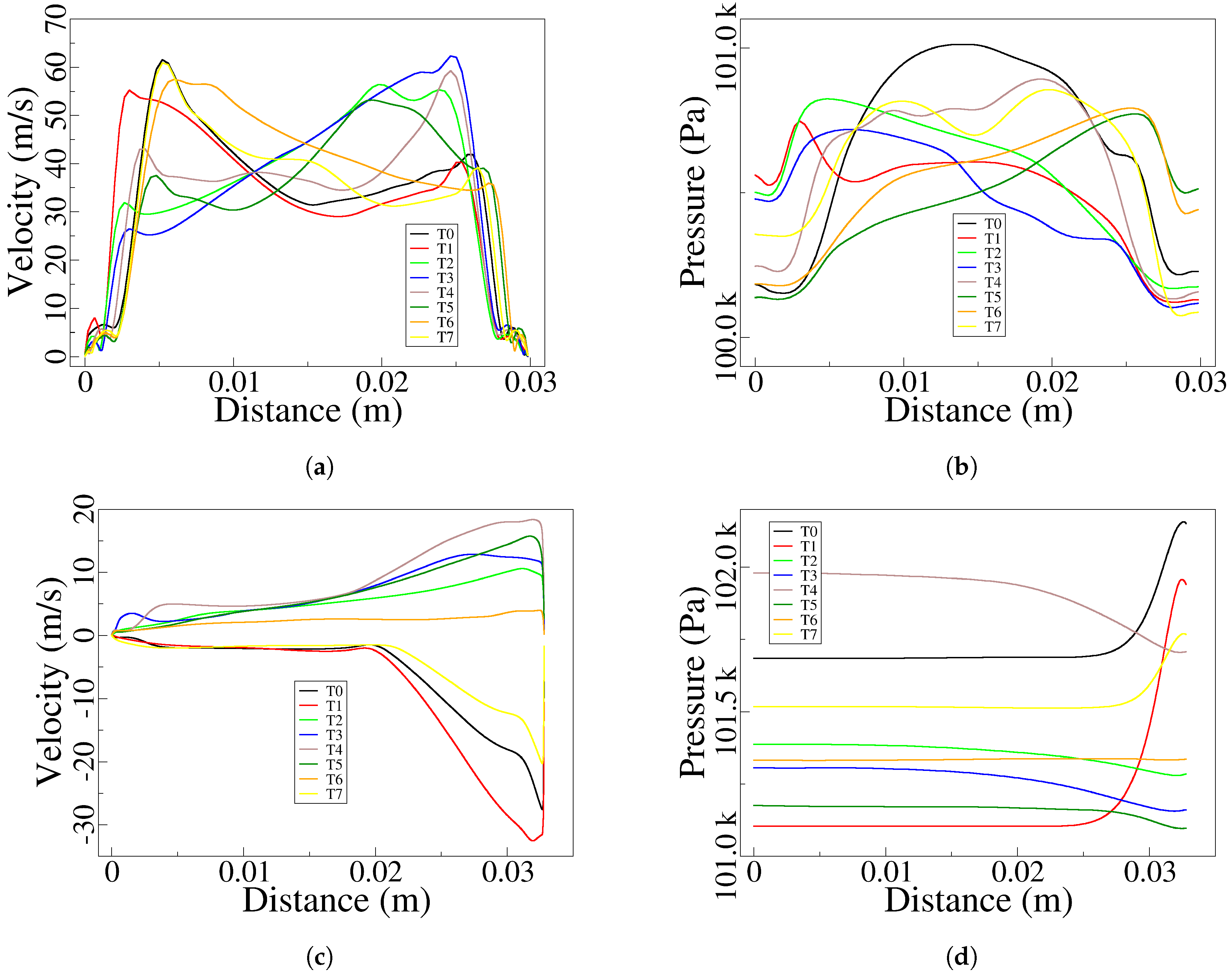
6.5. Forces Assessment Acting on the Jet at the Mixing Chamber Entrance



7. Conclusions
Supplementary Materials
Author Contributions
Funding
Institutional Review Board Statement
Informed Consent Statement
Data Availability Statement
Conflicts of Interest
References
- Karimzadegan, K.; Mirzaei, M.; Bergada, J.M. Analysis of a Novel Fluidic Oscillator under Several Dimensional Modifications. Applied Sciences 2024, 14, 1690. [Google Scholar] [CrossRef]
- Kim, S.H.; Kim, K.Y. Effects of installation location of fluidic oscillators on aerodynamic performance of an airfoil. Aerospace Science and Technology 2020, 99, 105735. [Google Scholar] [CrossRef]
- Cerretelli, C.; Wuerz, W.; Gharaibah, E. Unsteady separation control on wind turbine blades using fluidic oscillators. AIAA journal 2010, 48, 1302–1311. [Google Scholar] [CrossRef]
- Tousi, N.; Coma, M.; Bergadà, J.; Pons-Prats, J.; Mellibovsky, F.; Bugeda, G. Active flow control optimisation on SD7003 airfoil at pre and post-stall angles of attack using synthetic jets. Applied Mathematical Modelling 2021, 98, 435–464. [Google Scholar] [CrossRef]
- Kim, N.H.; Kim, K.Y. Effects of Bending of Fluidic Oscillators on Aerodynamic Performance of an Airfoil with a Flap. Processes 2021, 9, 1429. [Google Scholar] [CrossRef]
- Kim, N.H.; Kim, K.Y. Effects of Bent Outlet on Characteristics of a Fluidic Oscillator with and without External Flow. Energies 2021, 14, 4342. [Google Scholar] [CrossRef]
- Tousi, N.; Bergadà, J.; Mellibovsky, F. Large Eddy Simulation of optimal Synthetic Jet Actuation on a SD7003 airfoil in post-stall conditions. Aerospace Science and Technology 2022, 127, 107679. [Google Scholar] [CrossRef]
- Kim, M.; Kim, D.; Yeom, E.; Kim, K.C. Experimental study on heat transfer and flow structures of feedback-free sweeping jet impinging on a flat surface. International Journal of Heat and Mass Transfer 2020, 159, 120085. [Google Scholar] [CrossRef]
- Mohammadshahi, S.; Samsam-Khayani, H.; Cai, T.; Nili-Ahmadabadi, M.; Kim, K.C. Experimental study on flow characteristics and heat transfer of an oscillating jet in a cross flow. International Journal of Heat and Mass Transfer 2021, 173, 121208. [Google Scholar] [CrossRef]
- D’Angelo, C.; Paolillo, G.; Greco, C.S.; Cardone, G.; Astarita, T. On the behaviour of impinging sweeping jets: effects of the mixing chamber length, the feedback channel minimum cross-sectional area and the nozzle-to-plate distance. Experimental Thermal and Fluid Science 2024, 155, 111197. [Google Scholar] [CrossRef]
- Joulaei, A.; Nili-Ahmadabadi, M.; Ha, M.Y. Numerical study of the effect of geometric scaling of a fluidic oscillator on the heat transfer and frequency of impinging sweeping jet. Applied Thermal Engineering 2023, 221, 119848. [Google Scholar] [CrossRef]
- Hossain, M.A.; Ameri, A.; Gregory, J.W.; Bons, J. Effects of fluidic oscillator nozzle angle on the flowfield and impingement heat transfer. AIAA Journal 2021, 59, 2113–2125. [Google Scholar] [CrossRef]
- Ostermann, F.; Woszidlo, R.; Nayeri, C.N.; Paschereit, C.O. Properties of a sweeping jet emitted from a fluidic oscillator. Journal of Fluid Mechanics 2018, 857, 216–238. [Google Scholar] [CrossRef]
- Zeleke, D.S.; Huang, R.F.; Hsu, C.M. Effects of Reynolds number on flow and mixing characteristics of a self-sustained swinging jet. Journal of Turbulence 2020, 21, 434–462. [Google Scholar] [CrossRef]
- Wen, X.; Liu, J.; Li, Z.; Peng, D.; Zhou, W.; Kim, K.C.; Liu, Y. Jet impingement using an adjustable spreading-angle sweeping jet. Aerospace Science and Technology 2020, 105, 105956. [Google Scholar] [CrossRef]
- Li, Z.; Liu, Y.; Zhou, W.; Wen, X.; Liu, Y. Thermal pollution level reduction by sweeping jet-based enhanced heat dissipation: A numerical study with calibrated Generalized k-ω (GEKO) model. Applied Thermal Engineering 2022, 204, 117990. [Google Scholar] [CrossRef]
- Länge, K.; Blaess, G.; Voigt, A.; Götzen, R.; Rapp, M. Integration of a surface acoustic wave biosensor in a microfluidic polymer chip. Biosensors and Bioelectronics 2006, 22, 227–232. [Google Scholar] [CrossRef]
- Sakong, J.; Roh, H.; Roh, Y. Surface acoustic wave DNA sensor with micro-fluidic channels. Japanese Journal of Applied Physics 2007, 46, 4729. [Google Scholar] [CrossRef]
- De Giorgi, M.; De Luca, C.; Ficarella, A.; Marra, F. Comparison between synthetic jets and continuous jets for active flow control: Application on a NACA 0015 and a compressor stator cascade. Aerospace Science and Technology 2015, 43, 256–280. [Google Scholar] [CrossRef]
- Traficante, S.; De Giorgi, M.; Ficarella, A. Flow separation control on a compressor-stator cascade using plasma actuators and synthetic and continuous jets. Journal of Aerospace Engineering 2016, 29, 04015056. [Google Scholar] [CrossRef]
- Zhang, H.; Chen, S.; Gong, Y.; Wang, S. A comparison of different unsteady flow control techniques in a highly loaded compressor cascade. Proceedings of the Institution of Mechanical Engineers, Part G: Journal of Aerospace Engineering 2019, 233, 2051–2065. [Google Scholar] [CrossRef]
- Baghaei, M.; Bergadà, J.M.; Del Campo Sud, D. Fluidic actuator performance variation via internal dimensions modifications. In Proceedings of the 17th International Conference on Computational and Mathematical Methods in Science and Engineering, CMMSE 2017, Costa Ballena (Rota), Cádiz, Spain, 4–8 July 2017; pp. 166–176. [Google Scholar]
- Baghaei, M.; Bergada, J.M. Analysis of the Forces Driving the Oscillations in 3D Fluidic Oscillators. Energies 2019, 12, 4720. [Google Scholar] [CrossRef]
- Baghaei, M.; Bergada, J.M. Fluidic Oscillators, the Effect of Some Design Modifications. Applied Sciences 2020, 10, 2105. [Google Scholar] [CrossRef]
- Bergadà, J.M.; Baghaei, M.; Prakash, B.; Mellibovsky, F. Fluidic oscillators, feedback channel effect under compressible flow conditions. Sensors 2021, 21, 5768. [Google Scholar] [CrossRef] [PubMed]
- Yang, J.; Zhang, X.; Luo, Y.; Tang, L.; Liang, B. Numerical parametric study of a sweeping-vortex low-frequency fluidic oscillator. International Journal of Mechanical Sciences 2024, 271, 109115. [Google Scholar] [CrossRef]
- Claus, G.C.; Hatton, A.; Bohan, B.T.; Polanka, M.D. Internal geometry and external wall effects on fluidic oscillator behavior. Journal of Fluids Engineering 2020, 142, 111212. [Google Scholar] [CrossRef]
- Bobusch, B.C.; Woszidlo, R.; Bergada, J.M.; Nayeri, C.N.; Paschereit, C.O. Experimental study of the internal flow structures inside a fluidic oscillator. Experiments in fluids 2013, 54, 1559. [Google Scholar] [CrossRef]
- Ostermann, F.; Woszidlo, R.; Nayeri, C.; Paschereit, C.O. Experimental comparison between the flow field of two common fluidic oscillator designs. In Proceedings of the 53rd AIAA Aerospace Sciences Meeting; 2015; p. 0781. [Google Scholar]
- Woszidlo, R.; Ostermann, F.; Nayeri, C.; Paschereit, C. The time-resolved natural flow field of a fluidic oscillator. Experiments in Fluids 2015, 56, 125. [Google Scholar] [CrossRef]
- Pandey, R.J.; Kim, K.Y. Numerical modeling of internal flow in a fluidic oscillator. Journal of Mechanical Science and Technology 2018, 32, 1041–1048. [Google Scholar] [CrossRef]
- Seo, J.; Zhu, C.; Mittal, R. Flow Physics and Frequency Scaling of Sweeping Jet Fluidic Oscillators. AIAA Journal 2018, 1–12. [Google Scholar] [CrossRef]
- Bobusch, B.C.; Woszidlo, R.; Krüger, O.; Paschereit, C.O. Numerical Investigations on Geometric Parameters Affecting the Oscillation Properties of a Fluidic Oscillator. In Proceedings of the 21st AIAA Computational Fluid Dynamics Conference; 2013; p. 2709. [Google Scholar]
- Slupski, B.Z.; Kara, K. Effects of Geometric Parameters on Performance of Sweeping Jet Actuator. In Proceedings of the 34th AIAA Applied Aerodynamics Conference; 2016; p. 3263. [Google Scholar]
- Wang, S.; Baldas, L.; Colin, S.; Orieux, S.; Kourta, A.; Mazellier, N. Experimental and numerical study of the frequency response of a fluidic oscillator for active flow control. In Proceedings of the 8th AIAA Flow Control Conference; 2016; p. 4234. [Google Scholar]
- Wen, X.; Li, Z.; Zhou, L.; Yu, C.; Muhammad, Z.; Liu, Y.; Wang, S.; Liu, Y. Flow dynamics of a fluidic oscillator with internal geometry variations. Physics of Fluids 2020, 32. [Google Scholar] [CrossRef]
- Yan, Z.; Lu, Y.; Yang, X.; Deng, Q.; Lu, W. Characteristics of a novel fluidic oscillator with movable feedback channels and resonators. Frontiers in Energy Research 2023, 11, 1236087. [Google Scholar] [CrossRef]
- Madane, K.; Ranade, V. Jet Oscillations and Mixing in Fluidic Oscillators: Influence of Geometric Configuration and Scale. Industrial & Engineering Chemistry Research 2023, 62, 19274–19293. [Google Scholar]
- Xu, S.; Peirone, C.; Ryzer, E.; Rankin, G.W. An investigation of a supersonic fluidic oscillator generating pulsations in chambers during pressurization. European Journal of Mechanics-B/Fluids 2024, 103, 100–115. [Google Scholar] [CrossRef]
- Bohan, B.T.; Polanka, M.D.; Kim, I.J.; Layng, J.M. The Effect of Curved Geometry on Exiting Flow of Fluidic Oscillators. Journal of Fluids Engineering 2024, 146. [Google Scholar] [CrossRef]
- Spens, A.; Brandt, P.J.; Bons, J.P. Characterization of Out-of-Plane Curved Fluidic Oscillators. AIAA Journal 2024, 62, 1563–1573. [Google Scholar] [CrossRef]
- Sarwar, W.; Bergadà, J.M.; Mellibovsky, F. Onset of temporal dynamics within a low reynolds-number laminar fluidic oscillator. Applied Mathematical Modelling 2021, 95, 219–235. [Google Scholar] [CrossRef]
- Menter, F. Zonal two equation kw turbulence models for aerodynamic flows. In Proceedings of the 23rd fluid dynamics, plasmadynamics, and lasers conference; 1993; p. 2906. [Google Scholar]









| Wall | Min y+ | Average y+ | Max y+ |
|---|---|---|---|
| Front & Back | 1.717e-03 | 1.397 | 8.822 |
| Internal walls | 9.347e-04 | 6.512e-01 | 2.178e+01 |
| k (m2/s2) | Omega (s−1) | Nut (m2/s) | P (Pa) | U (m/s) | |
|---|---|---|---|---|---|
| inlet | 1.5 · 10−4 | 0.152 | 9.9 · 10−4 | zeroGradient | 10 |
| outlet | zeroGradient | zeroGradient | zeroGradient | 105 | zeroGradient |
| Front & Back | 10−20 | omegaWallFunction value = 10−5 | nutWallFunction value = 10−7 | zero Gradient | 0 |
| Internal walls | 10−20 | omegaWallFunction value = 10−5 | nutWallFunction value = 10−7 | zero Gradient | 0 |
| Inlet angles Evaluated | ||||
|---|---|---|---|---|
| Inlet angle | ||||
| MC entrance width | 0.022 | 0.0255 | 0.032 | 0.04 |
| Inlet section name | Entrance 1 | STD = Entrance 2 | Entrance 3 | Entrance 4 |
| Feedback channel dimensions evaluated | ||||
|---|---|---|---|---|
| FC modifications | ||||
| FC width | 0.0322 | |||
| FC name | FC 1 | FC 2 | STD = FC 3 | FC 4 |
Disclaimer/Publisher’s Note: The statements, opinions and data contained in all publications are solely those of the individual author(s) and contributor(s) and not of MDPI and/or the editor(s). MDPI and/or the editor(s) disclaim responsibility for any injury to people or property resulting from any ideas, methods, instructions or products referred to in the content. |
© 2024 by the authors. Licensee MDPI, Basel, Switzerland. This article is an open access article distributed under the terms and conditions of the Creative Commons Attribution (CC BY) license (http://creativecommons.org/licenses/by/4.0/).