1. Introduction
Amidst the escalating climate crisis, the need for efficient transport systems has become paramount. Achieving efficient transport necessitates not only more sustainable modes but also a multimodal approach in transport planning. To address this need, the concept of mobility hub (MH) has recently emerged [
1,
2]. MH refers to a place in the transport system that offers integrated access to diverse forms of transportation, such as interchanging multimodal public transport lines, pedestrian and bicycle pathways, and shared-mobility modes, all complemented by high-quality facilities designed to improve user experience and attract new users [
3]. MHs are increasingly becoming a popular transport strategy to promote sustainable travel choices. For instance, findings from an MH implemented in Munich, Germany, revealed a 20% increase in car-sharing users combining trips with public transport, and 26% of the bike-sharing users reported using public transport more frequently [
1]. Research has intensified recently to develop various types of MHs and finding their appropriate siting locations to avoid one-size-fits-all approach. Often these typologies are derived based on either different combination of travel modes (e.g., bus-train, train-tram, shared scooters-shared bikes) [
1,
4] or subjective classification of urban context (e.g., city centre, suburb) [
5,
6]. However, these studies rarely consider how the underlying land use patterns of the derived typologies or the siting locations of MHs affect their performance.
Land use is a significant predictor of travel behaviour [
7,
8,
9]. The effects of land use vary between different travel modes. These effects have been evaluated for various modes of transport separately, including bus, tram, train [
8,
10], bicycle [
11], walking, and shared e-scooters [
12]. Research shows that land use mix, residential, employment and intersection densities are positively correlated with transit usage [
13], walking time [
14], and negatively associated with car ownership [
15]. However, little is known how they affect the performance of an MH where many of these travel modes are jointly present and how such effects vary between different types of MH. This paper addresses this gap in the literature by exploring how land use patterns affect the performance of different types of MH. This understanding will form the basis for MH supportive land use planning in cities. The two research questions that this study aims to answer are:
RQ1: What types of mobility hubs produce more sustainable behavioural outcomes, and how do these outcomes vary across different contexts?
RQ2: What land use patterns are most supportive of enhancing sustainable travel behaviour across different types of mobility hubs?
The structure of the paper is organized as follows:
Section 2 presents a literature review on the typologies of mobility hubs (MHs) and their site selection methods.
Section 3 describes the methodology used to address the two research questions.
Section 4 presents the results, followed by a discussion and conclusions in
Section 5.
2. Literature Review
Mobility hubs are integral to the development of sustainable urban transportation systems. They are designed to facilitate seamless integration of various transport modes, improve accessibility, and enhance urban liveability [
3,
16]. Consideration of land use in MH research is mainly reflected in the development of their typologies and the identification of sitting locations, as synthesized below:
2.1. Classification of Mobility Hubs
Researchers attempted to classify MHs enabling structured understanding of the phenomenon and offering a basis for comparison [
2,
5,
6]. Typology also helps in designing targeted interventions and policies that address specific categories or types [
1,
17]. Nevertheless, the literature on the typologies of MHs is very divergent in opinion as generated from different contexts. For example, Enbel-Yan and Leonard [
2] identified six types of MHs in the Greater Toronto and Hamilton area in Canada: City Centres, Urban Transit Nodes, Emerging Urban Growth Centres, Historic Suburban Town Centres, Suburban Transit Nodes, and Unique Destinations. These typological classes lack focus as they are based on either the types of transit nodes or urban contexts. These inconsistencies are addressed in a typological framework proposed by Weustenenk and Mingardo [
5], which is based purely on the subjective classification of urban context and includes Community, Neighbourhood, Suburban, City District, City Edge and City Centre MHs. The MH classes between the studies differ not only in their names but also in their classification methods, making it challenging for researchers to study the effects of underlying land use patterns and for policy makers to design effective intervention strategies.
The diverse typological classes identified in various studies can be attributed to differences in methodology. As input factors for typology development, Enbel-Yan and Leonard [
2] used both transport and land use indicators (development potential, density, mix of uses). Weustenenk and Mingardo [
5] used urban contexts as an input to the typology development together with available facilities (e.g., free car park). None of these studies, however, sought community feedback to the typology development. Geurs [
6] have shown that how public participation can be used as an input to the classification of shared MHs.
It is clear from the review that there is no consistent approach to MH typology development. Nonetheless, certain typological classes are common across the studies, forming the basis for our investigation. These include the location within a city and the transport modes connected to an MH.
2.2. Site selection Methods for Mobility Hubs
The performance of MHs is largely determined by the urban context in which they are located – specifically, how well a MH site connects with the broader transport network, as well as with local land use patterns and the socio-demographics of the people it serves [
18]. A few studies have attempted to develop methodologies to inform suitable sitting locations for a MH considering factors like constructability and economic potential [
19] and public interest [
16]. However, rarely these studies have taken into account the effects of underlying land use patterns.
Most studies on site selection methods for MHs adopted multicriteria approaches. For example, Blad [
20] used a combination of GIS Multi-Criteria Analysis (MCA) and Multi-Actor Multi-Criteria Analysis (MAMCA) to identify suitable locations for regional shared mobility hubs in the Netherlands, incorporating criteria such as potential transit patronage, implementation costs, and societal impact. Pimenta [
21] also proposed a GIS-based multicriteria method to select train stations to be expanded as MHs in Melbourne, Australia, considering employment and population densities, MH access times, income and integration of public transport modes. Furthermore, Saw and Kataria [
19] applied a multi-criteria approach to evaluate potential intermodal MH sites in Bengaluru, India, assessing factors like transit operations, connectivity, economic development, and constructability. Finally, Aydin [
16] used an integrated fuzzy multi-criteria decision-making methodology in Istanbul to select the best MH locations, considering public interest, structural suitability, demographic patterns, and accessibility.
Other studies have adopted network optimization techniques to select optimal locations for MHs. For example, Alumur [
22] proposed a linear mixed-integer programming model to optimize location and allocation decisions based on transportation costs and travel times. Furthermore, Tran and Draeger [
23] used network science and urban data analytics to spatially locate hubs and calculate performance metrics such as capacity, multimodal availability, and travel times.
A few studies have emphasised the importance of land use, points of interest (POIs), and socio-demographics on site selection for MHs. For instance, Michel [
24], through a systematic literature review, emphasized population density as the most critical factor for MH usage, followed by employment density, public transport availability, recreation POIs, and household income. The study also noted that geographic factors like slope negatively impact MH usage. Frank [
25] created a decision-support tool for rural decision-makers to locate MHs, focusing on improving accessibility to POIs by maximizing the share of POI categories accessible within a specific travel time threshold. Their model also considered workplace accessibility by optimizing travel time ratios between car and intermodal travel for rural commuters. Lastly, Arias-Molinares [
4] developed a methodology to identify potential MH locations in Madrid, Spain, based on micromobility service ridership, using principal component analysis to identify ridership hotspots as potential sites. Their findings revealed that income, age, POIs, cycling infrastructure and employment types are important determinants of shared micromobility ridership and, consequently, the location of MHs.
Despite some studies used underlying land use patterns for the selection of MH sites, how these land uses affect the sustainability performance of mobility hub is less studied in the literature. Often, a narrow view is applied when evaluating performance (e.g., micromobility ridership), leaving out a comprehensive assessment of MHs.
3. Materials and Methods
3.1. Case Study Background
To empirically test the effects of land use patterns on the performance of different types of MHs, this study uses data from the Greater Melbourne Area (GMA) in Victoria, Australia. The Victorian Government forecasts that the GMA will experience a rapid population growth from 4.9 million in 2021 [
26] to 9 million in 2056 [
27]. To promote sustainable travel behaviour of this growing population, MH has been adapted as a key policy response by the government to be realised across key transit nodes and activity centres [
28].
As illustrated in
Figure 1, the current public transportation system in the GMA encompasses a 250km double-track light-rail system, the world’s largest tram network with 24 tram lines and 1630 tram stops, as well as 16 metropolitan train lines connecting 222 train stations, and 362 bus routes [
29]. Policies are in place to enhance multimodality by integrating all train stations in the GMA with tram and/or bus services, intended to “support the development of a network of activity centres linked by transport” [
28]. All of the 16 train lines in the GMA radially converge to Melbourne’s Central Business District (CBD). The CBD area is feature by five train stations operating as a city loop, interconnecting with all the radial rail lines. Additionally, there are 14 train stations located within inner Melbourne area (located just outside of the CBD), serving as interchanges between at least two lines. 16 train stations within the GMA are connected with the regional Vline services, linking Melbourne to various destinations across Victoria and beyond [
30].
Multimodality of the stations is also enhanced by integrating free park-and-ride comprising of 18,000 parking spaces and shared mobility services [
31]. 40 stations within the GMA provide free bike park-and-ride facilities [
32]. Recent reports show that there are 600 car share spaces [
33], 1,500 shared e-scooters [
34] and dockless shared bikes facilities located in close proximity of the stations within the CBD and surrounding areas. These shared e-scooters have been on trial in Melbourne since 2022. However, the City of Melbourne council has recently passed a bill to ban shared e-scooters within its jurisdiction
1. Melbourne’s docking Bike Share systems ceased operation in November 2019 [
35]. These high concentrations of various transport modes make the GMA an ideal case for investigating MHs to address the research questions in this paper.
3.2. Developing Typologies of Mobility Hubs in the GMA
Six types of MHs are derived in this study informed by the literature as discussed in
Section 2.1 (
Figure 2). A train station is considered as the basis to denote if a SA1 (statistical area level 1) can be designated as a mobility hub in terms of deriving the underlying socio-demographic characteristics of the MHs. SA1 was chosen because it’s size (~400 people) is roughly equivalent to a neighbourhood precinct in Australia and it is the smallest census boundary for which census data are publicly available. Every train station in the GMA (222 in total) is considered a candidate for an MH. Mobility hub types are defined based on what other public transport services (tram and bus) are integrated with the train station, resulting in three classes (train-tram-bus, train-tram, train-bus). A 250-meter search radius was used from the train stations to locate the availability of other public transport services, which corresponds to a 2-minute transfer walking time [
36]. A standalone train station, without any integration with other public transport services, served as control for comparison of MH performance. The three types of MHs were further classified based on their urban context (City District and Suburb) [
5], resulting in six types of MHs in total (
Figure 2). The City District boundary is shown in
Figure 1, which incorporates both the Melbourne CBD and the surrounding suburbs. Any MH located outside of the boundary is denoted as Suburb MH featured by low quality pedestrian and cycling infrastructure, an absence of shared micromobility services, and an ample free parking spaces to facilitate park-and-ride options.
3.3. Deriving Land Use and Socio-Demographic Indicators of the MHs
Table 1 lists all variables included in this study, their derivation methods and data sources. To understand the effects of land use patterns on MH performance, we derived several indicators of land use patterns in this study based on the 5D concept proposed by Ewing and Cervero [
13]: density, diversity, design, destination accessibility and distance to transit. These indicators were deriving using a 400-meter (circular buffer) catchment from the train stations. We chose a 400-meter radius for two reasons: 1) it is a commonly adopted walking distance for accessing bus, tram, and train stations [
4,
45]; 2) this distance minimizes the overlap of catchment areas, as most train stations in Melbourne are spaced between 800 and 1800 meters apart [
46]. As we considered a fixed MH circular catchment area to extract the land use patterns, we did not include the “distance to transit” indicator in our analysis. Instead, we included a “Distance to the CBD” indicator, given the monocentric nature of urban structure in the GMA.
As indicated previously, we extracted various socio-demographic attributes of the localities (SA1s) within which the MHs are located (
Table 1). These attributes serve as controlling factors to understand the true effects of different land uses on the performance of different types of MHs.
3.4. Measuring the Performance of the MHs
Two types of indicators representing sustainable travel behaviour were used to measure the performance of MHs in this study: annual transit patronage and active mode share. As shown in
Table 1, these indicators respectively represent combined annual transit patronage by train, tram and bus (P
total) and the combined share of walking and cycling trips (S
active). The annual train (P
train) and tram patronages (P
tram) were gathered from secondary sources for the period of 2019 to avoid the effects of COVID-19 lockdown on transit patronage. Due to a lack of publicly available bus patronage (P
bus) data at the stop level, we estimated this indicator based on the shares of commute trips undertaken by bus (S
bus), train (S
train), and tram (S
tram), retrieved from the VISTA (Victorian Integrated Survey of Travel and Activity) data. The VISTA is an ongoing survey on household travel behaviour being conducted since 2012 [
39]. The VISTA data includes travel journeys with up to 10 legs. As we are interested in assessing the travel behaviour associated with each MH location, and since public transport trips normally involve an access trip by another mode of transport, we consider solely the first two legs of a trip journey starting in an SA1 within an MH catchment area. This approach allows us to focus on the initial segments of travel that are most relevant to the mobility hub context. We have used Equations 1a and 1b to derive bus patronage data for each MH:
where,
= share of train commuters,
= share of tram commuters,
= share of bus commuters,
= annual number of train patronage,
= annual number of tram patronage, and
= annual number of bus patronage.
37 of the 222 train stations were excluded from the analysis due to missing mode share and/or patronage data, resulting in a total of 185 analytical samples for MHs. The full list of MHs included in this study and their assigned typology are shown in
Appendix A.
3.5. Data analysis
3.5.1. Descriptive statistics
Descriptive statistics, including mean, range, and standard deviation were derived for the MH performance (dependent variable), land use (explanatory variables), and socio-demographic (controlling factors) indicators to understand the data distribution, identify outliers and verify linear regression assumptions (
Table 2). Notably, the annual transit patronage data for some MHs falls within a range that is three or more standard deviations away from the mean, indicating the presence of outliers [
47]. However, we found that these outliers were all attributed to train-tram-bus MH types located in Melbourne CBD. As a result, they are not an outlier but showing a specific pattern in data. In addition, we estimated the effects of land use patterns separately for each of the classes in the MH typology nullifying the effects of outliers.
3.5.2. Verification of Linear Regression Assumptions
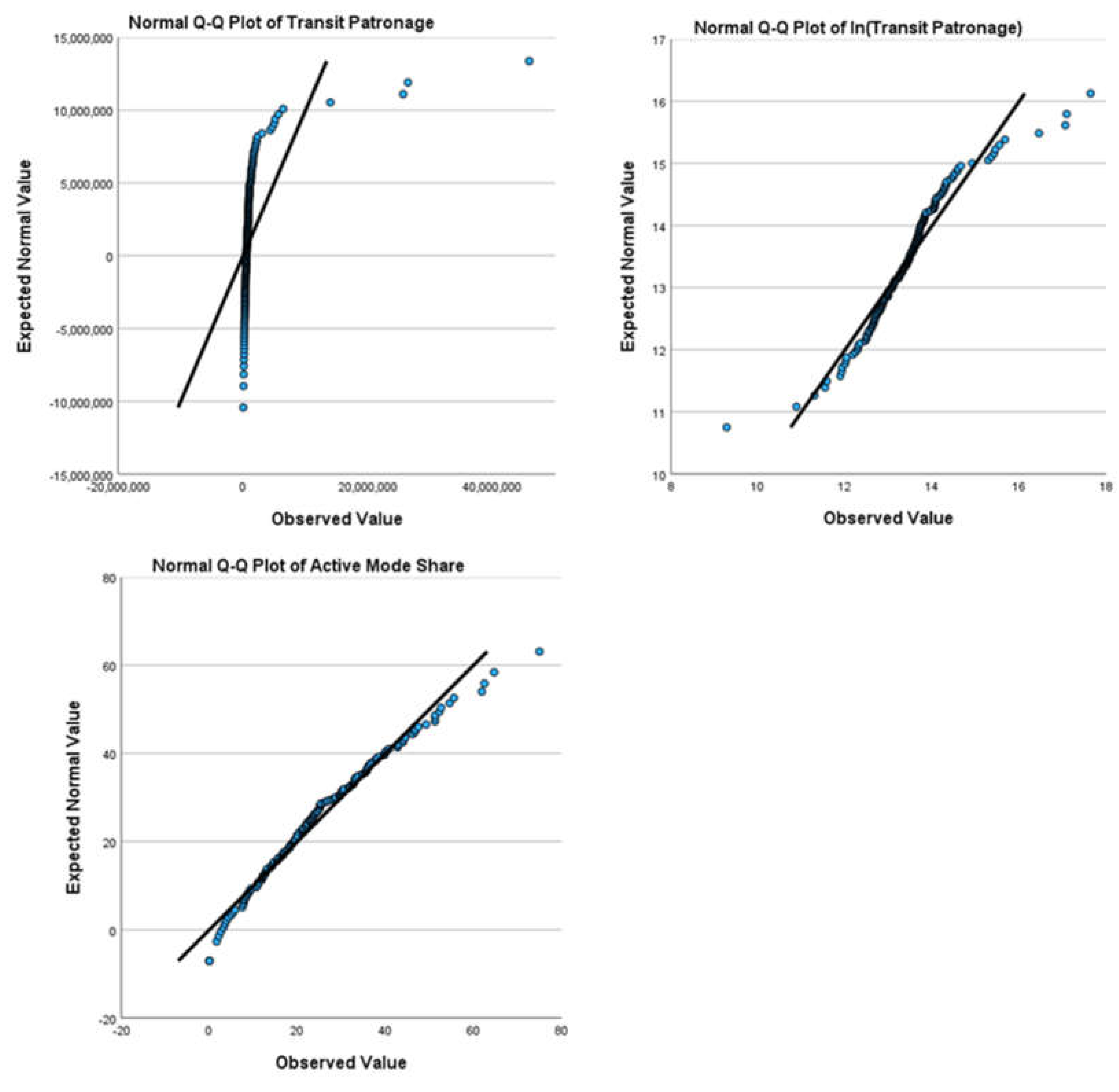
We assessed the normality of the dependent variables using Q-Q plots (
Appendix B). The active mode share exhibited a close fit to the normal distribution. However, the distribution of annual transit patronage was significantly skewed. To address this, we applied a natural logarithm transformation to the transit patronage data, which resulted in a distribution more closely aligned with normality. Consequently, the natural log of the annual transit patronage (ln(P
transit)), along with the active mode shares (S
active), are used as the outcome variables in our analysis. This logarithmic transformation also effectively reduced the variance in the transit patronage data, thereby mitigating the impact of outliers.
3.5.3. Multiple Linear Regression Analyses
Given that two outcome variables are conceptually closely related (i.e., an increase in transit mode share increases the use of active transport mode), which may potentially distort the findings. We have conducted a Pearson correlation test and found that these two outcome indicators are weakly correlated (r=0.16), suggesting the validity of applying multiple linear regression model instead of estimating a multivariate multiple regression model [
48]. We estimated a total of 14 multiple linear regression models to answer the two research questions as detailed below:
Model 1 – Effects of MHs on transit patronage: Model 1 estimates the effects of different types of MHs on transit patronage. The aim here is to understand if MHs really enhance the use of public transport services compared to a unimodal train station. The findings from this analysis provide evidence if the investments in MHs are justified, and if so, what types of MHs maximise the policy objectives of enhancing the use of sustainable modes of transport. As such, the transit patronage variable is regressed on the six types of MHs as an explanatory factor, controlling for other factors (land use, urban structure, and socio-demographics) in this model.
Model 2 – Effects of MHs on active transport model share: Similar to Model 1, except that this model used the share of active transport mode as the outcome variable.
Models 3-8 – Effects of land uses on the transit patronage of the six MH types: These models address the second research question of this study: ‘What land use patterns are most supportive of enhancing sustainable travel behaviour across different types of mobility hubs?’. As such, the analysis was conducted separately for each of the six types of MHs resulting in six different models. These models focus on transit patronage as the outcome variable which is regressed on the land use variable, controlling for socio-demographic factors.
Models 9-14 – Effects of land uses on the active mode share of the six MH types: Similar to Models 3-8, except that these models used the share of active transport mode as the outcome variable.
A four-step process was utilised to estimate all the models. First, a correlation analysis was conducted among the explanatory factors and any factors showing a high level of correlation (>0.7) were removed. Second, a simple (one-to-one) regression model was estimated for each outcome and each explanatory factors, and only the explanatory factors that showed statistical significance (at the 0.1 level) were subsequently processed. Third, all the significant factors from the second step were entered into a maximally adjusted model and the variables that showed statistical insignificance were gradually removed. Forth, multicollinearity among the remaining explanatory factors were checked using the variance inflation factor (VIF) and any variable showing a high level of multicollinearity (VIF>5) were gradually removed. These steps resulted in parsimonious models.
4. Results
Of the 185 train stations analyzed in this study, 168 stations (91%) were classified as mobility hubs (MHs) because they are spatially integrated with either tram, bus, or both services, while the remaining 17 were categorized as standalone train stations. Among the MHs, the most prevalent type was a train-bus MH located in a suburban setting (65% of the stations), whereas only 5 train-bus MHs exist in the city district. Twenty-seven stations were classified as train-tram-bus MHs, with 9 located in the city district and the remaining 18 in suburban areas. The classification resulted in 16 train-tram MHs, of which 11 were located in a suburban setting. The following sub-sections outline the performance of these mobility hubs and how they relate to their underlying land use patterns.
4.1. Performance of MH Types: Descriptive Analyses
Figure 3 and
Figure 4 present the distribution of mean annual transit patronage and active mode share, respectively, across all MH types, including the patronage and share observed in standalone train stations. As anticipated, MHs attract substantially more passengers than standalone train stations. Among the MHs, those connecting trains, trams, and buses exhibit the highest patronage levels, followed by train-tram, train-bus, and standalone train stations. City district MHs served by the same modes have higher average transit ridership compared to their suburban counterparts, except for train-tram MHs. Conversely, the average share of trips made by walking and cycling is consistently higher for all types of city district MHs compared to suburban MHs. This suggests that both the location of an MH within a city and the types of MHs affect travel behavior. The following subsections discuss their relative influence.
4.2. Performance of MH Types: Regression Analyses Results
Table 3 shows the estimated results from the multiple linear regression models outlining the performance of different types of mobility hubs in terms of their annual transit patronage (Model 1) and active mode share (Model 2). As explained in
Section 3.5.3, the final model output includes solely the statistically significant explanatory variables (ρ<0.1). The significance tests applied to the F-statistic revealed that both models are statistically significant. The adjusted R
2 values were 0.66 and 0.40 for Models 1 and 2, respectively, suggesting that the models are able to explain a reasonable level of variations in data.
Model 1 largely confirms the descriptive findings reported in
Section 4.1. It shows that, controlling for all other factors in the model, a train-tram-bus hub located in the city centre is likely to attract 279% (i.e., e
1.333-1) more passengers annually compared to a standalone train station. Similarly, a train-tram-bus hub located in suburb settings attracts 108% more patronage than a standalone train station. Model 1 also indicates that a mobility hub integrating train and tram in a suburban context attracts 123% more passenger compared to a standalone train station, whereas a train-bus mobility hub in the same context attracts 59% more passenger. No statistically significant differences were observed in the number of passengers attracted between a train-tram MH in the city district and a standalone train station, and between train-bus MH in the city district and a standalone train station, perhaps due to the low sample sizes of these MH types.
The impact of mobility hub typologies on active mode share shows a varied pattern. All three types of city district MHs are positively correlated with active travel, with stronger effects for train-bus (β = 16.848), followed by train-tram-bus (β = 11.399) and train-tram (β = 9.507) city district MHs. These coefficients in Model 2 indicate that, controlling for all other factors, the share of commute trips initiated by walking or cycling is 16.8%, 11.4%, and 9.5% higher, respectively, for individuals living near train-bus, train-tram-bus, and train-tram city district MHs compared to those living near a standalone train station. In contrast, the active mode share is not significantly different in any of the suburban MH type from a standalone train station. These findings suggest that MH types play a significant role in promoting active travel, particularly when located in or near the city centre. However, contextual differences also play a significant role in the performance suggesting that underlying land use patterns might have some influence in the behavioural differences observed.
4.3. Land use determinants of MH performances
Table 4 and
Table 5 present the results of the multiple linear regression models for the natural logarithmic of transit patronage and active mode share, respectively, across the six different MH types. Among the six types, the model representing train-tram MH in the city district (Model 5) was not found to be statistically significant, most likely due to the small sample size for this group (n = 5). The remaining models were statistically significant. The adjusted R
2 values varied from 0.16 to 0.89 with eight models showing an adjusted R
2 value of above 0.6 suggesting their strong explanatory powers. The following two sub-sections provide an interpretation of the findings reported in
Table 4 and
Table 5 respectively.
4.3.1. Land Use Determinants of Transit Patronage by MH Type
The results show that commercial area is a positive determinant of transit patronage for all suburban MH groups as well as for train-tram-bus city district MHs. The correlation is stronger for MHs with all three public transport modes, followed by train-tram and train-bus suburban MHs. Models 3, 4, 6 and 8 respectively show that a one hectare increase in commercial land within the catchment of train-tram-bus MH in the city district, train-tram-bus MH in a suburban area, train-tram MH in a suburban area, train-bus MH in a suburban area increases transit patronage by 7%, 9%, 5%, and 4% respectively. Employment density is also positively correlated with transit patronage, but only for the train-bus MH located in a suburban setting. Model 8 shows that one more job per hectare located within the catchment of a train-bus MH in a suburban area increases transit patronage by 4%. These findings suggest that commercial and employment centres are key components of transit use in suburban MHs and train-tram-bus MH in the city district. However, this association was not statistically significant for city district MHs with only two public transport modes. In addition, the stronger correlation between commercial area and transit use for MHs connected with three transit modes indicate that the enhanced accessibility and connectivity provided by the presence of multiple transit options tend to increase the role of commercial areas in boosting transit use. When all three modes are available, the MH becomes more convenient and reliable, which in turn attract more public transport users to access commercial zones.
In addition to commercial areas, the effects of POIs on transit use also vary across the different types of MHs. Model 3 shows that the presence of an additional cultural centre near a train-tram-bus city district MH is associated with a 52% (i.e., e0.421-1) increase in transit patronage. Furthermore, Model 8 indicates that the presence of an additional religious centre near train-bus suburban MH increases transit patronage by 13%. Conversely, Model 7 reveals that the addition of a care facility near train-bus city district MHs reduces transit patronage by 38%.
Table 5.
Determinants of active mode share by MH type (n = 168).
Table 5.
Determinants of active mode share by MH type (n = 168).
| Explanatory variables |
Dependent variable = Sactive (%) |
Model 9 TTB CD (n = 9) |
Model 10 TTB SB (n = 18) |
Model 11 TT CD (n = 5) |
Model 12 TT SB (n = 11) |
Model 13 TB CD (n = 5) |
Model 14 TB SB (n = 120) |
| β |
β |
β |
β
|
β |
β |
| Constant |
48.24** |
48.61** |
47.07** |
52.61** |
-71.68** |
35.30** |
| Land use and urban structure |
|
|
|
|
|
| Residential Density (persons/ha) |
|
|
|
|
|
0.23** |
| Intersection Density (intersections/ha) |
|
|
|
|
95.10** |
|
| Residential Area (ha) |
|
|
|
|
|
-0.32* |
| Commercial Area (ha) |
|
|
|
|
|
-0.56** |
| Industrial Area (ha) |
-56.74** |
|
-1.28** |
|
|
-0.54** |
| Parkland Area (ha) |
|
|
|
|
|
|
| Transport Area (ha) |
|
|
|
-29.62** |
|
|
| POI: # of Recreational/Sport Facility |
|
|
|
-27.77** |
|
|
| Distance to the CBD |
|
-2.50* |
|
-20.14** |
|
-0.20* |
| F |
15.30 |
4.12 |
16.18 |
28.09 |
11.01 |
7.50 |
| ρ > F |
0.006 |
0.059 |
0.028 |
0.000 |
0.045 |
0.000 |
| Adj R2 |
0.64 |
0.16 |
0.79 |
0.89 |
0.71 |
0.21 |
| **ρ<0.05, *ρ<0.1 |
|
|
|
|
4.3.2. Land Use Determinants of Active Mode Share by MH Type
The model results for active mode share reveal that the factors influencing active travel are not uniform across the different MH types. For instance, an increase of 10 persons per hectare in residential density is associated with an 2.3% increase in the share of commute trips initiated by walking or cycling near train-bus suburban MH type (Model 14), while an additional intersection per hectare leads to 95% increase in active mode share in city district MHs with train and bus (Model 13). Note that adding one more intersection would more than double the number of intersections per hectare, given that the study area currently features an average of 0.89 intersections per hectare (
Table 2). Conversely, distance to CBD, transport area (i.e., road and rail features) and the presence of recreational sport facilities are all negative determinants of active travel for suburban MHs with train and trams. Model 12 indicates that every additional kilometre in distance from the CBD is associated with a 20% reduction in active mode share for train-tram suburban MHs. In addition, an additional hectare of transport area near train-tram suburban MHs, which include the areas occupied by roads and rail infrastructure, reduces active mode share by 20%. This means that more compact MH facilities and less road spaces near MHs encourage commuting by walking or cycling.
Among city district MHs, industrial area is the only negative determinant of active mode share. Model 9 shows that a 1-hectare increase in industrial area within the catchment of a train-tram-bus MH in the city district reduces active mode share by 57%. Industrial lands also negatively affect the active mode share of suburban MHs, but the effects are much smaller. In contrast to the results for transit use, commercial area negatively affects active mode share in train-bus suburban MHs. Model 14 indicates that 10 additional hectares of commercial lands near train-bus suburban MHs reduce active mode share by 3.2%.
5. Discussion and Conclusion
This study examines the performance of three different types of mobility hubs (MHs)—train-tram-bus, train-tram, and train-bus—located in two different geographical contexts (city district and suburb), resulting in six unique types of MHs. Two types of performance indicators were examined of these MHs: total annual transit patronage of the hubs, which combines train, tram, and bus patronages where applicable; and the share of commute trips initiated by walking or cycling by the residents living within 400 metres of the MHs. A key contribution of this study is unveiling the unique land use features of these MHs that determine their performance.
The findings reported in this study show that how different transit modes are integrated into a hub and where these hubs are located (context) significantly influence their performance. For example, the results indicate that a train-tram-bus hub located in the city center attracts 279% more passengers, whereas the same type of hub located in suburban settings attracts 108% more patronage compared to a standalone train station. This difference clearly highlights the strong influence of the context in attracting transit patronage, given that both hub types offer a similar type of modal connections (train-tram-bus). Conversely, despite being located in a suburban setting, an integration of train and tram attracts far more passengers (123%) than an integration of train and bus (59%) compared to a standalone train station. These findings demonstrate the distinct effects of modal integration in attracting transit patronage. A similar effect of context and modal integration was observed for the active transport mode share. These findings suggest that both context and modal integration are important for enhancing the performance of MHs.
This study analysed a range of land use factors. However, only a few of these factors were found to have a unique influence on the performance of different types of MHs compared to standalone train stations. This finding indicates that many of the land use factors exert an equal influence on both MHs and standalone train stations. Two obvious examples are residential density and intersection. Ample studies have shown that these two land use factors positively affect transit ridership [
7,
13]. In this study, these factors were not found to be a significant predictor of transit patronage for any of the MH types, suggesting that their effects do not vary between a mobility hub and a standalone train station. Therefore, the generic recommendation of increasing residential density and intersection density should apply to all types of MHs.
The effects of commercial areas on transit patronage were found to be more pronounced across most MH types compared to standalone train stations. On the other hand, industrial areas negatively affect active transport use in many of the MH types across the contexts. These findings highlight the need to increase commercial spaces and decrease the size of industrial zones across different contexts and modal integration types to maximize transit patronage and active transport share, respectively. Apart from these generalized findings, specific land use patterns should be encouraged/discouraged in particular MH types to maximize their contextual and modal integration benefits. These land uses include:
Increasing employment density and the number of religious features for the train-bus hub in a suburban context
Increasing the number of cultural facilities for the train-tram-bus hub in the city district
Decreasing the number of care facilities for the train-bus hub in the city districts
The study findings also indicate that land use planning to maximise transit usage and active travel within different mobility hub typologies encompasses complex trade-offs. For example, while commercial areas increase transit patronage, they decrease active transport mode share in suburban settings. In suburban contexts, commercial areas are often designed with a focus on car accessibility rather than walking and cycling. These areas often include large shopping centres or retail parks that are typically surrounded by extensive parking lots, making them less conducive to walking or cycling.
The results of this study have important policy implications for urban planners and policymakers as it highlights the need to consider the unique characteristics of different MH typologies when planning/modelling transport and land use. Some policy recommendations are:
Introduce specific zoning regulations for each MH type to optimise sustainable travel behaviour.
Revise commercial area design requirements in suburban MHs to promote more accessible infrastructure for active travel, such as well-connected pedestrian pathways, protected bike lanes, and limited provision of free parking lots.
Enhance infrastructure for active travel in MHs surrounded by industrial zones.
Integrate train-bus MHs with the tram network to boost transit patronage and active travel.
While our findings provide valuable insights, there are limitations to consider. Firstly, the data used in this study contain limitations, such as the lack of bus patronage data per stop requiring indirect estimation, the absence of data on shared micromobility modes, the relatively small sample size for some MH groups, and the potential inaccuracies in mode share estimation using the VISTA dataset aggregated at SA1 spatial units rather than household units. Secondly, the study's local context assumes a monocentric urban environment, which may not be applicable to other urban settings. Polycentric urban environments may introduce new challenges to define MH typology that still need to be evaluated. Future research should address these limitations by incorporating additional modes in the analysis, such as car-sharing, bike-sharing, and shared e-scooters combined with transit and active modes. Furthermore, data-driven quantitative indicator thresholds are still needed to define MH typologies for multiple urban contexts.
Author Contributions
Conceptualization, A.P. and L.K.; methodology, A.P. and L.K.; software, A.P.; formal analysis, A.P.; writing—original draft preparation, A.P.; writing—review and editing, L.K.; supervision, L.K.; project administration, L.K.; funding acquisition, L.K. All authors have read and agreed to the published version of the manuscript.
Data Availability Statement
Some datasets are not available for public release (e.g., VISTA). Other datasets can be sourced from the cited references.
Conflicts of Interest
The authors declare no conflicts of interest.
Appendix A: Classification of the mobility hubs in the Greater Melbourne Area
| Train station |
Mobility hub type |
Train station |
Mobility hub type |
Train station |
Mobility hub type |
Train station |
Mobility hub type |
| Clifton Hill |
Train-tram-bus City District |
Canterbury |
Train-bus Suburban |
Macleod |
Train-bus Suburban |
Upper Ferntree Gully |
Train-bus Suburban |
| Flagstaff |
Train-tram-bus City District |
Carnegie |
Train-bus Suburban |
McKinnon |
Train-bus Suburban |
Upwey |
Train-bus Suburban |
| Flinders Street |
Train-tram-bus City District |
Carrum |
Train-bus Suburban |
Mentone |
Train-bus Suburban |
Watergardens |
Train-bus Suburban |
| Melbourne Central |
Train-tram-bus City District |
Chelsea |
Train-bus Suburban |
Merinda Park |
Train-bus Suburban |
Watsonia |
Train-bus Suburban |
| North Richmond |
Train-tram-bus City District |
Cheltenham |
Train-bus Suburban |
Merlynston |
Train-bus Suburban |
Wattle Glen |
Train-bus Suburban |
| Parliament |
Train-tram-bus City District |
Clayton |
Train-bus Suburban |
Mernda |
Train-bus Suburban |
Werribee |
Train-bus Suburban |
| Richmond |
Train-tram-bus City District |
Coburg |
Train-bus Suburban |
Middle Brighton |
Train-bus Suburban |
Westall |
Train-bus Suburban |
| Ripponlea |
Train-tram-bus City District |
Coolaroo |
Train-bus Suburban |
Middle Footscray |
Train-bus Suburban |
Westona |
Train-bus Suburban |
| Southern Cross |
Train-tram-bus City District |
Cranbourne |
Train-bus Suburban |
Middle Gorge |
Train-bus Suburban |
Williamstown Beach |
Train-bus Suburban |
| Anstey |
Train-tram-bus Suburban |
Croydon |
Train-bus Suburban |
Mitcham |
Train-bus Suburban |
Williamstown |
Train-bus Suburban |
| Armadale |
Train-tram-bus Suburban |
Dandenong |
Train-bus Suburban |
Mont Albert |
Train-bus Suburban |
Yarraville |
Train-bus Suburban |
| Batman |
Train-tram-bus Suburban |
Darebin |
Train-bus Suburban |
Moonee Ponds |
Train-bus Suburban |
Balaclava |
Train-tram City District |
| Box Hill |
Train-tram-bus Suburban |
Darling |
Train-bus Suburban |
Moorabbin |
Train-bus Suburban |
Burnley |
Train-tram City District |
| Brunswick |
Train-tram-bus Suburban |
Dennis |
Train-bus Suburban |
Mooroolbark |
Train-bus Suburban |
East Richmond |
Train-tram City District |
| Camberwell |
Train-tram-bus Suburban |
East Camberwell |
Train-bus Suburban |
Mordialloc |
Train-bus Suburban |
Flemington Bridge |
Train-tram City District |
| Caulfield |
Train-tram-bus Suburban |
East Malvern |
Train-bus Suburban |
Mount Waverley |
Train-bus Suburban |
Jolimont-MCG |
Train-tram City District |
| Elsternwick |
Train-tram-bus Suburban |
Edithvale |
Train-bus Suburban |
Murrumbeena |
Train-bus Suburban |
Croxton |
Train-tram Suburban |
| Essendon |
Train-tram-bus Suburban |
Eltham |
Train-bus Suburban |
Narre Warren |
Train-bus Suburban |
Gardiner |
Train-tram Suburban |
| Footscray |
Train-tram-bus Suburban |
Epping |
Train-bus Suburban |
Newport |
Train-bus Suburban |
Glenferrie |
Train-tram Suburban |
| Glen Iris |
Train-tram-bus Suburban |
Fairfield |
Train-bus Suburban |
Noble Park |
Train-bus Suburban |
Glenhuntly |
Train-tram Suburban |
| Hawthorn |
Train-tram-bus Suburban |
Ferntree Gully |
Train-bus Suburban |
North Brighton |
Train-bus Suburban |
Kooyong |
Train-tram Suburban |
| Jewell |
Train-tram-bus Suburban |
Frankston |
Train-bus Suburban |
North Williamstown |
Train-bus Suburban |
Malvern |
Train-tram Suburban |
| Moreland |
Train-tram-bus Suburban |
Gardenvale |
Train-bus Suburban |
Northcote |
Train-bus Suburban |
Newmarket |
Train-tram Suburban |
| Riversdale |
Train-tram-bus Suburban |
Ginifer |
Train-bus Suburban |
Oakleigh |
Train-bus Suburban |
Prahran |
Train-tram Suburban |
| Rushall |
Train-tram-bus Suburban |
Glen Waverley |
Train-bus Suburban |
Ormond |
Train-bus Suburban |
South Yarra |
Train-tram Suburban |
| Toorak |
Train-tram-bus Suburban |
Glenbervie |
Train-bus Suburban |
Parkdale |
Train-bus Suburban |
Thornbury |
Train-tram Suburban |
| Westgarth |
Train-tram-bus Suburban |
Glenroy |
Train-bus Suburban |
Pascoe Vale |
Train-bus Suburban |
Windsor |
Train-tram Suburban |
| Collingwood |
Train-bus City District |
Gowrie |
Train-bus Suburban |
Preston |
Train-bus Suburban |
Alamein |
Non-MH station |
| Kensington |
Train-bus City District |
Greensborough |
Train-bus Suburban |
Regent |
Train-bus Suburban |
Bonbeach |
Non-MH station |
| North Melbourne |
Train-bus City District |
Hampton |
Train-bus Suburban |
Ringwood East |
Train-bus Suburban |
Burwood |
Non-MH station |
| Victoria Park |
Train-bus City District |
Hawkstowe |
Train-bus Suburban |
Ringwood |
Train-bus Suburban |
Eaglemont |
Non-MH station |
| West Richmond |
Train-bus City District |
Heatherdale |
Train-bus Suburban |
Rosanna |
Train-bus Suburban |
Hartwell |
Non-MH station |
| Aircraft |
Train-bus Suburban |
Heathmont |
Train-bus Suburban |
Roxburgh Park |
Train-bus Suburban |
Hawksburn |
Non-MH station |
| Albion |
Train-bus Suburban |
Heidelberg |
Train-bus Suburban |
Ruthven |
Train-bus Suburban |
Heyington |
Non-MH station |
| Alphington |
Train-bus Suburban |
Highett |
Train-bus Suburban |
Sandringham |
Train-bus Suburban |
Leawarra |
Non-MH station |
| Altona |
Train-bus Suburban |
Holmesglen |
Train-bus Suburban |
Seaford |
Train-bus Suburban |
Merri |
Non-MH station |
| Ashburton |
Train-bus Suburban |
Hughesdale |
Train-bus Suburban |
Seaholme |
Train-bus Suburban |
Montmorency |
Non-MH station |
| Aspendale |
Train-bus Suburban |
Huntingdale |
Train-bus Suburban |
South Morang |
Train-bus Suburban |
Oak Park |
Non-MH station |
| Auburn |
Train-bus Suburban |
Hurstbridge |
Train-bus Suburban |
Springvale |
Train-bus Suburban |
Patterson |
Non-MH station |
| Beaconsfield |
Train-bus Suburban |
Ivanhoe |
Train-bus Suburban |
St Albans |
Train-bus Suburban |
Sandown Park |
Non-MH station |
| Belgrave |
Train-bus Suburban |
Jacana |
Train-bus Suburban |
Strathmore |
Train-bus Suburban |
Seddon |
Non-MH station |
| Bell |
Train-bus Suburban |
Kananook |
Train-bus Suburban |
Sunbury |
Train-bus Suburban |
Southland |
Non-MH station |
| Bentleigh |
Train-bus Suburban |
Keilor Plains |
Train-bus Suburban |
Surrey Hills |
Train-bus Suburban |
Spotswood |
Non-MH station |
| Berwick |
Train-bus Suburban |
Keon Park |
Train-bus Suburban |
Syndal |
Train-bus Suburban |
Willison |
Non-MH station |
| Blackburn |
Train-bus Suburban |
Laburnum |
Train-bus Suburban |
Tecoma |
Train-bus Suburban |
|
|
| Boronia |
Train-bus Suburban |
Lalor |
Train-bus Suburban |
Thomastown |
Train-bus Suburban |
|
|
| Broadmeadows |
Train-bus Suburban |
Laverton |
Train-bus Suburban |
Tooronga |
Train-bus Suburban |
|
|
Appendix B: Q-Q plots

References
- Miramontes, M., et al., Impacts of a multimodal mobility service on travel behavior and preferences: user insights from Munich’s first Mobility Station. Transportation, 2017. 44(6): p. 1325-1342. [CrossRef]
- Enbel-Yan, J. and A. Leonard, Mobility Hub Guidelines: Tools for Achieving Successful Station Areas. ITE journal, 2012. 82(1): p. 42-47.
- Arnold, T., et al., Mobility hubs: review and future research direction. Transportation Research Record, 2023. 2677(2): p. 858-868. [CrossRef]
- Arias-Molinares, D., et al., Exploring key spatial determinants for mobility hub placement based on micromobility ridership. Journal of Transport Geography, 2023. 110: p. 103621. [CrossRef]
- Weustenenk, A.G. and G. Mingardo, Towards a typology of mobility hubs. Journal of Transport Geography, 2023. 106: p. 103514. [CrossRef]
- Geurs, K., et al., The Smarthubs integration ladder: a conceptual model for the categorisation of shared mobility hubs. Transport Reviews, 2024. 44(1): p. 112-139. [CrossRef]
- Aston, L., et al., Exploring built environment impacts on transit use – an updated meta-analysis. Transport Reviews, 2021. 41(1): p. 73-96. [CrossRef]
- De Gruyter, C., et al., How does the built environment affect transit use by train, tram and bus? Journal of Transport and Land Use, 2020. 13(1): p. 625-650.
- Ewing, R. and R. Cervero, Travel and the built environment: a synthesis. Transportation research record, 2001. 1780(1): p. 87-114. [CrossRef]
- Aston, L., et al., Multi-city exploration of built environment and transit mode use: Comparison of Melbourne, Amsterdam and Boston. Journal of Transport Geography, 2021. 95: p. 103136. [CrossRef]
- Cui, Y., S. Mishra, and T.F. Welch, Land use effects on bicycle ridership: a framework for state planning agencies. Journal of Transport Geography, 2014. 41: p. 220-228. [CrossRef]
- Mehzabin Tuli, F., S. Mitra, and M.B. Crews, Factors influencing the usage of shared E-scooters in Chicago. Transportation Research Part A: Policy and Practice, 2021. 154: p. 164-185. [CrossRef]
- Ewing, R. and R. Cervero, Travel and the built environment: A meta-analysis. Journal of the American planning association, 2010. 76(3): p. 265-294.
- Frank, L.D., et al., Linking objectively measured physical activity with objectively measured urban form: findings from SMARTRAQ. Am J Prev Med, 2005. 28(2 Suppl 2): p. 117-25.
- Ding, C., et al., Exploring the influence of built environment on travel mode choice considering the mediating effects of car ownership and travel distance. Transportation Research Part A: Policy and Practice, 2017. 100: p. 65-80. [CrossRef]
- Aydin, N., S. Seker, and B. Özkan, Planning location of mobility hub for sustainable urban mobility. Sustainable Cities and Society, 2022. 81: p. 103843. [CrossRef]
- Bösehans, G., et al., eHUBs—Identifying the potential early and late adopters of shared electric mobility hubs. International Journal of Sustainable Transportation, 2023. 17(3): p. 199-218. [CrossRef]
- Xanthopoulos, S., et al., Optimization of the location and capacity of shared multimodal mobility hubs to maximize travel utility in urban areas. Transportation Research Part A: Policy and Practice, 2024. 179: p. 103934. [CrossRef]
- Saw, K. and P. Kataria. “Multi-criteria Approach for Identification of Suitable Land Parcels to Develop Intermodal Transit Hubs: A Case Study of Bengaluru, India”. in Recent Advances in Transportation Systems Engineering and Management. 2023. Singapore: Springer Nature Singapore.
- Blad, K., et al., A methodology to determine suitable locations for regional shared mobility hubs. Case Studies on Transport Policy, 2022. 10(3): p. 1904-1916. [CrossRef]
- Pimenta, A., et al., Site Selection for Future Mobility Hubs in Melbourne: A Multicriteria Location-Allocation Analysis. Findings, 2024. [CrossRef]
- Alumur, S.A., B.Y. Kara, and O.E. Karasan, Multimodal hub location and hub network design. Omega, 2012. 40(6): p. 927-939. [CrossRef]
- Tran, M. and C. Draeger, A data-driven complex network approach for planning sustainable and inclusive urban mobility hubs and services. Environment and Planning B: Urban Analytics and City Science, 2021. 48(9): p. 2726-2742. [CrossRef]
- Michel, G., Factors of the built and social environments associated with the allocation of mobility hubs: A systematic literature review 2022.
- Frank, L., N. Dirks, and G. Walther, Improving rural accessibility by locating multimodal mobility hubs. Journal of Transport Geography, 2021. 94: p. 103111. [CrossRef]
- Australian Bureau of Statistics, Census 2021. 2021.
- Victoria in Future, Victoria in Future 2019: Population Projections 2016 to 2059, V.S. Government, Editor. 2019.
- Plan Melbourne, Plan Melbourne 2017-2050. 2017.
- PTV, P.T.V. Victorian public transport data. 2023; Available from: https://www.ptv.vic.gov.au/footer/data-and-reporting/datasets/.
- Vline. Vline Network Map. 2024 11 June 2024]; Available from: https://www.vline.com.au/Maps-stations-stops/Network-Maps.
- Car Parks for Commuters. Car Parks for Commuters Program. 2024 11 June 2024]; Available from: https://carparks.vic.gov.au/projects/.
- Parkiteer. Parkiteer: Making riding easier 2024 11 June 2024]; Available from: https://parkiteer.com.au/.
- City of Melbourne. Car share. 2024 11 June 2024]; Available from: https://www.melbourne.vic.gov.au/parking-and-transport/public-transport/Pages/car-share.aspx.
- City of Melbourne. E-scooter trials in Victoria. 2022 11 June 2024]; Available from: https://www.melbourne.vic.gov.au/parking-and-transport/Pages/e-scooters.aspx.
- City of Melbourne. Bike Share Dock Locations. 2019.
- Eltved, M., P. Lemaitre, and N.C. Petersen, Estimation of transfer walking time distribution in multimodal public transport systems based on smart card data. Transportation Research Part C: Emerging Technologies, 2021. 132: p. 103332. [CrossRef]
- DATA VIC. Annual metropolitan train station patronage (station entries). 2019 [cited 2024; Available from: https://discover.data.vic.gov.au/dataset/annual-metropolitan-train-station-patronage-station-entries.
- Mallis, P. Railway station and tram stop patronage in Victoria for 2008-2021. 2019; Available from: https://philipmallis.com/2022/03/09/railway-station-and-tram-stop-patronage-in-victoria-for-2008-2021/.
- VIC. Victorian Integrated Survey of Travel and Activity. 2022; Available from: https://www.vic.gov.au/victorian-integrated-survey-travel-and-activity.
- Australian Bureau of Statistics. Census 2016. 2016; Available from: https://www.abs.gov.au/websitedbs/censushome.nsf/home/2016.
- Australian Bureau of Statistics. Australian Statistical Geography Standard (ASGS) Edition 3. 2021 2 September 2024]; Available from: https://www.abs.gov.au/statistics/standards/australian-statistical-geography-standard-asgs-edition-3/jul2021-jun2026/main-structure-and-greater-capital-city-statistical-areas/mesh-blocks.
- DATAVIC. Vicmap Features of Interest. 2023 5 June 2024]; Available from: https://discover.data.vic.gov.au/dataset/vicmap-features-of-interest.
- DATAVIC. Vicmap Transport - Road Line. 2024 [cited 2024; Available from: https://discover.data.vic.gov.au/dataset/vicmap-transport-road-line.
- PTV, P.T.V., Train Network. 2023.
- Aston, L., G. Currie, and K. Pavkova, Does transit mode influence the transit-orientation of urban development? – An empirical study. Journal of Transport Geography, 2016. 55: p. 83-91. [CrossRef]
- Mallis, P. Distances between Melbourne railway stations – a quick map. 2018 12 June 2024]; Available from: https://maps.philipmallis.com/distances-between-melbourne-railway-stations-a-quick-map/.
- Songwon, S., A Review and Comparison of Methods for Detecting Outliers in Univariate Data Sets. Master's Thesis, University of Pittsburgh. 2006, University of Pittsburgh ETD.
- Washington, S., et al., Statistical and econometric methods for transportation data analysis / Simon Washington [et al.]. Third edition. ed. Interdisciplinary statistics. 2020, Boca Raton, FL: Chapman & Hall/CRC.
|
Disclaimer/Publisher’s Note: The statements, opinions and data contained in all publications are solely those of the individual author(s) and contributor(s) and not of MDPI and/or the editor(s). MDPI and/or the editor(s) disclaim responsibility for any injury to people or property resulting from any ideas, methods, instructions or products referred to in the content. |
© 2024 by the authors. Licensee MDPI, Basel, Switzerland. This article is an open access article distributed under the terms and conditions of the Creative Commons Attribution (CC BY) license (http://creativecommons.org/licenses/by/4.0/).