Submitted:
04 September 2024
Posted:
09 September 2024
You are already at the latest version
Abstract
Keywords:
1. Introduction
2. Materials and Methods
2.1. Plant Materials

2.2. Phenotyping Experiment
2.3. Trait Measurement
2.4. Data Analysis
2.5. Linkage Map and QTL Analysis
3. Results
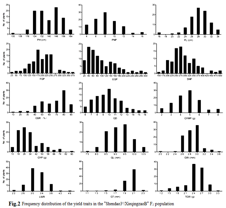
3.1. Phenotypic Variation for Yield-Related Traits in the Biparents and F2 Population

3.2. Trait Correlations
3.3. QTLs for Yield-Related Traits

3.4. Pleiotropic QTLs for Yield Traits
3.5. Digenic Epistatic QTLs for Yield-Related Traits
4. Discussion
5. Conclusion
Author Contributions
Funding
Data Availability Statement
Acknowledgments
Conflicts of Interest
Abbreviations
References
- Yano M, Katayose Y, Ashikari M, Yamanouchi U. Hd-1, a major photoperiod sensitivity quantitative trait locus in rice, is closely related to the Arabidopsis flowering time gene constans. Plant Cell. 2000, 12, 2473–2483. [CrossRef]
- Takahashi Y, Shomura A, Sasaki T, Yano M. Hd6, a rice quantitative trait locus involved in photoperiod sensitivity, encodes the a subunit of protein kinase CK2. Proceedings of the National Academy of Sciences. 2001, 98, 7922–7927. [CrossRef]
- Kojima S, Takahashi Y, Kobayashi Y. Hd3a, a rice ortholog of the Arabidopsis FT gene, promotes transition to flowing downstream of Hd1 under short-day conditions. Plant Cell Physiology. 2002, 43, 1096–1105.
- Ashikari M, Sakakibara H, Lin SY, Yamamoto T, Takashi T, Nishimura A, et al. Cytokinin oxidase regulates rice grain production. Science. 2005, 309, 741–745. [Google Scholar] [CrossRef]
- Xue WY, Xing YZ, Weng XY, Zhao Y, Tang WJ, Wang L, et al. Natural variation in Ghd7 is an important regulator of heading date and yield potential in rice. Nature Genetics. 2008, 40, 761–767. [Google Scholar] [CrossRef] [PubMed]
- Fan CC, Xing YZ, Mao HL, Lu TT, Han B, Xu CG, et al. GS3, a major QTL for grain length and weight and minor QTL for grain width and thickness in rice,encodes a putative transmembrane protein. Theoretical Applied Genetics. 2006, 112, 1164–1171.
- Song XJ, Huang W, Shi M, Zhu MZ, Lin HX.A QTL for rice grain width and weight encodes a previously unknown RING-type E3 ubiquitin ligase. Nature Genetics. 2007, 39, 623–630. [CrossRef]
- Jiao YQ, Wang YH, Xue DX, Wang J, Yan MX, Liu GF, et al. Regulation of OsSPL14 by OsmiR156 defines ideal plant architecture in rice. Nature Genetics. 2010, 42, 541–544. [Google Scholar] [CrossRef]
- Miura K, Ikeda M, Matsubara A, Song XJ, Ito M, Asano K, et al. OsSPL14 promotes panicle branching and higher grain productivity in rice. Nature Genetics. 2010, 42, 545–549. [CrossRef]
- Wang SK, Wu K, Yun,QB, Liu XY, Liu ZB, Lin XY, et al. Control of grain size, shape and quality by OsSPL16 in rice. Nature Genetics. 2012, 44, 950–954. [Google Scholar] [CrossRef]
- He GM, Luo XJ, Tian F, Li KG, Zhu ZF, Su W, et al. Haplotype variation in structure and expression of a gene cluster associated with a quantitative trait locus for improved yield in rice. Genome Research. 2006, 16, 618–626. [Google Scholar] [CrossRef] [PubMed]
- Zhang SL, Huang GF, Zhang YJ, Lv XT, Wan KJ, Liang J, et al. Sustained productivity and agronomic potential of perennial rice. Nature Sustainability. 2022, 6, 28–38. [Google Scholar] [CrossRef]
- Yan, F. Research status and prospect of overwintering ratooning rice. Crop Research. 2012, 26, 79–84. [Google Scholar]
- He HH, Hu DL, Fu JR, Liu YB, Li HB, Zou XS, et al. Breeding of surviving in winter lines and surviving in winter sterile lines in rice. Acta Agriculturae universityaties JiangXiensis. 2005, 27, 659–661. [Google Scholar]
- Fu JR, Li HB, Hu DL, Liu YB, Zou XY, He HH. Analysis on heterosis and combining ability of surviving in winter (SW) lines in rice. Acta Agriculturae universityaties JiangXiensis. 2007, 29, 323–330. [Google Scholar]
- Zhang SL, Huang GF, Zhang YJ, Lian XP, Zhang J, Chen R, Hu FY. Breeding progress and prospect of perennial rice. China Rice. 2022, 28, 39–43. [Google Scholar]
- Liang YS, Gong, JY, Yan YX, Wang BB, Gong WA, Wen H, et al. Survey of overwintering trait in Chinese rice cultivars (Oryza sativa L). Euphytica. 2022, 218, 94. [Google Scholar] [CrossRef]
- Shen, ZD. Crop Breeding Experiment. Beijing: Chinese Agricultural Press. 1995, 112-114.
- Li HH, Ribaut JM, Li ZH, Wang JK. Inclusive composite interval mapping (ICIM) for digenic epistasis of quantitative traits in biparental populations. Theoretical Applied Genetics. 2008, 116, 243–260. [Google Scholar] [CrossRef]
- McCouch SR, Cho YG, Yang M. Report on QTL nomenclature. Rice Genet Newsl. 1997, 14, 11–13. [Google Scholar]
- MengL, Li HH, Zhang LY, Wang JK. QTL IciMapping: integrated software for genetic linkage map construction and quantitative trait locus mapping in biparental populations. The Crop Journal. 2015, 3, 269–283. [Google Scholar] [CrossRef]
- Wang JK, Li HH, ZhangXC, Yin CB, Li Y, Ma YZ, et al. Molecular design breeding in crops in China. Acta Agronomical Sinica. 2011, 37, 191–201. [Google Scholar] [CrossRef]
- Han LF, Zhou R, Zhou T, Lin CX, Gan Q, Ni DH, Shi YY, Song FH. Correlation analysis and QTLs mapping of lodging resistance and yield traits in rice. Journal of Biology. 2023, 40, 65–70. [Google Scholar]
- Sheng ZH, Zhu ZL, Ma N, LiW, He JW, Wei XJ, et al. QTL mapping of yield related traits in super rice variety Zhongjiazao 17. Chinese Journal Rice Science. 2016, 30, 35–43. [Google Scholar]
- Tan ZB, Shen LS, Yuan ZL, Lu CF, Chen Y, Zhou KD, Zhu LH. Identification of QTLs for ratooning ability and grain yield traits of rice and analysis of their genetic effects. Acta Agronomica Sinica. 1997, 23, 289–295. [Google Scholar]
- Moncada P, Martinez CP, Borrero J, Chatel M, Gauch H, Guimaraes E, Tohme J, McCouch SR. Quantitative trait loci for yield and yield components in an Oryza sativa×Oryza rufipogon BC2F2 population evaluated in an upland environment. Theoretical Applied Genetics. 2001, 102, 41–42. [Google Scholar] [CrossRef]
- Hu DW, Sheng ZH, Chen W, Li QL, Wei XJ, Shao GN, et al. Identfication of QTLs associated with high yield of super rice variety Zhongjiazao 17. Acta Agronomica Sinica. 2017, 43, 1434–1447. [Google Scholar] [CrossRef]
- Thomson MJ, Tai TH, McClung AM, Lai XH, Hinga ME, Lobos KB, et al. Mapping quantitative trait loci for yield, yield components and morphological traits in an advanced backcross population between Oryza rufipogon and the Oryza sativa cultivar Jefferson. Theoretical Applied Genetics. 2003, 107, 479–493. [Google Scholar] [CrossRef]
- Xu JL, Xue QZ, Luo LJ, Li ZK. QTL dissection of panicle number per plant and spikelet number per panicle in rice (Oryza sativa L). Acta Genetica Sinica. 2001, 28, 752–759. [Google Scholar]
- Lu CF, Shen LH, Tan ZB, Xu YB, He P, Chen Y, Zhu LH. Comparative mapping of QTLs for agronomic traits of rice across environments by using a doubled-haploid population. Theoretical Applied Genetics. 1997, 94, 145–150. [Google Scholar] [CrossRef]
- Zhang YZ, Luo RJ, Sheng ZH, Jiao GA, Tang SQ, Hu PS, Wei XJ. QTL mapping of yield associated traits of Nipponbare/Zhongjiazao17 RIL population. Scientia Agricultura Sinica. 2017, 50, 3640–3651. [Google Scholar]
- Aluko G, Martinez C, Tohme J, Castano C, Bergman C, Oard JH. QTL mapping of grain quality traits from the interspecific cross Oryza sativa×O. glaberrima. Theoretical Applied Genetics. 2004, 109, 630–639. [Google Scholar] [CrossRef] [PubMed]
- Huang N, Parco A, Mew T, Magpantay G, McCouch SR, Guiderdoni E, et al. RFLP mapping of isozymes, RAPD and QTLs for grain shape, brown planthopper resistance in a doubled haploid rice population. Molecular Breeding. 1997, 3, 105–113. [Google Scholar] [CrossRef]
- Zhuang JY, Lin HX, Lu J, Qian HR, Hittalmani S, Huang N, Zheng KL. Analysis of QTL x environment interaction for yield components and plant height in rice. Theoretical Applied Genetics. 1997, 95, 799–808. [Google Scholar] [CrossRef]
- Xiao JH, Li J, Grandillo S, Ahn SN, Yuan L, Tanksley SD, McCouch SR. Identification of trait-improving quantitative trait loci alleles from a wild rice relative, Oryza rufipogon. Genetics. 1998, 150, 899–909. [Google Scholar] [CrossRef]
- Tian F, Li DJ, Fu Q, Zhu ZF, Fu YC, Wang XK, Sun CQ. Construction of introgression lines carrying wild rice (Oryza rufipogon Griff.) segments in cultivated rice (Oryza sativa L) background and characterization of introgressed segments associated with yield-related traits. Theoretical Applied Genetics. 2005, 1–11.
- Yu SB, Li JX, Xu CG, Tan YF, Li XH, Zhang QF. Identification of quantitative trait loci and epistatic interactions for plant height and heading date in rice. Theoretical Applied Genetics. 2002, 104, 19–35. [Google Scholar]
- You AQ, Lu XG, Jin HJ, Ren X, Liu K, Yang GC, et al. Identification of quantitative trait loci across recombinant inbred lines and testcross populations for traits of agronomi importance in rice. Genetics. 2006, 105, 1287–1300. [Google Scholar]
- Liang YS, Zhan XD, Wang HM, Gao ZQ, Lin ZC, Chen DB, et al. Locating QTLs controlling several adult root traits in an elite Chinese hybrid rice. Gene. 2013, 526, 331–335. [Google Scholar] [CrossRef]
| Traits | Parents | F2 population | ||||
|---|---|---|---|---|---|---|
| Shendao3# | XieqingzaoB | T-test value | Means±SD | Range | CV (%) | |
| PH (cm) | 102.80 | 82.40 | 13.07** | 137.96±16.36 | 100.00-167.00 | 9.78 |
| PP | 9.80 | 13.20 | 3.30* | 7.73±2.86 | 3.00-17.00 | 37.80 |
| PL (cm) | 17.60 | 22.04 | 7.89** | 28.33±3.15 | 16.20-34.00 | 11.78 |
| FGP | 157.20 | 96.60 | 6.13** | 193.29±62.46 | 27.00-379.00 | 32.12 |
| EGP | 6.20 | 10.00 | 1.26 | 99.02±68.02 | 12.00-296.00 | 67.52 |
| SP | 163.40 | 106.60 | 4.56** | 292.32±72.86 | 143.00-502.00 | 24.17 |
| GSR (%) | 96.25 | 90.88 | 2.74* | 67.00±0.19 | 8.36-94.59 | 27.74 |
| GSD | 9.28 | 4.83 | 7.85** | 10.32±2.25 | 6.27-17.16 | 22.07 |
| GYMP (g) | 3.99 | 2.71 | 6.29** | 5.26±1.47 | 2.32-8.94 | 27.88 |
| GYP (g) | 33.04 | 24.27 | 4.43* | 34.38±15.84 | 5.57-88.84 | 47.17 |
| GL (mm) | 10.38 | 9.80 | 0.56 | 10.16±9.49 | 7.60-10.72 | 7.02 |
| GW (mm) | 3.43 | 2.58 | 11.63** | 2.87±0.23 | 2.17-3.71 | 7.81 |
| LWR | 4.01 | 3.81 | 0.10 | 3.56±3.35 | 2.18-4.54 | 11.78 |
| GT (mm) | 2.31 | 2.07 | 6.61** | 1.99±0.18 | 1.17-2.21 | 8.70 |
| TGW (g) | 24.60 | 26.80 | 2.42 | 24.70±0.37 | 13.50-33.90 | 15.15 |
| Traits | PH | PP | PL | FGP | EGP | SP | GSR | GSD | GYMP | GYP | GL | GW | LWR | GT | TGW |
|---|---|---|---|---|---|---|---|---|---|---|---|---|---|---|---|
| PH | 1.00 | ||||||||||||||
| PP | 0.33** | 1.00 | |||||||||||||
| PL | 0.37** | 0.25** | 1.00 | ||||||||||||
| FGP | 0.04 | 0.12 | 0.20** | 1.00 | |||||||||||
| EGP | 0.28** | 0.10 | 0.29** | -0.37** | 1.00 | ||||||||||
| SP | 0.30** | 0.20** | 0.44** | 0.52** | 0.60** | 1.00 | |||||||||
| GSR | -0.21** | -0.02 | -0.13 | 0.68** | -0.90** | -0.24** | 1.00 | ||||||||
| GSD | 0.14 | 0.11 | -0.03 | 0.47** | 0.52** | 0.88** | -0.20* | 1.00 | |||||||
| GYMP | 0.15* | 0.20** | 0.30** | 0.78** | -0.23* | 0.45** | 0.47** | 0.34** | 1.00 | ||||||
| GYP | 0.33** | 0.80** | 0.35** | 0.51** | -0.09 | 0.36** | 0.26** | 0.21** | 0.60** | 1.00 | |||||
| GL | 0.08 | 0.15* | 0.19* | -0.06 | 0.23** | 0.16* | -0.15* | 0.07 | 0.02 | 0.09 | 1.00 | ||||
| GW | 0.16* | 0.09 | -0.14 | -0.20** | 0.24** | 0.09 | -0.27** | 0.18* | -0.17* | -0.06 | -0.03 | 1.00 | |||
| LWR | 0.07 | 0.14 | 0.20* | -0.04 | 0.20** | 0.15* | -0.13 | 0.05 | 0.03 | 0.09 | 1.00** | -0.11 | 1.00 | ||
| GT | -0.01 | 0.02 | 0.07 | -0.11 | -0.10 | -0.19* | -0.00 | -0.25** | 0.14 | 0.07 | 0.01 | 0.12 | 0.00 | 1.00 | |
| TGW | -0.02 | 0.17* | 0.13 | -0.05 | -0.27** | -0.29** | 0.15* | -0.38** | 0.25** | 0.24** | -0.05 | -0.15* | -0.03 | 0.47** | 1.00 |
| Trait | QTL | Chromosome | Genomic Position | Marker interval | LOD | Additive | Dominant | R2 (%) | Derived |
|---|---|---|---|---|---|---|---|---|---|
| PH | qPH1 | 1 | 34902085-37261443 | RM3738-RM8084 | 6.06 | 9.93 | 7.21 | 27.30 | Shendao3# |
| PP | qPP1 | 1 | 9463544-24866202 | RM3642-RM600 | 3.06 | -3.02 | -4.80 | 8.06 | XieqingzaoB |
| qPP3 | 3 | 4333680-13933574 | RM489-RM6080 | 3.02 | 3.84 | -5.56 | 7.33 | Shendao3# | |
| qPP7 | 7 | 16932001-17489638 | RM1135-RM5793 | 5.23 | -3.58 | -6.52 | 10.82 | XieqingzaoB | |
| qPP11 | 11 | 11763775-2888052 | RM7120-RM6293 | 4.28 | -3.04 | -5.09 | 8.53 | XieqingzaoB | |
| PL | qPL1 | 1 | 27925715-32774365 | RM3642-RM600 | 3.00 | 6.05 | 4.19 | 6.07 | Shendao3# |
| qPL2 | 2 | 13481661-19677083 | RM250-RM3763 | 4.67 | -6.67 | 3.94 | 8.05 | XieqingzaoB | |
| qPL11 | 11 | 1124242-4773752 | RM1341-RM3428 | 3.96 | -3.11 | 5.53 | 8.23 | XieqingzaoB | |
| EGP | qEGP8 | 8 | 35196573-37261443 | RM1111-RM3702 | 3.10 | 49.48 | -132.62 | 14.32 | Shendao3# |
| SP | qSP1 | 1 | 13059580-24116775 | RM265-RM3738 | 5.52 | 48.12 | 33.14 | 26.56 | Shendao3# |
| GSR | qGSR4 | 4 | 11389704-20800963 | RM7051-RM5633 | 3.88 | 0.02 | -0.32 | 4.61 | Shendao3# |
| qGSR8 | 8 | 16932001-17489638 | RM1111-RM3702 | 5.90 | -0.17 | 0.46 | 5.40 | XieqingzaoB | |
| GSD | qGSD1 | 1 | 10811135-19788247 | RM265-RM3738 | 4.53 | 0.47 | 1.82 | 14.11 | Shendao3# |
| qGSD2 | 2 | 2722348-14527760 | RM324-RM262 | 5.25 | 1.49 | -3.80 | 20.65 | Shendao3# | |
| GYP | qGYP7 | 7 | 2722348-13761888 | RM1135-RM5793 | 3.32 | -14.32 | -23.54 | 7.25 | XieqingzaoB |
| qGYP9 | 9 | 4407860-23568212 | RM24085-RM160 | 3.41 | 21.40 | -14.19 | 5.79 | Shendao3# | |
| qGYP10a | 10 | 11389704-15894177 | RM5708-RM3882 | 4.24 | 17.86 | -13.64 | 9.07 | Shendao3# | |
| qGYP10b | 10 | 19677083-28788052 | RM3882-RM8201 | 3.74 | 19.60 | -23.56 | 5.16 | Shendao3# | |
| GW | qGW2a | 2 | 3073406-27342022 | RM5651-RM3732 | 3.04 | 0.34 | -0.37 | 4.21 | Shendao3# |
| qGW2b | 2 | 11389704-15894177 | RM5812-RM324 | 4.07 | 0.28 | -0.26 | 5.38 | Shendao3# | |
| qGW11a | 11 | 11763775-28788053 | RM7120-RM6293 | 3.82 | 0.27 | -0.35 | 5.34 | Shendao3# | |
| qGW11b | 11 | 19677083-28788052 | RM6293-RM1341 | 3.46 | 0.28 | -0.35 | 5.03 | Shendao3# | |
| GT | qGT5 | 5 | 3073406-27342022 | RM405-RM26 | 3.98 | -0.16 | 0.28 | 9.30 | XieqingzaoB |
| TGW | qTGW1 | 1 | 9463544-24866202 | RM3642-RM600 | 4.15 | 0.44 | 0.32 | 4.76 | Shendao3# |
| qTGW4 | 4 | 13059580-24116775 | RM7051-RM5633 | 4.43 | 0.38 | 0.57 | 5.08 | Shendao3# |
| Traits | QTL | Chromosome | Marker interval | LOD value | Additive | Dominant | R2 (%) |
|---|---|---|---|---|---|---|---|
| SP | qSP1 | 1 | RM265-RM3738 | 5.52 | 48.12 | 33.14 | 26.56 |
| GSD | qGSD1 | 1 | RM265-RM3738 | 4.53 | 0.47 | 1.82 | 14.11 |
| PP | qPP1 | 1 | RM3642-RM600 | 3.06 | -3.02 | -4.80 | 8.06 |
| PL | qPL1 | 1 | RM3642-RM600 | 3.00 | 6.05 | 4.19 | 6.07 |
| GSR | qGSR4 | 4 | RM7051-RM5633 | 3.88 | 0.02 | -0.32 | 4.61 |
| TGW | qTGW4 | 4 | RM7051-RM5633 | 4.43 | 0.38 | 0.57 | 5.08 |
| PP | qPP7 | 7 | RM1135-RM5793 | 5.23 | -3.58 | -6.52 | 10.82 |
| GYP | qGYP7 | 7 | RM1135-RM5793 | 3.32 | -14.32 | -23.54 | 7.25 |
| EGP | qEGP8 | 8 | RM1111-RM3702 | 3.10 | 49.48 | -132.62 | 14.32 |
| GSR | qGSR8 | 8 | RM1111-RM3702 | 5.90 | -0.17 | 0.46 | 5.40 |
| PP | qPP11 | 11 | RM7120-RM6293 | 4.28 | -3.04 | -5.09 | 8.53 |
| GW | qGW11a | 11 | RM7120-RM6293 | 3.82 | 0.27 | -0.35 | 5.34 |
| Traits | Chr a | Marker interval | Chr a | Marker interval | LOD value | Add b | Add | Dom c | Dom | Add×Add | Add×Dom | Dom×Add | Dom×Dom | R2 (%) d |
|---|---|---|---|---|---|---|---|---|---|---|---|---|---|---|
| PH | 1 | RM3738-RM8084 | 11 | RM202-RM7120 | 5.01 | 4.82 | -8.37 | 0.49 | -28.13 | 8.08 | -21.17 | -5.63 | 30.51 | 19.3 |
| PNP | 1 | RM3642-RM600 | 2 | RM6519-RM5651 | 7.08 | -1.97 | 1.90 | -3.21 | 1.56 | -3.38 | 3.30 | 0.42 | -0.59 | 2.21 |
| 3 | RM3513-RM1352 | 5 | RM405-RM26 | 5.03 | 0.91 | -1.03 | 3.50 | 1.48 | -0.7 | -2.76 | 5.63 | -7.37 | 1.49 | |
| 3 | RM85-RM3856 | 10 | RM5708-RM3882 | 6.40 | -0.34 | 1.58 | 4.55 | 0.98 | -1.78 | 2.01 | 2.20 | -8.64 | 1.98 | |
| 7 | RM3555-RM5481 | 7 | RM1135-RM5793 | 6.13 | -3.07 | -1.71 | -2.01 | -6.46 | 0.69 | 2.89 | 1.55 | 4.18 | 2.19 | |
| 7 | RM5793-RM432 | 8 | RM1111-RM3702 | 5.08 | 0.41 | 0.36 | 0.67 | 1.55 | 0.39 | -5.50 | 4.95 | -6.19 | 1.61 | |
| 7 | RM1135-RM5793 | 11 | RM202-RM7120 | 6.84 | 0.55 | -2.71 | -1.06 | 3.88 | 0.89 | -4.19 | 3.52 | -7.08 | 2.2 | |
| PL | 1 | RM3642-RM600 | 8 | RM8019-RM6990 | 5.48 | -4.58 | -3.57 | -2.01 | -2.00 | -2.56 | 6.12 | 1.03 | 7.14 | 6.28 |
| 2 | RM250-RM3763 | 3 | RM1352-RM3199 | 5.10 | -5.30 | 0.77 | 4.32 | 6.97 | 1.58 | 5.93 | -1.27 | -9.50 | 4.94 | |
| 2 | RM7637-RM5812 | 4 | RM7051-RM5633 | 5.49 | 0.91 | 0.34 | 3.40 | 3.33 | -2.59 | -3.69 | -0.77 | -5.13 | 5.13 | |
| EGP | 8 | RM1111-RM3702 | 9 | RM257-RM5661 | 5.11 | 7.29 | -9.84 | -88.52 | -27.85 | -52.25 | -51.59 | 45.48 | -29.79 | 1.74 |
| GSR | 4 | RM317-RM7051 | 4 | RM7051-RM5633 | 5.94 | -0.01 | 0.07 | 0.07 | -0.10 | 0.04 | -0.36 | 0.09 | -0.14 | 1.53 |
| 4 | RM5633-RM401 | 8 | RM1111-RM3702 | 7.42 | 0.07 | 0.00 | -0.33 | 0.21 | -0.006 | -0.04 | -0.15 | 0.34 | 1.45 | |
| 4 | RM7051-RM5633 | 9 | RM24085-RM160 | 5.69 | 0.00 | 0.02 | -0.41 | -0.13 | 0.02 | 0.13 | -0.10 | 0.56 | 1.24 | |
| 4 | RM317-RM7051 | 10 | RM5708-RM3882 | 7.22 | 0.12 | 0.15 | 0.09 | 0.12 | -0.22 | -0.03 | 0.02 | -0.38 | 1.49 | |
| 4 | RM559-RM5979 | 11 | RM7120-RM6293 | 6.72 | -0.03 | 0.02 | 0.00 | -0.24 | 0.24 | -0.22 | -0.12 | 0.47 | 1.54 | |
| 8 | RM1111-RM3702 | 9 | RM24085-RM160 | 5.32 | -0.04 | 0.16 | -0.12 | -0.09 | 0.04 | 0.16 | -0.43 | 0.34 | 1.30 | |
| 8 | RM1111-RM3702 | 10 | RM5708-RM3882 | 7.95 | -0.06 | 0.20 | 0.28 | -0.01 | 0.18 | 0.18 | -0.17 | -0.01 | 1.50 | |
| 8 | RM1111-RM3702 | 11 | RM6293-RM1341 | 6.80 | -0.05 | 0.16 | 0.26 | -0.06 | 0.19 | 0.12 | -0.13 | 0.07 | 1.52 | |
| GYP | 7 | RM3555-RM5481 | 7 | RM1135-RM5793 | 7.01 | 14.80 | -1.74 | 17.34 | -5.76 | 0.78 | -25.40 | 21.76 | -22.25 | 2.28 |
| 7 | RM1135-RM5793 | 8 | RM1111-RM3702 | 5.68 | 1.06 | -18.79 | -18.91 | -8.21 | -8.94 | 8.78 | 8.10 | 6.61 | 2.52 | |
| 7 | RM1135-RM5793 | 11 | RM202-RM7120 | 5.87 | -2.54 | -3.60 | -3.50 | 12.75 | -12.47 | 24.77 | 7.82 | -26.83 | 2.28 | |
| 9 | RM24085-RM160 | 11 | RM7120-RM6293 | 5.31 | 9.01 | -13.95 | 11.16 | -14.50 | -12.05 | -4.57 | 10.83 | -2.13 | 2.36 | |
| 10 | RM5708-RM3882 | 11 | RM202-RM7120 | 5.40 | 7.41 | -13.27 | 1.72 | 15.35 | -2.44 | 18.95 | 20.25 | -31.15 | 2.94 | |
| GW | 2 | RM250-RM3763 | 4 | RM559-RM5979 | 6.25 | 0.12 | -0.01 | 0.46 | 0.28 | 0.18 | -0.003 | 0.34 | -0.79 | 2.49 |
| GT | 5 | RM405-RM26 | 11 | RM202-RM7120 | 8.74 | -0.04 | 0.11 | 0.17 | -0.25 | 0.15 | 0.18 | -0.10 | 0.26 | 2.65 |
Disclaimer/Publisher’s Note: The statements, opinions and data contained in all publications are solely those of the individual author(s) and contributor(s) and not of MDPI and/or the editor(s). MDPI and/or the editor(s) disclaim responsibility for any injury to people or property resulting from any ideas, methods, instructions or products referred to in the content. |
© 2024 by the authors. Licensee MDPI, Basel, Switzerland. This article is an open access article distributed under the terms and conditions of the Creative Commons Attribution (CC BY) license (http://creativecommons.org/licenses/by/4.0/).