Preprint
Article

This version is not peer-reviewed.

Development of Elite Mother Palms from the Best Performing Slow Vertical Growth Oil Palm (Elaeis guineensis Jacq.) Genotypes

A peer-reviewed article of this preprint also exists.

Submitted:

11 September 2024

Posted:

11 September 2024

You are already at the latest version

Abstract
Harvesting is a serious issue in oil palm plantations after 15-20 years owing to the increased height of the trees (>20 feet). The slow vertical growth of the oil palm dura genotypes is desired for increasing the DxP progenies productivity and economic life span upto ten years. Reduced height increment has a long-term impact on harvesting costs. The current study assessed 308 genotypes generated from African germplasm. Over a three year period, the biometric properties of eleven DxD crosses were evaluated in order to quantify genetic parameters, phenotypic correlations, and principal component analysis for genetic attributes of the better performing dwarf progenies in terms of yield. The evaluated genotypes have a highly significant influence (p < 0.01) on the majority of characteristics. The progenies yielded between 165 and 208 kg of fresh fruit bunches (FFB) per palm every year. The Height increment (HI) varied between 17% and 19%, with an overall average of 18%. Genotypes G8, G300, and G221 had the lowest yearly height increments, measuring 28.98, 29.19, and 30.87 cm, respectively. The outcome of the present study shows that they are slow height increment genotypes with a high FFB yield (> 25 T/Ha). The creation of dura parents with slow height increment in combination with a high bunch weight helps for prolonging the productive life of the palm to more than 35 years, adding value to obtaining distinct oil palm varieties. Overall, this targeted breeding effort towards developing dwarf oil palm hybrids reflects a strategic approach to addressing specific challenges in oil palm cultivation, ultimately helping to promote the oil palm sector globally.
Keywords: 
;  ;  ;  ;  

1. Introduction

The Oil Palm (Elaeis guineensis Jacq.) is popularly known as golden palm one of the most economically important and largest vegetable oil yielding perennial crop (4-6 t oil/ha/ year), one acre of Oil palm plantations may yield up to 10 times more oil than other major oilseed crops. Indonesia stands as the dominant player, contributing a massive 59% of the global production, translating to 47 million metric tons. Following Indonesia, Malaysia holds a substantial 24% share with 19 million metric tons. India ranks 13 in Palm Oil Production, with 305,000 Metric Tons, 0.4% of global production [27]. Thailand, Colombia, and Nigeria also contribute notable shares, with 4%, 2%, and 2% respectively. Other oil palm growing countries make up the remaining percentage, each contributing between 0.74% to 1% of the global production. This distribution highlights the concentration of palm oil production in Southeast Asia, particularly in Indonesia and Malaysia, which together account for over 80% of the world's palm oil production. The data provides a clear picture of the key players in the palm oil market and their respective contributions. There is a significant disparity between the actual and potential use of oil palm germplasm [20]. The enhancement of oil palm crops through the extensive use of a limited number of closely related parents may lead to a restricted genetic base and inbreeding depression. To address this issue, oil palm breeders have identified genetically diverse, trait-specific germplasm lines through the study and characterization of existing oil palm germplasm. The primary goal for oil palm breeders is to create high-yielding cultivars with a broad genetic foundation [12]. The most crucial characteristic for oil palm production is oil yield, making its optimization the main objective in enhancing trait-specific oil palm varieties [14]. One of the biggest challenges in any hybridization program is finding the optimal pairing of two (or more) parental genotypes to maximize variance within related breeding populations. This maximizes the likelihood of identifying superior transgressive segregants in the segregating populations. The most difficult task for plant breeders in every hybridization attempt is figuring out how to blend multiple parental genotypes effectively to maximize diversity within related breeding populations. While DxD oil palm genotypes are not ideal for direct commercial oil production, they play a crucial role in breeding programs. By assessing and selecting for key traits such as mesocarp content, fruit size, disease resistance, and growth vigor, breeders can develop promising lines that contribute to the production of high-yield tenera palms. The integration of traditional breeding techniques with modern technologies like MAS will further enhance the efficiency and effectiveness of these programs, ultimately leading to more productive and sustainable oil palm cultivars [4,10]. Genetic Coefficient of Variation (GCV) indicates the proportion of variability in traits due to genetic differences among the genotypes. Phenotypic Coefficient of Variation (PCV) includes both genetic and environmental contributions to trait variability [26]. Higher GCV values suggest that there is significant genetic variation for that trait, which could be exploited in breeding programs. Selecting progenies based on one or more descriptors can cause unwanted modifications in others due to negative correlations between them [16]. To address this issue, principal component analysis (PCA) is utilised as a multivariate method to discover and identify the independent descriptors that influence plant traits [1]. To address the harvesting issue, we must develop dwarf or low height increment genotype. Reduced height increments have a long-term impact on harvesting costs [3,22]. The oil palm sector prioritizes height reduction due to the high expense of harvesting tall palms [25]. Identifying dwarf palms with commercial significance is challenging, with few known instances globally. Harvesting is a serious issue in elderly oil palm estates, hence the creation of dwarf palms is extremely beneficial to farmers.

2. Results

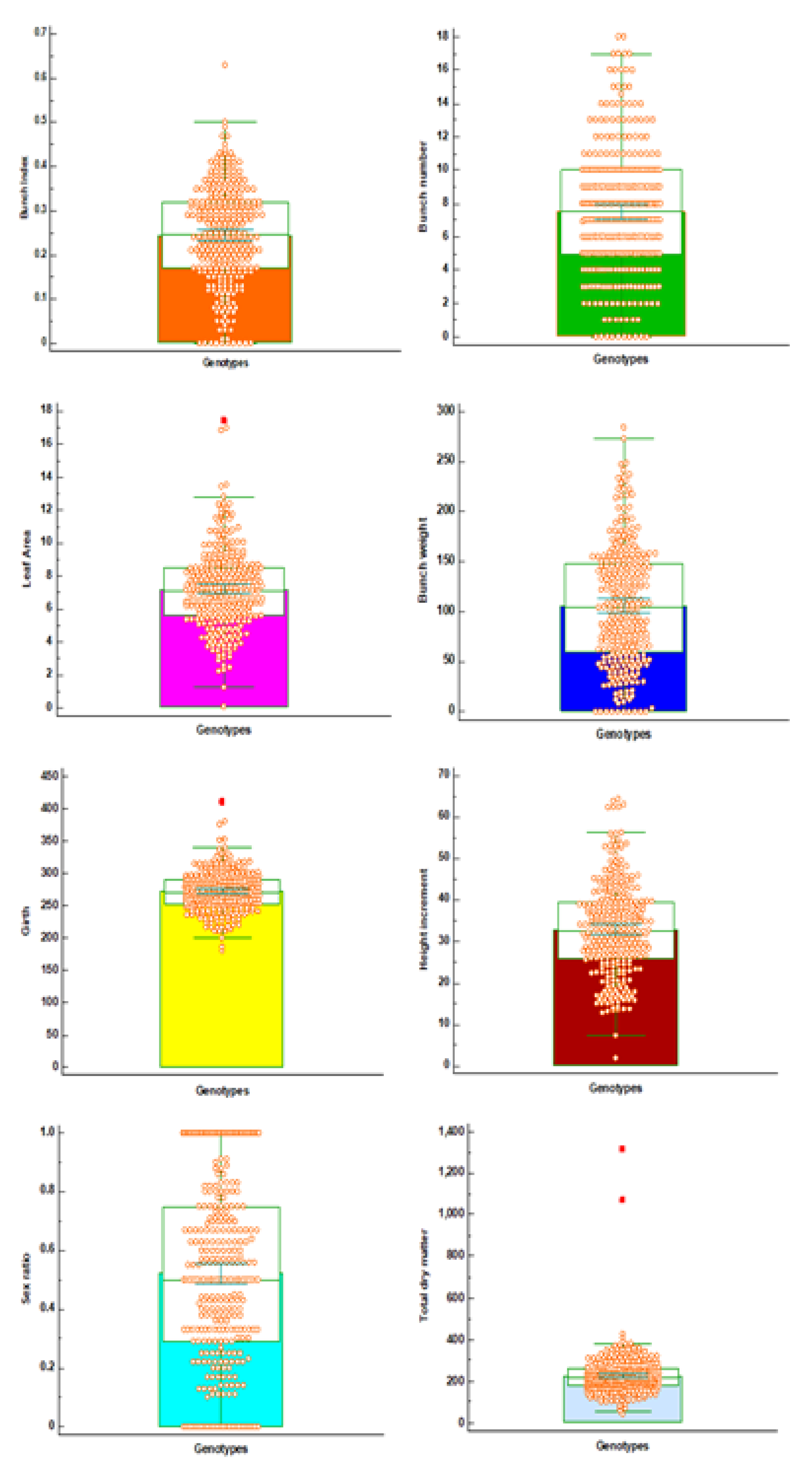
The comparison of means using the Tukey test showed that genotypes means performance for BI, BN and BW are 0.24 % , 7.49 and 105.95 Kg/palm/year, respectively. Whereas, for GT, HI, HT, LA, SR and TDM are 271.96, 32.99, 252.37, 7.22, 0.52 and 226.08% (Table 1 and Table 2). It is common to observe a negative correlation between bunch quantity and average bunch weight.
Descriptive statistics were generated from preliminary data analysis to describe the 308 Oil Palm dura genotypes for each attribute under this study. The range of variation and the potential for selection of the genotypes were determined by estimating the mean, maximum, and lowest values of these important traits [17]. In order to confirm the genotype variability of each trait relative to the mean, the Coefficient of Variation (CV) was also computed. The lower the CV, the more homogenous the data set for a particular trait. The x-axis represents Bunch Number and the y-axis represents Bunch Index (Figure 1).
Individual data points are marked with orange circles. The background color represents the density of data points. Blue areas indicate lower density, green areas indicate moderate density, yellow areas indicate higher density, and red areas indicate the highest density of data points. A blue line indicates a linear regression fit, showing the overall trend in the data. The positive slope of the regression line suggests a positive correlation between "Bunch Number" and "Bunch Index." As the bunch number increases, the bunch index also tends to increase. The highest density of data points (red and yellow areas) is concentrated around a certain range of bunch numbers (approximately 1 to 10) and bunch indices (approximately 0.1 to 0.4).There are fewer data points in the blue areas, indicating lower density. A few data points lie outside the main dense cluster, suggesting outliers with unusually high or low values for the given relationship. The scatter plot with the density heat map and regression line provides a clear visualization of the relationship between bunch number and bunch index in the dataset. The positive correlation implies that as the bunch number increases, the bunch index also tends to increase. This information can be useful for understanding growth patterns and selecting traits for breeding programs [18]. Individual data points are marked with orange circles. The background color represents the density of data points. Blue areas indicate lower density, green areas indicate moderate density, yellow areas indicate higher density, and red areas indicate the highest density of data points. A blue line specifies a linear regression fit, showing the overall trend in data. The positive slope of the regression line suggests a positive correlation between "Height Increment" and "Bunch Weight." As the height increment increases, the bunch weight tends to increase as well. The highest density of data points (red and yellow areas) is concentrated around a certain range of height increments (approximately 20 to 50) and bunch weights (approximately 50 to 150). There are fewer data points in the blue areas, indicating lower density. A few data points lie outside the main dense cluster, suggesting outliers with unusually high or low values for the given relationship. The genotypes are scattered based on their values in different traits (Figure 2).
High GCV (62.5 %) and PCV (45.83%) of BI indicate significant genetic variability, this trait appears to have substantial genetic influence. High GCV (66.9%) and PCV (52.47%) of BN suggest significant genetic variability and potential significance in genetic studies. Extremely high GCV (83.5%) and PCV (56.01%) of BW suggest that this trait has a high genetic influence and variability, indicating significance. Lower GCV (13.8%) and PCV (11.16%) of GT indicate less variability, suggesting this trait might be less influenced by genetic factors and more stable. Moderate GCV (40.9%) and PCV (33.59%) of HI indicate genetic influence and variability, which may be significant. Moderate to high GCV (43.4%) and PCV (33.00%) of HT suggest genetic influence and significance. Similar GCV (40 %) and PCV (34.07%) of LA values indicate genetic influence and potential significance. High GCV (88.5%) and PCV (57.69%) of SR values suggest a significant genetic contribution, indicating importance in genetic studies.
Simple correlations between oil palm yield and morphological parameterss, when analysed across 308 DxD genotypes, revealed both positive and negative correlations between above said parameters (Figure 3).
The highlights were the positive and extremely significant (P≤0.05) associations between the BI (0.87) and BW. Similarly, BW was emphatically profoundly critical (P≤0.05) with SR (0.42), HI (0.47), LA (0.15), BN (0.86), TDM (0.67); however, it was negatively significant with GT (-0.04) and HT (-0.03). Height increment (HI) had a significant correlations with SR (0.23), LA (0.25), BN (0.30), BW (0.47), TDM (0.72) BI (0.16) and HT (0.08). There were positive and significant relationships between the BN and other important parameters such as SR (0.45), HI (0.30), LA (0.02), TDM (0.47), and BI (0.84), but not with the GT (-0.02) and HT (-0.06). Furthermore, the BI revealing a optimistic association with SR (0.36) and is highly significant (P≤0.01) with BN (0.84) and BW (0.87).
The heatmap cluster analysis yields two types of dendrograms: genotype dendrograms with a horizontal orientation and character dendrograms with a vertical orientation (Figure 4). Based on the dendrogram of genotype, 308 items are divided into two major clusters, namely the first cluster consisting BN, HT and TDM and the other group consisting of remaining traits. The heatmap represents the clustering of different genotypes and traits (Figure 6). The horizontal dendrogram at the top clusters genotypes, while the vertical dendrogram on the left clusters traits. The color scale signifies the series of values, with blue representing minimum values and red representing maximum values. Each cell in the heatmap corresponds to a specific genotype-trait combination, with the color intensity reflecting the magnitude of the value. The numbers at the bottom (0.63, 0.22, 9.97, etc.) likely represent the mean or scaled values for each trait across the genotypes.
Genotype clustering (Horizontal Dendrogram): Genotypes are grouped based on similarity in their trait profiles. Close branches indicate genotypes with similar characteristics. Trait clustering (Vertical Dendrogram): Traits are grouped based on their correlation across genotypes. Close branches indicate traits that vary similarly across the genotypes. Color Intensity: Blue cells indicate lower trait values, while red cells indicate higher trait values. The intensity of the color provides a visual indication of the relative magnitude of each value. There is a clear distinction in trait values across different genotypes, with some genotypes showing consistently higher values (red) and others showing lower values (blue). Traits such as those on the right side of the heatmap tend to have higher values, indicating they might be positively correlated with each other.
In order to get more trustworthy information on how to recognize genotype groups with desired qualities for oil palm breeding, the PCA was carried out (Figure 5). Out of the nine principal components (PCs), only three had Eigen values greater than one, accounting for 67.19% of the variance across the various genotypes [2,23]. As seen in Figure 2, PC1 had a larger contribution to variability (36.56%), followed by PC 2 (15.87%). With the exception of height and girth, all attributes had positive factor loadings on the PC1.

3. Discussion

The scatter plot with the density heatmap and regression line provides a clear visualization of the relationship between height increment and bunch weight in the dataset. The positive correlation implies that as the height increment of the plants increases, the bunch weight also tends to increase [5]. Families with high bunch weights typically have low numbers, and vice versa; if bunch number is decreased by removing inflorescences, the weight of the remaining bunches increases. Bunch weight increases with palm age, whereas number declines.
Moderate GCV (37.9%) and PCV (45.07%) of TDM indicate genetic influence, making it potentially significant. The GCV indicates the proportion of variability in traits due to genetic differences among the genotypes. PCV includes both genetic and environmental contributions to trait variability. Higher GCV values suggest that there is significant genetic variation for that trait, which could be exploited in breeding programs. The closer the GCV and PCV values are, the lower the environmental influence on the expression of the trait, indicating that selection based on phenotype will be more effective. Traits like SR, BW, and BN show high GCV, indicating substantial genetic variability. Assign appropriate weights to each trait based on their importance in the breeding objectives. Not all traits may be equally important, and some traits may have more significant economic or agronomic value [6]. Traits like GT have lower GCV, suggesting less genetic variability or more environmental influence, similar results was found with [24]. The differences between GCV and PCV indicate the relative influence of environmental factors, with smaller differences suggesting lower environmental impact.
An important yield-determining characteristic for Oil Palm FFB is sex ratio. The progenies differences in sex ratio and other agronomic characteristics were examined. The current results concur with the previous studies by [9] and [15]. The Oil Palm FFB and oil output are the main factors considered in breeding and selection. Consequently, a reduction in male inflorescence raises the SR, which in turn causes a poor fruit set, low fresh fruit bunch yield, and low oil output. An increase in female inflorescences may put at risk the formation of male inflorescences. Based on genotype and male inflorescence output, oil palm sex ratios can be raised or lowered. The oil palm inflorescence sex, according to [8], generated changes throughout time in response to both internal and external factors, consequential in periodic cycles of male and female inflorescences.
Consider the correlation between traits, positive correlations between traits imply that selecting for one trait may inadvertently improve another, while negative correlations may require trade-offs [11]. Correlation analysis was used to identify the variables that had a strong link with one another [21]. One may get the conclusion that two or more variables can both explain the same phenomenon when they have a strong correlation with one another. The negative association indicates that these features have a detrimental influence on the BW [Figure 5]. It is therefore suggested that potential genotypes can be chosen using the traits that have been investigated [22].
To identify and depict pair wise structural differences between items, cluster analysis is utilized. Using fairly similar clustering techniques, the genotypes and significant characteristics are clustered. The data were divided into two directions (genotypes and characteristics) using two-way clustering. One advantage of two-way clustering is that it allows for the simultaneous grouping of specific objects and their variables [7,28]. The heatmap cluster analysis effectively highlights the relationships among genotypes and traits [13], enabling the identification of patterns and correlations that are crucial for breeding programs. The distinct clusters suggest that specific genotypes and traits are closely related, which can inform selective breeding strategies to optimize desirable traits such as yield and protein content.
The present results revealed that PC1contributed maximum variability due to yield related traits. The characters with positive values indicate highest contribution and its importance in divergence, whereas negative values indicate the least contribution to the total divergence [2,29]

4. Materials and Methods

4.1. Experimental Area Description

During the growing season, a field experiment was undertaken at ICAR-Indian Institute of Oil Palm Research, Pedavegi, Eluru district, Andhra Pradesh. The location is located at around 16°48′ N latitude and 81°12′ E longitude. The location receives an average annual rainfall of around 785.6 mm has an average temperature range of 28 °C to 36 °C, and is primarily red sandy loam soil (Figure 6).
Figure 6. Dura improvement Block with 308 genotypes.
Figure 6. Dura improvement Block with 308 genotypes.
Preprints 117886 g006

4.2. Oil Palm Genotypes

In this investigation, 308 Oil Palm genotypes planted during 2013 were utilized for the development of dwarf dura breeding lines. This collection of Oil Palm genotypes resulted from eleven crosses made between promising selected African germplasm (Zambia and Tanzania) planted in 1998 (Figure 7). Eleven crosses, each with four replicates, make up nine palms in a randomized complete block design (Table 3). As a result, these genotypes were chosen as a benchmark for evaluating new genotypes. The experimental data were draw (average of three years) together from 2021 to 2023.

4.3. Biometric Observations

The following nine traits were assessed in present study: bunch index (BI, %), bunch number (BN), bunch weight (BW, kg/palm/year), Girth (GT, cm), height (HT, cm), height increment (HI, cm), leaf area (LA, sqm), sex ratio (SR) and total dry matter (TDM, kg). Every harvest, the number of fruit bunches produced is recorded for each individual palm to note the FFB (Fresh fruit bunch) yield. During the busiest time of year, harvesting often occurs twice a month; otherwise, it happens just once. It is given annually as the quantity of bunches per palm we considered usually for noting FFB yield. The total weight of all harvested bunches is indicated in kilograms per palm per year (kg/palm/year) and every harvest weight of harvested FFB is recorded in kg throughout the year. For measuring height of the palm, using a long, specifically marked wooden stick, measured the height of the adult palm from ground level to the 41st leaf base using a measuring tape. Every year, the height of the palm was measured in centimeters (cm). The girth of the adult palm measured using a measuring tape at a height of 50 cm above the ground. The palm's circumference was measured in centimeters. The performance of individual oil palm can be known by calculating by using standard formulas and elite palms can be identified for further research programme. Height increment (HI) in cm for adult palm=Height/ (Age of the palm-2), Sex ratio (SR)=Female/(Male + Female + Hermaphrodite), bunch dry weight= 0.5275xFFB (kg/palm/year); Bunch Index (BI)= Bunch Dry Weight /Total Dry Matter in kg; and Leaf Area (LA) of adult palm in Sqm =0.57 x NLL x LLL x LLW /100 /100. The detailed formulae are given in supplementary table. The most promising genomic selection indices were those that correlated with deviations from the shared regression of the relevant characteristics. These indices were especially effective for managing the observed strong negative phenotypic and genomic correlations [19]. The aim was to maximize protein yield, either through elevated grain yield or increased protein content, while maintaining the population average for the other respective trait.

4.4. Data Analysis

To assess the performance of evaluated genotypes, analysis of variance, averages were compared using the HSD test (honestly significant difference) or Tukey’s test. Recurrent reciprocal selection (R.R.S.) has allowed oil palm populations to thrive throughout several mating cycles, resulting in a higher frequency of favorable alleles linked with desirable characteristics by using graphic pad software and OPSTAT.

5. Conclusions

This study investigated and identified potential traits that can be utilized in future oil palm breeding programs. The use of mother palms in breeding programmes improved prediction accuracy for individual traits as well as the genomic selection indices. This improvement was particularly notable when combining phenotypic and genomic information in a genomics-assisted selection approach during preliminary yield trials. The availability of genetic diversity, as well as suitable parent selection for developing seeds that add value to the created cultivars and address crop limiting concerns, are critical variables in breeding project success. This study examined 308 oil palm populations to analyze oil production components, vegetative features, and output. Selected genotypes G8, G300, and G221 had the lowest yearly height increments, measuring 28.98, 29.19, and 30.87 cm, respectively. The outcome of the present study shows that they are slow height increment genotypes with a high FFB yield (> 25 T/Ha). The oil palm industry future will involve in the development of innovative progenies with slow growth, high fresh fruit yields, and bunch components using elite dura-type female parents derived from these appraised populations. Meanwhile, genotype evaluation should focus on enhancing the capacity to choose extraordinary parental source to produce the finest DxP hybrid tenera palms.

Author Contributions

Manuscript preparation: Anitha Pedapati; review and editing: K. Suresh, Anitha Pedapati, Kalyana BAbu B, Ravichandran G; Statastical analysis: Anitha Pedapati; Initial evaluation: Mathur RK, Naveen Kumar P, Bhagya HP; Field data collection: Sankar Narayana K.

Funding

This research was funded by ICAR – Indian Institute of Oil Palm Research.

Institutional Review Board Statement

ICAR – Indian Institute of Oil Palm Research. Pedavegi–534 450, Eluru District, Andhra Pradesh. ​F. No. PME/10(H)/2015(4) Dated: 20-06-2024. This is to convey the approval of Director, ICAR-IIOPR, Pedavegi for submission of research article entitled “Development of elite mother palms from the best performing slow vertical growth oil palm genotypes” authored by P. Anitha et al for publishing in Journal entitled “Agriculture” international (MDPI). PME Cell Reference No. assigned to the research article is I-8/2024.

Data Availability Statement

Data available at the corresponding author.

Acknowledgments

We acknowledged the director ICAR-IIOPR, Pedavegi for continuous support. All the staff who involved in conducting this research.

Conflicts of Interest

None.

References

  1. Abdi, H.; Williams, L.J. Principal component analysis. Wiley Interdiscip. Rev. Comput. Stat. 2010, 2 (4), 433-459. [CrossRef]
  2. Anitha Pedapati.; Mathur RK.; Ravichandran G.; Kalyana Babu B.; and Bhagya HP. Assessment of genetic divergence and principal component analysis in oil palm (Elaeis guineensis Jacq.). J. Oilseeds Res., 2018, 35(3) : 159-165. [CrossRef]
  3. Arolu IW.; Rafii MY.; Marjuni M.; Hanafi MM,; Sulaiman Z.; Rahim HA.; Abidin MIZ.; Amiruddin MD.; Din AK.; Nookiah R. Breeding of high yielding and dwarf oil palm planting materials using Deli dura × Nigerian pisifera population. Euphytica. 2017, 213(7), 1-15. [CrossRef]
  4. Bakoume, C., Louise, C. Breeding for oil yield and short oil palms in the second cycle of selection at La Dibamba (Cameroon). Euphytica .2007, 156, 195–202. [CrossRef]
  5. Billotte, N.; Risterucci, A.M.; Barcelos, E.; Noyer, J.L.; Amblard, P.; Baurens, F.C. Development, characterization, and across-taxa utility of oil palm (Elaeis guineensis Jacq.) Microsatellite markers. Genome. 2001, 44, 413-425.
  6. Corley, R.H.V.; Tinker, P.B. The Climate and Soils of the Oil Palm-Growing Regions. In The Oil Palm, 4th ed.; Blackwell Science Ltd.: Oxford, UK, 2003; pp. 53-88.
  7. Gomes Junior, R.A.; Freitas, A.F. de; Cunha, R.N.V. da; Pina, A.J. de A.; Campos, H.O.B.; Lopes, R. Selection gains for the palm oil production from progenies of American oil palm with oil palm. Pesquisa Agropecuária Brasileira, v.56, e02321, 2021. [CrossRef]
  8. Hageman, J.A.; Malosetti, M.; and Eeuwijk, F.A.V. Two-mode clustering of genotype by trait and genotype by environment data. Euphytica. 2012, 183, 349-359. [CrossRef]
  9. Henson, I.E. Modelling oil palm yield based on source and sink. Oil Palm Bull. 2007, 54, 27-51.
  10. Junaidah, J.; Rafii, M.Y.; Chin, C.W.; Saleh, G. Performance of tenera oil palm population derived from crosses between Deli dura and pisifera from different sources on inland soils. J. Oil Palm Res. 2011, 23, 1210–1221.
  11. Krualee.; Sudanai.; Sayan Sdoodee,.; Theera Eksomtramage.; and Vinich Sereeprasert. Correlation and path analysis of palm oil yield components in oil palm (Elaeis guineensis Jacq.). Agriculture and Natural Resources. 2013, 47 (4), 528-533.
  12. MohdHaniff Harun.; Mohd Roslan and Noor, MD. Fruit set and Oil Palm bunch components. Journal of Oil Palm Research. 2002, 14 (2), 24-33.
  13. Murugesan, P.; Mary Rani, KL.; Naveen Kumar, P.; Ramajayam, D.; Sunil Kumar, K.; Mathur, RK.; Ravichandran, G and Arunachalam V. Genetic diversity of vegetative and bunch traits of African oil palm (Elaeis guineensis) germplasm in India. Indian Journal of Agricultural Sciences. 2015, 85 (7), 892-895. [CrossRef]
  14. Myint K.; Amiruddin M.; Rafii MY.; Abd MY.; Izan S. Character interrelationships and path analysis for yield components in MPOB-Senegal oil palm germplasm. Sains Malays. 2021, 50,699-709. [CrossRef]
  15. Noh, A.; Rafii, M.Y.; Saleh, G.; Kushairi, A. Genetic performance of 40 Deli dura × AVROS pisifera full-sib families. J Oil Palm Res. 2010, 22, 781–795.
  16. Nor Azwani AB.; Fadila AM.; Mohd Din A.; Rajanaidu N.; Norziha A.; Suzana M.; Marhalil M.; Zulkifli Y.; Kushairi A. Potential oil palm genetic materials derived from introgression of germplasm (MPOB-Nigeria, MPOB-Zaire and MPOB-Cameroon accessions) to advanced (AVROS) breeding population. J Oil Palm Res. 2020, 32(4), 569-581.
  17. Okoye, M.; Okwuagwu, C and Uguru, M. Population improvement for fresh fruit bunch yield and yield components in oil palm (Elaeis guineensis Jacq.) American-Eurasian Journal of Scientific Research. 2009, 4 (2), 59-63.
  18. Patcharin Tanya.; YaowanatHadkam.; PuntareeTaeprayoon and PeerasakSrinives. Estimates of repeatability and path coefficient of bunch and fruit traits in bang boet dura oil palm. Journal of Oil Palm Research. 2013, 25 (1), 108-115.
  19. Pedapati, A.; , RK.; Ravichandran, G.; , BK and Bhagya, H. Evaluation of bunch quality components in Dura x Dura progenies of Zambia and Camaroon sources of oil palm germplasm. Journal of Environmental Biology. 2021, 42, 1567-1577. [CrossRef]
  20. Peng Shi.; Yong Wang.; Dapeng Zhang Hainan.; Yin Min Htwe Hainan and Leonard OsayandeIhase. Analysis on fruit oil content and evaluation on germplasm in Oil Palm. HortScience. 2019, 54(8), 1275-1279. [CrossRef]
  21. Popet Pilalak.; Eksomtramage Theera.; Anothai Jakarat.; Khomphet Thanet. Correlation and path analysis in commercial tenera oil palms collected from Southern Thailand. Indian Journal of Agricultural Research.2022, 56(4), 485-488. [CrossRef]
  22. Sunil kumar K.; Mathur RK.; Sparjan Babu DS and Pillai, RSN. Evaluation of interspecific oil palm hybrids for dwarfness. Journal of Plantation Crops. 2015, 43(1),29-34.
  23. Suzana, M.; Zulkifli, Y.; Marhalil, M.; Rajanaidu, N and Ong-Abdullah, M. Principal component and cluster analyses on Tanzania oil palm Elaeis guineensis Jacq. germplasm. Journal of Oil Palm Research. 2020, 32(1), 24-33. [CrossRef]
  24. Swaray, S.; Amiruddin, M.D.; Rafii, M.Y.; Jamian, S.; Ismail, M.F.; Jalloh, M.; Eswa, M.; Marjuni, M.; Akos, I.S.; Yusuff, O. Oil Palm Inflorescence Sex Ratio and Fruit Set Assessment in dura × pisifera Biparental Progenies on Fibric Peat Soil. Agronomy. 2021,.
  25. Tupaz-Vera, A.; Ayala-Diaz, I.; Barrera, C.F.; Romero, H.M. Selection of elite dura-type parents to produce dwarf progenies of Elaeis guineensis Using Genetic Parameters. Agronomy. 2021. [CrossRef]
  26. Upaz-Vera, A., Ayala-Diaz, I., Barrera, C.F. and Hernan, MR. Genetic gains for obtaining improved progenies of oil palm in Colombia. Euphytica. 2023, 219, 38. [CrossRef]
  27. USDA (2023) United States Department of Agriculture production commodity data. USDA.
  28. Wan Nor.; Salmiah Tun Mohd Salim.; Zulkifli Yaakub.; Suzana Mustaffa.; Nor Azwani Abu Bakar.; FatinMohd Nasir.; Marhalil Marjuni.; Mohd Din Amiruddin and Meilina Ong-Abdullah. Genetic variability of MPOB-Cameroon oil palm germplasm based on morphological traits using multivariate analysis. Journal of Oil Palm Research. 2023, 35 (3), 476-490. [CrossRef]
  29. Zhou LX.; XiaoY.; Xia Wand Yang YD 2015. Analysis of genetic diversity and population structure of oil palm (Elaeis guineensis) from China and Malaysia based on species-specificsimple sequence repeat markers. Genetics and Molecular Research, 201514(4): 16247-16254. [CrossRef]
Figure 1. The scatter plot with the density heat map and regression line for important traits.
Figure 1. The scatter plot with the density heat map and regression line for important traits.
Preprints 117886 g001
Figure 2. The scatter plot with the density heat map and regression line of different oil palm traits.
Figure 2. The scatter plot with the density heat map and regression line of different oil palm traits.
Preprints 117886 g002
Figure 3. Matrix of correlation coefficients of bunch traits in oil palm dura genotypes. BI: Bunch index; BN: bunch number; BW: bunch weight; GT: girth; HI: height increment; HT: height; LA: leaf area; SR: sex ratio; TDM: total dry matter.
Figure 3. Matrix of correlation coefficients of bunch traits in oil palm dura genotypes. BI: Bunch index; BN: bunch number; BW: bunch weight; GT: girth; HI: height increment; HT: height; LA: leaf area; SR: sex ratio; TDM: total dry matter.
Preprints 117886 g003
Figure 4. Cluster heat map of 308 DxD genotypes performance with 9 different traits. Hierarchical clustering technique provides the visual representation of genotypes in distinct groups based on similarity and association with other attributes. A heat map depicting a color pattern. BI: Bunch index; BN: bunch number; BW: bunch weight; GT: girth; HI: height increment; HT: height; LA: leaf area; SR: sex ratio; TDM: total dry matter.
Figure 4. Cluster heat map of 308 DxD genotypes performance with 9 different traits. Hierarchical clustering technique provides the visual representation of genotypes in distinct groups based on similarity and association with other attributes. A heat map depicting a color pattern. BI: Bunch index; BN: bunch number; BW: bunch weight; GT: girth; HI: height increment; HT: height; LA: leaf area; SR: sex ratio; TDM: total dry matter.
Preprints 117886 g004
Figure 5. PCA of nine parameters of 308 genotypes. BI: Bunch index; BN: bunch number; BW: bunch weight; GT: girth; HI: height increment; HT: height; LA: leaf area; SR: sex ratio; TDM: total dry matter.
Figure 5. PCA of nine parameters of 308 genotypes. BI: Bunch index; BN: bunch number; BW: bunch weight; GT: girth; HI: height increment; HT: height; LA: leaf area; SR: sex ratio; TDM: total dry matter.
Preprints 117886 g005
Figure 7. The process of selection of elite mother palms.
Figure 7. The process of selection of elite mother palms.
Preprints 117886 g007
Table 1. Anova of 308 oil palm dura genotypes.
Table 1. Anova of 308 oil palm dura genotypes.
Variable Mean Std Dev Min Max cv GCV (%) PCV (%)
BI 0.24 0.11 0.00 0.63 0.46 62.5 45.83
BN 7.49 3.93 0.00 21.33 0.52 66.9 52.47
BW 105.95 59.35 0.00 220.52 0.56 83.5 56.01
GT 271.96 30.35 180.00 410.00 0.11 13.8 11.16
HI 32.99 11.08 1.88 62.17 0.34 40.9 33.59
HT 252.37 83.27 33.00 434.00 0.33 43.4 33.00
LA 7.22 2.46 0.11 17.43 0.34 40. 34.07
SR 0.52 0.30 0.00 1.00 0.58 88.5 57.69
TDM 226.08 101.89 42.16 1312.02 0.45 37.9 45.07
BI: Bunch index; BN: bunch number; BW: bunch weight; GT: girth; HI: height increment; HT: height; LA: leaf area; SR: sex ratio; TDM: total dry matter.
Table 2. Turkeys HSD test for oil palm genotypes.
Table 2. Turkeys HSD test for oil palm genotypes.
Crosses SR HI LA BN BW TDM BI GT HT
47CDx43CD 0.391a 24.879e 7.54abcd 6.321de 86.91f 191.897f 0.221a 260.146f 199.036g
497cd x43cd 0.459a 24.743e 6.531d 7.605cd 94.734e 182.062g 0.265a 273.393d 202.839g
497CDX465CD 0.481a 28.455d 8.393a 7.5cd 106.389d 194.127f 0.265a 260.232f 225.179f
465CDX42CD 0.677a 37.594bc 7.742abc 8.25bc 145.229a 251.459c 0.296a 288.743b 267.464d
40CDX282CD 0.58a 29.107d 6.494d 9.893a 115.469c 191.957f 0.307a 278.471c 259.679e
410CDX42CD 0.559a 43.504a 6.645d 9.107ab 116.988c 231.898d 0.261a 267.821e 228.464f
42CDX93CD 0.401a 35.509c 6.908cd 5.357ef 85.438f 225.836d 0.197a 269.464e 344.393a
42CDX42CD 0.421a 21.625f 6.757cd 4.464f 54.952g 215.528e 0.158a 294.964a 289.393c
40CDX42CD 0.56a 38.75b 8.173ab 7.5cd 118.9c 271.891b 0.245a 250.9h 168.857h
42CDX257CD 0.587a 35.621c 7.246bcd 8.306bc 125.6b 250.456c 0.251a 291b 306.929b
206CDX4D 0.615a 43.08a 6.999cd 8.071bc 114.838c 279.758a 0.218a 256.375g 283.786c
Tukey HSD test for 308 genotypes for nine traits (p < 0.05). Crosses like 465CDX42CD and 410CDX42CD show promising performance in multiple traits. BI: Bunch index; BN: bunch number; BW: bunch weight; GT: girth; HI: height increment; HT: height; LA: leaf area; SR: sex ratio; TDM: total dry matter.
Table 3. Genotypes of oil palm utilized in this study.
Table 3. Genotypes of oil palm utilized in this study.
SN Entry Genotype Population Parent source
1. C1 42CDX43CD 28 Zambia
2. C2 497CDX43CD 28 Zambia
3. C3 497CDX465CD 28 Zambia
4. C4 465CDX42CD 28 Zambia
5. C5 40CDX282CD 28 Zambia
6. C6 410CDX42CD 28 Zambia
7. C7 42CDX93CD 28 Zambia x Tanzania
8. C8 42CDX42CD 28 Zambia
9. C9 40CDX42CD 28 Zambia
10. C10 42CDX257CD 28 Zambia
11. C11 206CDX4D 28 Zambia
Disclaimer/Publisher’s Note: The statements, opinions and data contained in all publications are solely those of the individual author(s) and contributor(s) and not of MDPI and/or the editor(s). MDPI and/or the editor(s) disclaim responsibility for any injury to people or property resulting from any ideas, methods, instructions or products referred to in the content.
Copyright: This open access article is published under a Creative Commons CC BY 4.0 license, which permit the free download, distribution, and reuse, provided that the author and preprint are cited in any reuse.
Prerpints.org logo

Preprints.org is a free preprint server supported by MDPI in Basel, Switzerland.

Subscribe

Disclaimer

Terms of Use

Privacy Policy

Privacy Settings

© 2026 MDPI (Basel, Switzerland) unless otherwise stated