Preprint
Review

This version is not peer-reviewed.

Exploring Silica Nanoparticles: A Sustainable Solution for Pest Control in Sri Lankan Rice Farming

A peer-reviewed article of this preprint also exists.

Submitted:

22 September 2024

Posted:

24 September 2024

You are already at the latest version

Abstract
Rice cultivation stands as a cornerstone of Sri Lanka's economy, serving as a vital source of em-ployment for rural communities. However, the constraints of limited land availability have prompted an escalating dependence on agrochemicals, notably for pest management, thereby posing significant threats to human health and the environment. This review delves into the ex-ploration of silica nanoparticles as a promising eco-friendly substitute for conventional pesticides in the context of Sri Lankan rice farming. It comprehensively examines various aspects including the synthesis methods of silica nanoparticles, their encapsulation with synthetic pesticides, and an evaluation of their efficacy in pest control. Furthermore, it sheds light on the innovative utilization of agricultural waste such as rice husk and straw in the production of silica-based nano-pesticides. This approach not only demonstrates a shift towards sustainable agricultural practices but also aligns with the principles of green chemistry and circular economy, offering a holistic solution to the challenges faced by the rice farming sector in Sri Lanka.
Keywords: 
;  ;  

1. Introduction

During the second half of the nineteenth century, the strong growth of the world economy, including the industrial and agricultural sectors, led to the increasing production and use of agrochemicals, often with disastrous effects on the environment. The unwise use of pesticides and other persistent organic pollutants in agricultural soils has had devastating effects for the future [1]. The persistent and widespread presence of various agricultural pesticides and other organic pollutants due to their bioaccumulation and high toxicity has wreaked havoc on humans [1]. To overcome these obstacles and move the economy toward a more sustainable future, Anastas and Warner coined the term “green chemistry” in 1998. Twelve principles were used that were explored as ways to promote cleaner, more environmentally friendly chemistry, including the use of less hazardous substances and solvents and renewable feedstocks, and conceptual routes to encourage an atomic and energy economy through the reduction of unnecessary synthesis steps or the design of alternatives [2]. Based on the research summary of the application of green chemistry in agriculture in the past ten years, Perlatti et.al mentioned that one of the current trends in the development of biopesticides is nano-synthetic pesticides, because the technology can improve the stability and solubility of the natural products, and thus improve their efficacy [2].
The use of conventional pesticides has many negative externalities, including environmental degradation and pest resistance [3]. As a result, their use in commercial agriculture has been subject to regulatory restrictions, leading to a 2% annual decline in the use of synthetic pesticides and a 10% increase in the use of biopesticides as alternative agrochemicals [4]. Nanoparticles exhibit unique physical and chemical properties compared to bulk materials and have advantages due to these properties [5]. Similarly, silica nanoparticles play a variety of roles in various areas of agriculture and exhibit unique physical and chemical properties over other sources of silica. Due to their unique properties, they have great potential for use in agriculture for mitigation of biotic and abiotic stresses. Silica nanoparticles can be used as insecticides for controlling a wide range of pests without pesticide hazards such as residue problems, environmental contamination, and the development of resistance, in addition to being a potential source of silica [6].
Rice (Oryza sativa L.) is a staple food in Sri Lanka. Rice cultivation is an important agricultural activity in Sri Lanka. As opportunities for further expansion of rice cultivation are limited, the government has prioritized increasing rice yields through active promotion of agrochemicals [7]. Although the country has banned a number of pesticides, excessive application of pesticides and poor policy enforcement have led to serious environmental pollution [8]. From 1991 to 2018, agricultural pesticide used in Sri Lanka increased by 43% [8].
Growing consumer concerns about the use of synthetic pesticides and their negative impacts, as well as the growing market for organic products, have forced the search for new alternatives, such as biopesticides. The use of these compounds has always been encouraged as they are promising alternatives for reducing the impacts caused by conventional systems. However, despite their many beneficial aspects, these compounds still face some challenges such as low storage capacity, rapid degradation, sensitivity to environmental conditions and poor field performance. As a result, commercially available chemical pesticides continue to dominate the global pesticide market [25]. Therefore, nano-pesticides are designed to reduce pesticide losses, increase pesticide utilization, and provide ideas for the development of sustainable agriculture.
This review also aims to give a general overview of synthetic pesticide loaded on silica nanoparticles for the synthesis of controlled nanodelivery systems, nanopesticides, their advantages and limitations. This is followed by the results and discussion section which first presents current finding of cash crop yields in Sir Lanka, as they pertain rice. The factors affect farmers to use the pesticides, as well as major health consequences are discussed. The next section of the discussion reviews different types of nanoparticle technology are used to alternate the synthetic pesticides with a focus on the silica nanoparticle as insecticides. The application of silica nanoparticles to biopesticide is discussed as a strategy to improve the practicality of biopesticide.

2. Synthetic Pesticides Usage in Sir Lanka

Rice is a staple food in many Asian countries, with deep-rooted traditions and cultures, and as a result, it is widely cultivated in the region [9]. Similar to many other Asian countries, rice is the main crop grown in Sri Lanka. Currently, rice is the single most important food crop, accounting for 34% (770,000 hectares) of the country’s total cultivated area. About 1.8 million farmers are engaged in rice cultivation throughout the island. Sri Lanka currently produces 2.7 million tons of rice annually, which meets 95% of the domestic demand. Rice provides 45% and 40% of the total calories [65].
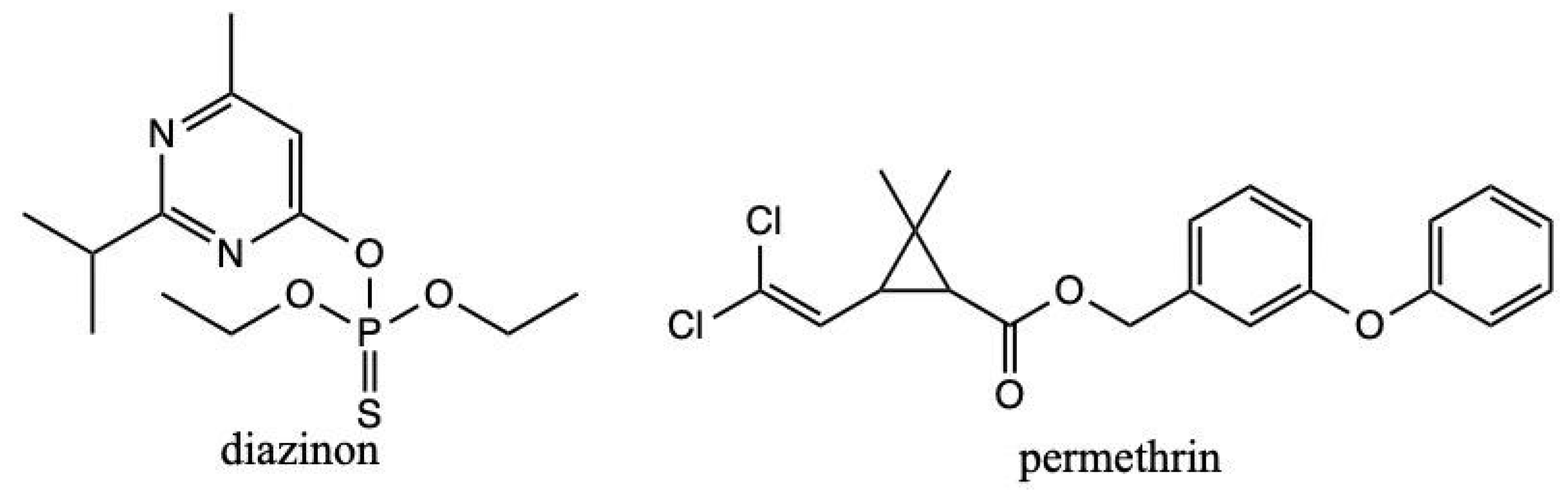
A recent study estimated that 1.2 to 200 million tons of grain are lost annually in tropical Asian rice fields due to insects, diseases, and weeds [10]. The average loss in rice production across the region is estimated to be 37% [7]. The average region-wide loss of rice yield due to insect pests is estimated to be 37% [11]. Most farmers use pesticides to increase food production and crop yields. According to Jayasiri out of 20 pesticides tested in the water quality assessment, among them, diazinon and fipronil (shown in Figure 1) were detected as commonly used broad-spectrum active pesticides with the best concentration levels in the paddy field [12].
Even though Sri Lanka has restricted its use and banned a number of pesticides as recommended by the World Health Organization (WHO) guidelines, the excessive application of pesticides and poor policy implementation has led to serious environmental pollution. In fact, agricultural pesticide uses in Sri Lanka increased by 43% from 1991 to 2018 [13]. In addition, there have been multiple reports of pesticide misuse, including over-application, in rice cultivation in the country [7,15]. Rayasiri’s study found a variety of potentially adverse consequences of exposure to diazinon in fish, amphibians, insects, and beetles [15]. Imoro’s study also observed that that 50% of farmers are at risk of pesticide exposure through dermal contact, inhalation and ingestion during preparation and application to crops due to non-use of protective clothing [16].
It has been hypothesized that toxins and contaminants through food intake, direct ingestion of toxins, and chronic exposure to toxins and contaminants through drinking water may have a significant impact on the development of (chronic kidney disease of unknown etiology) CKDu in farmers working in rice fields [18]. In Sri Lanka, the study hypothesized that the CKDu causative factor is hydrogeochemical. Numerous publications have suggested that toxic elements found in agrochemicals are the likely cause of groundwater toxicity in the region [19,20]. The Wilgamuwa district is a CKDu-endemic area, and there is evidence of the presence of several compounds known to cause nephrotoxicity, many of which have been detected at concentrations higher than the recommended drinking water levels. Shipley testing of drinking water wells in the Wilgamuwa Agricultural District The most common chemical found in the samples was diazinon, which was detected throughout the year at levels well above the US EPA guideline of 7 µg/L [17].
In Sri Lanka, rice is harvested in only two seasons and therefore proper storage of rice is also an important factor in protecting the economy and food security. The rice weevil Sitophilus oryzae L. is a dominant pest of rice, wheat, maize and many other grain stores and has caused significant economic losses [22]. Over reliance and excessive use of synthetic pesticides especially insecticides over the last four decades have led to a wide range of pest problems such as pest resistance to chemicals, pest resurgence, residues in food and soil and threats to human and animal health, and environmental pollution [22].
Organophosphorus pesticides are excellent ecological alternatives to organochlorines, and they contain super-insecticides [23]. Aluminum phosphide (AlP) is used for crop protection storage and transportation [24]. But if farmers don’t handle and use AIP properly, AlP tablets release deadly phosphine gas when they come in contact with water. (The reaction mechanism is shown in Figure 2). Unfortunately, there is currently no systemic treatment in dealing with phosphine gas poisoning [24].

3. Biopesticides and Silica Nanoparticles

Biopesticides are pest control agents made from microorganisms, plants and animals. Synthetic pesticides continue to strongly protect agricultural products, but their long-term use has similar consequences such as carcinogenicity and long-term environmental stability. To address these issues, there is a need to produce new types of pesticides [28]. Biopesticides are considered because they are safe and environmentally friendly. Biochemicals, microorganisms, and plant incorporated protectants (PIPs) are the three categories of biopesticides identified by the U.S. Environmental Protection Agency in Figure 3.
Microbial pesticides: Microorganisms such as viruses, bacteria, fungi, protozoa, and yeast are used in the production of biopesticides. Microbial pesticides are more effective alternatives to chemical insecticides. Their pathogenicity against target pests varies from species to species [29]. Most of the toxins produced by microbial pathogens are peptides, but they vary widely in structure and toxicity. Humans and other non-target species can benefit from the effectiveness and safety of pesticides. These pathogens leave little or no residue in food [27]. Microbial pesticides are ecologically safe and can increase biodiversity in managed ecosystems by eliminating the threat of other natural pests. Thus, microbial formulations are highly specific to the target pests, allowing beneficial insects to thrive in treated crops [27]. Subspecies and strains of Bacillus thuringiensis are the most widely used microbial pesticides in the control of as broad range of insects [29].
Biochemical pesticides are naturally occurring substances in the environment that control pests through non-toxic mechanisms. The mechanism of action of biochemical pesticides is different from that of conventional pesticides. While conventional pesticides act directly and destroy their targets, biochemical pesticides act indirectly. For example, they disrupt the sexual function of their targets. Natural plant-derived products such as terpenoids, alkaloids, phenols and other secondary chemicals can be used as biopesticides [27].
PIPs are pest control substances produced by plants and the genetic material needed by plants to make the substance. Most of the pesticides used are low molecular weight synthetic organic compounds. For example, Bacillus thuringiensis cotton is a genetically modified crop in which genes for the insecticidal proteins of Bacillus thuringiensis are introduced into the genome of the plant, enabling the plant to produce active peptides that kill the target pest directly However, genetically modified organisms are still a controversial topic in agriculture, and there is more than a little resistance to their adoption [27].
Silica-based nanomaterials have been primarily evaluated for biomedical applications have become relatively new nanocarriers for agricultural applications [32,33,34,36,37,38]. Silica materials offer significant advantages over other materials because they provide a more mechanically stable structure than polymeric materials [39] and structural flexibility in the formation of nanomaterials with high-capacity active substance loading [40]. In addition, amorphous silica is biocompatible because it is classified by the U.S. Food and Drug Administration as a “Generally Recognized as Safe (GRAS)” material [27]. Previous studies have shown that silica-based nanomaterials, including nonporous silica nanoparticles, can be loaded and released with a variety of agrochemicals, mesoporous silica nanoparticles and hollow silica shell nanoparticles [41]. The latter is more favorable because the cores provide higher active substance loading capacity than non-porous and mesoporous silica nanoparticles [43]. In general, there are two techniques for active loading of core-shell silica nanoparticles, namely post-loading and pre-loading. Post- loading is based on active substance diffusion into the internal space by submergence or high-pressure supercritical fluid [41,42].
The disadvantage of this method is that it promotes an initial burst of release in an aqueous-based environment due to the presence of surface-associated active molecules, especially when water-soluble actives are used [44]. On the other hand, the preloading technique, which is based on the dissolution of the active substance in the template material prior to the formation of the silica shells, is more advantageous in reducing the possibility of the active substance adhering to the outer surface of the shells, thus increasing the flexibility of protection and release of the active substance [41]. Despite these advantages, the synthesis of core-shell silica nanoparticles most commonly involves chemical surfactants, templates, and toxic organic solvents, which must then be completely removed from the product [45]. Studies have shown that residual chemical surfactants embedded in silica nanomaterials can cause severe cytotoxicity [41]. This poses a significant environmental risk. In this regard, a superior strategy for synthesizing nanocarriers should enable preloading of actives with high loading capacity and involve only biocompatible components, thus avoiding time-consuming and cumbersome monitoring procedures to ensure complete removal of residual toxic components to a tolerable level. It may be considered environmentally safe [41].

3.1. Nanopesticide

The addition of the prefix “nano” to the word pesticide denotes the formation of pesticide formulations of a specific size [26]. Bergeson suggests that very small particles of active ingredient or other small, engineered structures with preventive, eradicative, repellent, or mitigating properties for pests would be considered nanopesticides [49]. Thus, a wide range of nanomaterials that produce pesticide effects can be referred to as nanopesticides, such as nanometals and metal oxides, or non-metals and their oxides [14,26,61].
In addition, nanomaterials have been used as carrier materials for the delivery of conventional pesticides. Certain nano-objects provide support for traditional pesticide active ingredients (AIs) to prepare nanostructured pesticide formulations through adsorption, ligand-mediated attachment, encapsulation, and encapsulation [50]. Nanomaterials for pesticide delivery, such as nanocapsules, nanocontainers and nanocages, and the utilization of these nanomaterials are good vehicles for the preparation of controlled release pesticide formulations (CRFs). These nanomaterials also protect active ingredients from premature degradation, improve stability and pest control efficacy, and reduce pesticide use [51].

3.2. Nanoencapsulation Silica Nanoparticles

Pesticide nanocapsules are a delivery method in which the active ingredient is encapsulated in various nanomaterials and released in a controlled manner [27]. Nanomaterial encapsulation can prevent premature degradation (e.g., photolysis, hydrolysis, biodegradation, etc.) of the active ingredient as well as unnecessary losses due to leaching and volatilization, and is more effective than traditional pesticide formulations in practical applications [27]. With rational design, nanomaterials can also enable the encapsulation system to exhibit slow-release behavior, extend the control cycle or give it stimulus-responsive release characteristics to achieve precise control [27].
Zhang et al. prepared novel targeted nanocapsules based on specific binding between receptor and ligand using covalent bonding of silica and dopamine to enhance the insecticidal efficacy of high potency lambda-cyhalothrin. The targeting release mechanism of λ-cypermethrin nanocapsules (NC) nanocapsules was verified by enzymatic analysis, fluorescent labeling and high performance liquid chromatography. The results showed that NC had a uniform particle size (800 nm) and about 31% (w/w) loading efficiency of λ-trifluthrin. The stability of λ-cypermethrin in nanocapsules was improved under different pH and temperature conditions [47].
Singh et al. reported a pioneering method for the green synthesis of high purity mesoporous silica nanoparticles by sol-gel method using aqueous extract of pericarp of Sapindus indica seeds as stabilizer [66]. The mesoporous nature of silica nanoparticles was utilized as a carrier for essential oils to develop carrier-based formulations. The in vitro antifungal activities of CEO and CEO-loaded silica nanoparticles (CEO-silica nanoparticles) were evaluated using agar plate assay. The UV-Vis results showed that the encapsulation rate of CEO in silica nanoparticles was 62.64%. The antifungal efficacy of CEO-silica nanoparticles against Fusarium spinosum showed the minimum inhibitory concentration (MIC) of 125 mg/L, whereas the MIC of CEO was 250 mg/L [66].
Ebadurahi et al. evaluated the encapsulation of thyme and thyme essential oils in silica MCM-41 nanoparticles The major compound of T. eriocalyx was thymol (28.83%), while the major compound of T. kotschyanus was camphene (35.59%). Both the essential oils showed strong fumigant activity against female adults of the two-spotted leaf mite, T. kotschyanus. After encapsulation, the fumigation duration was extended by 14 days for T. eriocalyx and 13 days for T. kotschyanus compared to the crude essential oils Furthermore, the acaricidal activity was increased by 2.5-fold and 3.5-fold after encapsulation of the essential oils of T. eriocalyx and T. kotschyanus, respectively [46].

3.3. Nanoemulsion

Oil/water emulsions consist of dispersed oil droplets stabilized in water. Nanoemulsions share the same principle, but they have a size range of 100 nm to 1 µm, whereas classical emulsions have a size larger than 1 µm [52]. One of the main characteristics that differentiate nanoemulsions from emulsions is the slow emulsification rate. Due to these characteristics nanoemulsions are guaranteed to have higher homogeneity and stability over the product life cycle [21,54].
Hashem et al. prepared and characterized a system based on the essential oil of Pimpinella anisum L. which contained >80% (E)-anetol. The authors also evaluated the bioactivity of the nanoemulsions against adult Erythrocystis spp. (morphological and histological effects). These results showed that the nanoemulsion had an average particle size of 198.9 nm, a PDI of 0.303, a zeta potential of -25.4 ± 4.47 mV, and a conductivity of 0.029 mS/cm. the nanoemulsion was also effective in controlling A. ruderalis, with an LC50 of 9.3% v/v, and also showed significant morphological and histological damage. Thus, nanoemulsions showed higher efficacy against stored grain pests and contributed to the stability of essential oils [61].
Citronella oil and neem oil nanoemulsions alone and in combination were studied by Osman Mohamed Ali et al. as antifungal agents for crop pests. The droplet size of the nanoemulsions decreased with the increase in the ratio of surfactant to lemongrass oil or neem oil. Neem nanoemulsion combined with 5% lemongrass oil and lemongrass nanoemulsion combined with 5% neem oil were the best formulations among all the formulations tested. The ED 50 of neem oil nanoemulsions was 13.67 mg/L and 14.71 mg/L against Fusarium rickettsii and Fusarium rolfsii, respectively, whereas lemongrass nanoemulsions were 25.64 mg/L and 20.88 mg/L against Fusarium rickettsii and Fusarium rolfsii, respectively. The nanoemulsions showed higher antifungal activity as compared to the crude neem oil and lemongrass oil [52].

4. Preparation of Silica Nanoparticles

Mesoporous silica nanoparticles are considered as promising carrier materials for drug delivery systems due to their large specific surface area and pore volume, adjustable pore size and high biocompatibility [55,56]. Mesoporous silica nanoparticles are relatively safe for plants and have been reported to be used as pesticide carriers for pesticide delivery [57,58], and no growth inhibition or damage was observed in the applied plants during the experiments. In addition, the easily functionalized surface structure of mesoporous silica nanoparticles can be modified by responsive molecules or polymers,59,60 facilitating the construction of pesticide nanodelivery systems that are sensitive to external stimuli (e.g., pH, light, and temperature) for controlled release of pesticide components [35].

4.1. Silica Nanoparticles from Rice Husk

According to Alhadhrami et.al experiment, they used silica sol-gel method to synthesis silica particles from ash by simultaneous hydrolysis and condensation reactions [65]. Silica nanoparticles were obtained from rice husk ash using the following steps: to remove dust and other soluble organic and inorganic impurities, rice husk was soaked and washed in distilled water. The washed rice husk was dried in an oven at 120°C for 24 hours. The dried rice husk was soaked in an acidic solution (HCl,0.2 mol/L) for 24 h (Eq. (1)) to dissolve the carbonate component [65]. Then rinsed repeatedly with distilled water to remove the acid, and then air-dried for another 24 h. The purified rice husk was combusted in a muffle furnace at 800°C for 1 h. The purified rice husk was then burned in a muffle furnace at 800°C for 1 h. Then, 10 g of burned rice husk ash was mixed with 2.5 M NaOH. The mixture was then heated for 4 hours and then filtered to obtain a colorless viscous solution. This solution was designated as Na2SiO3 reserve solution (Equation (2)) [65]. Next, the Na 2SiO3 solution was reacted with HCl to obtain an aqueous silica solution (Equation (3)) [65]. Subsequently, 1 g of the aqueous silica solution was mixed with 142.8 mL of ethanol, 20 mL of water, and 3.14 mL of ammonia solution and stirred at room temperature for 1 hour. The mixture was then mixed with a quaternary cationic ammonium surfactant and subsequently stirred at room temperature for 4 hours. The mixture was left for 48 hours to evaporate the solvent and form a gel. Finally, silica nanoparticles were prepared by calcining the gel at 600 °C for 2 hours (Equation (4)) [65].
S i O 2 ( R H A ) ( s ) + 2 H C l ( a q ) + H 2 O ( l ) H 2 S i O 3 ( s ) + 2 C l ( a q ) + 2 H ( a q ) + (1)
H 2 S i O 3 ( S ) + 2 N a O H ( l ) N a 2 S i O 3 ( l ) Δ + 2 H 2 O ( l ) (2)
N a 2 S i O 3 ( l ) + 2 H C l ( l ) S i O 2 ( a q ) + 2 N a C l ( a q ) + H 2 O ( l ) (3)
S i O 2 ( a q ) + C 2 H 5 O H , N H 4 O H S i O 2 N P s (4)

4.2. Silica Nanoparticles from Paddy Straw

The use of paddy straw (PS) to extract silica nanoparticles was proposed by Singh et al. The method is in a different order but similar in approach to that of Alhadhrami et.al. PS was rinsed with distilled water and dried at 105°C. The dried substrate was pulverized. The powdered PS was passed through a standardized 22 mesh sieve. The powdered straw was burnt to ash using a muffle furnace at 600°C for 4 hrs. 5 g of ash was suspended in 500 mL of 0.5 M NaOH. The solution was maintained at 100°C and stirred vigorously for 4 hours to produce a sodium silicate solution, slurry mixture. The slurry was further filtered, and non-reactive impurities were removed by washing with deionized water. The silica in the PS was dissolved in sodium hydroxide to produce a sodium silicate solution (Equation 5) [66]. The sodium silicate solution is further titrated with 10% hydrochloric acid and S. mukorossi aqueous extract to produce silica gel (Equation 6) [66]. For complete precipitation, the silica gel was precipitated by continuous stirring for 24 hours followed by providing stagnant conditions for another 48 hours. Sulfate was removed from the gel using water and ethanol and the resulting silica gel was dehydrated by freeze drying and further stored in a vacuum desiccator [66].
S i O 2 ( s ) + 2 N a O H ( a q ) N a 2 S i O 3 ( a q ) + H 2 O ( l ) (5)
N a 2 S i O 3 ( a q ) + 2 H C l ( a q ) S i O 2 ( a q ) + 2 N a C l ( a q ) + H 2 O ( l ) (6)
Figure 4. Schematic representation of silica nano synthesis by sol-gel method using aqueous extract of paddy straw. Adapted from 66.
Figure 4. Schematic representation of silica nano synthesis by sol-gel method using aqueous extract of paddy straw. Adapted from 66.
Preprints 118962 g004

5. Preparation of Silica Nanopesticides

Among nanomaterials, silica nanoparticles have received much attention as potential alternatives to conventional insecticides. The insecticidal properties of silica nanoparticles are thought to be due to direct abrasion of the insect cuticle [68,69,70] or adsorption through the cuticle [71]. Silica NPs may also have an indirect insecticidal effect on pests feeding on treated plants or food by blocking the digestive tract11 and inducing external morphological malformations. Silica may also damage the digestive tract of herbivorous insects that feed on silica-treated plants [72].

5.1. Silica Nanopesticides from Pickering Emulsion

A new method for single-cell microencapsulation in oil-in-water (o/w) Pickering emulsions was presented by Yaakov et al. The water/paraffin emulsion is stabilized by amine-functionalized silica nanoparticles [36]. The highest stability of more than one year was achieved when the silica content was 5 wt% and the oil/water ratios were 20:80 and 30:70.36 The viability of Green Streptomyces conidiophores encapsulated in silica-NH2 Pickering emulsion was further characterized by culturing the Metarhizium Conidia on Sartre’s dextrose agar (SDA) growth medium. The germination rate of the encapsulated was 85 ± 8.3%. Mortality of larvae treated with conidia incorporated in Pickering emulsion was 75%. The incorporation of conidia into o/w silica-NH2 Pickering emulsion resulted in a substantial reduction in the time to lethality of the larvae of the northern Sabine nightshade to 4.89 [36].
Figure 5. Schematic representation of silica-NH2 oil/water Pickering emulsions for biopesticide formulations. (a) Dispersion of silica-NH2 particles in water, sonicated with paraffin oil to form silica-NH2 Pickering emulsion. (b) Single-cell encapsulation of Metarhizium Conidia Pickering emulsion. (c) Spray assay of leaves to assess cell distribution and biological function. Adapted from 36.
Figure 5. Schematic representation of silica-NH2 oil/water Pickering emulsions for biopesticide formulations. (a) Dispersion of silica-NH2 particles in water, sonicated with paraffin oil to form silica-NH2 Pickering emulsion. (b) Single-cell encapsulation of Metarhizium Conidia Pickering emulsion. (c) Spray assay of leaves to assess cell distribution and biological function. Adapted from 36.
Preprints 118962 g005

5.2. Loading Pesticide in Silica Nanoparticles

To realize the sensitive response of nanopesticides to external stimuli, the outer surface of nanocomposites is usually modified with responsive gatekeeper molecules [62]. Polydopamine (PDA), a mussel-inspired material, has attracted much attention due to its good biocompatibility, strong adhesion, and high photothermal conversion efficiency [63].
Kan et al. constructed a smart pesticide nanocomposite with a PDA-modified mesoporous silica nanocomposite (MSN) framework, which enables alkali stimulation-triggered release of pesticide molecules. Chlorpyrifos (Cpf), a broad-spectrum organophosphorus insecticide with touch and stomach toxicity, was selected as a model pesticide because of its wide application in agriculture to kill pests [35]. For Cpf loading, 0.2 g of MSN was immersed in a Cpf/ethanol solution (20 mL) at a concentration of 10 g/L in an amber-colored glass tube; the suspension was then shaken overnight on a rotary shaker at room temperature. The products were then collected by 3 cycles of ultrapure water washing and centrifugation, and the Cpf-loaded MSNs were lyophilized and referred to as Cpf-MSNs [35]. 100 mg of Cpf-MSNs was dispersed in 100 mL of Tris-HCl buffer solution (pH 8.5, 10 mM). After stirring for a period, 100 mg of dopamine hydrochloride (1 g/L) was added, and stirring was continued at room temperature for 24 h. Finally, a black pellet was obtained by centrifugation and washed several times with ultrapure water to remove unpolymerized dopamine and lyophilized the PDA-encapsulated Cpf-MSNs abbreviated as Cpf-MSNs@PDA [35]. The possible mechanism is shown in Figure 6 [35].
Nanopesticides can be formulated in a variety of ways that can be further categorized according to their type. As shown in Table 1, various researchers have been working on these methods for more than a decade. The various methods in the table are listed in the following order: nanoemulsion, polymer-based and inorganic active intergredients. It has been observed that nanogels and nanofibers play an important role in the polymer-based portion of the table, and a special subsection is needed to highlight their contributions. Note that as the field advances, it should be recognized that other methods may emerge in addition to those listed below [48].

6. Silica Nanoparticles Potential Limitations and Solutions

Traditional dosage forms of pesticides have the disadvantages of coarse particles, water solubility, poor dispersion, etc., which make it difficult to give full play to their efficacy [83]. For example, the new strobilurins fungicide pyraoxystrobin (Pyr) developed independently by Shenyang Research Institute of Chemical Industry,84 the compound exerts bactericidal activity by combining with the coenzyme Qo site of cytochrome b and blocking the electron transfer between cytochrome b and cytochrome c1 [85], which is highly efficient, broad-spectrum, and low-toxicity, and it has an effective preventive and control effect on Cuban downy mildew, wheat powdery mildew, and rice blight, which is applicable to rice, crops and fruits and vegetables [86]. However, Pyr has a low solubility in water and is hardly transferred in plants [87]. Xu’s group used mesoporous silica nanoparticles as a carrier and pyraoxystrobin as an insecticide to explore the size effect of loading, release and transport in cucumber plants A comparative study was conducted to investigate the controlled-release performance, loading, uptake, and transport properties in cucumber plants. It was found that the loading increased with particle size; nanoparticles as carriers increased the solubility of insoluble Pyr, but nanoparticle size had no significant differential effect on the release rate. The cellular uptake efficiency was closely related to the particle size; the smaller the silica particle size, the easier it was absorbed and transported by the cucumber plants. Compared with free Pyr, the rate of upward transport of Pyr in the plant using silica particles as carriers was increased by 3.5-fold [85].
Meanwhile, there are some other studies focus on the utilization of mesoporous silica nanoparticles for pesticide delivery, more emphasize on storage and slow release of pesticides.
Wanyika et al. studied the slow-release behavior of methomyl fungicide in mesoporous silica nanospheres, releasing 11.5% and 47% in soil and water, respectively, within 30 days. The release rate was much lower than 76% of free methomyl in soil [88]. Huang’s group also prepared quaternized chitosan-coated mesoporous silica nanoparticles for slow release of pyraclostrobin fungicides [89], in which electrostatic and hydrogen-bonding interactions were found to be the main driving forces for the formation of surface-capped nanoparticles. In their later work, pyrazoxystrobin-loaded mesoporous silica nanoparticles with a double-shell hollow structure and stable fluorescence exhibited good fungicidal activity against Phomopsis asparagi [90]. Recently, Chen et al. prepared a slow-release formulation of methyl eugenol using Schiff base-modified mesoporous silica as a carrier, and the entrapment rate of the formulation was up to 73% of that of pure methyl eugenol due to the large surface area of the carrier and the strong electrostatic interaction with methyl eugenol [91]. The pesticide slow-release formulation has the advantages of prolonging the release time and reducing the number of applications, which is beneficial for improving the utilization rate of pesticides and reducing the adverse reactions of pesticides [92].
It is clear that mesoporous silica-based nanopesticides have many advantages over conventional dosage forms, including small effective dose, enhanced photothermal stability, targeted delivery, long effective duration and high efficiency. Based on the urgent need to reduce the impact of conventional pesticide products on the environment and non-target organisms, mesoporous silica-based nanopesticides are expected to be available soon. Until nanopesticides are widely used, a common issue is the environmental risk of these new products [93]. Therefore, scientifically reliable guidelines for risk assessment of different types of nanopesticides need to be established and recommended to be considered by regulatory agencies when registering nanopesticides. Unfortunately, the risk assessment of pesticide formulations based on nanocarriers still faces insurmountable bottlenecks [94].
With the field application of mesoporous silica-based nanopesticides, both the pesticide prodrugs and the mesoporous composite carriers enter the natural environment, including soil and water systems, and may undergo transformation processes such as adsorption, degradation, and reaction with other pollutants, which make it difficult to assess their environmental impacts [95]. Currently, pesticide risk assessments recommend comparisons between pesticides in their pure form, commercially available formulations and prepared nano-formulations. The durability of the nanopesticide is a key parameter in the risk analysis, which determines whether further decisions on exposure risks and environmental impacts are required [96]. If the durability of the nanopesticide is relatively short, there are no significant differences in fate parameters from conventional formulations. Conversely, if pesticide-nanocarrier complexes are found to be moderately durable in soils and water systems with strong mobility, further risk analysis is required based on environmental fate data specific to the complexes [95]. The environmental and ecological impacts of silica nanocarriers should also be considered rationally and scientifically.
With the rapid development of drug delivery systems based on silica nanoparticle carriers, their biosafety in cells and animals has been gradually concerned [97]. Christen et al. have studied the toxicity of silica nanoparticles on fibroblasts of the broadhead fish Labeo rohita and found that they induced endoplasmic reticulum stress response and altered cytochrome activity [98]. Krishna Priya et al. conducted a similar study to investigate the ecotoxicological effects of silica nanoparticles on the freshwater scleractinian fish Labeo rohita [99]. Changes in hematological, ionic regulation and enzymatic parameters were found to be associated with physiological stress induced by silica nanoparticle toxicity. Further studies are needed to investigate the toxicity of silica nanocarriers to aquatic or soil organisms, especially after long-term exposure [95].
Based on the aforementioned information, it is crucial to conduct in-depth and long-term studies on the environmental behavior of nano-pesticides, as this will significantly aid in their risk assessment and could ultimately determine how and when these innovative products enter the market. Although the risk assessment of nano-pesticides is challenging due to technological limitations and uncertainties in environmental conditions, there are measures that can be taken to mitigate their environmental risks. In addition to advanced pesticide spraying technologies, the release profile of nano-pesticides can be tailored by adjusting preparation conditions to match the actual dosage requirements of plants [95]. Moreover, efforts should be made to minimize the amount of residual pesticides that escape into the environment, beyond the quantities necessary for crop protection. This would demand precise control over the preparation process of mesoporous silica-based nano-pesticide formulations, including the fine-tuning of pore size, shell thickness, particle size, shape, surface morphology, and the inclusion of suitable “gatekeepers.” On the other hand, the effective lifespan of nano-pesticides is also a crucial factor, which can be designed through preparation adjustments. A balance must be achieved between ensuring long-term efficacy of the pesticide and reducing residual levels, with consideration of the specific characteristics of pathogens, pests, or weeds, as well as crop growth cycles. Therefore, successfully formulating nano-pesticides that meet the required dosage and duration standards will help reduce their environmental risks and may expedite their commercialization [95].

7. Conclusions

In order to improve rice yields, Sri Lankan farmers should gradually shift from the excessive use of chemical pesticides to the rational and controlled use of biopesticides. Pesticides are widely used to prevent insect pests and fungal infections in rice, and their irrational use can lead to infiltration of pesticides into rice fields. This poses a great challenge to the environment and human health. Fortunately, biopesticides encapsulated by silica nanoparticles facilitate the construction of a nanopesticide delivery system sensitive to external stimuli (e.g., pH, light, and temperature) to achieve controlled release of pesticide compositions. The encapsulated pesticide composition is the same as the unencapsulated commercial pesticide composition, and the pest management effect, efficacy retention time and efficacy controllability are significantly improved. In particular, the silica nanoparticles are mainly reused in the extraction of agricultural product wastes, such as rice husk and rice straw. The synthesized silica nanoparticles are modified by responsive gatekeeper molecules on the outer surface to achieve a sensitive response to external factors, as well as the use of nanoemulsion method for successful loading of biopesticides. In almost perfect compliance with the principles of green chemistry, sustainable development and circular economy, silica nanoparticles are likely to become one of the alternative strategies for pest control in emerging production systems such as organic agriculture.

8. Future Direction

The controlled-release properties of nano-encapsulated materials that utilize auto-sensing capabilities to release artifacts into the target area require further investigation [26]. Notably, the new technology of nano-delivery of RNAi (RNA interference) for specific control of plant-feeding pests) has the ability to create a “green revolution” in pest management in the future, where targeted pests can be more easily controlled or eradicated. or eradicated [51]. In today’s major challenge of meeting the food needs of a growing population in the face of dramatic and persistent climate change, sustainable development strategies should continue to be followed to promote the quality of agricultural products. To explore future applications of green chemistry, microfluidic sol-gel methods can be used to synthesize highly monodisperse silica nanoparticles of near-perfect spherical structure [64]. Based on the reviewed methodology, the following is a proposed protocol to evaluate, test and explore silica nanopesticide. (Figure 7)
1. Selection of paddy straw or rice husk is accessible and culturally relevant to Sri Lanka or Ghana.
2. Extraction silicate source from paddy straw or rice husk ash by alkali solubilization and acid condensation.
3. Synthesis of silica nanoparticles by solution-gel method from obtained silicate source.
4. Characterize silica nanoparticles with the following analyses.
a. X-ray spectroscopy analysis
b. Transmission electron microscopy analysis
c. Atomic force microscopy analysis
d. UV-vis spectrometer analysis
e. X-ray diffraction analysis
f. Fourier transform infrared spectroscopy analysis
g. Dynamic light scattering
h. Water contact angle
i. Analysis of surface area and pore volume
5. Loading pesticide into silica nanoparticles by Pickering emulsion or encapsulation method.
6. Characterize silica nanopesticides with the following analyses
a. Scanning electron microscope analysis
b. Transmission electron microscopy analysis
c. Fourier transform infrared spectroscopy analysis
d. Analysis of zeta potential and size distribution
e. Analysis of nitrogen (N2) adsorption–desorption isotherm
f. Thermogravimetric analysis
g. X-ray photoelectron spectroscopy analysis
7. Rear insect colonies (S. oryzae) on rice, treat with pesticide alone and silica nanopesticides to determine the following data:
a. Repellent activity
b. Fumigant toxicity
c. Acute toxicity
d. Pesticide release profile
e. Photothermal effect
f. Adhesion performance
g. Persistence and insecticidal mechanism

Author Contributions

Zeyu Wang: Conceptualization, methodology, formal analysis, investigation, resources, data curation, writing—original draft preparation, visualization, Nirusha Thavarajah: supervision, writing—review and editing, project administration, funding acquisition. Both authors have read and agreed to the published version of the manuscript.

Funding

This research received no external funding.

Conflicts of Interest

The authors declare no conflicts of interest.

References

  1. Sharma, A.; Kumar, V.; Shahzad, B.; Tanveer, M.; Sidhu, G. P. S.; Handa, N.; Kohli, S. K.; Yadav, P.; Bali, A. S.; Parihar, R. D.; Dar, O. I.; Singh, K.; Jasrotia, S.; Bakshi, P.; Ramakrishnan, M.; Kumar, S.; Bhardwaj, R.; Thukral, A. K. Worldwide Pesticide Usage and Its Impacts on Ecosystem. SN Appl. Sci. 2019, 1, 1446. [Google Scholar] [CrossRef]
  2. Perlatti, B.; Forim, M. R.; Zuin, V. G. Green Chemistry, Sustainable Agriculture and Processing Systems: A Brazilian Overview. Chemical and Biological Technologies in Agriculture 2014, 1, 5. [Google Scholar] [CrossRef]
  3. Fenibo, E. O.; Ijoma, G. N.; Matambo, T. Biopesticides in Sustainable Agriculture: A Critical Sustainable Development Driver Governed by Green Chemistry Principles. Front. Sustain. Food Syst. 2021, 5, 619058. [Google Scholar] [CrossRef]
  4. Damalas, C. A.; Koutroubas, S. D. Current Status and Recent Developments in Biopesticide Use. Agriculture 2018, 8, 13. [Google Scholar] [CrossRef]
  5. Worrall, E. A.; Hamid, A.; Mody, K. T.; Mitter, N.; Pappu, H. R. Nanotechnology for Plant Disease Management . Agronomy 2018, 8, 285. [Google Scholar] [CrossRef]
  6. Wang, L.; Ning, C.; Pan, T.; Cai, K. Role of Silica Nanoparticles in Abiotic and Biotic Stress Tolerance in Plants: A Review. IJMS 2022, 23, 1947. [Google Scholar] [CrossRef]
  7. Aravinna, P.; Priyantha, N.; Pitawala, A.; Yatigammana, S. K. Use Pattern of Pesticides and Their Predicted Mobility into Shallow Groundwater and Surface Water Bodies of Paddy Lands in Mahaweli River Basin in Sri Lanka. Journal of Environmental Science and Health, Part B 2017, 52, 37–47. [Google Scholar] [CrossRef]
  8. Jayasiri, M. M. J. G. C. N.; Yadav, S.; Propper, C. R.; Kumar, V.; Dayawansa, N. D. K.; Singleton, G. R. Assessing Potential Environmental Impacts of Pesticide Usage in Paddy Ecosystems: A Case Study in the Deduru Oya River Basin, Sri Lanka. Enviro Toxic and Chemistry 2022, 41, 343–355. [Google Scholar] [CrossRef]
  9. Rubasinghe, R. T.; Gunatilake, S. K.; Chandrajith, R. Climatic Control of Major and Trace Elements in Paddy Soils from Wet and Dry Regions of Sri Lanka. Environmental Challenges 2021, 5, 100361. [Google Scholar] [CrossRef]
  10. Willocquet, L.; Elazegui, F. A.; Castilla, N.; Fernandez, L.; Fischer, K. S.; Peng, S.; Teng, P. S.; Srivastava, R. K.; Singh, H. M.; Zhu, D.; Savary, S. Research Priorities for Rice Pest Management in Tropical Asia: A Simulation Analysis of Yield Losses and Management Efficiencies. Phytopathology® 2004, 94, 672–682. [Google Scholar] [CrossRef]
  11. Savary, S.; Willocquet, L.; Elazegui, F. A.; Castilla, N. P.; Teng, P. S. Rice Pest Constraints in Tropical Asia: Quantification of Yield Losses Due to Rice Pests in a Range of Production Situations. Plant Disease 2000, 84, 357–369. [Google Scholar] [CrossRef] [PubMed]
  12. Jayasiri, M. M. J. G. C. N.; Yadav, S.; Propper, C. R.; Kumar, V.; Dayawansa, N. D. K.; Singleton, G. R. Assessing Potential Environmental Impacts of Pesticide Usage in Paddy Ecosystems: A Case Study in the Deduru Oya River Basin, Sri Lanka. Enviro Toxic and Chemistry 2022, 41, 343–355. [Google Scholar] [CrossRef] [PubMed]
  13. Naidu, S.; Pandey, J.; Mishra, L. C.; Chakraborty, A.; Roy, A.; Singh, I. K.; Singh, A. Silicon Nanoparticles: Synthesis, Uptake and Their Role in Mitigation of Biotic Stress. Ecotoxicology and Environmental Safety 2023, 255, 114783. [Google Scholar] [CrossRef] [PubMed]
  14. Abdollahdokht, D.; Gao, Y.; Faramarz, S.; Poustforoosh, A.; Abbasi, M.; Asadikaram, G.; Nematollahi, M. H. Conventional Agrochemicals towards Nano-Biopesticides: An Overview on Recent Advances. Chemical and Biological Technologies in Agriculture 2022, 9, 13. [Google Scholar] [CrossRef]
  15. Horgan, F. G. Insect Herbivores of Rice: Their Natural Regulation and Ecologically Based Management. In Rice Production Worldwide; Chauhan, B. S., Jabran, K., Mahajan, G., Eds.; Springer International Publishing: Cham 2017; pp 279–302. [CrossRef]
  16. Imoro, Z. A.; Larbi, J.; Duwiejuah, A. B. Pesticide Availability and Usage by Farmers in the Northern Region of Ghana. J Health Pollut 2019, 9, 190906. [Google Scholar] [CrossRef]
  17. Shipley, E. R.; Vlahos, P.; Chandrajith, R.; Wijerathna, P. Agrochemical Exposure in Sri Lankan Inland Water Systems. Environmental Advances 2022, 7, 100150. [Google Scholar] [CrossRef]
  18. Xu, S.; Yi, X.; Liu, W.; Zhang, C.; Massey, I. Y.; Yang, F.; Tian, L. A Review of Nephrotoxicity of Microcystins. Toxins 2020, 12, 693. [Google Scholar] [CrossRef]
  19. Wimalawansa, S. J. The Role of Ions, Heavy Metals, Fluoride, and Agrochemicals: Critical Evaluation of Potential Aetiological Factors of Chronic Kidney Disease of Multifactorial Origin (CKDmfo/CKDu) and Recommendations for Its Eradication. Environ Geochem Health 2016, 38, 639–678. [Google Scholar] [CrossRef]
  20. Bandara, J. M. R. S.; Wijewardena, H. V. P.; Bandara, Y. M. A. Y.; Jayasooriya, R. G. P. T.; Rajapaksha, H. Pollution of River Mahaweli and Farmlands under Irrigation by Cadmium from Agricultural Inputs Leading to a Chronic Renal Failure Epidemic among Farmers in NCP, Sri Lanka. Environ Geochem Health 2011, 33, 439–453. [Google Scholar] [CrossRef]
  21. Campolo, O.; Giunti, G.; Laigle, M.; Michel, T.; Palmeri, V. Essential Oil-Based Nano-Emulsions: Effect of Different Surfactants, Sonication and Plant Species on Physicochemical Characteristics. Industrial Crops and Products 2020, 157, 112935. [Google Scholar] [CrossRef]
  22. Jeelani, P. G.; Ramalingam, C. Statistical Approach to Synthesise Biogenic Silica Nanoparticles from Rice Husk and Conjugated with Justicia Adhatoda Extract as Green, Slow-release Biocide. IET Nanobiotechnology 2021, 15, 391–401. [Google Scholar] [CrossRef] [PubMed]
  23. Dhankhar, N.; Kumar, J. Impact of Increasing Pesticides and Fertilizers on Human Health: A Review. Materials Today: Proceedings, 2023. [Google Scholar] [CrossRef]
  24. Hashemi-Domeneh, B.; Zamani, N.; Hassanian-Moghaddam, H.; Rahimi, M.; Shadnia, S.; Erfantalab, P.; Ostadi, A. A Review of Aluminium Phosphide Poisoning and a Flowchart to Treat It. Archives of Industrial Hygiene and Toxicology 2016, 67, 183–193. [Google Scholar] [CrossRef] [PubMed]
  25. de Oliveira, J. L. 1 - Nano-Biopesticides: Present Concepts and Future Perspectives in Integrated Pest Management. In Advances in Nano-Fertilizers and Nano-Pesticides in Agriculture; Jogaiah, S., Singh, H. B., Fraceto, L. F., Lima, R. de, Eds.; Woodhead Publishing Series in Food Science, Technology and Nutrition; Woodhead Publishing, 2021; pp 1–27. [CrossRef]
  26. Nuruzzaman, M.; Liu, Y.; Rahman, M. M.; Dharmarajan, R.; Duan, L.; Uddin, A. F. M. J.; Naidu, R. Chapter 4 - Nanobiopesticides: Composition and Preparation Methods. In Nano-Biopesticides Today and Future Perspectives; Koul, O., Ed.; Academic Press, 2019; pp 69–131. [CrossRef]
  27. Abdollahdokht, D.; Gao, Y.; Faramarz, S.; Poustforoosh, A.; Abbasi, M.; Asadikaram, G.; Nematollahi, M. H. Conventional Agrochemicals towards Nano-Biopesticides: An Overview on Recent Advances. Chemical and Biological Technologies in Agriculture 2022, 9, 13. [Google Scholar] [CrossRef]
  28. Jampílek, J.; Kráľová, K. Chapter 17 - Nanobiopesticides in Agriculture: State of the Art and Future Opportunities. In Nano-Biopesticides Today and Future Perspectives; Koul, O., Ed.; Academic Press, 2019; pp 397–447. [CrossRef]
  29. Montesinos, E. Development, Registration and Commercialization of Microbial Pesticides for Plant Protection. Int Microbiol 2003, 6, 245–252. [Google Scholar] [CrossRef]
  30. Cagliari, D.; Dias, N. P.; Galdeano, D. M.; Dos Santos, E. Á.; Smagghe, G.; Zotti, M. J. Management of Pest Insects and Plant Diseases by Non-Transformative RNAi. Front Plant Sci 2019, 10, 1319. [Google Scholar] [CrossRef]
  31. Jeer, M. Chapter 17 - Recent Developments in Silica-Nanoparticles Mediated Insect Pest Management in Agricultural Crops. In Silicon and Nano-silicon in Environmental Stress Management and Crop Quality Improvement; Etesami, H., Al Saeedi, A. H., El-Ramady, H., Fujita, M., Pessarakli, M., Anwar Hossain, M., Eds.; Academic Press, 2022; pp 229–240. [CrossRef]
  32. Chen, Y.; Chen, H.; Shi, J. In Vivo Bio-Safety Evaluations and Diagnostic/Therapeutic Applications of Chemically Designed Mesoporous Silica Nanoparticles. Adv Mater 2013, 25, 3144–3176. [Google Scholar] [CrossRef]
  33. Hussain, H. I.; Yi, Z.; Rookes, J. E.; Kong, L. X.; Cahill, D. M. Mesoporous Silica Nanoparticles as a Biomolecule Delivery Vehicle in Plants. J Nanopart Res 2013, 15, 1676. [Google Scholar] [CrossRef]
  34. Liang, Y.; Gao, Y.; Wang, W.; Dong, H.; Tang, R.; Yang, J.; Niu, J.; Zhou, Z.; Jiang, N.; Cao, Y. Fabrication of Smart Stimuli-Responsive Mesoporous Organosilica Nano-Vehicles for Targeted Pesticide Delivery. Journal of Hazardous Materials 2020, 389, 122075. [Google Scholar] [CrossRef]
  35. Kan, Q.; Lu, K.; Deng, R.; Lv, Z.; Wu, W.; Gao, S.; Dong, S.; Mao, L. An Alkali-Triggered Polydopamine Modified Mesoporous Silica Nanopesticide for Smart Delivery of Chlorpyrifos with Low Loss. ACS Agric. Sci. Technol. 2022, 2, 501–511. [Google Scholar] [CrossRef]
  36. Yaakov, N.; Ananth Mani, K.; Felfbaum, R.; Lahat, M.; Da Costa, N.; Belausov, E.; Ment, D.; Mechrez, G. Single Cell Encapsulation via Pickering Emulsion for Biopesticide Applications. ACS Omega 2018, 3, 14294–14301. [Google Scholar] [CrossRef]
  37. Zou, W.; Zhao, Y.; Deng, Y.; Zhang, H.; Mao, Z.; Xiong, Y.; He, J.; Zhao, Q. Preparation of Layered Beta-Cypermethrin-Carrying Microcapsules from Pickering Emulsion of Hollow Mesoporous Silica Nanoparticles. Materials Today Communications 2022, 31, 103695. [Google Scholar] [CrossRef]
  38. 38: Yang, J.; Feng, J.; He, K.; Chen, Z.; Chen, W.; Cao, H.; Yuan, S. Preparation of Thermosensitive Buprofezin-loaded Mesoporous Silica Nanoparticles by the Sol–Gel Method and Their Application in Pest Control. Pest Management Science 2021, 77, 4627–4637. [Google Scholar] [CrossRef] [PubMed]
  39. Torney, F.; Trewyn, B. G.; Lin, V. S.-Y.; Wang, K. Mesoporous Silica Nanoparticles Deliver DNA and Chemicals into Plants. Nat Nanotechnol 2007, 2, 295–300. [Google Scholar] [CrossRef] [PubMed]
  40. Lou, X. W. (David); Archer, L. A.; Yang, Z. Hollow Micro-/Nanostructures: Synthesis and Applications. Advanced Materials 2008, 20, 3987–4019. [Google Scholar] [CrossRef]
  41. Wibowo, D.; Zhao, C.-X.; Peters, B. C.; Middelberg, A. P. J. Sustained Release of Fipronil Insecticide in Vitro and in Vivo from Biocompatible Silica Nanocapsules. J. Agric. Food Chem. 2014, 62, 12504–12511. [Google Scholar] [CrossRef]
  42. Tan, W.; Hou, N.; Pang, S.; Zhu, X.; Li, Z.; Wen, L.; Duan, L. Improved Biological Effects of Uniconazole Using Porous Hollow Silica Nanoparticles as Carriers. Pest Management Science 2012, 68, 437–443. [Google Scholar] [CrossRef]
  43. Zhu, Y.; Shi, J.; Shen, W.; Dong, X.; Feng, J.; Ruan, M.; Li, Y. Stimuli-Responsive Controlled Drug Release from a Hollow Mesoporous Silica Sphere/Polyelectrolyte Multilayer Core–Shell Structure. Angew Chem Int Ed 2005, 44, 5083–5087. [Google Scholar] [CrossRef]
  44. Liu, F.; Wen, L.-X.; Li, Z.-Z.; Yu, W.; Sun, H.-Y.; Chen, J.-F. Porous Hollow Silica Nanoparticles as Controlled Delivery System for Water-Soluble Pesticide. Materials Research Bulletin 2006, 41, 2268–2275. [Google Scholar] [CrossRef]
  45. Qian, K.; Shi, T.; He, S.; Luo, L.; liu, X.; Cao, Y. Release Kinetics of Tebuconazole from Porous Hollow Silica Nanospheres Prepared by Miniemulsion Method. Microporous and Mesoporous Materials 2013, 169, 1–6. [Google Scholar] [CrossRef]
  46. Ebadollahi, A.; Sendi, J. J.; Aliakbar, A. Efficacy of Nanoencapsulated Thymus Eriocalyx and Thymus Kotschyanus Essential Oils by a Mesoporous Material MCM-41 Against Tetranychus Urticae (Acari: Tetranychidae). Journal of Economic Entomology 2017, 110, 2413–2420. [Google Scholar] [CrossRef]
  47. Zhang, W.; Tang, G.; Dong, H.; Geng, Q.; Niu, J.; Tang, J.; Yang, J.; Huo, H.; Cao, Y. Targeted Release Mechanism of λ-Cyhalothrin Nanocapsules Using Dopamine-Conjugated Silica as Carrier Materials. Colloids and Surfaces B: Biointerfaces 2019, 178, 153–162. [Google Scholar] [CrossRef] [PubMed]
  48. Paradva, K. C.; Kalla, S. Nanopesticides: A Review on Current Research and Future Perspective. ChemistrySelect 2023, 8, e202300756. [Google Scholar] [CrossRef]
  49. Bergeson, L. L. Nanosilver: US EPA’s Pesticide Office Considers How Best to Proceed. Environmental Quality Mgmt 2010, 19, 79–85. [Google Scholar] [CrossRef]
  50. Ghormade, V.; Deshpande, M. V.; Paknikar, K. M. Perspectives for Nano-Biotechnology Enabled Protection and Nutrition of Plants. Biotechnology Advances 2011, 29, 792–803. [Google Scholar] [CrossRef] [PubMed]
  51. Nuruzzaman, Md.; Rahman, M. M.; Liu, Y.; Naidu, R. Nanoencapsulation, Nano-Guard for Pesticides: A New Window for Safe Application. J. Agric. Food Chem. 2016, 64, 1447–1483. [Google Scholar] [CrossRef] [PubMed]
  52. Osman Mohamed Ali, E.; Shakil, N. A.; Rana, V. S.; Sarkar, D. J.; Majumder, S.; Kaushik, P.; Singh, B. B.; Kumar, J. Antifungal Activity of Nano Emulsions of Neem and Citronella Oils against Phytopathogenic Fungi, Rhizoctonia Solani and Sclerotium Rolfsii. Industrial Crops and Products 2017, 108, 379–387. [Google Scholar] [CrossRef]
  53. Chevalier, Y.; Bolzinger, M.-A. Micelles and Nanoemulsions. In Nanocosmetics: From Ideas to Products; Cornier, J., Keck, C. M., Van de Voorde, M., Eds.; Springer International Publishing: Cham, 2019; pp. 47–72. [Google Scholar] [CrossRef]
  54. Wani, T. A.; Masoodi, F. A.; Jafari, S. M.; McClements, D. J. Chapter 19 - Safety of Nanoemulsions and Their Regulatory Status. In Nanoemulsions; Jafari, S. M., McClements, D. J., Eds.; Academic Press, 2018; pp 613–628. [CrossRef]
  55. Popat, A.; Liu, J.; Hu, Q.; Kennedy, M.; Peters, B.; Lu, G. Q. (Max); Qiao, S. Z. Adsorption and Release of Biocides with Mesoporous Silica Nanoparticles. Nanoscale 2012, 4, 970–975. [Google Scholar] [CrossRef]
  56. Paris, J. L.; Cabañas, M. V.; Manzano, M.; Vallet-Regí, M. Polymer-Grafted Mesoporous Silica Nanoparticles as Ultrasound-Responsive Drug Carriers. ACS Nano 2015, 9, 11023–11033. [Google Scholar] [CrossRef]
  57. Zhao, P.; Cao, L.; Ma, D.; Zhou, Z.; Huang, Q.; Pan, C. Translocation, Distribution and Degradation of Prochloraz-Loaded Mesoporous Silica Nanoparticles in Cucumber Plants. Nanoscale 2018, 10, 1798–1806. [Google Scholar] [CrossRef] [PubMed]
  58. Slomberg, D. L.; Schoenfisch, M. H. Silica Nanoparticle Phytotoxicity to Arabidopsis Thaliana. Environ. Sci. Technol. 2012, 46, 10247–10254. [Google Scholar] [CrossRef]
  59. Xu, C.; Shan, Y.; Bilal, M.; Xu, B.; Cao, L.; Huang, Q. Copper Ions Chelated Mesoporous Silica Nanoparticles via Dopamine Chemistry for Controlled Pesticide Release Regulated by Coordination Bonding. Chemical Engineering Journal 2020, 395, 125093. [Google Scholar] [CrossRef]
  60. Cheng, W.; Nie, J.; Xu, L.; Liang, C.; Peng, Y.; Liu, G.; Wang, T.; Mei, L.; Huang, L.; Zeng, X. pH-Sensitive Delivery Vehicle Based on Folic Acid-Conjugated Polydopamine-Modified Mesoporous Silica Nanoparticles for Targeted Cancer Therapy. ACS Appl. Mater. Interfaces 2017, 9, 18462–18473. [Google Scholar] [CrossRef]
  61. Hashem, A. S.; Awadalla, S. S.; Zayed, G. M.; Maggi, F.; Benelli, G. Pimpinella Anisum Essential Oil Nanoemulsions against Tribolium Castaneum—Insecticidal Activity and Mode of Action. Environ Sci Pollut Res 2018, 25, 18802–18812. [Google Scholar] [CrossRef] [PubMed]
  62. Xu, X.; Lü, S.; Gao, C.; Feng, C.; Wu, C.; Bai, X.; Gao, N.; Wang, Z.; Liu, M. Self-Fluorescent and Stimuli-Responsive Mesoporous Silica Nanoparticles Using a Double-Role Curcumin Gatekeeper for Drug Delivery. Chemical Engineering Journal 2016, 300, 185–192. [Google Scholar] [CrossRef]
  63. Cheng, W.; Zeng, X.; Chen, H.; Li, Z.; Zeng, W.; Mei, L.; Zhao, Y. Versatile Polydopamine Platforms: Synthesis and Promising Applications for Surface Modification and Advanced Nanomedicine. ACS Nano 2019, 13, 8537–8565. [Google Scholar] [CrossRef] [PubMed]
  64. Ling, F. W. M.; Abdulbari, H. A.; Chin, S.-Y. Synthesis and Characteristics of Silica Nano-Particles Using Modified Sol–Gel Method in Microreactor. Materials Today: Proceedings 2021, 42, 1–7. [Google Scholar] [CrossRef]
  65. Alhadhrami, A.; Mohamed, G. G.; Sadek, A. H.; Ismail, S. H.; Ebnalwaled, A. A.; Almalki, A. S. A. Behavior of Silica Nanoparticles Synthesized from Rice Husk Ash by the Sol–Gel Method as a Photocatalytic and Antibacterial Agent. Materials 2022, 15, 8211. [Google Scholar] [CrossRef] [PubMed]
  66. Singh, G.; Arora, H.; P., H.; Sharma, S. Development of Clove Oil Based Nanoencapsulated Biopesticide Employing Mesoporous Nanosilica Synthesized from Paddy Straw via Bioinspired Sol-Gel Route. Environmental Research 2023, 220, 115208. [Google Scholar] [CrossRef] [PubMed]
  67. Carolyn, P.; Aqilah, F. A. T. Assessment of Heavy Metals Accumulation in Paddy Rice (Oryza Sativa). Afr. J. Agric. Res. 2014, 9, 3082–3090. [Google Scholar] [CrossRef]
  68. Ayoub, H. A.; Khairy, M.; Rashwan, F. A.; Abdel-Hafez, H. F. Synthesis and Characterization of Silica Nanostructures for Cotton Leaf Worm Control. J Nanostruct Chem 2017, 7, 91–100. [Google Scholar] [CrossRef]
  69. Shoaib, A.; Elabasy, A.; Waqas, M.; Lin, L.; Cheng, X.; Zhang, Q.; Shi, Z. Entomotoxic Effect of Silicon Dioxide Nanoparticles on Plutella Xylostella (L.) (Lepidoptera: Plutellidae) under Laboratory Conditions. Toxicological & Environmental Chemistry 2018, 100, 80–91. [Google Scholar] [CrossRef]
  70. Rastogi, A.; Tripathi, D. K.; Yadav, S.; Chauhan, D. K.; Živčák, M.; Ghorbanpour, M.; El-Sheery, N. I.; Brestic, M. Application of Silicon Nanoparticles in Agriculture. 3 Biotech 2019, 9, 90. [Google Scholar] [CrossRef] [PubMed]
  71. Barik, T. K.; Sahu, B.; Swain, V. Nanosilica—from Medicine to Pest Control. Parasitol Res 2008, 103, 253–258. [Google Scholar] [CrossRef] [PubMed]
  72. Smith, B. C. EFFECTS OF SILICA ON THE SURVIVAL OF COLEOMEGILLA MACULATA LENGI (COLEOPTERA: COCCENELLIDAE) AND LEPTMOTARSA DECEMLINEATA (COLEOPTERA: CHRYSOMELIDAE). Can Entomol 1969, 101, 460–462. [Google Scholar] [CrossRef]
  73. Shahavi, M. H.; Hosseini, M.; Jahanshahi, M.; Meyer, R. L.; Darzi, G. N. Evaluation of Critical Parameters for Preparation of Stable Clove Oil Nanoemulsion. Arabian Journal of Chemistry 2019, 12, 3225–3230. [Google Scholar] [CrossRef]
  74. Huang, X.; Lv, M.; Ma, Q.; Zhang, Y.; Xu, H. High Value-Added Application of Natural Products in Crop Protection: Semisynthesis and Acaricidal Activity of Limonoid-Type Derivatives and Investigation of Their Biocompatible O/W Nanoemulsions as Agronanopesticide Candidates. J. Agric. Food Chem. 2021, 69, 14488–14500. [Google Scholar] [CrossRef]
  75. Díaz-Blancas, V.; Medina, D.; Padilla-Ortega, E.; Bortolini-Zavala, R.; Olvera-Romero, M.; Luna-Bárcenas, G. Nanoemulsion Formulations of Fungicide Tebuconazole for Agricultural Applications. Molecules 2016, 21, 1271. [Google Scholar] [CrossRef]
  76. Guan, W.; Tang, L.; Wang, Y.; Cui, H. Fabrication of an Effective Avermectin Nanoemulsion Using a Cleavable Succinic Ester Emulsifier. J. Agric. Food Chem. 2018, 66, 7568–7576. [Google Scholar] [CrossRef]
  77. Erlina, L. H.; Lina, E. C.; Reflinaldon; Djamaan, A.; Arneti. Insecticidal Activity of Nanoemulsion of Piper Aduncum Extract against Cabbage Head Cartepillar Crocidolomia Pavonana F. (Lepidoptera: Crambidae). IOP Conf. Ser.: Earth Environ. Sci. 2020, 468, 012001. [Google Scholar] [CrossRef]
  78. Zhang, D.; Wang, R.; Cao, H.; Luo, J.; Jing, T.; Li, B.; Mu, W.; Liu, F.; Hou, Y. Emamectin Benzoate Nanogel Suspension Constructed from Poly(Vinyl Alcohol)-Valine Derivatives and Lignosulfonate Enhanced Insecticidal Efficacy. Colloids and Surfaces B: Biointerfaces 2022, 209, 112166. [Google Scholar] [CrossRef]
  79. Luo, J.; Gao, Y.; Liu, Y.; Huang, X.; Zhang, D.; Cao, H.; Jing, T.; Liu, F.; Li, B. Self-Assembled Degradable Nanogels Provide Foliar Affinity and Pinning for Pesticide Delivery by Flexibility and Adhesiveness Adjustment. ACS Nano 2021, 15, 14598–14609. [Google Scholar] [CrossRef] [PubMed]
  80. Ma, X.; Zhu, X.; Qu, S.; Cai, L.; Ma, G.; Fan, G.; Sun, X. Fabrication of Copper Nanoparticle Composite Nanogel for High-efficiency Management of Pseudomonas Syringae Pv. Tabaci on Tobacco. Pest Management Science 2022, 78, 2074–2085. [Google Scholar] [CrossRef] [PubMed]
  81. Hellmann, C.; Greiner, A.; Wendorff, J. H. Design of Pheromone Releasing Nanofibers for Plant Protection. Polymers for Advanced Techs 2011, 22, 407–413. [Google Scholar] [CrossRef]
  82. Zou, R.; Li, B.; Duan, W.; Lin, G.; Cui, Y. Synthesis of 3-carene -derived Nanocellulose/1,3, 4-thiadiazole-amide Complexes with Antifungal Activity for Plant Protection. Pest Management Science 2022, 78, 3277–3286. [Google Scholar] [CrossRef] [PubMed]
  83. Zhao, X.; Cui, H.; Wang, Y.; Sun, C.; Cui, B.; Zeng, Z. Development Strategies and Prospects of Nano-Based Smart Pesticide Formulation. J. Agric. Food Chem. 2018, 66, 6504–6512. [Google Scholar] [CrossRef]
  84. Lin, L.; Yu, W.; Pang, Y.; Sun, C.; Meng, Q.; Li, X.; Guo, X. Validation of an LC-MS/MS Method for the Quantitative Determination of a Novel Fungicide: Pyraoxystrobin in Rat Plasma and Its Application to a Toxicokinetics Study. Anal Bioanal Chem 2014, 406, 5521–5526. [Google Scholar] [CrossRef]
  85. Xu, Y.; Xu, C.; Huang, Q.; Cao, L.; Teng, F.; Zhao, P.; Jia, M. Size Effect of Mesoporous Silica Nanoparticles on Pesticide Loading, Release, and Delivery in Cucumber Plants. Applied Sciences 2021, 11, 575. [Google Scholar] [CrossRef]
  86. Yang, X.; Liu, H.; Jia, M.; Wang, J.; Wu, J.; Song, J.; Liu, Y. Evaluation of Pyraoxystrobin Bioconcentration in Zebrafish ( Danio Rerio ) Using Modified QuEChERS Extraction. Journal of Environmental Science and Health, Part B 2020, 55, 477–483. [Google Scholar] [CrossRef]
  87. Liu, X.; Chen, X.; Ding, X.; Wu, H. Uptake and Distribution Characteristics of the Novel Fungicide Pyraoxystrobin in Cucumber Plants. RSC Adv. 2018, 8, 27152–27156. [Google Scholar] [CrossRef]
  88. Wanyika, H. Sustained Release of Fungicide Metalaxyl by Mesoporous Silica Nanospheres. J Nanopart Res 2013, 15, 1831. [Google Scholar] [CrossRef]
  89. Cao, L.; Zhang, H.; Cao, C.; Zhang, J.; Li, F.; Huang, Q. Quaternized Chitosan-Capped Mesoporous Silica Nanoparticles as Nanocarriers for Controlled Pesticide Release. Nanomaterials 2016, 6, 126. [Google Scholar] [CrossRef] [PubMed]
  90. Cao, L.; Zhang, H.; Zhou, Z.; Xu, C.; Shan, Y.; Lin, Y.; Huang, Q. Fluorophore-Free Luminescent Double-Shelled Hollow Mesoporous Silica Nanoparticles as Pesticide Delivery Vehicles. Nanoscale 2018, 10, 20354–20365. [Google Scholar] [CrossRef]
  91. Chen, H.; Chen, L.; Shen, Z.; Zhou, H.; Hao, L.; Xu, H.; Zhou, X. Synthesis of Mesoporous Silica Post-Loaded by Methyl Eugenol as an Environment-Friendly Slow-Release Bio Pesticide. Sci Rep 2020, 10, 6108. [Google Scholar] [CrossRef]
  92. Li, G.-B.; Wang, J.; Kong, X.-P. Coprecipitation-Based Synchronous Pesticide Encapsulation with Chitosan for Controlled Spinosad Release. Carbohydrate Polymers 2020, 249, 116865. [Google Scholar] [CrossRef] [PubMed]
  93. Kah, M.; Kookana, R. S.; Gogos, A.; Bucheli, T. D. A Critical Evaluation of Nanopesticides and Nanofertilizers against Their Conventional Analogues. Nature Nanotech 2018, 13, 677–684. [Google Scholar] [CrossRef]
  94. Li, L.; Xu, Z.; Kah, M.; Lin, D.; Filser, J. Nanopesticides: A Comprehensive Assessment of Environmental Risk Is Needed before Widespread Agricultural Application. Environ. Sci. Technol. 2019, 53, 7923–7924. [Google Scholar] [CrossRef]
  95. Kong, X.-P.; Zhang, B.-H.; Wang, J. Multiple Roles of Mesoporous Silica in Safe Pesticide Application by Nanotechnology: A Review. J. Agric. Food Chem. 2021, 69, 6735–6754. [Google Scholar] [CrossRef] [PubMed]
  96. Kah, M.; Walch, H.; Hofmann, T. Environmental Fate of Nanopesticides: Durability, Sorption and Photodegradation of Nanoformulated Clothianidin. Environ. Sci.: Nano 2018, 5, 882–889. [Google Scholar] [CrossRef] [PubMed]
  97. Castillo, R.; Vallet-Regí, M. Functional Mesoporous Silica Nanocomposites: Biomedical Applications and Biosafety. IJMS 2019, 20, 929. [Google Scholar] [CrossRef]
  98. Christen, V.; Fent, K. Silica Nanoparticles and Silver-Doped Silica Nanoparticles Induce Endoplasmatic Reticulum Stress Response and Alter Cytochrome P4501A Activity. Chemosphere 2012, 87, 423–434. [Google Scholar] [CrossRef]
  99. Krishna Priya, K.; Ramesh, M.; Saravanan, M.; Ponpandian, N. Ecological Risk Assessment of Silicon Dioxide Nanoparticles in a Freshwater Fish Labeo Rohita: Hematology, Ionoregulation and Gill Na+/K+ ATPase Activity. Ecotoxicology and Environmental Safety 2015, 120, 295–302. [Google Scholar] [CrossRef] [PubMed]
Figure 1. The chemical structure of most often used pesticide in Sir Lanka.
Figure 1. The chemical structure of most often used pesticide in Sir Lanka.
Preprints 118962 g001
Figure 2. The generation of phosphine gas when AIP reacts with water.
Figure 2. The generation of phosphine gas when AIP reacts with water.
Preprints 118962 g002
Figure 3. Classification of pesticide based on synthetic and bio-pesticides.
Figure 3. Classification of pesticide based on synthetic and bio-pesticides.
Preprints 118962 g003
Figure 6. Schematic diagram of Cpf-MSNs@PDA nanopesticide complexes constructed by Cpf loading and PDA modification [35]..
Figure 6. Schematic diagram of Cpf-MSNs@PDA nanopesticide complexes constructed by Cpf loading and PDA modification [35]..
Preprints 118962 g006
Figure 7. Schematic of the proposed protocol to prepare silica nanopesticides from rice husk and paddy straw, that target stored-product pests.
Figure 7. Schematic of the proposed protocol to prepare silica nanopesticides from rice husk and paddy straw, that target stored-product pests.
Preprints 118962 g007
Table 1. Some of the different types of formulations for nanopesticides.
Table 1. Some of the different types of formulations for nanopesticides.
Type and pesticide Improved extent modified by nanoformulations Ref
1. Nanoemulsion
a. Clove oil Formulation of nanopesticides using ultrasonic emulsification with droplet size of 100 nm and validity of up to six months 73
b. Limonoids Lemon bitters is an agricultural acaricide with >9.7-fold acaricidal activity and is very effective against the vermilion mite. 74
c. Tebuconazole (TBZ) A low energy method was used to form TBZ nanoemulsions with droplet sizes ranging from 9 nm to 250 nm. It can be used as an effective agricultural nanopesticide. 75
d. Avermectin The nanoemulsions exhibit improved performance compared to commercial products. The release of abamectin depends on the pH of the surrounding environment and therefore has a controlled release. 76
e. Piper aduncum extract The LC95 values of the two nanoemulsions BA.1 and AT.1 against C. pavonana were 0.76% and 0.85%, respectively. 77
2. nanogels
a. Polyvinyl alcohol (PVA)-valine derivative with emamectin benzoate Improved retention on plant leaves, excellent bioactivity, longer release of active ingredients and good stability over a wide temperature range. 78
b. MDI-PEG, polyurethane for gelation High viscosity protects against rainwater washout and is UV resistant. Reduces environmental pollution, unlike commercial products, because the internal AI is fully degradable. 79
c. Cetyl trimethyl ammonium chloride coating on copper Experiments have shown that its insecticidal effect is 64% higher than that of traditional copper-containing pesticides. In addition, it can promote plant growth. 80
3. Nanofiber
a. Bagasse and turpentine oil. The formation of nanofibers prevents the pheromone from disappearing due to environmental factors such as rain and provides its controlled release, thus expanding its agricultural applications. 81
b. Polyamide 6 with the pheromone Exhibits good drug loading and excellent controlled release system in aqueous and ethanol systems. 82
Disclaimer/Publisher’s Note: The statements, opinions and data contained in all publications are solely those of the individual author(s) and contributor(s) and not of MDPI and/or the editor(s). MDPI and/or the editor(s) disclaim responsibility for any injury to people or property resulting from any ideas, methods, instructions or products referred to in the content.
Copyright: This open access article is published under a Creative Commons CC BY 4.0 license, which permit the free download, distribution, and reuse, provided that the author and preprint are cited in any reuse.
Prerpints.org logo

Preprints.org is a free preprint server supported by MDPI in Basel, Switzerland.

Subscribe

Disclaimer

Terms of Use

Privacy Policy

Privacy Settings

© 2026 MDPI (Basel, Switzerland) unless otherwise stated