Submitted:
12 September 2024
Posted:
13 September 2024
You are already at the latest version
Abstract
Keywords:
1. Introduction
2. Feature Extraction Module
2.1. CNN Neural Network
2.2. Construction of a Novel Network Architecture
2.2.1. Serial Convolution (SerConv)
2.2.2. Residual Convolution (ResConv)
2.2.3. One-Shot Aggregation Convolution (OSAConv)
2.2.4. Cross Stage Aggregation Convolution (CSAConv) Network
2.2.5. Multi-Directional Dense Aggregation Convolution (MD-DAConv) Network
2.3. Overall Network Model Structure
2.4. Network Model Parameter Settings
3. Experimental Verification and Analysis
3.1. Hardware Parameters
3.2. CWRU Bearing Dataset
3.3. Experimental Parameter Design
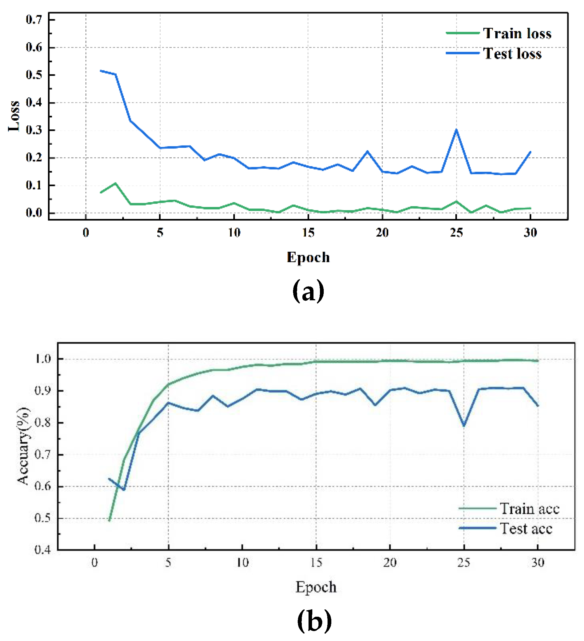
3.4. Experimental Results
4. Conclusion
Author Contributions
Funding
Institutional Review Board Statement
Informed Consent Statement
Data Availability Statement
Conflicts of Interest
References
- Tian, J.; Liu, L.; Zhang, F.; Ai, Y.; Wang, R.; Fei, C. Multi-domain entropy-random forest method for the fusion diagnosis of inter-shaft bearing faults with acoustic emission signals. Entropy 2020, 22, 57. [Google Scholar] [CrossRef] [PubMed]
- Jiang, D.; Wang, T.; Jiang, Y.; Liu, L.; Lin, J. Reliability analysis of motor spindle bearing based on operating condition. In Proceedings of the 2011 Third International Conference on Measuring Technology and Mechatronics Automation, Shanghai, China, 6–7 January 2011; pp. 989–992. [Google Scholar] [CrossRef]
- Jiang, D.; Wang, T.; Jiang, Y.; Liu, L.; Hu, M. Reliability assessment of machine tool spindle bearing based on vibration feature. In Proceedings of the 2010 International Conference on Digital Manufacturing & Automation, Changcha, China, 18–20 December 2010; pp. 154–157. [Google Scholar] [CrossRef]
- Kumar, K.K.; Srikanth, V.; Prasad, G.N.R.; Hazela, B.; Tamrakar, A.K. Fault detection on the 3-D printed objective surface by using the SVM algorithm. Mater. Today: Proc 2023. [Google Scholar] [CrossRef]
- Reddy, K.B.; Priya, M.V. ; Murugesan. In Power theft detection using novel linear SVM algorithm and compared with convolutional SVM algorithm for accuracy. In Proceedings of the 2022 14th International Conference on Mathematics, Actuarial Science, Computer Science and Statistics (MACS), Karachi, Pakistan, 12–13 November 2022; pp. 1–9. [Google Scholar] [CrossRef]
- Yang, Y.; Wang, J.; Yang, Y. Exploiting rotation invariance with SVM classifier for microcalcification detection. In Proceedings of the 2012 9th IEEE International Symposium on Biomedical Imaging (ISBI), Barcelona, Spain, 2–5 May 2012; pp. 590–593. [Google Scholar] [CrossRef]
- Xu, G.; Liu, M.; Jiang, Z.; Söffker, D.; Shen, W. Bearing fault diagnosis method based on deep convolutional neural network and random forest ensemble learning. Sensors 2019, 19, 1088. [Google Scholar] [CrossRef] [PubMed]
- Dong, L.; Du, H.; Mao, F.; Han, N.; Li, X.; Zhou, G.; Zhu, D.; Zheng, J.; Zhang, M.; Xing, L.; Liu, T. Very high resolution remote sensing imagery classification using a fusion of random forest and deep learning technique—subtropical area for example. IEEE J. Sel. Top. Appl. Earth Obs. Remote Sens. 2020, 13, 113–128. [Google Scholar] [CrossRef]
- Singh, T.; Mansour, R.R. Chalcogenide phase change material GeTe based inline RF SPST series and shunt switches. In Proceedings of the 2018 IEEE MTT-S International Microwave Workshop Series on Advanced Materials and Processes for RF and THz Applications (IMWS-AMP), Ann Arbor, MI, USA, 16–18 July 2018; pp. 1–3. [Google Scholar] [CrossRef]
- Tian, Y.; Cai, B.; Liu, Y. Research on BPNN-based SVM-DTC for direct drive PMSG wind turbine. In Proceedings of the 2021 China Automation Congress (CAC), Beijing, China, 22–24 October 2021; pp. 3098–3103. [Google Scholar] [CrossRef]
- Chen, B.; Xing, L.; Zhao, L.; Xie, Y.; Cai, Y.; Chen, X. Prediction model of commercial economic index based on BPNN optimization algorithm. In Proceedings of the 2020 International Conference on Computer Engineering and Application (ICCEA), Guangzhou, China, 18–20 March 2020; pp. 529–532. [Google Scholar] [CrossRef]
- Tsai, T.Y.; Chen, H.W. Apply BPNN with Kalman Filtering to the dynamic system identification. In Proceedings of the 2008 International Conference on Machine Learning and Cybernetics, Kunming, China, 12–15 July 2008; pp. 3188–3193. [Google Scholar] [CrossRef]
- Panchapagesan, S.; Park, D.S.; Chiu, C.C.; Shangguan, Y.; Liang, Q.; Gruenstein, A. Efficient knowledge distillation for RNN-transducer models. In Proceedings of the ICASSP 2021 - 2021 IEEE International Conference on Acoustics, Speech and Signal Processing (ICASSP), Toronto, ON, Canada, 6–11 June 2021; pp. 5639–5643. [Google Scholar] [CrossRef]
- Guo, Z.; Yang, M. TFFC-RNN: A new RNN based approach for bearing and misalignment compound fault. In Proceedings of the 2022 International Power Electronics Conference (IPEC-Himeji 2022- ECCE Asia), Himeji, Japan, 15–19 May 2022; pp. 2504–2509. [Google Scholar] [CrossRef]
- Zhang, X.; Luo, T. A RNN decoder for channel decoding under correlated noise. In Proceedings of the 2019 IEEE/CIC International Conference on Communications Workshops in China (ICCC Workshops), Changchun, China, 11–13 August 2019; pp. 30–35. [Google Scholar] [CrossRef]
- Yanagisawa, H.; Yamashita, T.; Watanabe, H. A study on object detection method from manga images using CNN. In Proceedings of the 2018 International Workshop on Advanced Image Technology (IWAIT), Chiang Mai, Thailand, 7–9 January 2018; pp. 1–4. [Google Scholar] [CrossRef]
- He, X.; Chen, Y. Optimized input for CNN-based hyperspectral image classification using spatial transformer network. IEEE Geosci. Remote Sens. Lett. 2019, 16, 1884–1888. [Google Scholar] [CrossRef]
- Daanouni, O.; Cherradi, B.; Tmiri, A. NSL-MHA-CNN: A novel CNN architecture for robust diabetic retinopathy prediction against adversarial attacks. IEEE Access 2022, 10, 103987–103999. [Google Scholar] [CrossRef]
- Wang, L.; Liu, H.; Pan, Z.; Xu, Y.; Fan, D.; Zhou, C.; Li, Y. Temperature demodulation for optical fiber F-P sensor based on DBNs with ensemble learning. Opt. Laser Technol. 2023, 162, 109275. [Google Scholar] [CrossRef]
- Jiang, D.; Wu, P.; Wang, F.; Sahli, H.; Verhelst, W. Audio visual speech recognition based on multi-stream DBN models with articulatory features. In Proceedings of the 2010 7th International Symposium on Chinese Spoken Language Processing, Tainan, Taiwan, 29 November–3 December 2010; pp. 190–193. [Google Scholar] [CrossRef]
- Chen, D.; Jiang, D.; Ravyse, J.; Sahli, H. Audio-visual emotion recognition based on a DBN model with constrained asynchrony. In Proceedings of the 2009 Fifth International Conference on Image and Graphics, Xi’an, China, 20–23 September 2009; pp. 912–916. [Google Scholar] [CrossRef]
- Lal Senanayaka, J.S.; Van Khang, H.; Robbersmvr, K.G. CNN based gearbox fault diagnosis and interpretation of learning features. In Proceedings of the 2021 IEEE 30th International Symposium on Industrial Electronics (ISIE), Kyoto, Japan, 20–23 June 2021; pp. 1–6. [Google Scholar] [CrossRef]
- Wang, Z.; Zhao, W.; Du, W.; Li, N.; Wang, J. Data-driven fault diagnosis method based on the conversion of erosion operation signals into images and convolutional neural network. Process Saf. Environ. Prot. 2021, 149, 591–601. [Google Scholar] [CrossRef]
- Shi, L.; Liu, W.; You, D.; Yang, S. Rolling bearing fault diagnosis based on CEEMDAN and CNN-SVM. Appl. Sci. 2024, 14, 5847. [Google Scholar] [CrossRef]
- Li, Z.; Qin, Z.; Luo, W.; Ling, X. Gasoline engine misfire fault diagnosis method based on improved YOLOv8. Electronics 2024, 13, 2688. [Google Scholar] [CrossRef]
- Liu, Z.; Yu, H.; Xu, K.; Miao, X. RMCW: An improved residual network with multi-channel weighting for machinery fault diagnosis. IEEE Access 2023, 11, 124472–124483. [Google Scholar] [CrossRef]
- Howard, A.G.; Zhu, M.; Chen, B.; Kalenichenko, D.; Wang, W.; Weyand, T.; Andreetto, M.; Adam, H. MobileNets: Efficient convolutional neural networks for mobile vision applications. arXiv preprint 2017, arXiv:1704.04861. [Google Scholar] [CrossRef]
- Chollet, F. Xception: Deep learning with depthwise separable convolutions. In Proceedings of the 2017 IEEE Conference on Computer Vision and Pattern Recognition (CVPR), Honolulu, HI, USA, 21–26 July 2017; pp. 1800–1807. [Google Scholar] [CrossRef]
- Xie, S.; Girshick, R.; Dollár, P.; Tu, Z.; He, K. Aggregated residual transformations for deep neural networks. In Proceedings of the 2017 IEEE Conference on Computer Vision and Pattern Recognition (CVPR), Honolulu, HI, USA, 21–26 July 2017; pp. 5987–5995. [Google Scholar] [CrossRef]
- Zhang, X.; Zhou, X.; Lin, M.; Sun, J. ShuffleNet: An extremely efficient convolutional neural network for mobile devices. In Proceedings of the 2018 IEEE Conference on Computer Vision and Pattern Recognition, Salt Lake City, UT, USA, 18–23 June 2018; pp. 6848–6856. [Google Scholar] [CrossRef]
- Zhang J, Zhang Q, Qin X, Sun Y. An intelligent fault diagnosis method based on domain adaptation for rolling bearings under variable load conditions. Proceedings of the Institution of Mechanical Engineers, Part C: Journal of Mechanical Engineering Science 2021, 235, 8025–8038. [Google Scholar] [CrossRef]
- Han, T.; Liu, C.; Wu, L.; Sarkar, S.; Jiang, D. An adaptive spatiotemporal feature learning approach for fault diagnosis in complex systems. Mech. Syst. Signal Process. 2019, 117, 170–187. [Google Scholar] [CrossRef]
- Wang, H.; Li, S.; Song, L.; Cui, L. A novel convolutional neural network based fault recognition method via image fusion of multi-vibration-signals. Comput. Ind. 2019, 105, 182–190. [Google Scholar] [CrossRef]
- He, J.; Wu, P.; Tong, Y.; Zhang, X.; Lei, M.; Gao, J. Bearing fault diagnosis via improved one-dimensional multi-scale dilated CNN. Sensors 2021, 21, 7319. [Google Scholar] [CrossRef]
- Gao, Y.; Kim, C.H.; Kim, J.M. A novel hybrid deep learning method for fault diagnosis of rotating machinery based on extended WDCNN and long short-term memory. Sensors 2021, 21, 6614. [Google Scholar] [CrossRef]
- Te, H.; Liu, C.; Wu, L.; Sarkar, S.; Jiang, D. An Adaptive Spatiotemporal Feature Learning Approach for Fault Diagnosis in Complex Systems. Mech. Syst. Signal Process. 2019, 117, 170–187. [Google Scholar] [CrossRef]
- Zhang, R.; Gu, Y. A Transfer Learning Framework with a One-Dimensional Deep Subdomain Adaptation Network for Bearing Fault Diagnosis under Different Working Conditions. Sensors 2022, 22, 1624. [Google Scholar] [CrossRef]
- Zhang, T.; Chen, J.; Li, F.; Zhang, K.; Lv, H.; He, S.; Xu, E. Intelligent fault diagnosis of machines with small & imbalanced data: A state-of-the-art review and possible extensions. ISA Trans. 2022, 119, 152–171. [Google Scholar] [CrossRef]
- Liang, P.; Wang, W.; Yuan, X.; Liu, S.; Zhang, L.; Cheng, Y. Intelligent fault diagnosis of rolling bearing based on wavelet transform and improved ResNet under noisy labels and environment. Eng. Appl. Artif. Intell. 2022, 115, 105269. [Google Scholar] [CrossRef]
- Huang, T. , Zhang, Q., Tang, X. et al. A novel fault diagnosis method based on CNN and LSTM and its application in fault diagnosis for complex systems. Artif Intell Rev 2022, 55, 1289–1315. [Google Scholar] [CrossRef]
- Hu, B.; Tang, J.; Wu, J.; Qing, J. An attention EfficientNet-based strategy for bearing fault diagnosis under strong noise. Sensors 2022, 22, 6570. [Google Scholar] [CrossRef]
- Zhang, F.; Yin, Z.; Xu, F.; Li, Y.; Xu, G. MAB-DrNet: Bearing fault diagnosis method based on an improved dilated convolutional neural network. Sensors 2023, 23, 5532. [Google Scholar] [CrossRef] [PubMed]
- Chen, L.; Ma, Y.; Hu, H.; Khan, U.S. An effective fault diagnosis approach for bearing using stacked de-noising auto-encoder with structure adaptive adjustment. Measurement 2023, 214, 112774. [Google Scholar] [CrossRef]


















| Layer | Operation | In channels | Out channels | Kernel size | Stride | Padding | Activation | Comments |
|---|---|---|---|---|---|---|---|---|
| Conv1 | Conv1d | In channel | Out channel | 3 × 3 | 1 | 1 | SiLU (inplace) | First block starts |
| BatchNorm1d | Out channel | Out channel | - | - | - | - | Normalization | |
| Conv2 | Conv1d | In channel | Out channel | 1 × 1 | 1 | 0 | SiLU (inplace) | First block continuation |
| BatchNorm1d | Out channel | Out channel | - | - | - | - | - | |
| Conv3 | Conv1d | In channel | Out channel | 3 × 3 | 1 | 1 | SiLU (inplace) | - |
| BatchNorm1d | Out channel | Out channel | - | - | - | - | - | |
| Conv4 | Conv1d | In channel | Out channel | 1 × 1 | 1 | 0 | SiLU (inplace) | - |
| BatchNorm1d | Out channel | Out channel | - | - | - | - | - | |
| Conv5 | Conv1d | 4 * In channel | Out channel | 3 × 3 | 1 | 1 | SiLU (inplace) | Concatenate inputs x, x2, x3, x4 |
| BatchNorm1d | Out channel | Out channel | - | - | - | - | - | |
| Conv6 | Conv1d | In channel | Out channel | 1 × 1 | 1 | 0 | SiLU (inplace) | Second block similar |
| BatchNorm1d | Out channel | Out channel | - | - | - | - | - | |
| Conv7 | Conv1d | 4 * In channel | Out channel | 1 × 1 | 1 | 0 | SiLU (inplace) | Final concatenation and output |
| BatchNorm1d | Out channel | Out channel | - | - | - | - | - |
| Layer | Operation | In channels | Out channels | Kernel size | Stride | Padding | Activation | Comments |
|---|---|---|---|---|---|---|---|---|
| Conv1 | Conv1d | In channel | Out channel | 3 × 3 | 1 | 1 | SiLU (inplace) | Cross-stage aggregation starts |
| BatchNorm1d | Out channel | Out channel | - | - | - | - | Normalization | |
| Conv2 | Conv1d | In channel | Out channel | 3 × 3 | 1 | 1 | SiLU (inplace) | - |
| BatchNorm1d | Out channel | Out channel | - | - | - | - | - | |
| Conv3 | Conv1d | 3 * In channel | Out channel | 1 × 1 | 1 | 0 | SiLU (inplace) | Concatenate inputs x, x1, x2 |
| BatchNorm1d | Out channel | Out channel | - | - | - | - | - | |
| Conv4 | Conv1d | In channel | Out channel | 3 × 3 | 1 | 1 | SiLU (inplace) | - |
| BatchNorm1d | Out channel | Out channel | - | - | - | - | - | |
| Conv5 | Conv1d | In channel | Out channel | 3 × 3 | 1 | 1 | SiLU (inplace) | - |
| BatchNorm1d | Out channel | Out channel | - | - | - | - | - | |
| Conv6 | Conv1d | 4 * In channel | Out channel | 1 × 1 | 1 | 0 | SiLU (inplace) | Final concatenation and output |
| BatchNorm1d | Out channel | Out channel | - | - | - | - | - |
| Layer | Operation | In channels | Out channels | Kernel size | Stride | Padding | Activation | Comments |
|---|---|---|---|---|---|---|---|---|
| Conv1 | Conv1d | In channel | Out channel | 3 × 3 | 1 | 1 | - | Residual block |
| BatchNorm1d | Out channel | Out channel | - | - | - | - | Normalization | |
| Conv2 | Conv1d | In channel | Out channel | 3 × 3 | 1 | 1 | - | - |
| BatchNorm1d | Out channel | Out channel | - | - | - | - | - | |
| ReLU | ReLU | - | - | - | - | - | inplace | Output of residual sum (x + x2) |
| Layer | Operation | In channels | Out channels | Kernel size | Stride | Padding | Activation | Comments |
|---|---|---|---|---|---|---|---|---|
| Conv1 | Conv1d | In channel | Out channel | 3 × 3 | 1 | 1 | - | Serial convolution |
| BatchNorm1d | Out channel | Out channel | - | - | - | - | Normalization | |
| Conv2 | Conv1d | In channel | Out channel | 3 × 3 | 1 | 1 | - | - |
| BatchNorm1d | Out channel | Out channel | - | - | - | - | - | |
| ReLU | ReLU | - | - | - | - | - | inplace | Final output |
| Layer | Operation | In channels | Out channels | Kernel size | Stride | Padding | Activation | Comments |
|---|---|---|---|---|---|---|---|---|
| Conv1 | Conv1d | In channel | Out channel | 3 × 3 | 1 | 1 | SiLU (inplace) | One-Shot aggregation starts |
| BatchNorm1d | Out channel | Out channel | - | - | - | - | Normalization | |
| Conv2 | Conv1d | In channel | Out channel | 3 × 3 | 1 | 1 | SiLU (inplace) | - |
| BatchNorm1d | Out channel | Out channel | - | - | - | - | - | |
| Conv3 | Conv1d | In channel | Out channel | 3 × 3 | 1 | 1 | SiLU (inplace) | - |
| BatchNorm1d | Out channel | Out channel | - | - | - | - | - | |
| Conv4 | Conv1d | 4 * In channel | Out channel | 1 × 1 | 1 | 0 | SiLU (inplace) | Concatenate inputs x, x1, x2, x3 |
| BatchNorm1d | Out channel | Out channel | - | - | - | - | - | |
| Conv5 | Conv1d | In channel | Out channel | 3 × 3 | 1 | 1 | SiLU (inplace) | - |
| BatchNorm1d | Out channel | Out channel | - | - | - | - | - | |
| Conv6 | Conv1d | In channel | Out channel | 3 × 3 | 1 | 1 | SiLU (inplace) | - |
| BatchNorm1d | Out channel | Out channel | - | - | - | - | - | |
| Conv7 | Conv1d | In channel | Out channel | 3 × 3 | 1 | 1 | SiLU (inplace) | - |
| BatchNorm1d | Out channel | Out channel | - | - | - | - | - | |
| Conv8 | Conv1d | 4 * In channel | Out channel | 1 × 1 | 1 | 0 | SiLU (inplace) | Final concatenation and output |
| BatchNorm1d | Out channel | Out channel | - | - | - | - | - |
| Fault location | No | Rolling element | Inner race | Outer race | Load/kw | |||||||
|---|---|---|---|---|---|---|---|---|---|---|---|---|
| Label | 1 | 2 | 3 | 4 | 5 | 6 | 7 | 8 | 9 | 10 | ||
| Damage diameter/inch | 0 | 0.007 | 0.014 | 0.021 | 0.007 | 0.014 | 0.021 | 0.007 | 0.014 | 0.021 | ||
| A | Train | 52 | 52 | 52 | 52 | 52 | 52 | 52 | 52 | 52 | 52 | 0 |
| Test | 7 | 7 | 7 | 7 | 7 | 7 | 7 | 7 | 7 | 7 | ||
| B | Train | 52 | 52 | 52 | 52 | 52 | 52 | 52 | 52 | 52 | 52 | 0.75 |
| Test | 7 | 7 | 7 | 7 | 7 | 7 | 7 | 7 | 7 | 7 | ||
| C | Train | 52 | 52 | 52 | 52 | 52 | 52 | 52 | 52 | 52 | 52 | 1.50 |
| Test | 7 | 7 | 7 | 7 | 7 | 7 | 7 | 7 | 7 | 7 | ||
| Convolution methods | Average training accuracy | Average testing accuracy | Average training loss | Average testing loss |
|---|---|---|---|---|
| MD-DAC | 0.945929 | 0.878292 | 0.023526 | 0.202199 |
| OSA | 0.927226 | 0.856083 | 0.02497 | 0.226928 |
| ResConv | 0.936548 | 0.844167 | 0.02061 | 0.229602 |
| CSA | 0.93981 | 0.863458 | 0.022856 | 0.208739 |
| SerialConv | 0.91125 | 0.834375 | 0.024983 | 0.232127 |
| Convolution method | Average training accuracy | Average testing accuracy | Average training loss | Average testing loss |
|---|---|---|---|---|
| ResConv | 0.934405 | 0.816125 | 0.022608 | 0.259661 |
| SerialConv | 0.933286 | 0.826208 | 0.023915 | 0.251315 |
| MD-DAC | 0.949571 | 0.912917 | 0.019596 | 0.139110 |
| OSA | 0.955012 | 0.878458 | 0.020920 | 0.193673 |
| CSA | 0.947202 | 0.889917 | 0.019139 | 0.172181 |
Disclaimer/Publisher’s Note: The statements, opinions and data contained in all publications are solely those of the individual author(s) and contributor(s) and not of MDPI and/or the editor(s). MDPI and/or the editor(s) disclaim responsibility for any injury to people or property resulting from any ideas, methods, instructions or products referred to in the content. |
© 2024 by the authors. Licensee MDPI, Basel, Switzerland. This article is an open access article distributed under the terms and conditions of the Creative Commons Attribution (CC BY) license (http://creativecommons.org/licenses/by/4.0/).