Preprint
Article

This version is not peer-reviewed.

Trends in the Occurrence of Compound Extremes of Temperature and Precipitation in Côte d’Ivoire

A peer-reviewed article of this preprint also exists.

Submitted:

02 September 2024

Posted:

03 September 2024

You are already at the latest version

Abstract
The aim of this study is to characterize the compound extremes of rainfall and temperature in Côte d’Ivoire. For this purpose, we analyzed the outputs of fourteen (14) climate models from the CORDEX-Africa project. Results show an increase (approximately 4.3°C) of the surface temperature and a decrease (5,90 %) of the mean rainfall in the near (2036-2065) and far futures (2071-2100) over Côte d’Ivoire during January-February-March (JFM) period. The analysis of the compound extremes of wet/warm type highlights an increase in the frequency of this climatic hazard in the northern and central parts of the country during January-March (JFM) season in the near and far futures. The dry/warm mode will increase in the central and southern parts of the country during the near future and in the whole country during the far future. These increase in compound extremes could lead to an increase in droughts and natural disasters over the country and could have a negative impact on socio-economic activities, such as transportation and agricultural production. This work could provide decision support for political decision-makers in formulating future public policies for managing agricultural production, food security, and natural disasters.
Keywords: 
;  ;  ;  ;  
Subject: 
Physical Sciences  -   Other

1. Introduction

Climate change is a phenomenon that we are all witnessing because of its harmful consequences, which are already clearly visible.
The resurgence of extreme events, such as floods, droughts, and frequent heatwaves, accompanied by bushfires (in Africa, Europe, America, etc...) is a visible consequence of climate change. These events have unprecedented negative effects on both people and the environment. For example, the 2003 heatwave resulted in 15.000 deaths in France [1,2,3], and 7.000 in Russia [4,5]. Similarly, many fires have occurred in 2021 in Europe. These fires have caused a major loss of life and massive destruction of flora and fauna.
Furthermore, in West Africa in general and in Côte d'Ivoire in particular, several authors have conducted studies on climate events based on individual variables, i.e., using only temperature or precipitation to show extreme events, their trends and impacts [6,7,8,9,10,11]. However, other studies have shown that these events can occur simultaneously or successively [12,13], forming climatic hazards known as compound extreme events. These compounds are "precipitation-thermal" events. There occurrence is linked to both precipitation and temperature exceeding a threshold.
In other words, these phenomena are concomitantly linked to temperature and precipitation values outside the norm and/or undesirable.
In addition, compound weather, climate events, or a combination of several factors and/or hazards contribute to societal and environmental risks [14,15]. The co-occurrence of extremely high temperatures and low or high precipitation can intensify negative effects on ecosystems and society, causing worse impacts on food production and security compared to the impacts of extreme-based individual variables [16,17,18,19].
However, West Africa in general and Côte d'Ivoire in particular are regions of Africa where the main activity of the population is rain-fed agriculture [20,21]. Côte d'Ivoire's economy is based mainly on coffee and cocoa, which are perennial tropical plants. The yields of coffee and cocoa are strongly linked to climatic parameters, such as temperature, precipitation, and wind speed [22].
Compound extreme weather events are better understood and documented in Europe [23,24,25,26], Asia [15,27,28,29,30,31,32,33] and America [34,35,36,37,38], where several authors have demonstrated their impacts on humans and the environment. In Africa, these phenomena have been little studied. Indeed, the lack of documentation and impoverishment of West African states make this region highly vulnerable to climate change, which is becoming a key factor in the increase in compound extremes.
Thus, the conditions under which extreme climatic events occur and how they are characterized depend on the region and some factors, such as a favorable initial state, the presence of large-scale drivers, positive local feedback, and stochastic processes (noise) [39]. In Côte d'Ivoire, studies related to compound events have not yet been conducted. Thus, the need to characterize these events is essential in West Africa, where the economy strongly depends on agriculture and weather conditions.
The main objective of this work is to study the evolution of compound extreme events of precipitation and temperature in Côte d'Ivoire during the January to March (JFM), April to June (AMJ), July to September (JAS), and October to December (OND) seasons for the present and future climate using fourteen (14) models involved in the CORDEX-Africa phase 2 simulations.
The remainder of this paper is structured as follows: section 2 describes the study area, the CORDEX-Africa simulations, the methods used, and the definition of the compound extremes. Section 3 presents the results and discussion, followed by a summary and a conclusion.

2. Materials and Methods

2.1. The Study Area

This study focuses on Côte d'Ivoire, a country located in West Africa on the edge of the Gulf of Guinea (9°W–2.5°W; 4°N–11°N), with a surface area of 322 462 km². Furthermore, Côte d'Ivoire consists of three climatic zones, including the littoral, central, and northern zones, characterized by a specific rainfall regime [40]. The littoral zone and the center have a bimodal precipitation regime (two rainy seasons with peaks observed in June and October), while the north presents a single rainy season (July-September) with a peak occurring in August.
Figure 1. Topography of the study area.
Figure 1. Topography of the study area.
Preprints 117029 g001

2.2. Models and Data

This study used a set of fourteen (14) simulations carried out by eight Regional Climate Models (RCMs) forced by seven Global Climate Models (GCMs) from the second phase of the "COordinated Regional climate Downscaling EXperiment" (CORDEX-Africa) project [41]. Seven (GCMs) derived from the fifth phase of the Coupled Model Intercomparison Project (CMIP5). The CORDEX project involves the coordination of numerical climate simulations, implemented by several research centers. It provides reliable climate change scenarios at a high resolution (~50 km), enabling climate impact studies and associated uncertainties for future climate projections using RCMs [42,43,44,45]. The CORDEX project is based on two types of simulations with two objectives :
-
To provide a framework for evaluating and comparing the performance of RCMs (evaluation framework)
-
Design a set of experiments to produce climate projections for use in impact and adaptation studies (climate projection phase).
The use of all of these high-resolution RCMs is essential to account for the complex topography, the strong variation in vegetation cover, and the variability of rainfall at the mesoscale over West Africa [46,47,48]. It is also an advantage to use RCMs as they provide more detailed information on climate at sub-regional and local levels [49,50].
The CORDEX simulations used in this study are from the second phase (climate projection phase), including daily precipitation and minimum and maximum temperatures at a horizontal resolution of 0.44° (~50 km). These simulations cover the African continent and use a dynamic downscaling technique, in which RCMs are forced by Global Climate Models (GCMs) (Table 1).
The historical simulations cover the period 1950-2005, and the projections span 2006-2100 period under the RCP4.5 and RCP8.5 forcings scenarios [51,52].

2.3. Methods

A compound extreme event can be defined as two or more extreme events occurring simultaneously or successively, or as combinations of events that are not themselves extreme but lead to a negative event or impact when combined [21,53].
According to Leonard [54], a compound event is an extreme that depends on several variables or a statically dependent event.
Clearly, if we consider the variables (precipitation and temperature), we can distinguish several types of compound extremes depending on the choice of percentiles (for example, the 10th, 25th, 75th, 90th, and 95th percentiles) as in [55,56,57]. For a combination of these selected (Côte d'Ivoire) percentiles, four (4) types or modes of compound extremes can be distinguished.
-
Dry/warm: precipitation < 25th percentile and temperature > 90th percentile.
-
Dry/cold: precipitation < 25th percentile and temperature < 10th percentile.
-
Wet/warm: precipitation > 75th percentile and temperature > 90th percentile.
-
Wet/cold: precipitation >75th percentile and temperature <10th percentile.
Based on previous definitions and the choice of the 10th and 90th [29,57,58], we characterized the dry/warm and wet/warm modes annually during the January-March (JFM), April-June (AMJ), July-September (JAS), and October–December (OND) seasons.
We defined the dry/warm mode as the total number of days on which daily rainfall below the 10th percentile and temperatures above the 90th percentile coincided. Similarly, the wet/warm mode is the total number of days when daily rainfall above the 90th percentile and temperatures above the 90th percentile coincide.

3. Results and Discussions

3.1. Annual Cycles of Mean Temperature and Precipitation over Different Areas of Côte d'Ivoire

Côte d'Ivoire, located in West Africa, particularly in the Guinea Gulf region, has an equatorial, a tropical savannah and a transition to a tropical monsoon climate in the coastal, central and northern regions of the country, respectively. The annual cycles of the mean temperature and rainfall under the RCP8.5 scenario are shown in Figure 2. The annual cycle of the mean temperature varied according to the different climatic zones.
In the south, the seasonal cycle of the daily mean temperature shows a significant peak with 28.94°C in February, while in the center and the north, there are two peaks in April (28.96°C) and in November (26.69°C) for the center and in April (28.69°C) and in November (26.42°C) for the North, under RCP8.5. The annual cycles of the mean temperature over the climatic zones of Côte d’Ivoire are in line with the findings of [59].
The seasonal cycle of the mean precipitation exhibited a significant peak over the three sub-regions of Côte d’Ivoire (Figure 2b, d, and f). In the northern region, the rainfall regime is characterized by a peak in August. This result is consistent with the findings of [40], who used in situ observations data from 22 stations in Côte d'Ivoire over the period 1964-1997. The peaks observed in July for the south and August for the central regions highlight the unimodal nature of the rainfall regime. Similarly, using CPC and ARC2 observational data, the results of [59] also demonstrated a bimodal rainfall regime in the south and center of Côte d'Ivoire. Consequently, the ensemble mean of the models fails to reproduce the bimodal feature of the annual cycle of the mean precipitation in the south and center of Côte d’Ivoire, mainly because of the physical parameterizations of the models.

3.2. Changes in Precipitation and Temperature

Changes in rainfall and temperature are partly linked to climate change due to anthropogenic effects of human activities. These changes affect the mean rainfall and maximum, minimum, and mean temperatures in the southern, central, and northern climatic zones of Côte d'Ivoire.
Figure 3 shows the changes in mean rainfall during the January-March (JFM) season for the historical period 1976-2005 (Hist, blue), the near future 2036-2065 (NF, green), and the far future 2071-2100 (FF, red) over the southern, central, and northern climatic zones of Côte d'Ivoire for the ensemble mean of the CORDEX-Africa simulations. The results show that the rainfall will decrease in the south and the center of the country in the near- and far futures.
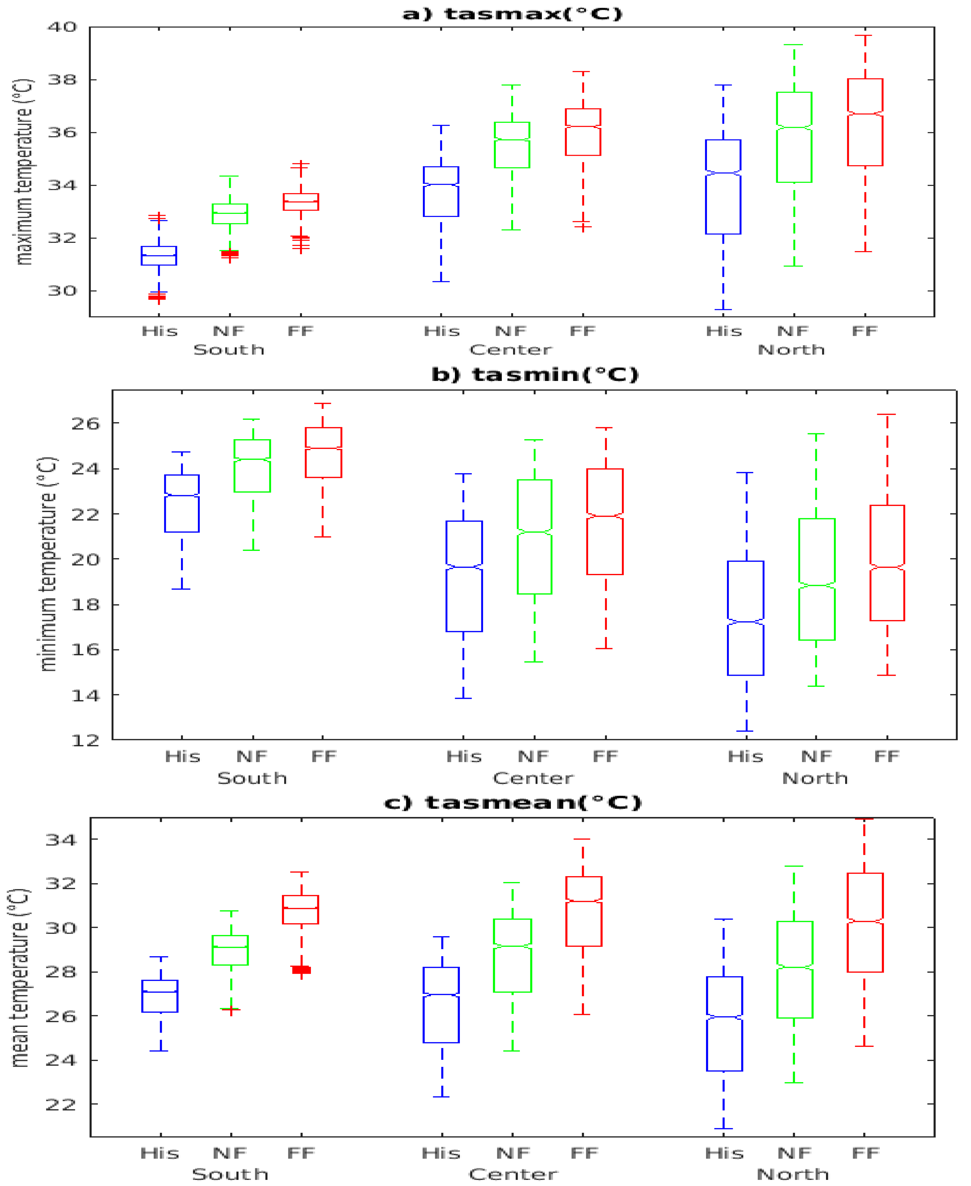
Figure 4 (a, b, c) show the projections of the maximum, minimum, and mean temperatures over the JFM summer period for the three (03) periods (historical, near and far futures) in the southern, central, and northern climate zones of Côte d'Ivoire, respectively. The analysis shows that the minimum, maximum and mean temperatures will increase in the south, north and south of Côte d'Ivoire in the near and far futures. This could lead to a high frequency of extremes events, such as diurnal heatwaves and dry/warm mode and an increase in future energy consumption.

3.3. Compound Extremes of Precipitation and Temperature

3.3.1. Present and Future Climates

The dry/warm (DW) and wet/warm (WW) precipitation and temperature extremes are shown in Figure 5 and Figure 6, respectively. These hazards are presented for two modes of variability: their inter-seasonal trends (JFM, AMJ, JAS, and OND) and their sub-regional trends over the different climate zones of Côte d’Ivoire (littoral (south), center, and north) (Figure 6). The analysis of the total number of compound dry/warm extremes per year over the periods 1976-2005 (historical), 2036-2065 (near future) and 2071-2100 (far future) shows that the ensemble mean of the models simulates a high occurrence of compound dry/warm and wet/warm events. The dry/warm mode will decrease in the future for all seasons.
Furthermore, human health and crop yields could be adversely affected by the dry/warm mode because high temperatures pose a serious threat to human health and plants [17,21].
Figure 6 shows the total number of dry/warm and wet/warm compounds for the JFM, AMJ, JAS, and OND seasons over the historical (1976-2005) and future periods in the south, center and north of Côte d'Ivoire.
In AMJ and JAS, the compound dry/warm type (DW) will decrease in the three sub-regions of the country. The wet/warm type (WW) will increase in DJF and OND. In the AMJ and JAS seasons, DW mode decreased in the three sub-regions in the near and far futures. The WW mode will increase in the south, center and north of the country in the near and far futures. During the OND season, DW mode showed a downward trend over all climatic zones, while WW mode showed an upward trend in the future.
Furthermore, heavy rainfall associated with high temperatures (or slight rainfall associated with abnormal temperatures) at the same time can simultaneously intensify thermal amplitude, which has a negative impact on living organisms and their growth. This could also have a major impact on agriculture, particularly during plant flowering.

3.3.2. Spatial Changes of Compound Extremes for the JFM Season

Changes in the occurrence of compound dry/warm extremes in the near (2036-2065) and far (2071-2100) futures periods are shown in Figure 7. The ensemble mean of the models projected an increase in compound extremes dry/warm in the southern and central parts of Côte d'Ivoire under the RCP8.5 scenario. The wet/warm mode will increase in the northern and central parts of the country. The minimum values of changes in the dry/warm mode in the northern part of the country could be explained by the advent of the harmattan phenomenon, which intensified during JFM in the northern part of Côte d’Ivoire. This means that it is cooler in the north than south of Côte d'Ivoire. Thus, the influence of harmattan attenuates the heat at this time of year and reduces its occurrence in the north of the country. Similarly, it shows a south-north gradient, with maxima located in the north and mainly from the center to the north (Figure 7). The ensemble mean of the models projected a high occurrence of compound extremes of DW and WW modes in the study area, which is likely to change significantly in the future. In the North of Côte d'Ivoire, most of the rainfall is accompanied by strong sunshine. This could explain the high occurrence of these hazards.
These authors assessed the variability in global land and crop areas affected by compound dry and warm events. [15,18,27,30] assessed the variability of compound dry/warm events in global land and crop areas. Their results have projected an increase in compound dry/warm events over the entire spatial extent of global land areas during June-August (JJA) and December-February (DJF).
Following [60], the intensification of the dependence between precipitation and temperature favors an increase in the dependence on compound dry/warm mode. [61,62] have also shown that increasing temperature is the main factor in the variation of compound dry/warm events in Europe. This study could contribute to increase the resilience of agriculture and human health to the effects of extreme climate events.
The increase in WW could have a major impact on agriculture and food security in Côte d'Ivoire. [63] showed that the compound events had a negative impact on agriculture (wheat and maize production) in China.

4. Conclusions

This study contributes to the study of climatic events, in particular, an initiative to characterize the occurrence of compound extreme events (i.e., dry/warm (DW) and wet/warm (WW)) modes in Côte d'Ivoire under future climates.
This study, carried out with fourteen (14) CORDEX Africa simulations, has made it possible to characterize the compound events (DW and WW) as well as their future evolution under the greenhouse gas emission scenario (RCP4.5 and RCP8.5) over West Africa, and specifically over Côte d'Ivoire.
The overall average of the models showed a decrease in precipitation and an increase in temperature (maximum, minimum, and average) from south to north of the country in the near and far future periods.
The analysis of historical CORDEX simulations data showed a significant increase in the occurrence of compound events in the present climate conditions.
According to the multi-model ensemble, the frequency of compound events will increase in the near future (2036-2065) and far future (2071-2100) in JFM. While, in the AMJ, JAS and OND seasons, DWs will decrease (~ -0,076 for NF and ~ -0,399 for FF), while WWs will increase (~ 0,605 for NF and ~ 0,620 for FF).
This increase in compound events will have a negative impact on agriculture, and therefore on the economy of an agricultural country like Côte d’Ivoire. Irrigation could therefore be an aid to an adaptation strategy to protect the agricultural sector.
The results of this study could also help to increase the resilience of certain human activities in West Africa to climate change, especially in Côte d'Ivoire, a country where agriculture is the main activity and source of income for most of the population.
In short, it is undeniable that this work needs to be taken further in order to improve studies of the impact of compound events on human activities such as agriculture in West Africa in a context of climate change.

Author Contributions

Elisée Yapo AKOBE, conducted the research under the supervision of both Arona DIEDHIOU and Adama DIAWARA. Methodology and preparation of the original version: Elisée Yapo AKOBE, Arona DIEDHIOU and Adama DIAWARA. All co-authors participated to the discussions on results and the drafting of this manuscript.

Funding

This research was supported by the Institut de Recherche pour le Développement (IRD), France (UMR IGE Imputation, grant no. 252RA5).

Data Availability Statement

Data from these simulations are available free of charge on request by e-mail to the corresponding authors.

Acknowledgments

We would like to thank the CORDEX-AFRICA coordinators and the Centre national de calcul de Côte d'Ivoire (CNCCI) at the Université Félix Houphouet Boigny (UFHB) for providing the computing power used to carry out the simulations in this work. The authors also thank the Institute of Research for Development (IRD, France) and the Laboratoire Mixte International NEXUS (LMI-NEXUS) (Abidjan, Côte d’Ivoire).

Conflicts of Interest

The authors declare no potential conflict of interest.

References

  1. Soubeyroux, Schneider, G O. Recensement des vagues de chaleur en france à contexte de changement climatiquE. 2015;615–20.
  2. Wagner V, Aymeric U, Calmet C, Mathild P. Évolution des vagues de chaleur et de la mortalité associée en france, 2004-2014. Bull Epidémiol Hebd. 2018;2018;(16-1:16-17/2018_16-17_1.html.
  3. Poumadère, Marc, Mays, Claire, Mer L, Sophie, et al. The 2003 heat wave in France: Dangerous climate change here and now. Risk Anal. 2005;25(6):1483–94. [CrossRef]
  4. Barriopedro, D. The Hot Summer of 2010 : Redrawing the Temperature Record Map of Europe. 2011;220(2011). [CrossRef]
  5. Matsueda, M. Predictability of Euro - Russian blocking in summer of 2010. 2011;38(February):1–6. [CrossRef]
  6. Kouassi, Koffi Fernand Kouamé, Yao Blaise Koffi, Kouakou Bernard Dje JEP et SO. « Analyse de la variabilité climatique et de ses influences sur les régimes pluviométriques saisonniers en Afrique de l’Ouest : cas du bassin versant du N’zi (Bandama) en Côte d’Ivoire », Cybergeo: European Journal of Geography [En ligne], Environnement,.
  7. Sarr B, Kafando L. Identification des risques climatiques de la culture du maïs au Burkina Faso. 2011;5(August):1659–75. [CrossRef]
  8. Ringard J, Dieppois B, Rome S, Diedhiou A, Pellarin T, Konaré A, et al. The intensification of thermal extremes in west Africa. Glob Planet Change. 2016;139:66–77. [CrossRef]
  9. Kabe AD, Tellro N, Dadoum M. Variabilité pluviométrique et activités socio-économiques des pasteurs et agropasteurs de la partie Tchadienne du bassin du Lac-Tchad à Bol Résumé. 2019;15(6):67–79.
  10. Yapo ALM, Diawara A, Yoroba F, Kouassi BK, Sylla MB, Kouadio K, et al. Twenty-First Century Projected Changes in Extreme Temperature over Côte d’Ivoire (West Africa). Int J Geophys. 2019;2019(May 2013). [CrossRef]
  11. Herold J, Eamus D, Liu G, Liu H, Yin Y, Basconcillo J, et al. Projected changes in the frequency of climate extremes over southeast Australia Projected changes in the frequency of climate extremes over southeast Australia. 2021;0–9.
  12. Gissing A, Timms M, Browning S, Crompton R. Compound natural disasters in Australia : a historical analysis. Environ Hazards [Internet]. 2021;0(0):1–15. Available from. [CrossRef]
  13. Ridder, N. N. , Pitman, A. J., & Ukkola AM. Do CMIP6 Climate Models Simulate Global or Regional Compound Events Skillfully ? Geophysical Research Letters, 48, e2020GL091152. 2021;1–11. [CrossRef]
  14. Zscheischler, J. , Westra, S., Van Den Hurk, B. J. J. M., Seneviratne, S. I., Ward, P. J., Pitman, A., Aghakouchak, A., Bresch, D. N., Leonard, M., Wahl, T., & Zhang X. Future climate risk from compound events. Nature Climate Change, 8(6), 469-477. 2018. [CrossRef]
  15. Lu Y, Hu H, Li C, Tian F. Increasing compound events of extreme hot and dry days during growing seasons of wheat and maize in China. Sci Rep [Internet]. 2018;8(1):1–8. Available from. [CrossRef]
  16. Overpeck J. T. et Al. The challenge of hot drought. 2013.
  17. Leonard, M. , Westra, S., Phatak, A., Lambert, M.F., van den Hurk, B., Mcinnes, K., Risbey, J., Stafford-Smith M (2014). “A compound event framework for understanding extreme impacts”, Wiley Interdisciplinary Reviews: Climate Change 5 (1) PP. 113 – 128. 2014;5:113–28. [CrossRef]
  18. Mazdiyasni O, AghaKouchak A. Substantial increase in concurrent droughts and heatwaves in the United States. Proc Natl Acad Sci U S A. 2015;112(37):11484–9. [CrossRef]
  19. Hao, Z. Compound events and associated impacts in China. iScience [Internet]. 2022;25(8):104689. Available from. [CrossRef]
  20. Dinku T, Ceccato P, Grover-Kopec E, Lemma M, Connor SJ, Ropelewski CF. Validation of satellite rainfall products over East Africa’s complex topography. Int J Remote Sens. 2007;28(7):1503–26. [CrossRef]
  21. Diba I, Camara M, Sarr AB, Basse J. Caractérisation des extrêmes composés de précipitation et de température au Sénégal : climat présent et futur. 2021;(January).
  22. Yoroba F, Kouassi BK, Diawara A, Yapo LAM, Kouadio K, Tiemoko DT, et al. Evaluation of Rainfall and Temperature Conditions for a Perennial Crop in Tropical Wetland: A Case Study of Cocoa in Côte d’Ivoire. Adv Meteorol. 2019;2019. [CrossRef]
  23. Morán-Tejeda E, López-Moreno JI, Beniston M. The changing roles of temperature and precipitation on snowpack variability in Switzerland as a function of altitude. Geophys Res Lett. 2013;40(10):2131–6. [CrossRef]
  24. Ionita M CD and N V. Compound Hot and Dry Events in Europe: Variability and Large-Scale Drivers. Front. Clim. 3:688991. 2021;3(June). [CrossRef]
  25. Otero et al. . Characterizing renewable energy compound events across Europe using a logistic regression-based approach. 2022;(July):1–15.
  26. Vyshkvarkova, E.; Sukhonos O. Compound Extremes of Air Temperature and Precipitation in Eastern Europe. Climate 2022, 10, 133. https://doi.org/10.3390/cli10090133. Routledge Hist Emot Mod World. 2022;139–53. [CrossRef]
  27. Sharma S, Mujumdar P. Increasing frequency and spatial extent of concurrent meteorological droughts and heatwaves in India. Sci Rep [Internet]. 2017;(November):1–9. [CrossRef]
  28. Zhou et al. Projected increases in intensity , frequency , and terrestrial carbon costs of compound drought and aridity events. 2019;(January):1–9.
  29. Wu X, Hao Z, Hao F, Li C, Zhang X. Spatial and Temporal Variations of Compound Droughts and Hot Extremes in China. 2019;5–8. [CrossRef]
  30. Wu et al. Projected increase in compound dry and hot events over global land areas. 2020;(September 2019):1–11.
  31. Wu J, Chen Y, Liao Z, Gao X, Zhai P, Hu Y. Increasing risk from landfalling tropical cyclone- heatwave compound events to coastal and inland OPEN ACCESS Increasing risk from landfalling tropical cyclone-heatwave compound events to coastal and inland China. 2022.
  32. Tang Z, Yang T, Lin X, Li X, Cao R LW. Future changes in the risk of compound hot and dry events over China estimated with two large ensembles. PLoS ONE 17(3): e0264980. 2022;1–13. Available from. [CrossRef]
  33. Wang C, Li Z, Chen Y, Li Y, Liu X, Hou Y, et al. Increased Compound Droughts and Heatwaves in a Double Pack in Central Asia. 2022;1–19.
  34. Collazo S, Barrucand M, Rusticucci M. Hot and dry compound events in South America: present climate and future projections, and their association with the Pacific Ocean. Nat Hazards [Internet]. 2023;119(1):299–323. Available from. [CrossRef]
  35. Alizadeh MR, Adamowski J, Nikoo MR, AghaKouchak A, Dennison P, Sadegh M. A century of observations reveals increasing likelihood of continental-scale compound dry-hot extremes. Sci Adv. 2020;6(39):1–11. [CrossRef]
  36. Brazda S, Šraj M. Classification of Floods in Europe and North America with Focus on Compound Events. 2022. [CrossRef]
  37. Olmo ME, Weber T, Teichmann C, Bettolli ML. Compound Events in South America Using the CORDEX-CORE Ensemble: Current Climate Conditions and Future Projections in a Global Warming Scenario. J Geophys Res Atmos. 2022;127(21). [CrossRef]
  38. Zscheischler J, Lehner F. Attributing Compound Events to Anthropogenic Climate Change. Bull Am Meteorol Soc. 2022;103(3):E936–53. [CrossRef]
  39. Sillmann J, Thorarinsdottir T, Keenlyside N, Schaller N, Alexander L V, Hegerl G, et al. Understanding, modeling and predicting weather and climate extremes : Challenges and opportunities. Weather Clim Extrem [Internet]. 2017;18(November):65–74. Available from. [CrossRef]
  40. Kouadio Y, Ali K, Zahiri E-P, Assamoi A. Etude de la prédictibilité de la pluviométrie en Côte d’Ivoire durant la période de Juillet à Septembre. Rev Ivoirienne des Sci Technol. 2007;10(June 2014):117–34.
  41. Giorgi F, Gutowski WJ. Regional Dynamical Downscaling and the CORDEX Initiative. Annu Rev Environ Resour. 2015;40(July):467–90. [CrossRef]
  42. Giorgi F, Jones C, Asrar GR. Addressing climate information needs at the regional level : the CORDEX framework. 2009;(May).
  43. Nikulin G, Meteorological S, Asrar G, Northwest P, Cerezo-mota R. Precipitation Climatology in an Ensemble of CORDEX-Africa Regional Climate Simulations. 2012;(January 2015). [CrossRef]
  44. Camara et al. Analyse de la pluie simulée par les modè-les climatiques régionaux de CORDEX en Afrique de l’Ouest. 2013.
  45. Giorgi F, Gutowski WJ. Coordinated Experiments for Projections of Regional Climate Change. Curr Clim Chang Reports [Internet]. 2016;202–10. Available from. [CrossRef]
  46. Teichmann C, Eggert B, Elizalde A, Haensler A, Jacob D, Kumar P, et al. How does a regional climate model modify the projected climate change signal of the driving GCM: A study over different CORDEX regions using REMO. Atmosphere (Basel). 2013;4(2):214–36. [CrossRef]
  47. Dosio A, Panitz HJ, Schubert-Frisius M, Lüthi D. Dynamical downscaling of CMIP5 global circulation models over CORDEX-Africa with COSMO-CLM: evaluation over the present climate and analysis of the added value. Clim Dyn. 2015;44(9–10):2637–61. [CrossRef]
  48. Sylla MB, Giorgi F, Pal JS, Gibba P, Kebe I, Nikiema M. Projected changes in the annual cycle of high-intensity precipitation events over West Africa for the late twenty-first century. J Clim. 2015;28(16):6475–88. [CrossRef]
  49. Sylla MB, Elguindi N, Giorgi F, Wisser D. Projected robust shift of climate zones over West Africa in response to anthropogenic climate change for the late 21st century. Clim Change. 2016;134(1–2):241–53. [CrossRef]
  50. Yapo Assi Louis Martial. Pour obtenir le grade de DOCTEUR DE L ’ UNIVERSITE Félix HOUPHOUET -BOIGNY Mention : PHYSIQUE Spécialité : Physique de l ’ Atmosphère Présentée par Impacts du Changement Climatique sur la Fré quence et l ’ Intensité des Evènements Extrêmes en C ôte d ’ Iv. 2021.
  51. Moss RH, Edmonds JA, Hibbard KA, Manning MR, Rose SK, Van Vuuren DP, et al. The next generation of scenarios for climate change research and assessment. Nature [Internet]. 2010;463(7282):747–56. Available from. [CrossRef]
  52. van Vuuren DP, Edmonds J, Kainuma M, Riahi K, Thomson A, Hibbard K, et al. The representative concentration pathways: An overview. Clim Change. 2011;109(1):5–31. [CrossRef]
  53. Schuhen, N., Sillmann, J., Cattiaux J. EGU23-13562_presentation_SCHULEN 2023. 2023. p. 24–28.
  54. Leonard M, Westra S, Phatak A, Lambert M, van den Hurk B, Mcinnes K, et al. A compound event framework for understanding extreme impacts. Wiley Interdiscip Rev Clim Chang. 2014;5(1):113–28. [CrossRef]
  55. Beniston M, Diaz HF. The 2003 heat wave as an example of summers in a greenhouse climate? Observations and climate model simulations for Basel, Switzerland. 2004;44:73–81. [CrossRef]
  56. Hao Z, Aghakouchak A, Phillips TJ. Changes in concurrent monthly precipitation and temperature extremes. Environ Res Lett. 2013;8(3). [CrossRef]
  57. Diba I, Diedhiou A, Famien AM, Camara M, Fotso-Nguemo TC. Changes in compound extremes of rainfall and temperature over West Africa using CMIP5 simulations. Environ Res Commun. 2022;4(10):0–12. [CrossRef]
  58. Hao Z, Singh VP, Hao F. Compound extremes in hydroclimatology: A review. Water (Switzerland). 2018;10(6):16–21. [CrossRef]
  59. Yapo ALM. Impacts du Changement Climatique sur la Fréquence et l’Intensité des Evènements Extrêmes en Côte d’Ivoire. Thèse Dr en Phys. 2021;Université:230.
  60. Zscheischler J, Seneviratne SI. Dependence of drivers affects risks associated with compound events. Sci Adv. 2017;3(6).
  61. Sarhadi A, Ausín MC, Wiper MP, Touma D, Diffenbaugh NS. Multidimensional risk in a nonstationary climate: Joint probability of increasingly severe warm and dry conditions. Sci Adv. 2018;4(11). [CrossRef]
  62. Manning C, Widmann M, Bevacqua E, Van Loon AF, Maraun D, Vrac M. Increased probability of compound long-duration dry and hot events in Europe during summer (1950-2013). Environ Res Lett. 2019;14(9). [CrossRef]
  63. You Lu, Hongchang Hu CL& FT. Increasing compound events of extreme hot and dry days during growing seasons of wheat and maize in China. Sci Rep [Internet]. 2018;(October):1–8. Available from. [CrossRef]
Figure 2. Annual cycle of the mean temperature (a, c, e) and mean precipitation (b, d, f) over the historical period 1976-2005 (black), the near future period 2036-2065 (blue) and the far future period 2071-2100 (red) for the different zones (south, center and north) under the RCP8.5 scenario.
Figure 2. Annual cycle of the mean temperature (a, c, e) and mean precipitation (b, d, f) over the historical period 1976-2005 (black), the near future period 2036-2065 (blue) and the far future period 2071-2100 (red) for the different zones (south, center and north) under the RCP8.5 scenario.
Preprints 117029 g002
Figure 3. Projection of the mean precipitation (mm/day) during the JFM season (January to March) for the historical period 1986-2005 (HIST in blue), the near future 2036-2065 (NF in green), and the far future 2071-2100 (FF in red) in the south, center and north of Côte d'Ivoire for the ensemble mean of all models.
Figure 3. Projection of the mean precipitation (mm/day) during the JFM season (January to March) for the historical period 1986-2005 (HIST in blue), the near future 2036-2065 (NF in green), and the far future 2071-2100 (FF in red) in the south, center and north of Côte d'Ivoire for the ensemble mean of all models.
Preprints 117029 g003
Figure 4. Projections of the maximum (a), minimum (b) and mean (c) temperatures (°C) during the JFM season (January-March) for the historical period 1976-2005 (His in blue), the near future 2036-2065 (NF in green) and the far future 2071-2100 (FF in red) in the south, center and north of Côte d'Ivoire for the ensemble mean of all models.
Figure 4. Projections of the maximum (a), minimum (b) and mean (c) temperatures (°C) during the JFM season (January-March) for the historical period 1976-2005 (His in blue), the near future 2036-2065 (NF in green) and the far future 2071-2100 (FF in red) in the south, center and north of Côte d'Ivoire for the ensemble mean of all models.
Preprints 117029 g004
Figure 5. Inter-seasonal boxplots of the total number of compound dry/warm (left) and wet/warm (right) modes during the JFM, AMJ, JAS, OND seasons over the historical period 1976-2005 and future periods (2036-2065 and 2071-2100) for the ensemble mean of the CORDEX-Africa models.
Figure 5. Inter-seasonal boxplots of the total number of compound dry/warm (left) and wet/warm (right) modes during the JFM, AMJ, JAS, OND seasons over the historical period 1976-2005 and future periods (2036-2065 and 2071-2100) for the ensemble mean of the CORDEX-Africa models.
Preprints 117029 g005
Figure 6. Inter-seasonal and sub-regional boxplots of the total number of compound dry/warm (left) and wet/warm (right) modes during the FM, AMJ, JAS, OND seasons over the historical period 1976-2005 and future periods (2036-2065 and 2071-2100) for the ensemble mean of the CORDEX-Africa models.
Figure 6. Inter-seasonal and sub-regional boxplots of the total number of compound dry/warm (left) and wet/warm (right) modes during the FM, AMJ, JAS, OND seasons over the historical period 1976-2005 and future periods (2036-2065 and 2071-2100) for the ensemble mean of the CORDEX-Africa models.
Preprints 117029 g006
Figure 7. Changes in the occurrence (%) of the compound extreme dry/warm (a, c) and wet/warm (b, d) during January-March (JFM) season in the near (2036-2065) and far (2071-2100) futures under RCP8.5 scenario.
Figure 7. Changes in the occurrence (%) of the compound extreme dry/warm (a, c) and wet/warm (b, d) during January-March (JFM) season in the near (2036-2065) and far (2071-2100) futures under RCP8.5 scenario.
Preprints 117029 g007
Table 1. List of the 14 CORDEX-Africa phase 2 simulations used in this study.
Table 1. List of the 14 CORDEX-Africa phase 2 simulations used in this study.
RCMs GCMs RCPs Status

SMHI-RCA4
CLMcom-CCLM4-8-17
DMI-HIRHAM5
KNMI-RACMO22E
CCCma-CanRCM4
MPI-CSC-REMO2009
CNRM-ALADIN52
BCCR-WRF331
CanESM2
CNRM-CM5
ES-EARTH-r12
IPSL-CM5A-MR
MPI-ESM-LR
ES-EARTH-r12
HadGEM2-ES
CNRM-CM5
EC-EARTH-r3
EC-EARTH-r1
CanESM2
MPI-ESM-LR
CNRM-CM5
NorESM1-M
4.5 ; 8.5
4.5 ; 8.5
4.5 ; 8.5
4.5 ; 8.5
4.5 ; 8.5
4.5 ; 8.5
4.5 ; 8.5
4.5 ; 8.5
4.5 ; 8.5
4.5 ; 8.5
4.5 ; 8.5
4.5 ; 8.5
4.5 ; 8.5
4.5 ; 8.5
ESGF

ESGF
ESGF
ESGF
CCCMA ftp
RCM group
RCM group (not all vars)
RCM group
Disclaimer/Publisher’s Note: The statements, opinions and data contained in all publications are solely those of the individual author(s) and contributor(s) and not of MDPI and/or the editor(s). MDPI and/or the editor(s) disclaim responsibility for any injury to people or property resulting from any ideas, methods, instructions or products referred to in the content.
Copyright: This open access article is published under a Creative Commons CC BY 4.0 license, which permit the free download, distribution, and reuse, provided that the author and preprint are cited in any reuse.
Prerpints.org logo

Preprints.org is a free preprint server supported by MDPI in Basel, Switzerland.

Subscribe

Disclaimer

Terms of Use

Privacy Policy

Privacy Settings

© 2026 MDPI (Basel, Switzerland) unless otherwise stated